Engineered Ripening-Specific Accumulation of Polyamines Spermidine and Spermine in Tomato Fruit Upregulates Clustered C/D Box snoRNA Gene Transcripts in Concert with Ribosomal RNA Biogenesis in the Red Ripe Fruit
Abstract
1. Introduction
2. Results
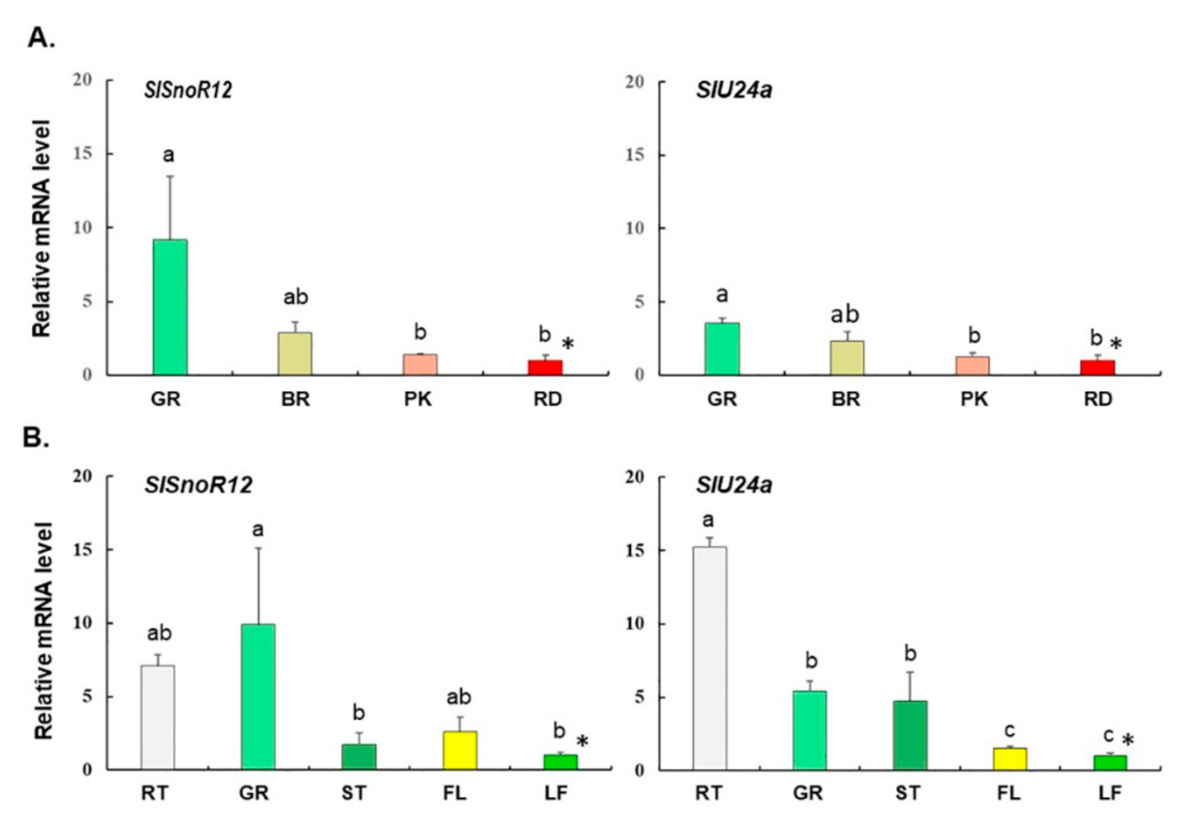
2.1. C/D Box snoRNAs in Tomato
2.2. Transgenic Tomato Fruit Lines with High Polyamine (SPD/SPM) Content Overexpress Box C/D snoRNA Transcription
2.3. Differential Expression of RNA Polymerase(s)/Transcription Genes in 556AZ and High SPD/SPM 579HO Tomato Lines
2.4. Polyamines SPD/SPM as Anabolic Adjusters Upregulate Ribosomal Protein Genes
2.5. Polyamines SPD/SPM Upregulate Protein Translational Genes
2.6. Pearson Correlations Among the RNA Polymerase(s), Ribosomal Protein(s), and Translation-Associated Protein Genes
2.7. Specific Enrichment of Transcriptome as a Result of Transgene and Developmental Stage
2.8. Proteins Associated with the Ribosomal Exit Tunnel
3. Discussion
4. Materials and Methods
4.1. Plant Material, Sample Preparation, and Replications
4.2. Cloning and DNA Sequencing
4.3. Total RNA Extraction, cDNA Template Preparation, and Q-PCR Analysis
4.4. RNA Isolation and Sequencing
4.5. Transcriptome Analysis
Supplementary Materials
Author Contributions
Funding
Acknowledgments
Conflicts of Interest
References
- Dupuis-Sandoval, F.; Poirier, M.; Scott, M.S. The emerging landscape of small nucleolar RNAs in cell biology. Wiley Interdiscip. Rev. RNA 2015, 6, 381–397. [Google Scholar] [CrossRef] [PubMed]
- Leader, D.J.; Sanders, J.F.; Waugh, R.; Shaw, P.; Brown, J.W. Molecular characterisation of plant U14 small nucleolar RNA genes: Closely linked genes are transcribed as polycistronic U14 transcripts. Nucleic Acids Res. 1994, 22, 5196–5203. [Google Scholar] [CrossRef] [PubMed]
- Leader, D.J.; Clark, G.P.; Watters, J.; Beven, A.F.; Shaw, P.J.; Brown, J.W.S. Splicing-independent processing of plant box C/D and box H/ACA small nucleolar RNAs. Plant. Mol. Biol. 1999, 39, 1091–1100. [Google Scholar] [CrossRef] [PubMed]
- Ojha, S.; Malla, S.; Lyons, S.M. snoRNPs: Functions in ribosome biogenesis. Biomolecules 2020, 10, 783. [Google Scholar] [CrossRef] [PubMed]
- Weis, B.L.; Kovacevic, J.; Missbach, S.; Schleiff, E. Plant-specific features of ribosome biogenesis. Trends in Plant. Sci. 2015, 20, 729–740. [Google Scholar] [CrossRef] [PubMed]
- Solymosy, F.; Pollàk, T. Uridylate-rich small nuclear RNAs (UsnRNAs), their genes and pseudogenes, and UsnRNPs in plants: Structure and function. A comparative approach. Crit. Rev. Plant. Sci. 1993, 12, 275–369. [Google Scholar] [CrossRef]
- Brown, J.W.S.; Shaw, P.J. Small nucleolar RNAs and pre-RNA processing in plants. Plant. Cell 1998, 10, 649–657. [Google Scholar] [CrossRef]
- Kiss, T.; Marshallsay, C.; Filipowicz, W. Alteration of the RNA polymerase specificity of U3 snRNA genes during evolution and in vitro. Cell 1991, 65, 517–526. [Google Scholar] [CrossRef]
- Taft, R.J.; Glazov, E.A.; Lassmann, T.; Hayashizaki, Y.; Carninci, P.; Mattick, J.S. Small RNAs derived from snoRNAs. RNA 2009, 15, 1233–1240. [Google Scholar] [CrossRef]
- Zheng, J.; Zeng, E.; Du, Y.; He, C.; Hu, Y.; Jiao, Z.; Wang, K.; Li, W.; Ludens, M.; Fu, J. Temporal Small RNA Expression Profiling under Drought Reveals a Potential Regulatory Role of Small Nucleolar RNAs in the Drought Responses of Maize. Plant. Genome 2019, 12, 1–15. [Google Scholar] [CrossRef]
- Goyal, R.K.; Kumar, V.; Shukla, V.; Mattoo, R.; Liu, Y.; Chung, S.H.; Giovannoni, J.J.; Mattoo, A.K. Features of a unique intronless cluster of class I small heat shock protein genes in tandem with box C/D snoRNA genes on chromosome 6 in tomato (Solanum lycopersicum). Planta 2012, 235, 453–471. [Google Scholar] [CrossRef] [PubMed]
- Zhua, P.; Wanga, Y.; Qina, N.; Wanga, F.; Wanga, J.; Denda, W.; Zhua, D. Arabidopsis small nucleolar RNA monitors the efficient pre-rRNA processing during ribosome biogenesis. Proc. Nat. Acad. Sci. USA 2016, 113, 11967–11972. [Google Scholar] [CrossRef] [PubMed]
- Streit, D.; Shanmugam, T.; Garbelyanski, A.; Simm, S.; Schleiff, E. The existence and localization of nuclear snoRNAs in Arabidopsis thaliana revisited. Plants 2020, 9, 1016. [Google Scholar] [CrossRef] [PubMed]
- Ku, L.K.; Romani, R.J. The ribosomes of pear fruit. Plant. Physiol. 1970, 45, 401–407. [Google Scholar] [CrossRef] [PubMed][Green Version]
- Rattapanone, N.; Grierson, D.; Stein, M. Ribonucleic acid metabolism during the development and ripening of tomato fruits. Phytochemistry 1977, 16, 269–633. [Google Scholar]
- Speirs, J.; Brady, C.J.; Grierson, D.; Lee, E. Changes in ribosome organization and messenger RNA abundance in ripening tomato fruits. Aust. J. Plant. Physiol. 1984, 11, 225–233. [Google Scholar] [CrossRef]
- Ishiguro, K.; Arai, T.; Suzuki, T. Depletion of S-adenosylmethionine impacts on ribosome biogenesis through hypomodification of a single rRNA methylation. Nucleic Acids Res. 2019, 47, 4226–4239. [Google Scholar] [CrossRef]
- Lightfoot, H.L.; Hall, J. Endogenous polyamine function--the RNA perspective. Nucleic Acids Res. 2014, 42, 11275–11290. [Google Scholar] [CrossRef]
- Mattoo, A.K.; Handa, A.K. Higher polyamines restore and enhance metabolic memory in ripening fruit. Plant. Sci. 2008, 174, 386–393. [Google Scholar] [CrossRef]
- Handa, A.K.; Fatima, T.; Mattoo, A.K. Polyamines: Biomolecules with diverse functions in plant and human health and disease. Front. Chem. 2018, 6, 10. [Google Scholar] [CrossRef]
- Mehta, R.A.; Cassol, T.; Li, N.; Ali, N.; Handa, A.K.; Mattoo, A.K. Engineered polyamine accumulation in tomato enhances phytonutrient content, juice quality and vine life. Nat. Biotechnol. 2002, 20, 613–618. [Google Scholar] [CrossRef] [PubMed]
- Belda-Palazón, B.; Ruiz, L.; Martí, E.; Tárraga, S.; Tiburcio, A.F.; Culiáñez, F.; Farras, R.; Carrasco, P.; Ferrando, A. Aminopropyltransferases involved in polyamine biosynthesis localize preferentially in the nucleus of plant cells. PLoS ONE 2012, 7, e46907. [Google Scholar] [CrossRef] [PubMed]
- Upadhyay, R.K.; Fatima, T.; Handa, A.K.; Mattoo, A.K. Polyamines and their biosynthesis/catabolism genes are differentially modulated in response to heat versus cold stress in tomato leaves (Solanum lycopersicum L.). Cells 2020, 9, 1749. [Google Scholar] [CrossRef] [PubMed]
- Kramer, G.; Boehringer, D.; Ban, N.; Bukau, B. The ribosome as a platform for co-translational processing, folding and targeting of newly synthesized proteins. Nat. Struct. Mol. Biol. 2009, 16, 589–597. [Google Scholar] [CrossRef] [PubMed]
- Duc, K.; Batra, S.S.; Bhattacharya, N.; Cate, J.H.D.; Song, Y.S. Differences in the path to exit the ribosome across the three domains of life. Nucleic Acids Res. 2019, 47, 4198–4210. [Google Scholar] [CrossRef]
- Mattoo, A.K.; Chung, A.H.; Goyal, R.K.; Fatima, T.; Solomos, T.; Srivastava, A.; Handa, A.K. Overaccumulation of higher polyamines in ripening transgenic tomato fruit revives metabolic memory, upregulates anabolism-related genes, and positively impacts nutritional quality. J. AOAC Internat. 2007, 90, 1456–1464. [Google Scholar] [CrossRef]
- Srivastava, A.; Chung, S.H.; Fatima, T.; Datsenka, T.; Handa, A.K.; Mattoo, A.K. Polyamines as anabolic growth regulators revealed by transcriptome analysis and metabolic profiles of tomato fruits engineered to accumulate spermidine and spermine. Plant. Biotechnol. 2007, 24, 57–70. [Google Scholar] [CrossRef]
- Fatima, T.; Sobolev, A.P.; Teasdale, J.R.; Kramer, M.; Bunce, J.; Handa, A.K.; Mattoo, A.K. Fruit metabolic networks in engineered and non-engineered tomato genotypes reveal fluidity in a hormone and agroecosystem specific manner. Metabolomics 2016, 12, 103. [Google Scholar] [CrossRef]
- McMahon M, Contreras A, Ruggero, D. Small RNAs with big implications: New insights into H/ACA snoRNA function and their role in human disease. Wiley Interdiscip. Rev. RNA. 2015, 2, 173–189. [Google Scholar] [CrossRef]
- Liang, J.; Wen, J.; Huang, Z.; Chen, X.-P.; Zhang, B.-X.; Chu, L. Small nucleolar RNAs: Insight into their function in cancer. Front. Oncol. 2019, 9. [Google Scholar] [CrossRef]
- Brown, J.W.; Echeverria, M.; Qu, L.H. Plant snoRNAs: Functional evolution and new modes of gene expression. Trends Plant. Sci. 2003, 8, 42–49. [Google Scholar] [CrossRef]
- Chen, C.L.; Liang, D.; Zhou, H.; Zhou, M.; Chen, Y.Q.; Qu, L.H. The high diversity of snoRNAs in plants: Identification and comparative study of 120 snoRNA genes from Oryza Sativa. Nucleic Acids Res. 2003, 31, 2601–2613. [Google Scholar] [CrossRef] [PubMed]
- Kim, S.H.; Spensley, M.; Choi, S.K.; Calixto, C.P.G.; Pendle, A.F.; Koroleva, O.; Shaw, P.J.; Brown, J.W.S. Plant U13 orthologues and oRPhan snoRNAs identified by RNomics of RNA from Arabidopsis nucleoli. Nucleic Acid Res. 2010, 38, 3054–3067. [Google Scholar] [CrossRef] [PubMed]
- Janin, M.; Coll-SanMartin, L.; Esteller, M. Disruption of the RNA modifications that target the ribosome translation machinery in human cancer. Molec. Cancer 2020, 19, 70. [Google Scholar] [CrossRef]
- Barsan, C.; Sanchez-Bel, P.; Rombaldi, C.; Egea, I.; Rossignol, M.; Kuntz, M.; Zouine, M.; Latché, A.; Bouzayen, M.; Pech, J.-C. Characteristics of the tomato chromoplast revealed by proteomic analysis. J. Exp. Bot. 2010, 61, 2413–2431. [Google Scholar] [CrossRef]
- Barsan, C.; Zouine, M.; Maza, E.; Bian, W.; Egea, I.; Rossignol, M.; Bouyssie, D.; Pichereaux, C.; Purgatto, E.; Bouzayen, M.; et al. Proteomic analysis of chloroplast-to-chromoplast transition in tomato reveals metabolic shifts coupled with disrupted thylakoid biogenesis machinery and elevated energy-production components. Plant. Physiol. 2012, 160, 708–725. [Google Scholar] [CrossRef]
- Pokalsky, A.R.; Hiatt, W.R.; Ridge, N.; Rasmussen, R.; Houck, C.M.; Shewmaker, C.K. Structure and expression of elongation factor 1 alpha in tomato. Nucleic Acids Res. 1989, 17, 4661–4673. [Google Scholar] [CrossRef]
- Talapatra, S.; Wagner, J.; Thompson, C. Elongation factor-1 alpha is a selective regulator of growth factor withdrawal and ER stress-induced apoptosis. Cell Death Differ. 2002, 9, 856–861. [Google Scholar] [CrossRef]
- Raabe, K.; Honys, D.; Michailidis, C. The role of eukaryotic initiation factor 3 in plant translation regulation. Plant. Physiol. Biochem. 2019, 145, 75–83. [Google Scholar] [CrossRef]
- Wang, T.W.; Lu, L.; Wang, D.; Thompson, J.E. Isolation and characterization of senescence-induced cDNAs encoding deoxyhypusine synthase and eukaryotic translation initiation factor 5A from tomato. J. Biol. Chem. 2001, 276, 17541–17549. [Google Scholar] [CrossRef]
- Bokszczanin, K.L.; Krezdorn, N.; Fragkostefanakis, S.; Muller, S.; Rycak, L.; Chen, Y.; Hoffmeier, K.; Kreutz, J.; Paupiere, M.J.; Chaturvedi, P.; et al. Identification of novel small ncRNAs in pollen of tomato. BMC Genom. 2015, 16, 714. [Google Scholar] [CrossRef] [PubMed]
- Trapnell, C.; Williams, B.A.; Pertea, G.; Mortazavi, A.; Kwan, G.; Van Baren, M.J.; Salzberg, S.L.; Wold, B.J.; Pachter, L. Transcript assembly and quantification by RNA-Seq reveals unannotated transcripts and isoform switching during cell differentiation. Nat. Biotechnol. 2010, 28, 511–515. [Google Scholar] [CrossRef] [PubMed]
- Anders, S.; Huber, W. Differential expression analysis for sequence count data. Genome Biol. 2010, 11, R106. [Google Scholar] [CrossRef]
- Benjamini, Y.; Hochberg, Y. Controlling the false discovery rate. A practical and powerful approach to multiple testing. J. Roy. Stat. Soc. B Met. 1995, 57, 289–300. [Google Scholar] [CrossRef]
- Shannon, P.; Markiel, A.; Ozier, O.; Baliga, N.S.; Wang, J.T.; Ramage, D.; Amin, N.; Schwikowski, B.; Ideker, T. Cytoscape: A software environment for integrated models of biomolecular interaction networks. Genome Res. 2003, 13, 2498–2504. [Google Scholar] [CrossRef]








| Avg FPKM in 556AZ and 579HO Fruits * | 579HO B vs. 556AZ B | 579HO B8 vs. 556AZ B8 | |||||||
|---|---|---|---|---|---|---|---|---|---|
| Gene ID | Gene Description | 556AZ B | 556AZ B8 | 579HO B | 579HO B8 | log2 Fold Change | padj | log2 Fold Change | padj |
| Solyc02g085560 | DNA-directed RNA Pol III | 2.85 | 4.60 | 2.48 | 10.24 | −0.02 | 1.00 | 1.07 | 4.00E−03 |
| Solyc06g005790 | DNA-directed RNA Pol II subunit | 16.80 | 19.62 | 14.89 | 33.99 | 0.01 | 1.00 | 0.71 | 6.90E−05 |
| Solyc06g073870 | DNA-directed RNA Pol II subunit 4 | 78.52 | 70.75 | 84.79 | 118.61 | 0.30 | 0.69 | 0.67 | 7.10E−06 |
| Solyc02g061790 | Activated RNA Pol II transcriptional coactivator p15 | 24.71 | 22.06 | 56.88 | 58.29 | 1.38 | 1.90E−05 | 1.32 | 4.60E−13 |
| Solyc03g097990 | RNA Pol II subunit | 18.16 | 5.70 | 16.28 | 14.19 | 0.04 | 1.00 | 1.23 | 3.40E−05 |
| Solyc02g078580 | RNA Pol-associated RTF1 homolog | 15.85 | 12.62 | 11.96 | 21.23 | −0.21 | 0.87 | 0.67 | 9.10E−05 |
| Solyc03g121020 | RNA Pol II-associated factor 1 homolog | 10.84 | 8.99 | 9.88 | 14.69 | 0.05 | 1.00 | 0.63 | 5.50E−04 |
| Solyc04g072880 | RNA Pol II holoenzyme cyclin subunit | 13.95 | 16.45 | 14.35 | 9.06 | 0.21 | 0.88 | −0.94 | 4.10E−06 |
| Solyc08g065160 | Mediator of RNA Pol II transcription subunit 10 | 95.00 | 60.94 | 78.75 | 36.14 | −0.09 | 1.00 | −0.83 | 1.60E−07 |
| Avg FPKM in 556AZ and 579HO Fruits * | 579HO B vs. 556AZ B | 579HO B8 vs. 556AZ B8 | |||||||
|---|---|---|---|---|---|---|---|---|---|
| Gene ID | Gene Description | 556AZ B | 556AZ B8 | 579HO B | 579HO B8 | log2 Fold Change | padj | log2 Fold Change | padj |
| Solyc01g111420 | RP L1 | 19.11 | 23.38 | 17.86 | 65.16 | 0.10 | 1.00 | 1.40 | 4.60E−22 |
| Solyc11g068420 | RP L1 | 289.50 | 107.82 | 207.49 | 263.92 | −0.28 | 0.81 | 1.21 | 7.00E−19 |
| Solyc01g087730 | 50S RP L1b | 90.04 | 81.22 | 55.64 | 38.62 | −0.51 | 0.24 | −1.15 | 4.90E−16 |
| Solyc01g104590 | RP L3 | 296.25 | 204.70 | 303.40 | 528.49 | 0.23 | 0.80 | 1.29 | 3.40E−24 |
| Solyc10g047150 | 50S RP L4 | 9.10 | 5.74 | 3.34 | 1.43 | −1.28 | 0.37 | −2.08 | 0.019 |
| Solyc09g007560 | 50S RP L5 | 55.13 | 85.42 | 53.18 | 46.52 | 0.13 | 0.97 | −0.96 | 2.60E−11 |
| Solyc11g012110 | 60S RP L6 | 300.29 | 238.37 | 315.34 | 732.88 | 0.27 | 0.74 | 1.54 | 4.80E−33 |
| Solyc05g054070 | 60S RP L6 | 94.40 | 66.36 | 119.59 | 191.29 | 0.54 | 0.23 | 1.45 | 5.90E−27 |
| Solyc09g092080 | 50S RP L7Ae | 11.94 | 6.39 | 12.62 | 33.37 | 0.28 | 0.95 | 2.3 | 2.00E−20 |
| Solyc09g011420 | 50S RP L7Ae | 33.05 | 32.45 | 44.31 | 98.11 | 0.64 | 0.21 | 1.52 | 4.90E−22 |
| Solyc12g038980 | 50S RP L7Ae | 153.52 | 98.20 | 143.56 | 240.65 | 0.12 | 1.00 | 1.21 | 1.90E−17 |
| Solyc06g064460 | RP L7a | 52.69 | 33.24 | 32.60 | 21.25 | −0.5 | 0.28 | −0.73 | 3.40E−05 |
| Solyc05g054580 | 60S acidic RP L10 | 205.85 | 121.41 | 201.33 | 431.54 | 0.17 | 0.92 | 1.75 | 3.30E−15 |
| Solyc11g065670 | RP L12 | 238.64 | 200.29 | 257.42 | 548.15 | 0.31 | 0.66 | 1.37 | 4.60E−25 |
| Solyc06g075180 | RP L12 | 420.22 | 88.61 | 237.59 | 238.75 | −0.63 | 0.18 | 1.35 | 4.00E−21 |
| Solyc02g086730 | 50S RP L12-C | 86.37 | 59.54 | 82.09 | 41.44 | 0.13 | 0.99 | −0.6 | 9.70E−04 |
| Solyc08g075700 | 60S RP L13 | 246.14 | 184.16 | 276.56 | 489.11 | 0.37 | 0.53 | 1.33 | 1.10E−24 |
| Solyc12g096150 | 60S RP L13 | 131.14 | 108.59 | 134.72 | 271.45 | 0.24 | 0.82 | 1.24 | 7.30E−20 |
| Solyc09g090610 | 50S RP L14 | 76.33 | 51.01 | 106.92 | 310.40 | 0.71 | 0.37 | 2.53 | 3.50E−26 |
| Solyc05g009370 | 50S RP L15b | 20.68 | 35.38 | 32.93 | 23.83 | 0.85 | 0.02 | −0.65 | 1.70E−04 |
| Solyc12g011440 | 60S RP L18a | 35.57 | 35.24 | 16.54 | 14.60 | −0.93 | 0.03 | −1.35 | 3.40E−10 |
| Solyc05g007910 | 50S RP L18 | 3.14 | 2.06 | 1.49 | 0.67 | −0.87 | 0.45 | −1.71 | 0.006 |
| Solyc09g075160 | 60S RP L22-2 | 23.36 | 17.96 | 15.57 | 46.49 | −0.37 | 0.71 | 1.29 | 1.30E−09 |
| Solyc10g086330 | 60S RP L23a | 107.77 | 94.18 | 122.15 | 208.20 | 0.39 | 0.76 | 1.06 | 3.30E−13 |
| Solyc10g083740 | 60S RP L24e | 57.96 | 5.96 | 39.27 | 35.59 | −0.35 | 0.66 | 2.50 | 1.40E−25 |
| Solyc10g085480 | 60S RP L24 | 373.57 | 257.75 | 422.28 | 764.50 | 0.37 | 0.50 | 1.49 | 1.90E−30 |
| Solyc07g043360 | 60S RP L27 | 359.28 | 277.37 | 383.98 | 754.59 | 0.30 | 0.66 | 1.36 | 4.40E−25 |
| Solyc06g071720 | 60S RP L27a | 2125.46 | 1035.99 | 1619.17 | 648.79 | −0.21 | 0.82 | −0.76 | 6.30E−09 |
| Solyc05g053440 | 60S RP L29 | 176.57 | 82.63 | 161.86 | 187.73 | 0.07 | 1.00 | 1.11 | 4.80E−14 |
| Solyc04g072660 | 60S RP L30e | 139.80 | 61.67 | 155.02 | 183.65 | 0.35 | 0.59 | 1.49 | 3.40E−26 |
| Solyc01g009100 | 60S RP L30 | 58.76 | 34.65 | 71.41 | 86.61 | 0.49 | 0.58 | 1.24 | 1.80E−16 |
| Solyc08g006900 | 60S RP L32 | 20.78 | 20.66 | 24.46 | 56.71 | 0.44 | 0.72 | 1.38 | 5.90E−20 |
| Solyc06g062760 | 50S RP L34 | 4.93 | 5.20 | 10.20 | 19.76 | 1.23 | 0.01 | 1.85 | 4.20E−16 |
| Solyc05g007560 | 60S RP L34 | 151.76 | 81.29 | 162.80 | 307.86 | 0.30 | 0.77 | 1.84 | 5.70E−42 |
| Solyc04g010240 | 60S RP L35 | 165.20 | 78.68 | 159.67 | 192.83 | 0.15 | 0.96 | 1.21 | 5.20E−18 |
| Solyc08g007140 | 60S RP L37a | 208.80 | 118.69 | 270.08 | 368.63 | 0.58 | 0.58 | 1.56 | 5.20E−30 |
| Solyc03g120780 | 60S RP L37 | 173.59 | 150.63 | 195.36 | 378.27 | 0.37 | 0.54 | 1.25 | 9.90E−21 |
| Solyc04g016390 | 54S RP L39 | 19.73 | 14.91 | 21.93 | 45.63 | 0.35 | 0.88 | 1.54 | 3.30E−07 |
| Solyc07g005050 | 60S RP L39e | 342.13 | 104.92 | 299.71 | 275.44 | −0.01 | 1.00 | 1.31 | 1.00E−21 |
| Solyc06g071530 | 60S RP L44 | 137.29 | 109.19 | 171.14 | 296.82 | 0.52 | 0.23 | 1.36 | 2.60E−23 |
| Solyc01g016470 | 60S RP | 41.35 | 31.00 | 40.77 | 114.70 | 0.18 | 0.94 | 1.81 | 1.80E−32 |
| Solyc06g074430 | 60S acidic RP-like | 316.74 | 183.27 | 316.94 | 623.50 | 0.20 | 0.87 | 1.69 | 2.30E−38 |
| Solyc01g104370 | 60S acidic RP P1 | 269.11 | 248.17 | 337.20 | 712.90 | 0.53 | 0.22 | 1.44 | 6.00E−29 |
| Solyc01g057830 | 30S RP S1 | 24.71 | 28.76 | 21.80 | 19.04 | 0.01 | 1.00 | −0.67 | 7.80E−05 |
| Solyc09g097910 | RP S1 | 9.30 | 8.50 | 9.76 | 5.16 | 0.25 | 0.83 | −0.8 | 0.001 |
| Solyc03g034190 | RP PSRP-3 | 14.10 | 21.85 | 26.37 | 57.73 | 1.09 | 3.30E−03 | 1.32 | 7.70E−11 |
| Solyc11g042610 | 40S RP S5 | 76.76 | 52.94 | 77.27 | 142.69 | 0.22 | 0.92 | 1.35 | 4.00E−20 |
| Solyc04g077130 | 50S RP 6 | 47.48 | 58.64 | 136.63 | 148.10 | 1.72 | 1.50E−08 | 1.26 | 2.80E−12 |
| Solyc12g036450 | 40S RP S7-like | 2.72 | 1.64 | 1.55 | 5.18 | −0.66 | 0.93 | 1.58 | 2.60E−02 |
| Solyc01g010540 | RP S9 | 62.19 | 49.36 | 65.77 | 128.93 | 0.29 | 0.77 | 1.31 | 4.90E−20 |
| Solyc01g099670 | 40S RP S10-like | 182.66 | 152.99 | 178.48 | 430.71 | 0.17 | 0.93 | 1.41 | 1.30E−27 |
| Solyc03g078290 | 40S RP S13 | 86.40 | 59.22 | 94.15 | 205.97 | 0.32 | 0.65 | 1.72 | 4.70E−07 |
| Solyc05g051000 | 40S RP S13 | 35.61 | 27.55 | 40.87 | 78.99 | 0.41 | 0.71 | 1.44 | 6.60E−20 |
| Solyc09g083370 | 30S RP S19 | 1.97 | 1.88 | 2.66 | 7.98 | 0.63 | 0.68 | 2.01 | 1.10E−08 |
| Solyc06g068710 | RP S27 | 9.11 | 7.89 | 7.72 | 21.17 | −0.03 | 1.00 | 1.34 | 1.50E−09 |
| Solyc01g008090 | RP S27 | 36.38 | 29.68 | 40.39 | 73.07 | 0.36 | 0.67 | 1.22 | 4.70E−13 |
| Solyc02g021400 | 40S RP S28 | 549.84 | 437.62 | 494.04 | 1117.90 | 0.05 | 1.00 | 1.27 | 4.60E−13 |
| Avg FPKM in 556AZ and 579HO Fruits * | 579HO B vs. 556AZ B | 579HO B8 vs. 556AZ B8 | |||||||
|---|---|---|---|---|---|---|---|---|---|
| Gene ID | Gene Description | 556AZ B | 556AZ B8 | 579HO B | 579HO B8 | log2 Fold Change | padj | log2 Fold Change | padj |
| Solyc07g064620 | TIF SUI1 | 228.98 | 168.15 | 301.90 | 967.76 | 0.58 | 0.13 | 2.45 | 1.22E−05 |
| Solyc10g006470 | TIF SUI1 | 130.42 | 87.68 | 214.61 | 231.09 | 0.90 | 0.04 | 1.32 | 3.25E−22 |
| Solyc11g045120 | TIF SUI1 | 27.55 | 38.18 | 23.17 | 125.99 | −0.05 | 1.00 | 1.64 | 3.51E−24 |
| Solyc05g050200 | TIF 1A | 230.46 | 229.34 | 249.91 | 380.51 | 0.30 | 0.64 | 0.65 | 1.56E−06 |
| Solyc06g082580 | TIF 2 beta subunit-like | 74.76 | 82.58 | 66.52 | 144.39 | 0.02 | 1.00 | 0.73 | 0.033963 |
| Solyc05g054310 | TIF 2 gamma subunit | 7.79 | 4.81 | 6.59 | 12.18 | −0.03 | 1.00 | 1.26 | 7.34E−10 |
| Solyc12g099470 | TIF 2 gamma subunit | 31.65 | 29.71 | 32.73 | 55.40 | 0.25 | 0.80 | 0.82 | 6.38E−08 |
| Solyc01g066690 | TIF 2 gamma subunit | 38.63 | 31.66 | 38.50 | 51.49 | 0.18 | 0.90 | 0.62 | 3.74E−05 |
| Solyc11g072090 | TIF e-2B gamma subunit | 10.84 | 11.81 | 12.73 | 20.83 | 0.42 | 0.54 | 0.74 | 7.91E−05 |
| Solyc08g081900 | TIF-2 | 47.65 | 58.49 | 43.26 | 38.62 | 0.03 | 1.00 | −0.68 | 1.60E−06 |
| Solyc02g089070 | TIF 3 subunit M | 46.21 | 39.94 | 39.16 | 63.98 | −0.04 | 1.00 | 0.60 | 6.75E−05 |
| Solyc01g111720 | TIF -3 | 22.31 | 28.73 | 39.06 | 48.83 | 1.00 | 0.00 | 0.68 | 3.30E−06 |
| Solyc07g005830 | TIF -3 | 25.22 | 18.58 | 30.01 | 30.04 | 0.44 | 0.41 | 0.61 | 6.10E−04 |
| Solyc05g052690 | TIF 3 subunit 5 | 12.51 | 7.22 | 10.31 | 12.25 | −0.08 | 1.00 | 0.68 | 0.003033 |
| Solyc10g079880 | TIF 3 subunit 6 | 98.95 | 75.88 | 90.12 | 123.24 | 0.06 | 1.00 | 0.62 | 1.00E−05 |
| Solyc02g078120 | TIF 3 subunit 7 | 81.54 | 69.50 | 86.60 | 185.48 | 0.28 | 0.72 | 1.34 | 1.63E−24 |
| Solyc07g042570 | TIF 3 subunit 11 | 26.49 | 20.78 | 21.88 | 34.34 | −0.08 | 1.00 | 0.64 | 0.000307 |
| Solyc12g009960 | TIF 4 | 268.11 | 369.80 | 148.96 | 261.71 | −0.65 | 0.04 | −0.58 | 0.068 |
| Solyc02g091220 | TIF 5 | 16.74 | 16.17 | 15.85 | 35.12 | 0.13 | 1.00 | 1.04 | 6.67E−05 |
| Solyc03g115650 | TIF 5A | 608.59 | 468.38 | 380.09 | 134.97 | −0.50 | 0.48 | −1.87 | 9.90E−47 |
| Solyc04g005510 | TIF 5A | 28.88 | 11.18 | 25.71 | 18.57 | 0.03 | 1.00 | 0.66 | 0.006651 |
| Solyc07g053470 | Translation EF A | 22.40 | 30.45 | 26.24 | 48.64 | 0.45 | 0.62 | 0.60 | 5.23E−05 |
| Solyc11g069700 | EF 1-alpha | 237.33 | 24.59 | 45.96 | 731.23 | −2.14 | 0.01 | 4.81 | 6.80E−03 |
| Solyc06g009970 | EF 1-alpha | 580.98 | 421.60 | 477.65 | 680.79 | −0.08 | 0.98 | 0.61 | 3.69E−06 |
| Solyc11g072190 | EF beta-1 | 732.10 | 281.72 | 474.17 | 480.92 | −0.43 | 0.31 | 0.69 | 2.42E−07 |
| Solyc06g011280 | EF 1-gamma | 231.68 | 148.77 | 196.44 | 253.96 | −0.04 | 1.00 | 0.69 | 2.07E−07 |
| Solyc09g073000 | EF Tu | 31.89 | 40.16 | 51.87 | 85.99 | 0.90 | 0.06 | 1.02 | 1.40E−14 |
| Solyc06g008940 | EF Tu /EF1A | 4.28 | 10.40 | 6.44 | 16.39 | 0.82 | 0.34 | 0.58 | 0.003 |
| Solyc06g071790 | EF Tu | 111.53 | 144.68 | 109.46 | 99.93 | 0.16 | 0.94 | −0.61 | 1.00E−05 |
| Solyc01g098000 | EF like | 31.48 | 36.24 | 32.95 | 68.22 | 0.27 | 0.93 | 0.83 | 3.13E−06 |
| Solyc04g009810 | Pelota homolog probable translation F | 8.86 | 5.97 | 7.27 | 14.56 | −0.10 | 1.00 | 1.20 | 0.003231 |
Publisher’s Note: MDPI stays neutral with regard to jurisdictional claims in published maps and institutional affiliations. |
© 2020 by the authors. Licensee MDPI, Basel, Switzerland. This article is an open access article distributed under the terms and conditions of the Creative Commons Attribution (CC BY) license (http://creativecommons.org/licenses/by/4.0/).
Share and Cite
Shukla, V.; Fatima, T.; Goyal, R.K.; Handa, A.K.; Mattoo, A.K. Engineered Ripening-Specific Accumulation of Polyamines Spermidine and Spermine in Tomato Fruit Upregulates Clustered C/D Box snoRNA Gene Transcripts in Concert with Ribosomal RNA Biogenesis in the Red Ripe Fruit. Plants 2020, 9, 1710. https://doi.org/10.3390/plants9121710
Shukla V, Fatima T, Goyal RK, Handa AK, Mattoo AK. Engineered Ripening-Specific Accumulation of Polyamines Spermidine and Spermine in Tomato Fruit Upregulates Clustered C/D Box snoRNA Gene Transcripts in Concert with Ribosomal RNA Biogenesis in the Red Ripe Fruit. Plants. 2020; 9(12):1710. https://doi.org/10.3390/plants9121710
Chicago/Turabian StyleShukla, Vijaya, Tahira Fatima, Ravinder K. Goyal, Avtar K. Handa, and Autar K. Mattoo. 2020. "Engineered Ripening-Specific Accumulation of Polyamines Spermidine and Spermine in Tomato Fruit Upregulates Clustered C/D Box snoRNA Gene Transcripts in Concert with Ribosomal RNA Biogenesis in the Red Ripe Fruit" Plants 9, no. 12: 1710. https://doi.org/10.3390/plants9121710
APA StyleShukla, V., Fatima, T., Goyal, R. K., Handa, A. K., & Mattoo, A. K. (2020). Engineered Ripening-Specific Accumulation of Polyamines Spermidine and Spermine in Tomato Fruit Upregulates Clustered C/D Box snoRNA Gene Transcripts in Concert with Ribosomal RNA Biogenesis in the Red Ripe Fruit. Plants, 9(12), 1710. https://doi.org/10.3390/plants9121710

