A Comparative Study on the Performances of Spectral Nudging and Scale-Selective Data Assimilation Techniques for Hurricane Track and Intensity Simulations
Abstract
1. Introduction
2. SPNU and SSDA Approaches
3. Model Settings and Experiments
4. Results and Discussion
4.1. Effects on the Hurricane Track, Intensity, and Structure
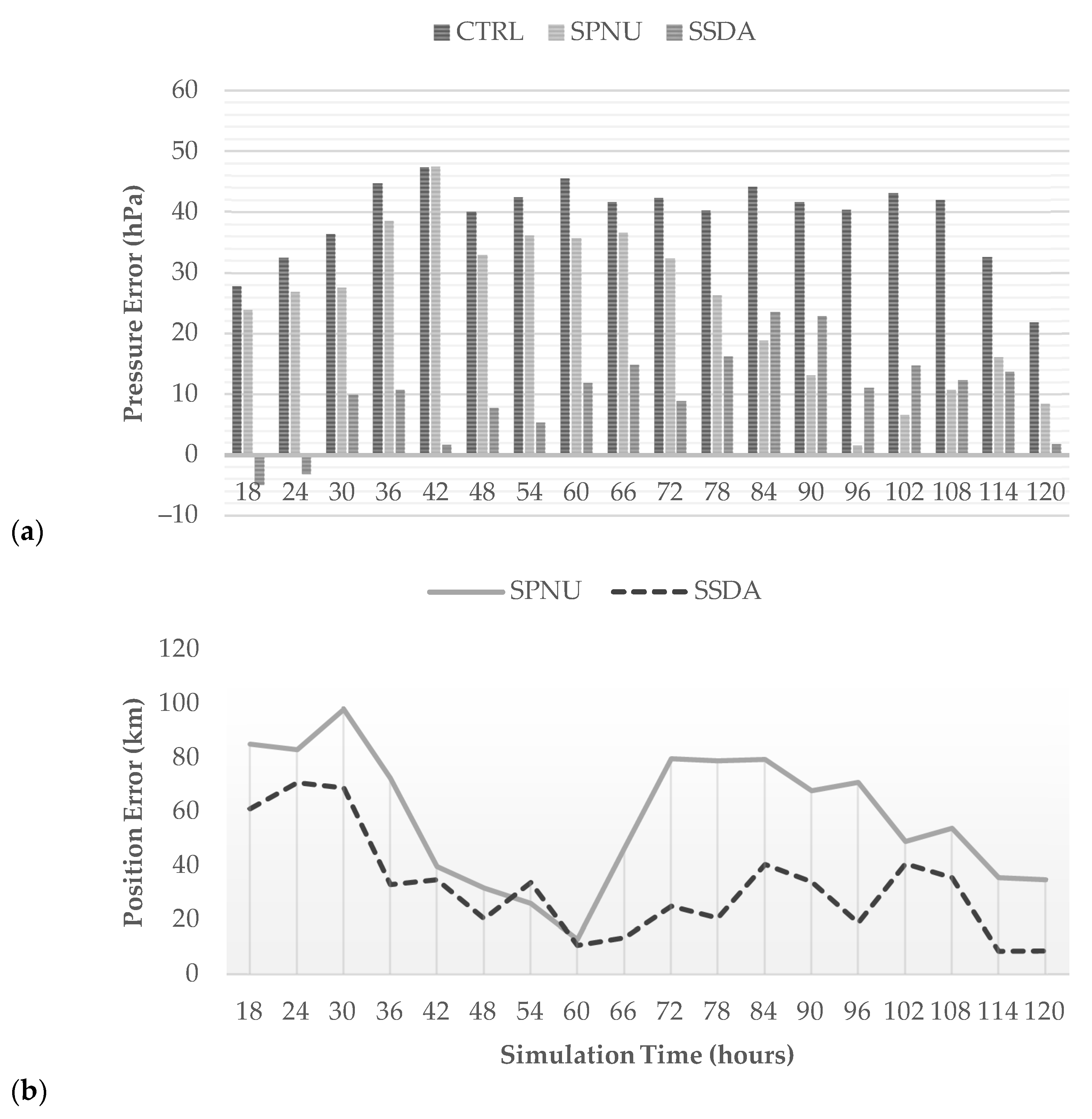
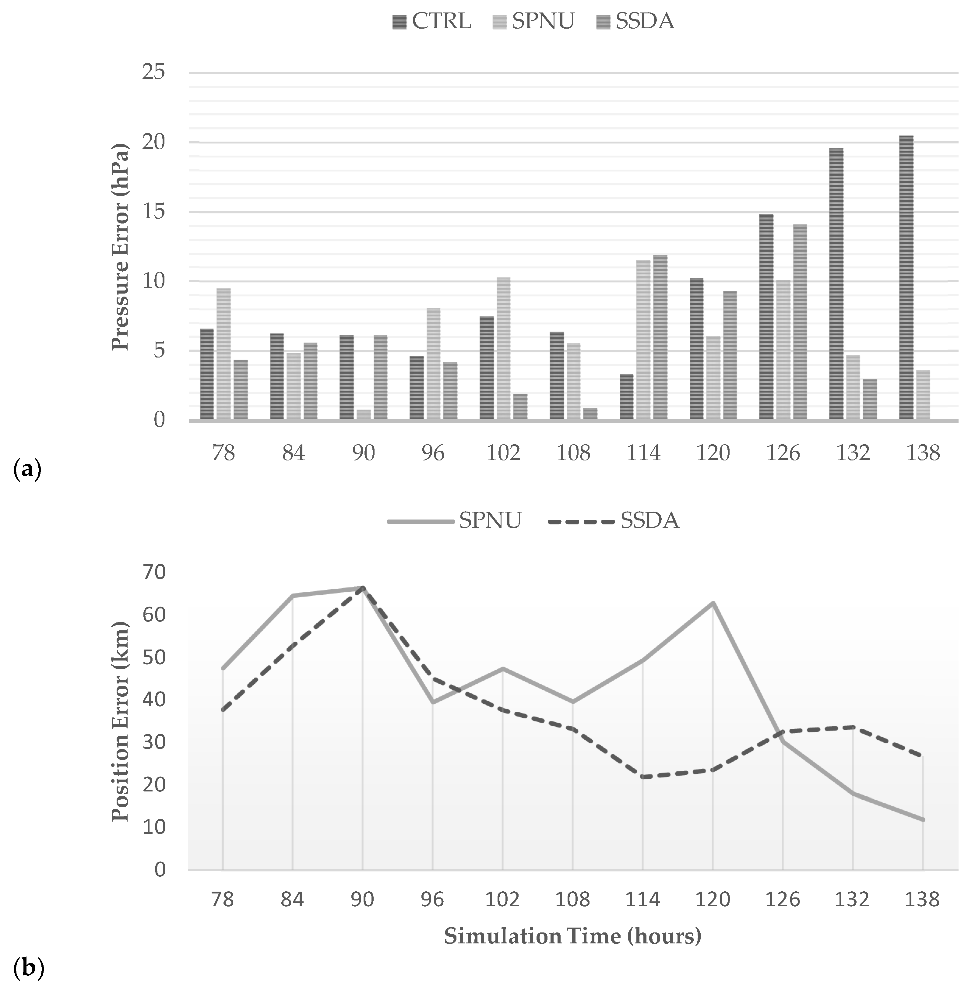
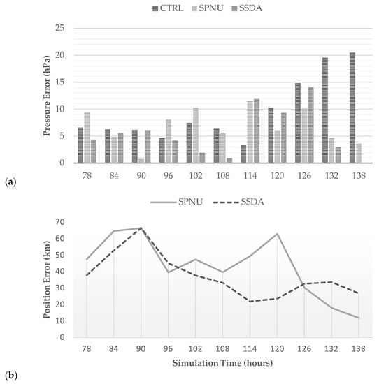
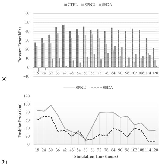
4.1.1. Track and Intensity Simulations

4.1.2. Track and Intensity Simulations
4.2. Effects on the Large-Scale Environment
4.2.1. Horizontal Winds
4.2.2. Temperature and Relative Humidity
5. Conclusions
- By improving the large-scale winds, the intensities and tracks of Hurricane Jeanne (2004) and Irma (2017) are significantly improved in both the SSDA and SPNU runs.
- The simulated temperature and humidity fields capture key features and appear to closely resemble the driving data (reduced errors and better correlation with observations) in the SSDA runs than in the SPNU runs, but both are better than the CTRL runs without nudging.
- The storm structures produced by the SSDA runs are more realistic than that from the SPNU runs. The surface wind distribution and intensity are better captured in the SSDA run in Hurricane Jeanne’s case, and both are better than the control run. Comparison for Irma is not conducted due to the lack of observed H*wind data at the time of this study.
Author Contributions
Funding
Data Availability Statement
Acknowledgments
Conflicts of Interest
References
- Flato, G.; Marotzke, J.; Abiodun, B.; Braconnot, P.; Chou, S.C.; Collins, W.; Cox, P.; Driouech, F.; Emori, S.; Emori, V.; et al. Evaluation of Climate Models. In Climate Change 2013: The Physical Science Basis; Cambridge University Press: Cambridge, UK; New York, NY, USA, 2013. [Google Scholar]
- Giorgi, F. Thirty years of regional climate modeling: Where are we and where are we going next? J. Geophys. Res. Atmos. 2019, 124, 5696–5723. [Google Scholar] [CrossRef]
- Giorgi, F. Regional climate modeling: Status and perspectives. J. Phys. 2006, 139, 101–118. [Google Scholar] [CrossRef]
- Bowden, J.H.; Otte, T.L.; Nolte, C.G.; Otte, M.J. Examining interior grid nudging techniques using two-way nesting in the WRF model for regional climate modeling. J. Clim. 2012, 25, 2805–2823. [Google Scholar] [CrossRef]
- Vincent, C.L.; Hahmann, A.N. The impact of grid and spectral nudging on the variance of the near-surface wind speed. J. Appl. Meteor. Climatol. 2015, 54, 1021–1038. [Google Scholar] [CrossRef]
- Ma, Y.; Yang, Y.; Mai, X.; Qiu, C.; Long, X.; Wang, C. Comparison of analysis and spectral nudging techniques for dynamical downscaling with the WRF model over China. Adv. Meteorol. 2016, 2016, 4761513. [Google Scholar] [CrossRef]
- Feng, T.; Hu, Z.; Tang, S.; Huang, J. Improvement of an Extreme Heavy Rainfall Simulation Using Nudging Assimilation. J Meteorol. Res. 2021, 35, 313–328. [Google Scholar] [CrossRef]
- Liu, P.; Tsimpidi, A.P.; Hu, Y.; Stone, B.; Russell, A.G.; Nenes, A. Differences between downscaling with spectral and grid nudging using WRF. Atmos. Chem. Phys. 2012, 12, 3601–3610. [Google Scholar] [CrossRef]
- Xie, L.; Liu, B.; Peng, S. Application of scale-selective data assimilation to tropical cyclone track simulation. J. Geophys. Res. Earth Surf. 2010, 115, D17105. [Google Scholar] [CrossRef]
- Castro, C.L.; Pielke, R.A.; Leoncini, G. Dynamical downscaling: Assessment of value retained and added using the Regional Atmospheric Modeling System (RAMS). J. Geophys. Res. Earth Surf. 2005, 110, D05108. [Google Scholar] [CrossRef]
- Liu, B.; Xie, L. A Scale-Selective Data Assimilation Approach to Improving Tropical Cyclone Track and Intensity Forecasts in a Limited-Area Model: A Case Study of Hurricane Felix (2007). Weather Forecast 2012, 27, 124–140. [Google Scholar] [CrossRef]
- Peng, S.; Xie, L.; Liu, B.; Semazzi, F. Application of scale-selective data assimilation to regional climate modeling and prediction. Mon. Weather Rev. 2010, 138, 1307–1318. [Google Scholar] [CrossRef]
- Wang, H.; Wang, Y.; Xu, H.M. Improving simulation of a tropical cyclone using dynamical initialization and large-scale spectral nudging: A case study of Typhoon Megi (2010). Acta Meteorol. Sin. 2013, 27, 455–475. [Google Scholar] [CrossRef]
- Feser, F.; Barcikowska, M. The influence of spectral nudging on typhoon formation in regional climate models. Environ. Res. Lett. 2012, 7, 014024. [Google Scholar] [CrossRef]
- Miguez-Macho, G.; Stenchikov, G.L.; Robock, A. Spectral nudging to eliminate the effects of domain position and geometry in regional climate model simulations. J. Geophys. Res. 2004, 109, D13104. [Google Scholar] [CrossRef]
- Xue, Y.; Vasic, R.; Janjic, Z.; Mesinger, F.; Mitchell, K.E. Assessment of dynamic downscaling of the continental U.S. regional climate using the Eta/SSiB regional climate model. J. Clim. 2007, 20, 4172–4193. [Google Scholar] [CrossRef]
- Waldron, K.M.; Paegle, J.; Horel, J.D. Sensitivity of a spectrally filtered and nudged limited-area model to outer model options. Mon. Weather Rev. 1996, 124, 529. [Google Scholar] [CrossRef]
- Storch, H.V.; Langenberg, H.; Feser, F. A spectral nudging technique for dynamical downscaling purposes. Mon. Weather Rev. 2000, 128, 3664–3673. [Google Scholar] [CrossRef]
- Glisan, J.M.; Gutowski, W.J.; Cassano, J.J.; Higgins, M.E. Effects of spectral nudging in WRF on Arctic temperature and precipitation simulations. J. Clim. 2013, 26, 3985–3999. [Google Scholar] [CrossRef]
- Choi, S.-J.; Lee, D.-K. Impact of spectral nudging on the downscaling of tropical cyclones in regional climate simulations. Adv. Atmos. Sci. 2016, 33, 730–742. [Google Scholar] [CrossRef]
- Mai, X.; Qiu, X.; Yang, Y.; Ma, Y. Impacts of Spectral Nudging Parameters on Dynamical Downscaling in Summer over Mainland China. Front. Earth Sci. 2020, 8, 574754. [Google Scholar] [CrossRef]
- Saha, S.; Moorthi, S.; Pan, H.; Wu, X.; Wang, J.; Nadiga, S.; Tripp, P.; Kistler, R.; Woollen, J.; Behringer, D.; et al. The NCEP Climate Forecast System Reanalysis. Bull. Am. Meteorol. Soc. 2010, 91, 1015–1058. [Google Scholar] [CrossRef]
- Schenkel, B.A.; Hart, R.E. An examination of tropical cyclone position, intensity, and intensity life cycle within atmospheric reanalysis datasets. J. Clim. 2012, 25, 3453–3475. [Google Scholar] [CrossRef]
- Zick, S.E.; Matyas, C.J. Tropical cyclones in the North American Regional Reanalysis: An assessment of spatial biases in location, intensity, and structure. J. Geophys. Res. Atmos. 2015, 120, 1651–1669. [Google Scholar] [CrossRef]
- Lawrence, M.B.; Cobb, H.D. Tropical Cyclone Report, Hurricane Jeanne, 13–28 September. Available online: https://www.nhc.noaa.gov/data/tcr/AL112004_Jeanne.pdf (accessed on 23 September 2022).
- Cangialosi, J.P.; Latto, A.S.; Berg, R. Tropical Cyclone Report, Hurricane Irma, 30 August–12 September. Available online: https://www.nhc.noaa.gov/data/tcr/AL112017_Irma.pdf (accessed on 23 September 2022).
- Thompson, G.; Field, P.R.; Rasmussen, R.M.; Hall, W.D. Explicit Forecasts of Winter Precipitation Using an Improved Bulk Microphysics Scheme. Part II: Implementation of a New Snow Parameterization. Mon. Weather Rev. 2008, 136, 5095–5115. [Google Scholar] [CrossRef]
- Iacono, M.J.; Delamere, J.S.; Mlawer, E.J.; Shephard, M.W.; Clough, S.A.; Collins, W.D. Radiative forcing by long-lived greenhouse gases: Calculations with the AER radiative transfer models. J. Geophys. Res. 2008, 113, D13103. [Google Scholar] [CrossRef]
- Hong, S.Y.; Noh, Y.; Dudhia, J. A New Vertical Diffusion Package with an Explicit Treatment of Entrainment Processes. Mon. Weather Rev. 2006, 134, 2318–2341. [Google Scholar] [CrossRef]
- Zhang, C.; Wang, Y.; Hamilton, K. Improved Representation of Boundary Layer Clouds over the Southeast Pacific in ARW-WRF Using a Modified Tiedtke Cumulus Parameterization Scheme. Mon. Weather Rev. 2011, 139, 3489–3513. [Google Scholar] [CrossRef]
- Landsea, C.W.; Franklin, J.L. Atlantic Hurricane Database Uncertainty and Presentation of a New Database Format. Mon. Wea. Rev. 2013, 141, 3576–3592. [Google Scholar] [CrossRef]
- Omrani, H.; Drobinski, P.; Dubos, T. Using nudging to improve global-regional dynamic consistency in limited-area climate modeling: What should we nudge? Clim. Dyn. 2015, 44, 1627–1644. [Google Scholar] [CrossRef]
- Courtney, J.; Knaff, J.A. Adapting the Knaff and Zehr Wind-Pressure Relationship for operational use in Tropical Cyclone Warning Centers. Aust. Meteorol. Oceanogr. J. 2009, 58, 167–179. [Google Scholar] [CrossRef]
- Knaff, J.A.; Zehr, R.M. Reexamination of Tropical Cyclone Wind-Pressure Relationships. Wea Forecast. 2007, 22, 71–88. [Google Scholar] [CrossRef]
- Powell, M.D.; Houston, S.H.; Amat, L.R.; Morisseau-Leroy, N. The HRD real-time hurricane wind analysis system. J. Wind. Eng. Indust. Aerodyn 1998, 77–78, 53–64. [Google Scholar] [CrossRef]
- Gao, J.Y.; Li, T. Factors controlling multiple tropical cyclone events in the Western North Pacific. Mon. Weather Rev. 2010, 139, 885–894. [Google Scholar] [CrossRef]
- Gray, W.M. Tropical cyclone genesis in the Western North Pacific. J. Meteorol. Soc. Jpn. 1977, 55, 465–482. [Google Scholar] [CrossRef]














Publisher’s Note: MDPI stays neutral with regard to jurisdictional claims in published maps and institutional affiliations. |
© 2022 by the authors. Licensee MDPI, Basel, Switzerland. This article is an open access article distributed under the terms and conditions of the Creative Commons Attribution (CC BY) license (https://creativecommons.org/licenses/by/4.0/).
Share and Cite
Sun, X.; Xie, L. A Comparative Study on the Performances of Spectral Nudging and Scale-Selective Data Assimilation Techniques for Hurricane Track and Intensity Simulations. Climate 2022, 10, 168. https://doi.org/10.3390/cli10110168
Sun X, Xie L. A Comparative Study on the Performances of Spectral Nudging and Scale-Selective Data Assimilation Techniques for Hurricane Track and Intensity Simulations. Climate. 2022; 10(11):168. https://doi.org/10.3390/cli10110168
Chicago/Turabian StyleSun, Xia, and Lian Xie. 2022. "A Comparative Study on the Performances of Spectral Nudging and Scale-Selective Data Assimilation Techniques for Hurricane Track and Intensity Simulations" Climate 10, no. 11: 168. https://doi.org/10.3390/cli10110168
APA StyleSun, X., & Xie, L. (2022). A Comparative Study on the Performances of Spectral Nudging and Scale-Selective Data Assimilation Techniques for Hurricane Track and Intensity Simulations. Climate, 10(11), 168. https://doi.org/10.3390/cli10110168

