Sub-Hourly Precipitation Extremes in Mainland Portugal and Their Driving Mechanisms
Abstract
1. Introduction
2. Materials and Methods
2.1. Observational Data
2.2. Sub-Hourly Heavy Precipitation Events
2.3. Reanalysis and Numerical Weather Prediction Forecasts
2.4. Meridional Pressure Gradient Index
2.5. Mesohigh Detection Criteria
3. Results
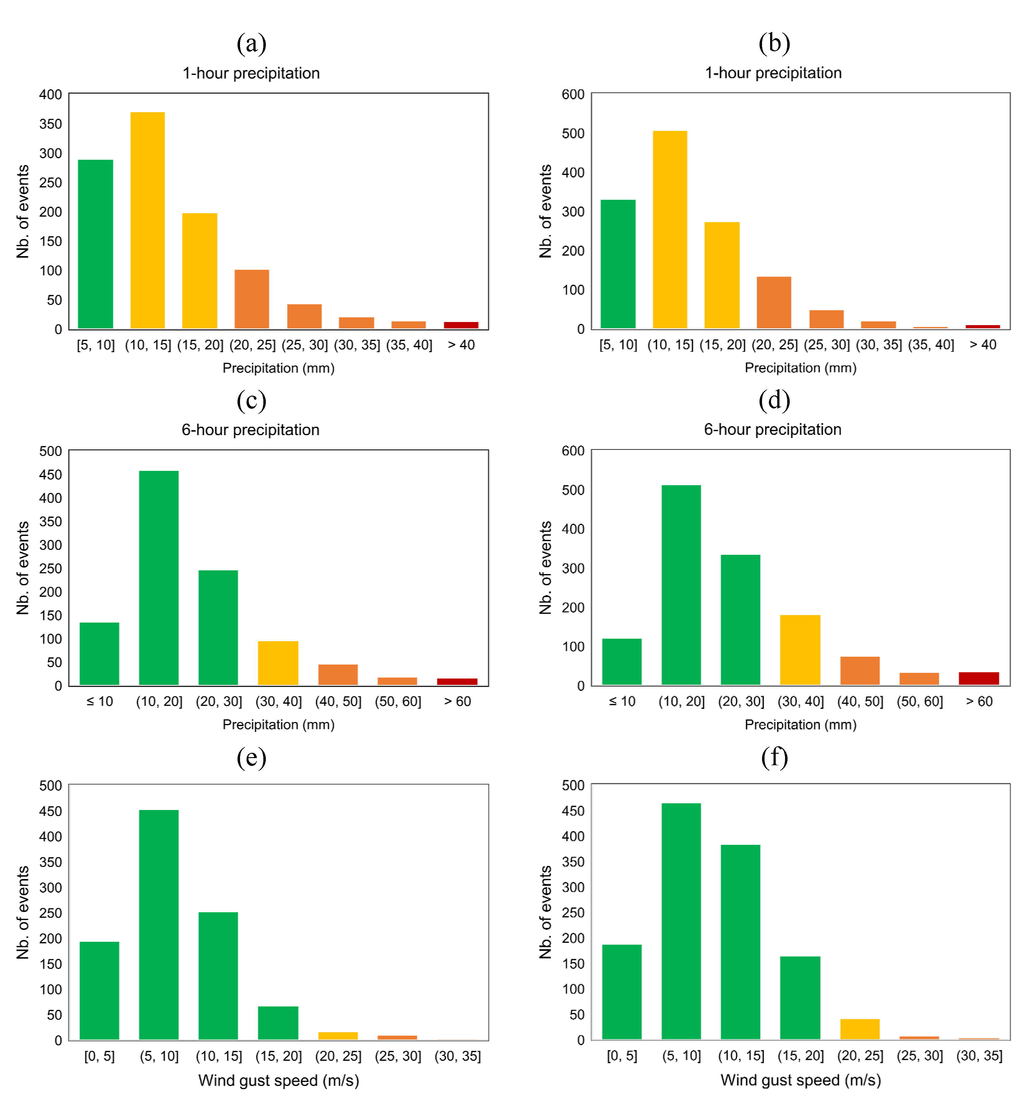
3.1. Sub-Hourly Heavy Precipitation Events
3.2. Association between Events and Synoptic Types
3.3. Event Characterization
3.4. Seasonal and Diurnal Variability
3.5. Temporal Evolution
3.6. Mesohighs Associated with MCS: A Case Study
4. Discussion
5. Conclusions
Supplementary Materials
Author Contributions
Funding
Institutional Review Board Statement
Informed Consent Statement
Data Availability Statement
Acknowledgments
Conflicts of Interest
References
- Krøgli, I.K.; Devoli, G.; Colleuille, H.; Boje, S.; Sund, M.; Engen, I.K. The Norwegian forecasting and warning service for rainfall- and snowmelt-induced landslides. Nat. Hazards Earth Syst. Sci. 2018, 18, 1427–1450. [Google Scholar] [CrossRef]
- Petrucci, O.; Aceto, L.; Bianchi, C.; Bigot, V.; Brázdil, R.; Pereira, S.; Kahraman, A.; Kılıç, Ö.; Kotroni, V.; Llasat, M.C.; et al. Flood Fatalities in Europe, 1980–2018: Variability, Features, and Lessons to Learn. Water 2019, 11, 1682. [Google Scholar] [CrossRef]
- Cortès, M.; Turco, M.; Llasat-Botija, M.; Llasat, M.C. The relationship between precipitation and insurance data for floods in a Mediterranean region (northeast Spain). Nat. Hazards Earth Syst. Sci. 2018, 18, 857–868. [Google Scholar] [CrossRef]
- Gaume, E.; Bain, V.; Bernardara, P.; Newinger, O.; Barbuc, M.; Bateman, A.; Blaškovičová, L.; Blöschl, G.; Borga, M.; Dumitrescu, A.; et al. A compilation of data on European flash floods. J. Hydrol. 2009, 367, 70–78. [Google Scholar] [CrossRef]
- Mäkinen, H.; Kaseva, J.; Trnka, M.; Balek, J.; Kersebaum, K.C.; Nendel, C.; Gobin, A.; Olesen, J.E.; Bindi, M.; Ferrise, R.; et al. Sensitivity of European wheat to extreme Weather. Field Crops Res. 2018, 222, 209–217. [Google Scholar] [CrossRef]
- Hooper, E.; Chapman, L.; Quinn, A. Investigating the impact of precipitation on vehicle speeds on UK motorways. Meteorol. Appl. 2014, 21, 194–201. [Google Scholar] [CrossRef]
- Taszarek, M.; Kendzierski, S.; Pilguj, N. Hazardous weather affecting European airports: Climatological estimates of situations with limited visibility, thunderstorm, low-level wind shear and snowfall from ERA5. Weather Clim. Extrem. 2020, 28, 100243. [Google Scholar] [CrossRef]
- Groenemeijer, P.; Becker, N.; Djidara, M.; Gavin, K.; Hellenberg, T.; Holzer, A.; Juga, I.; Jokinen, P.; Jylha, K.; Lehtonen, I.; et al. Past Cases of Extreme Weather Impact on Critical Infrastructure in Europe. RAIN-Risk Analysis of Infrastructure Networks in Response to Extreme Weather; ESSL: Wesssling, Germany, 2015; p. 130. [Google Scholar]
- Smith, J.A.; Miller, A.J.; Baeck, M.L.; Nelson, P.A.; Fisher, G.T.; Meierdiercks, K.L. Extraordinary Flood Response of a Small Urban Watershed to Short-Duration Convective Rainfall. J. Hydrometeorol. 2005, 6, 599–617. [Google Scholar] [CrossRef]
- Yang, L.; Smith, J.; Baeck, M.L.; Smith, B.; Tian, F.; Niyogi, D. Structure and evolution of flash flood producing storms in a small urban watershed. J. Geophys. Res. Atmos. 2016, 121, 3139–3152. [Google Scholar] [CrossRef]
- IPCC. Climate Change 2014: Synthesis Report. Contribution of Working Groups I, II and III to the Fifth Assessment Report of the Intergovernmental Panel on Climate Change; Core Writing Team, Pachauri, R.K., Meyer, L.A., Eds.; IPCC: Geneva, Switzerland, 2014; p. 151. [Google Scholar]
- IPCC. Global Warming of 1.5 °C. An IPCC Special Report on the Impacts of Global Warming of 1.5 °C above Pre-Industrial Levels and Related Global Greenhouse Gas Emission Pathways, in the Context of Strengthening the Global Response to the Threat of Climate Change, Sustainable Development, and Efforts to Eradicate Poverty; World Meteorological Organization, Ed.; IPCC: Geneva, Switzerland, 2018; p. 32. [Google Scholar]
- Cardoso, R.M.; Soares, P.M.M.; Miranda, P.M.A.; Belo-Pereira, M. WRF high resolution simulation of Iberian mean and extreme precipitation climate. Int. J. Climatol. 2013, 33, 2591–2608. [Google Scholar] [CrossRef]
- Belo-Pereira, M.; Dutra, E.; Viterbo, P. Evaluation of global precipitation data sets over the Iberian Peninsula. J. Geophys. Res. Atmos. 2011, 116, D20101. [Google Scholar] [CrossRef]
- Ramos, A.M.; Trigo, R.M.; Liberato, M.L.R. A ranking of high-resolution daily precipitation extreme events for the Iberian Peninsula. Atmos. Sci. Lett. 2014, 15, 328–334. [Google Scholar] [CrossRef]
- Santos, J.A.; Corte-Real, J.; Leite, S.M. Weather regimes and their connection to the winter rainfall in Portugal. Int. J. Climatol. 2005, 25, 33–50. [Google Scholar] [CrossRef]
- Trigo, R.M.; DaCamara, C.C. Circulation weather types and their influence on the precipitation regime in Portugal. Int. J. Climatol. 2000, 20, 1559–1581. [Google Scholar] [CrossRef]
- Santos, J.A.; Andrade, C.; Corte-Real, J.; Leite, S. The role of large-scale eddies in the occurrence of winter precipitation deficits in Portugal. Int. J. Climatol. 2009, 29, 1493–1507. [Google Scholar] [CrossRef]
- Santos, J.A.; Pinto, J.G.; Ulbrich, U. On the development of strong ridge episodes over the eastern North Atlantic. Geophys. Res. Lett. 2009, 36, L17804. [Google Scholar] [CrossRef]
- Woollings, T.; Pinto, J.G.; Santos, J.A. Dynamical Evolution of North Atlantic Ridges and Poleward Jet Stream Displacements. J. Atmos. Sci. 2011, 68, 954–963. [Google Scholar] [CrossRef]
- Santos, J.A.; Woollings, T.; Pinto, J.G. Are the Winters 2010 and 2012 Archetypes Exhibiting Extreme Opposite Behavior of the North Atlantic Jet Stream? Mon. Weather Rev. 2013, 141, 3626–3640. [Google Scholar] [CrossRef]
- Santos, J.A.; Belo-Pereira, M. A comprehensive analysis of hail events in Portugal: Climatology and consistency with atmospheric circulation. Int. J. Climatol. 2019, 39, 188–205. [Google Scholar] [CrossRef]
- Sousa, J.F.; Fragoso, M.; Mendes, S.; Corte-Real, J.; Santos, J.A. Statistical–dynamical modeling of the cloud-to-ground lightning activity in Portugal. Atmospheric Research 2013, 132–133, 46–64. [Google Scholar] [CrossRef]
- Santos, J.A.; Reis, M.A.; Sousa, J.; Leite, S.M.; Correia, S.; Janeira, M.; Fragoso, M. Cloud-to-ground lightning in Portugal: Patterns and dynamical forcing. Nat. Hazards Earth Syst. Sci. 2012, 12, 639–649. [Google Scholar] [CrossRef]
- Morán-Tejeda, E.; Llorente-Pinto, J.M.; Ceballos-Barbancho, A.; Tomás-Burguera, M.; Azorín-Molina, C.; Alonso-González, E.; Revuelto, J.; Herrero, J.; López-Moreno, J.I. The significance of monitoring high mountain environments to detect heavy precipitation hotspots: A case study in Gredos, Central Spain. Theor. Appl. Climatol. 2021, 146, 1175–1188. [Google Scholar] [CrossRef]
- Llasat, M.C.; del Moral, A.; Cortès, M.; Rigo, T. Convective precipitation trends in the Spanish Mediterranean region. Atmos. Res. 2021, 257, 105581. [Google Scholar] [CrossRef]
- Vergara-Temprado, J.; Ban, N.; Schär, C. Extreme Sub-Hourly Precipitation Intensities Scale Close to the Clausius-Clapeyron Rate Over Europe. Geophys. Res. Lett. 2021, 48, e2020GL089506. [Google Scholar] [CrossRef]
- Santos, J.A.; Belo-Pereira, M.; Fraga, H.; Pinto, J.G. Understanding climate change projections for precipitation over western Europe with a weather typing approach. J. Geophys. Res. Atmos. 2016, 121, 1170–1189. [Google Scholar] [CrossRef]
- Prein, A.F.; Rasmussen, R.M.; Ikeda, K.; Liu, C.; Clark, M.P.; Holland, G.J. The future intensification of hourly precipitation extremes. Nat. Clim. Change 2017, 7, 48–52. [Google Scholar] [CrossRef]
- Santos, M.; Fonseca, A.; Fragoso, M.; Santos, J.A. Recent and future changes of precipitation extremes in mainland Portugal. Theor. Appl. Climatol. 2019, 137, 1305–1319. [Google Scholar] [CrossRef]
- Santos, M.; Fragoso, M.; Santos, J.A. Regionalization and susceptibility assessment to daily precipitation extremes in mainland Portugal. Appl. Geogr. 2017, 86, 128–138. [Google Scholar] [CrossRef]
- Santos, M.; Santos, J.A.; Fragoso, M. Atmospheric driving mechanisms of flash floods in Portugal. Int. J. Climatol. 2017, 37, 671–680. [Google Scholar] [CrossRef]
- Fonseca, A.R.; Santos, J.A. Predicting hydrologic flows under climate change: The Tâmega Basin as an analog for the Mediterranean region. Sci. Total Environ. 2019, 668, 1013–1024. [Google Scholar] [CrossRef]
- Moore, J.T.; Glass, F.H.; Graves, C.E.; Rochette, S.M.; Singer, M.J. The Environment of Warm-Season Elevated Thunderstorms Associated with Heavy Rainfall over the Central United States. Weather Forecast. 2003, 18, 861–878. [Google Scholar] [CrossRef]
- Houze Jr., R. A. Mesoscale convective systems. Rev. Geophys. 2004, 42, RG4003. [Google Scholar] [CrossRef]
- Pinto, P.; Belo-Pereira, M. Damaging Convective and Non-Convective Winds in Southwestern Iberia during Windstorm Xola. Atmosphere 2020, 11, 692. [Google Scholar] [CrossRef]
- Lee, W.-C.; Wakimoto, R.M.; Carbone, R.E. The Evolution and Structure of a “Bow–Echo-Microburst” Event. Part II: The Bow Echo. Mon. Weather Rev. 1992, 120, 2211–2225. [Google Scholar] [CrossRef]
- Mathias, L.; Ermert, V.; Kelemen, F.D.; Ludwig, P.; Pinto, J.G. Synoptic Analysis and Hindcast of an Intense Bow Echo in Western Europe: The 9 June 2014 Storm. Weather Forecast. 2017, 32, 1121–1141. [Google Scholar] [CrossRef]
- Adams-Selin, R.D.; Johnson, R.H. Mesoscale Surface Pressure and Temperature Features Associated with Bow Echoes. Mon. Weather Rev. 2010, 138, 212–227. [Google Scholar] [CrossRef][Green Version]
- Engerer, N.A.; Stensrud, D.J.; Coniglio, M.C. Surface Characteristics of Observed Cold Pools. Mon. Weather Rev. 2008, 136, 4839–4849. [Google Scholar] [CrossRef]
- Wakimoto, R.M. Forecasting Dry Microburst Activity over the High Plains. Mon. Weather Rev. 1985, 113, 1131–1143. [Google Scholar] [CrossRef]
- Ellrod, G. Environmental Conditions Associated with the Dallas Microburst Storm Determined from Satellite Soundings. Weather Forecast. 1989, 4, 469–484. [Google Scholar] [CrossRef][Green Version]
- Fujita, T.T. Tornadoes and Downbursts in the Context of Generalized Planetary Scales. J. Atmos. Sci. 1981, 38, 1511–1534. [Google Scholar] [CrossRef]
- Clark, M.R. Doppler radar observations of non-occluding, cyclic vortex genesis within a long-lived tornadic storm over southern England. Q. J. R. Meteorol. Soc. 2012, 138, 439–454. [Google Scholar] [CrossRef]
- Keene, K.M.; Schumacher, R.S. The Bow and Arrow Mesoscale Convective Structure. Mon. Weather Rev. 2013, 141, 1648–1672. [Google Scholar] [CrossRef][Green Version]
- Clark, M.R. Investigating cold-frontal gradients in surface parameters using operationally-available minute-resolution data. Meteorol. Appl. 2013, 20, 405–416. [Google Scholar] [CrossRef]
- Termonia, P.; Fischer, C.; Bazile, E.; Bouyssel, F.; Brožková, R.; Bénard, P.; Bochenek, B.; Degrauwe, D.; Derková, M.; El Khatib, R.; et al. The ALADIN System and its canonical model configurations AROME CY41T1 and ALARO CY40T1. Geosci. Model Dev. 2018, 11, 257–281. [Google Scholar] [CrossRef]
- Herrera, S.; Cardoso, R.M.; Soares, P.M.; Espírito-Santo, F.; Viterbo, P.; Gutiérrez, J.M. Iberia01: A new gridded dataset of daily precipitation and temperatures over Iberia. Earth Syst. Sci. Data 2019, 11, 1947–1956. [Google Scholar] [CrossRef]
- Dunkerley, D. Sub-Daily Rainfall Intensity Extremes: Evaluating Suitable Indices at Australian Arid and Wet Tropical Observing Sites. Water 2019, 11, 2616. [Google Scholar] [CrossRef]
- Hersbach, H.; Bell, B.; Berrisford, P.; Hirahara, S.; Horányi, A.; Muñoz-Sabater, J.; Nicolas, J.; Peubey, C.; Radu, R.; Schepers, D.; et al. The ERA5 global reanalysis. Q. J. R. Meteorol. Soc. 2020, 146, 1999–2049. [Google Scholar] [CrossRef]
- Hersbach, H.; Bell, B.; Berrisford, P.; Biavati, G.; Horányi, A.; Muñoz Sabater, J.; Nicolas, J.; Peubey, C.; Radu, R.; Rozum, I.; et al. ERA5 hourly data on single levels from 1979 to present. In Copernicus Climate Change Service (C3S) Climate Data Store (CDS); 2018; Available online: https://cds.climate.copernicus.eu/cdsapp#!/dataset/reanalysis-era5-single-levels?tab=overview (accessed on 3 February 2022). [CrossRef]
- Pinto, P.; Silva, Á. Atmospheric flow and a large fire interaction: The unusual case of Pedrogão Grande, Portugal (17 June 2017). In Advances in Forest Fire Research 2018; Viegas, D.X., Ed.; Imprensa da Universidade de Coimbra: Coimbra, Portugal, 2018; Volume 1, p. 1414. [Google Scholar]
- Parker, M.D. Simulated Convective Lines with Parallel Stratiform Precipitation. Part I: An Archetype for Convection in Along-Line Shear. J. Atmos. Sci. 2007, 64, 267–288. [Google Scholar] [CrossRef]
- Pryor, K.L. Progress and Developments of Downburst Prediction Applications of GOES. Weather Forecast. 2015, 30, 1182–1200. [Google Scholar] [CrossRef]













| Year | Month | Day | Hour (UTC) | SLP | Precipitation (mm) | Wind Gust Speed (ms−1) | Wind Gust Direction (°) | Type |
|---|---|---|---|---|---|---|---|---|
| 2001 | 7 | 30 | 17:00 | 1017.4 | 7.1 | 15.7 | 51 | RegL |
| 2001 | 10 | 20 | 11:40 | 1006.7 | 7.5 | 10.0 | 248 | RemL |
| 2003 | 8 | 10 | 15:50 | 1014.0 | 9.4 | 17.7 | 158 | RegL |
| 2011 | 11 | 2 | 11:40 | 1005.2 | 6.7 | 8.4 | 208 | RemL |
| 2013 | 12 | 24 | 17:00 | 1003.9 | 5.8 | 22.8 | 270 | RemL |
| 2014 | 7 | 2 | 15:30 | 1017.1 | 11.1 | 16.4 | 101 | RegL |
| 2015 | 6 | 14 | 14:00 | 1014.5 | 9.7 | 14.3 | 259 | RegL |
| 2017 | 6 | 17 | 17:20 | 1018.9 | 7.0 | 20.2 | 135 | RegL |
Publisher’s Note: MDPI stays neutral with regard to jurisdictional claims in published maps and institutional affiliations. |
© 2022 by the authors. Licensee MDPI, Basel, Switzerland. This article is an open access article distributed under the terms and conditions of the Creative Commons Attribution (CC BY) license (https://creativecommons.org/licenses/by/4.0/).
Share and Cite
Santos, J.A.; Belo-Pereira, M. Sub-Hourly Precipitation Extremes in Mainland Portugal and Their Driving Mechanisms. Climate 2022, 10, 28. https://doi.org/10.3390/cli10020028
Santos JA, Belo-Pereira M. Sub-Hourly Precipitation Extremes in Mainland Portugal and Their Driving Mechanisms. Climate. 2022; 10(2):28. https://doi.org/10.3390/cli10020028
Chicago/Turabian StyleSantos, João A., and Margarida Belo-Pereira. 2022. "Sub-Hourly Precipitation Extremes in Mainland Portugal and Their Driving Mechanisms" Climate 10, no. 2: 28. https://doi.org/10.3390/cli10020028
APA StyleSantos, J. A., & Belo-Pereira, M. (2022). Sub-Hourly Precipitation Extremes in Mainland Portugal and Their Driving Mechanisms. Climate, 10(2), 28. https://doi.org/10.3390/cli10020028
