Baccharis dracunculifolia and Dalbergia ecastophyllum, Main Plant Sources for Bioactive Properties in Green and Red Brazilian Propolis
Abstract
1. Introduction
2. General Information about Plant Sources of Propolis
2.1. Baccharis dracunculifolia—Source of Green Brazilian Propolis
2.2. Dalbergia ecastophyllum—Source of Red Brazilian Propolis
3. Propolis Chemical Composition
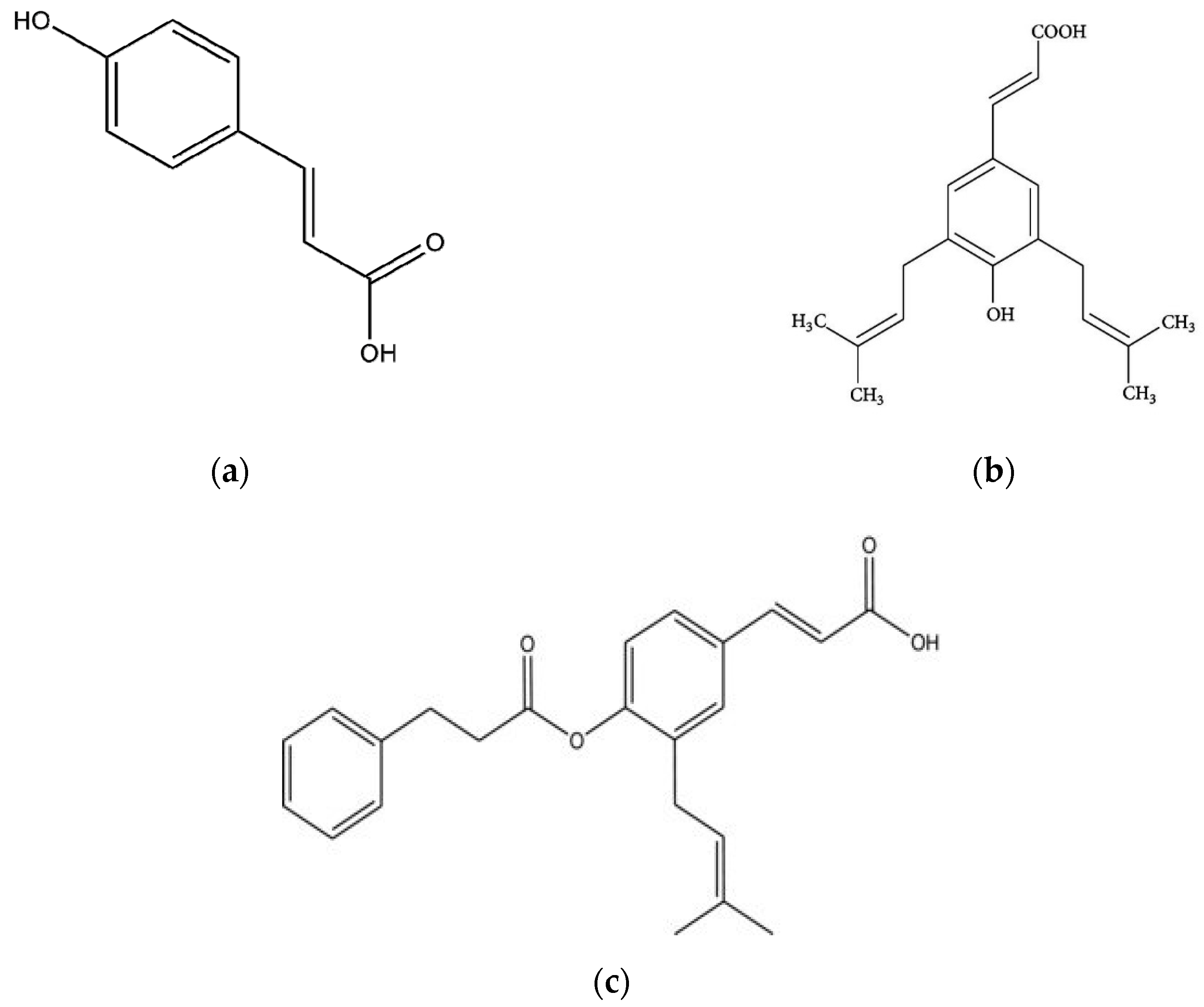
3.1. Main Classes of Compounds
3.2. Identification and Quantification Methods of the Main Propolis Compounds
4. Bioactive Properties of Green and Red Propolis Due to the Chemical Composition
4.1. Antioxidant Activity
4.2. Antibacterial and Antifungal Activity
4.3. Antiviral Activity
4.4. Anti-Parasitic Activity
4.5. Anti-Inflammatory Activity and Wound Healing Effect
4.6. Antitumor and Anti-Proliferative Activity
4.7. Immunomodulatory Action
4.8. Other Biological Activities
5. Conclusions
Author Contributions
Funding
Acknowledgments
Conflicts of Interest
References
- Bankova, V.S.; De Castro, S.L.; Marcucci, M.C. Propolis: Recent advances in chemistry and plant origin. Apidologie 2000, 31, 3–15. [Google Scholar] [CrossRef]
- Lins Cavalcanti de Pontes, M.; Alves Vasconcelos, I.R.; de Fátima Formiga de Melo Diniza, M.; de Luna Freire Pessôa, H. Chemical characterization and pharmacological action of Brazilian red propolis. Acta Brasiliensis 2018, 1, 34–39. [Google Scholar] [CrossRef]
- Markham, K.R.; Mitchell, K.A.; Wilkins, A.L.; Daldy, J.A.; Lu, Y. HPLC and GC-MS identification of the major organic constituents in New Zeland propolis. Phytochemistry 1996, 42, 205–211. [Google Scholar] [CrossRef]
- Bankova, V. Chemical diversity of propolis and the problem of standardization. J. Ethnopharm. 2005, 100, 114–117. [Google Scholar] [CrossRef]
- Marcucci, M.C. Propolis: Chemical composition, biological properties and therapeutical activity. Apidologie 1995, 26, 83–99. [Google Scholar] [CrossRef]
- Miguel, M.G. Chemical and biological properties of propolis from the Western countries of the Mediterranean basin and Portugal. Int. J. Pharm. Pharm. Sci. 2013, 5, 403–409. [Google Scholar]
- Silva-Carvalho, R.; Baltazar, F.; Almeida-Aguiar, C. Propolis: A Complex Natural Product with a Plethora of Biological Activities That Can Be Explored for Drug Development. Evid. Based Complementary Altern. Med. 2015, 2015, 206439. [Google Scholar] [CrossRef]
- Banskota, A.H.; Tezuka, Y.; Kadota, S. Recent Progress in Pharmacological Research of Propolis. Phytother. Res. 2001, 15, 561–571. [Google Scholar] [CrossRef]
- Machado, B.A.S.; Silva, R.P.D.; Barreto, G.dA.; Costa, S.S.; Silva, D.F.; Brandão, H.N.; Carneiro da Rocha, J.L.; Dellagostin, O.A.; Pegas Henriques, J.A.; Umsza-Guez, M.A.; et al. Chemical Composition and Biological Activity of Extracts Obtained by Supercritical Extraction and Ethanolic Extraction of Brown, Green and Red Propolis Derived from Different Geographic Regions in Brazil. PLoS ONE 2016, 11, e0145954. [Google Scholar] [CrossRef]
- Dantas Silva, R.P.; Machado, B.A.S.; Barreto, G.dA.; Costa, S.S.; Andrade, L.N.; Amaral, R.G. Antioxidant, antimicrobial, antiparasitic, and cytotoxic properties of various Brazilian propolis extracts. PLoS ONE 2017, 12, e0172585. [Google Scholar] [CrossRef]
- Przybyłek, I.; Karpinski, M.T. Antibacterial Properties of Propolis. Molecules 2019, 24, 2047. [Google Scholar] [CrossRef]
- Fokt, H.; Pereira, A.; Ferreira, A.M.; Cunha, A.; Aguiar, C. How do bees prevent hive infections? The antimicrobial properties of propolis. In Current Research, Technology and Education Topics in Applied Microbiology and Microbial Biotechnology; Mendez-Vilas, A., Ed.; Microbiology Book Series—Number 2; Formatex Research Center: Badajoz, Spain, 2010; Volume 1, pp. 481–493. [Google Scholar]
- Park, Y.K.; Alencar, S.M.; Aguiar, C.L. Botanical origin and chemical composition of Brazilian propolis. J. Agric. Food Chem. 2002, 50, 2502–2506. [Google Scholar] [CrossRef] [PubMed]
- Kartal, M.; Yıldız, S.; Kaya, S.; Kurucu, S.; Topçu, G. Antimicrobial activity of propolis samples from two different regions of Anatolia. J. Ethnopharm. 2003, 86, 69–73. [Google Scholar] [CrossRef]
- Popova, M.; Bankova, V.; Naydensky, C.; Tsvetkova, I.; Kujumgiev, A. Comparative study of the biological activity of propolis from different geographic origin: A statistical approach. Maced. Pharm. Bull. 2004, 50, 9–14. [Google Scholar]
- Popova, M.; Silici, S.; Kaftanoglu, O.; Bankova, V. Antibacterial activity of Turkish propolis and its qualitative and quantitative chemical composition. Phytomedicine 2005, 12, 221–228. [Google Scholar] [CrossRef] [PubMed]
- Ristivojević, P.; Trifković, J.; Andrić, F.; Milojković-Opsenica, D. Poplar-type Propolis: Chemical Composition, Botanical Origin and Biological Activity. Nat. Prod. Commun. 2015, 10, 1869–1876. [Google Scholar] [CrossRef] [PubMed]
- Spanish Snail S.L. Available online: http://spanishsnailsl.com/green-propolis-spanishsnail.html (accessed on 21 November 2020).
- Imkerei Schachtner. Available online: https://www.imkerei-schachtner.de/en/beeproducts/propolis/propolis/209/red-propolis-blocks-from-brazil-raw-propolis (accessed on 21 November 2020).
- Popova, M.P.; Bankova, V.S.; Bogdanov, S.; Tsvetkova, I.; Naydenskic, C.; Marcazzan, G.L.; Sabatini, A.G. Chemical characteristics of poplar type propolis of different geographic origin. Apidologie 2007, 38, 306–311. [Google Scholar] [CrossRef]
- Salatino, A.; Teixeira, É.W.; Negri, G.; Message, D. Origin and chemical variation of Brazilian propolis. Evid. Based Complementary Alternat. Med. 2005, 2, 33–38. [Google Scholar] [CrossRef]
- Warakomska, Z.; Maciejewicz, W. Microscopic analysis of propolis from Polish regions. Apidologie 1992, 23, 277–283. [Google Scholar] [CrossRef]
- Mărghitaş, L.A.; Dezmirean, D.S.; Bobiş, O. Important developments in Romanian propolis research. Evid. Based Complementary Alternat. Med. 2013, 2013, 159392. [Google Scholar] [CrossRef]
- Tomas-Barberán, F.A.; Garcia-Viguera, C.; Vitolivier, P.; Ferreres, F.; Tomás Lorente, F. Phytochemical evidence for the botanical origin of tropical propolis from Venezuela. Phytochemistry 1993, 34, 191–196. [Google Scholar] [CrossRef]
- Cuesta-Rubio, O.; Frontana-Uribe, B.A.; Ramirez-Apan, T.; Cardenas, J. Polyisoprenylated benzophenones in Cuban propolis; biological activity of nemorosone. Z. Naturforsch. C. J. Biosci. 2002, 57, 372–378. [Google Scholar] [CrossRef] [PubMed]
- Zabaiou, N.; Fouache, A.; Trousson, A.; Baron, S.; Zellagui, A.; Lahouel, M.; Lobaccaro, J.M.A. Biological properties of propolis extracts: Something new from an ancient product. Chem. Phys. Lipids 2017, 207, 214–222. [Google Scholar] [CrossRef] [PubMed]
- Bastos, E.M.A.F.; Santana, R.A.; Calaça-Costa, A.G.F.; Thiago, P.S. Interaction between Apis mellifera L. and Baccharis dracunculifolia DC, that favours green propolis production in Minas Gerais. Braz. J. Biol. 2011, 71, 727–734. [Google Scholar] [CrossRef]
- Lima, M.G. A Produção de Própolis no Brasil; Impressos São João Editora e Gráfica: São Sebastião da Grama, Brazil, 2006; p. 120. ISBN 85-906033-1-8. [Google Scholar]
- Budel, J.M.; Duarte, M.R.; Santos, C.A.M.; Farago, P.V. Morfoanatomia Foliar e Caulinar de Baccharis dracunculifolia DC., Asteraceae. Acta Farm. Bonaerense 2004, 23, 477–483. [Google Scholar]
- Weinstein Teixeira, A.; Negri, G.; Meira, R.M.S.A.; Message, D.; Salatino, A. Plant Origin of Green Propolis: Bee Behavior, Plant Anatomy and Chemistry. Evid. Based Complementary Alternat. Med. 2005, 2, 85–92. [Google Scholar] [CrossRef]
- Kumazawa, S.; Yoneda, M.; Shibata, I.; Kanaeda, J.; Hamasaka, T.; Nakayama, T. Direct evidence for the plant origin of Brazilian propolis by the observation of honeybee behavior and phytochemical analysis. Chem. Pharm. Bull. 2003, 51, 740–742. [Google Scholar] [CrossRef]
- Park, Y.K.; Paredes-Guzman, J.F.; Aguiar, C.L.; Alencar, S.M.; Fujiwara, F.Y. Chemical constituents in Baccharis dracunculifolia as the main botanical origin of southeastern Brazilian propolis. J. Agric. Food Chem. 2004, 52, 1100–1103. [Google Scholar] [CrossRef]
- Munhoz Rodrigues, D.; Claro De Souza, M.; Arruda, C.; Santinelo Pereira, R.A.; Kenupp Bastos, J. The Role of Baccharis dracunculifolia and its Chemical Profile on Green Propolis Production by Apis mellifera. J. Chem. Ecol. 2020, 46, 150–162. [Google Scholar] [CrossRef]
- Akao, Y.; Maruyama, H.; Matsumoto, K.; Ohguchi, K.; Nishizawa, K.; Sakamoto, T.; Araki, Y.; Mishima, S.; Nozawa, Y. Cell growth inhibitory effect of cinnamic acid derivatives from propolis on human tumor cell lines. Biol. Pharm. Bull. 2003, 26, 1057–1059. [Google Scholar] [CrossRef]
- Silva Filho, A.A.; Bueno, P.C.P.; Gregório, L.E.; Andrade e Silva, M.L.; Albuquerque, S.; Bastos, J.K. In-vitro trypanocidal activity evaluation of crude extract and isolated compounds from Baccharis dracunculifolia D. C. (Asteraceae). J. Pharm. Pharmacol. 2004, 56, 1195–1199. [Google Scholar] [CrossRef] [PubMed]
- Menezes, H. Avaliação da atividade antiinflamatória do extrato aquoso de Baccharis dracunculifolia (ASTERACEAE). Arq. Inst. Biol. São Paulo 2005, 72, 33. [Google Scholar]
- Lemos, M.; Primon de Barros, M.; Barreto Sousa, J.P.; da Silva Filho, A.A.; Kenupp Bastos, J.; Faloni de Andrade, S. Baccharis dracunculifolia, the main botanical source of Brazilian green propolis, displays antiulcer activity. J. Pharm. Pharmacol. 2007, 59, 603–608. [Google Scholar] [CrossRef] [PubMed]
- Bachiega, T.F.; de Sousa, J.P.B.; Bastos, J.K.; Sforcin, J.M. Immunomodulatory/anti-inflammatory effects of Baccharis dracunculifolia leaves. Nat. Prod. Res. 2013, 27, 1646–1650. [Google Scholar] [CrossRef]
- Endo, S.; Hu, D.; Matsunaga, T.; Otsuji, Y.; el-Kabbani, O.; Kandeel, M.; Ikari, A.; Hara, A.; Kitade, Y.; Toyooka, N. Synthesis of non-prenyl analogues of baccharin as selective and potent inhibitors for aldo-keto reductase 1C3. Bioorg. Med. Chem. 2014, 22, 5220–5233. [Google Scholar] [CrossRef]
- Pereira, C.A.; Costa, A.C.B.P.; Liporoni, P.C.S.; Rego, M.A.; Jorge, A.O.C. Antibacterial activity of Baccharis dracunculifolia in planktonic cultures and biofilms of Streptococcus mutans. J. Infect. Public Health 2016, 9, 324–330. [Google Scholar] [CrossRef]
- Roberto, M.M.; Matsumoto, S.T.; Jamal, C.M.; Malaspina, O.; Marin-Marales, M.A. Evaluation of the genotoxicity/mutagenicity and antigenotoxicity/antimutagenicity induced by propolis and Baccharis dracunculifolia, by in vitro study with HTC cells. Toxicol. Vitr. 2016, 33, 9–15. [Google Scholar] [CrossRef]
- Penning, T.M. Aldo-Keto Reductase (AKR) 1C3 inhibitors: A patent review. Expert Opin. Ther. Pat. 2017, 27, 1329–1340. [Google Scholar] [CrossRef]
- De Figueiredo-Rinhel, A.S.G.; de Andrade, M.F.; Landi-Librandi, A.P.; Caleiro Seixas, A.E.; Kabeia, L.M.; Bastos, J.K.; Lucisano-Valim, Y.M. Incorporation of Baccharis dracunculifolia DC (Asteraceae) leaf extract into phosphatidylcholine-cholesterol liposomes improves its anti-inflammatory effect in vivo. Nat. Prod. Res. 2019, 33, 2521–2525. [Google Scholar] [CrossRef]
- Loots, D.T.; Westhuizen, F.H.V.; Jerling, J. Polyphenol composition and antioxidant activities of Kei-Apple (Dovyalis caffra) juice. J. Agric. Food Chem. 2006, 54, 1271–1276. [Google Scholar] [CrossRef]
- Daugsch, A.; Moraes, C.S.; Fort, P.; Park, Y.K. Brazilian Red Propolis—Chemical Composition and Botanical Origin. Evid. Based Complementary Alternat. Med. 2008, 5, 435–441. [Google Scholar] [CrossRef] [PubMed]
- Bueno-Silva, B.; Marsola, A.; Ikegaki, M.; Alencar, S.M.; Rosalen, P.L. The effect of seasons on Brazilian red propolis and its botanical source: Chemical composition and antibacterial activity. Nat. Prod. Res. 2016, 31, 1318–1324. [Google Scholar] [CrossRef] [PubMed]
- De Morais, D.V.; Costa, M.A.P.D.C.; Bárbara, M.F.S.; Silva, F.D.L.; Moreira, M.M.; Delerue-Mato, C.; Dias, L.A.G.; Estevinho, M.L.M.; De Carvalho, C.A.L. Antioxidant, photoprotective and inhibitory activity of tyrosinase in extracts of Dalbergia ecastaphyllum. PLoS ONE 2018, 13, e0207510. [Google Scholar] [CrossRef] [PubMed]
- Ccana-Ccapatinta, G.V.; Aldana Mejía, J.A.; Hikaru Tanimoto, M.; Groppo, M.; Andrade Sarmento de Carvalho, J.C.; Kenupp Bastos, J. Dalbergia ecastaphyllum (L.) Taub. and Symphonia globulifera L.f.: The Botanical Sources of Isoflavonoids and Benzophenones in Brazilian Red Propolis. Molecules 2020, 25, 2060. [Google Scholar] [CrossRef]
- Piccinelli, A.L.; Lotti, C.; Campone, L.; Cuesta-Rubio, O.; Campo Fernandez, M.; Rastrelli, L. Cuban and Brazilian red propolis: Botanical origin and comparative analysis by high-performance liquid chromatography-photodiode array detection/electrospray ionization tandem mass spectrometry. J. Agric. Food Chem. 2011, 59, 6484–6491. [Google Scholar] [CrossRef]
- Santos Lucas, C.I.; Freitas Ferreira, A.; Pereira de Carvalho Costa, M.A.; de Lima Silva, F.; Estevinho, L.M.; Lopes de Carvalho, C.A. Phytochemical study and antioxidant activity of Dalbergia ecastaphyllum. Rodriguésia 2020, 71, e00492019.2020. [Google Scholar] [CrossRef]
- Ehara Watanabe, M.A.; Amarante, M.K.; Bruno José Conti, B.J.; Sforcin, J.M. Cytotoxic constituents of propolis inducing anticancer effects: A review. J. Pharm. Pharmacol. 2011, 63, 1378–1386. [Google Scholar] [CrossRef]
- Pereira Beserra, F.; Gushiken, L.F.S.; Hussni, M.F.; Pena Ribeiro, V.; Bonamin, F.; Jackson, C.J.; Pellizzon, C.H.; Kenupp Bastos, J. Artepillin C as an outstanding phenolic compound of Brazilian green propolis for disease treatment: A review on pharmacological aspects. Phytother. Res. 2020. [Google Scholar] [CrossRef]
- Silva, B.B.; Rosalen, P.L.; Cury, J.A.; Ikegaki, M.; Souza, V.C.; Esteves, A.; Alencar, S.M. Chemical Composition and Botanical Origin of Red Propolis, a New Type of Brazilian Propolis. Evid. Based Complementary Alternat. Med. 2008, 5, 313–316. [Google Scholar] [CrossRef]
- Trusheva, B.; Popova, M.; Bankova, V.; Simova, S.; Marcucci, M.C.; Miorin, P.L.; da Rocha Pasin, F.; Tsvetkova, I. Bioactive Constituents of Brazilian Red Propolis. Evid. Based Complementary Alternat. Med. 2006, 3, 249–254. [Google Scholar] [CrossRef]
- Corbellini Rufatto, L.; Amilton dos Santos, D.; Marinho, F.; Pêgas Henriques, J.A.; Roesch Ely, M.; Moura, S. Red propolis: Chemical composition and pharmacological activity. Asian Pac. J. Trop. Biomed. 2017, 7, 591–598. [Google Scholar] [CrossRef]
- Marcucci, M.C.; Ferreres, F.; García-Viguera, C.; Bankova, V.S.; De Castro, S.L.; Dantas, A.P.; Valente, P.H.M.; Paulino, N. Phenolic compounds from Brazilian propolis with pharmacological activities. J. Ethnopharm. 2001, 74, 105–112. [Google Scholar] [CrossRef]
- De Andrade de Carvalho, F.M.; Schneider, J.K.; Freitas de Jesus, C.V.; Nalone de Andrade, L.; Guimarães Amaral, R.; David, J.M.; Canielas Krause, L.; Severino, P.; Faria Soares, C.M.; Caramão Bastos, E.; et al. Brazilian Red Propolis: Extracts Production, Physicochemical Characterization, and Cytotoxicity Profile for Antitumor Activity. Biomolecules 2020, 10, 726. [Google Scholar] [CrossRef] [PubMed]
- Mendonça-Melo, L.; Mota, E.; Lopez, B.; Sawaya, A.; Freitas, L.; Jain, S.; Batista, M.; Araújo, E. Chemical and genetic similarity between Dalbergia ecastaphyllum and red propolis from the Northeastern Brazil. J. Apic. Res. 2017. [Google Scholar] [CrossRef]
- Osés, S.M.; Pascual-Maté, A.; Fernández-Muiño, M.A.; López-Díaz, T.M.; Sancho, M.T. Bioactive properties of honey with propolis. Food Chem. 2016, 196, 1215–1223. [Google Scholar] [CrossRef]
- Cao, X.P.; Chen, Y.F.; Zhang, J.L.; You, M.M.; Wang, K.; Hu, F.L. Mechanisms underlying the wound healing potential of propolis based on its in vitro antioxidant activity. Phytomedicine 2017, 34, 76–84. [Google Scholar] [CrossRef]
- Braakhuis, A. Evidence on the Health Benefits of Supplemental Propolis. Nutrients 2019, 11, 2705. [Google Scholar] [CrossRef]
- Bittencourt, M.L.F.; Ribeiro, P.R.; Franco, R.L.P.; Hilhorst, H.W.M.; de Castro, R.D.; Fernandez, L.G. Metabolite profiling, antioxidant and antibacterial activities of Brazilian propolis: Use of correlation and multivariate analyses to identify potential bioactive compounds. Food Res. Int. 2015, 449–457. [Google Scholar] [CrossRef]
- Schmidt, E.M.; Stock, D.; Chada, F.J.G.; Finger, D.; Sawaya, A.C.; Eberlin, M.N.; Felsner, M.L.; Quináia, S.P.; Monteiro, M.C.; Torres, Y.R. A Comparison between characterization and biological properties of Brazilian fresh and aged propolis. Biomed. Res. Int. 2014, 2014. [Google Scholar] [CrossRef]
- Frozza, C.O.S.; Garcia, C.S.C.; Gambato, G.; Souza, M.D.O.; Salvador, M.; Moura, S. Chemical characterization, antioxidant and cytotoxic activities of Brazilian red propolis. Food Chem. Toxicol. 2013, 52, 137–142. [Google Scholar] [CrossRef]
- Alencar, S.M.; Cadorin Oldoni, T.L.; Castro, L.M.; Cabral, I.S.R.; Costa Neto, C.; Cury, J.A.; Rosalen, P.; Ikegaki, M. Chemical composition and biological activity of a new type of Brazilian propolis: Red propolis. J. Ethnopharm. 2007, 113, 278–283. [Google Scholar] [CrossRef] [PubMed]
- Mot, A.C.; Damian, G.; Sarbu, C.; Silaghi-Dumitrescu, R. Redox reactivity in propolis: Direct detection of free radicals in basic medium and interaction with hemoglobin. Redox Rep. 2013, 14, 267–274. [Google Scholar] [CrossRef] [PubMed]
- Olczyk, P.; Komosinska-Vassev, K.; Ramos, P.; Mencner, L.; Olczyk, K.; Pilawa, B. Free Radical Scavenging Activity of Drops and Spray Containing Propolis—An EPR Examination. Molecules 2017, 22, 128. [Google Scholar] [CrossRef] [PubMed]
- Moreira Pazina, W.; da Mata Monacoa, L.; Espencer Egea Soaresb, A.; Galeti Miguel, F.; Aparecida Berretta, A.; Siuiti Ito, A. Antioxidant activities of three stingless bee propolis and green propolis types. J. Apic. Res. 2017. [Google Scholar] [CrossRef]
- Sforcin, J.M. Biological properties and therapeutic applications of propolis. Phytother. Res. 2016, 30, 894–905. [Google Scholar] [CrossRef]
- Sawaya, A.C.H.F.; Souza, K.S.; Marcucci, M.C.; Cunha, I.B.S.; Shimizu, M.T. Analysis of the composition of Brazilian propolis extracts by chromatography and evaluation of their in vitro activity against gram-positive bacteria. Braz. J. Microbiol. 2004, 35, 104–109. [Google Scholar] [CrossRef]
- Koru, O.; Toksoy, F.; Acikel, C.H.; Tunca, Y.M.; Baysallar, M.; Guclu, A.U. In vitro antimicrobial activity of propolis samples from different geographical origins against certain oral pathogens. Anaerobe 2007, 13, 140–145. [Google Scholar] [CrossRef]
- Wilson, M.B.; Brinkman, D.; Spivak, M.; Gardner, G.; Cohen, J.D. Regional variation in composition and antimicrobial activity of US propolis against Paenibacillus larvae and Ascosphaera apis. J. Invertebr. Pathol. 2015, 124, 44–50. [Google Scholar] [CrossRef]
- Veiga, R.; De Mendonça, S.; Mendes, P.; Paulino, N.; Mimica, M.; Netto, A.L.; Lira, I.; López, B.-C.; Negrão, V.; Marcucci, M. Artepillin C and phenolic compounds responsible for antimicrobial and antioxidant activity of green propolis and Baccharis dracunculifolia DC. J. Appl. Microbiol. 2017, 122, 911–920. [Google Scholar] [CrossRef]
- Moncla, B.J.; Guevara, P.W.; Wallace, J.A.; Marcucci, M.C.; Nor, J.E.; Bretz, W.A. The inhibitory activity of typified propolis against Enterococcus species. Z. Naturforsch. C. J. Biosci. 2012, 67, 249–256. [Google Scholar] [CrossRef]
- Martins, M.L.; Leite, K.L.F.; Pacheco-Filho, E.F.; Pereira, A.F.M.; Romanos, M.T.V.; Maia, L.C.; Fonseca-Gonçalves, A.; Padilha, W.W.N.; Cavalcanti, Y.W. Efficacy of red propolis hydro-alcoholic extract in controlling Streptococcus mutans biofilm build-up and dental enamel demineralization. Arch. Oral. Biol. 2018, 93, 56–65. [Google Scholar] [CrossRef] [PubMed]
- Regueira Neto, M.S.; Relison Tintino, S.; Pereira da Silva, A.R.; do Socorro Costa, M.; Augusti Boligon, A.; Matias, E.F.F.; de Queiroz Balbino, V.; Menezes, I.R.A.; Melo Coutinho, H.D. Seasonal variation of Brazilian red propolis: Antibacterial activity, synergistic effect and phytochemical screening. Food Chem. Toxicol. 2017, 107, 572–580. [Google Scholar] [CrossRef] [PubMed]
- Righi, A.A.; Alves, T.R.; Negri, G.; Marques, L.M.; Breyerd, H.; Salatino, A. Brazilian red propolis: Unreported substances, antioxidant and antimicrobial activities. J. Sci. Food Agric. 2011, 91, 2363–2370. [Google Scholar] [CrossRef] [PubMed]
- Bueno-Silva, B.; Alencar, S.M.; Koo, H.; Ikegaki, M.; Silva, G.V.J.; Napimoga, M.H.; Rosalen, L.P. Anti-Inflammatory and Antimicrobial Evaluation of Neovestitol and Vestitol Isolated from Brazilian Red Propolis. J. Agric. Food Chem. 2013, 61, 4546–4550. [Google Scholar] [CrossRef] [PubMed]
- Jug, M.; Končić, M.Z.; Kosalec, I. Modulation of antioxidant, chelating and antimicrobial activity of poplar chemo-type propolis by extraction procures. Lebenson. Wiss. Technol. 2014, 57, 530–537. [Google Scholar] [CrossRef]
- Koo, H.; Rosalen, P.L.; Cury, J.A.; Ambrosano, G.M.B.; Murata, R.M.; Yatsuda, R. Effect of a New Variety of Apis mellifera Propolis on Mutants Streptococci. Curr. Microbiol. 2000, 41, 192–196. [Google Scholar] [CrossRef]
- Bridi, R.; Montenegro, G.; Nuñez-Quijada, G.; Giordano, A.; Morán-Romero, F.M.; Jara-Pezoa, I.; Speisky, H.; Atala, E.; López-Alarcón, C. International regulations of propolis quality: Required assays do not necessarily reflect their polyphenolic-related in vitro activities. J. Food Sci. 2015, 80, C1188–C1195. [Google Scholar] [CrossRef]
- Amoros, M.; Simoes, C.M.O.; Girre, L.; Sauvager, F.; Cormier, M. Synergistic effect of flavones and flavonols against herpes simplex virus type 1 in cell culture. Comparison with the antiviral activity of propolis. J. Nat. Prod. 1992, 55, 1732–1740. [Google Scholar] [CrossRef]
- Amoros, M.; Sauvager, F.; Girre, L.; Cormier, M. In vitro antiviral activity of propolis. Apidologie 1992, 23, 231–240. [Google Scholar] [CrossRef]
- Gekker, G.; Hu, S.; Spivak, M.; Lokensgard, J.R.; Peterson, P.K. Anti-HIV-1 activity of propolis in CD4+ lymphocyte and microglial cell cultures. J. Ethnopharmacol. 2005, 102, 158–163. [Google Scholar] [CrossRef]
- Schnitzler, P.; Neuner, A.; Nolkemper, S.; Zundel, C.; Nowack, H.; Sensch, K.H.; Reichling, J. Antiviral activity and mode of action of propolis extracts and selected compounds. Phytother. Res. 2010, 24 (Suppl. 1), S20–S28. [Google Scholar] [CrossRef] [PubMed]
- Nolkemper, J.S.; Reichling, J.; Sensch, K.H.; Schnitzler, P. Mechanism of herpes simplex virus type 2 suppression by propolis extracts. Phytomedicine 2010, 17, 132–138. [Google Scholar] [CrossRef] [PubMed]
- Sartori, G.; Pesarico, A.P.; Pinton, S.; Dobrachinski, F.; Roman, S.S.; Pauletto, F.; Rodrigues, L.C.; Prigol, M. Protective effect of brown Brazilian propolis against acute vaginal lesions caused by herpes simplex virus type 2 in mice: Involvement of antioxidant and anti-inflammatory mechanisms. Cell Biochem. Funct. 2011, 30, 1–10. [Google Scholar] [CrossRef] [PubMed]
- Serkedjieva, J.; Manolova, N.; Bankova, V. Anti-influenza virus effect of some propolis constituents and their analogues (esters of substituted cinnamic acids). J. Nat. Prod. 1992, 55, 294–297. [Google Scholar] [CrossRef]
- Fischer, G.; Conceicao, F.R.; Leite, F.P.L.; Dummer, L.A.; Vargas, G.D.; Hubner, S.O.; Dellagostin, O.A.; Paulino, N.; Paulino, A.S.; Vidor, T. Immunomodulation produced by a green propolis extract on humoral and cellular responses of mice immunized with SuHV-1. Vaccine 2007, 25, 1250–1256. [Google Scholar] [CrossRef]
- Fischer, G.; Cleff, M.B.; Dummer, L.A.; Paulino, N.A.; Paulino, S.; de Oliveira Vilela, C.; Campos, F.S.; Storch, T.; D’Avila Vargas, G.; de Oliveira Hübner, S.; et al. Adjuvant effect of green propolis on humoral immune response of bovines immunized with bovine herpesvirus type 5. Vet. Immunol. Immunopathol. 2007, 116, 79–84. [Google Scholar] [CrossRef]
- Shimizu, T.; Hino, A.; Tsutsumi, A.; Park, Y.K.; Watanabe, W.; Kurokawa, M. Anti-influenza virus activity of propolis in vitro and its efficacy against influenza infection in mice. Antivir. Chem. Chemother. 2008, 19, 7–13. [Google Scholar] [CrossRef]
- Shimizu, T.; Takeshita, Y.; Takamori, Y.; Kai, H.; Sawamura, R.; Yoshida, H.; Watanabe, W.; Tsutsumi, A.; Kun Park, Y.; Yasukawa, K.; et al. Efficacy of Brazilian Propolis against Herpes Simplex Virus Type 1 Infection in Mice and Their Modes of Antiherpetic Efficacies. Evid. Based Complementary Alternat. Med. 2011, 2011, 976196. [Google Scholar] [CrossRef]
- Fan, Y.; Guo, L.; Hou, W.; Guo, C.; Zhang, W.; Ma, X.; Ma, L.; Song, X. The Adjuvant Activity of Epimedium Polysaccharide-Propolis Flavone Liposome on Enhancing Immune Responses to Inactivated Porcine Circovirus Vaccine in Mice. Evid. Based Complementary Alternat. Med. 2015, 2005, 972083. [Google Scholar] [CrossRef]
- Tao, Y.; Wang, D.; Hu, Y.; Huang, Y.; Yu, Y.; Wang, D. The immunological enhancement activity of propolis flavonoids liposome in vitro and in vivo. Evid. Based Complementary Alternat. Med. 2014, 2014, 483513. [Google Scholar] [CrossRef]
- Fernandes, M.H.V.; Ferreira, L.N.; Vargas, G.D.A.; Fischer, G.; Hübner, S.O. Effect of Water Extract from Brown Propolis on Production of IFN-γ after Immunization against Canine Parvovirus (Cpv) and Canine Coronavirus (Ccov). Cienc. Anim. Bras. 2016, 16, 235–242. [Google Scholar] [CrossRef]
- Regueira-Neto, M.S.; Tintino, S.R.; Rolón, M.; Coronal, C.; Vega, M.C.; de Queiroz Balbino, V.; de Melo Coutinho, H.D. Antitrypanosomal, antileishmanial and cytotoxic activities of Brazilian red propolis and plant resin of Dalbergia ecastaphyllum (L.) Taub. Food Chem. Toxicol. 2018, 119, 215–221. [Google Scholar] [CrossRef] [PubMed]
- Salomão, K.; Souza, E.M.; Henrique-Pons, A.; Barbosa, H.S.; Castro, S.L. Brazilian Green Propolis: Effects in vitro and in vivo on Trypanosoma cruzi. Evid. Based Complementary Alternat. Med. 2011, 2011, 185918. [Google Scholar] [CrossRef] [PubMed]
- Hori, J.I.; Zamboni, D.S.; Carrão, D.B.; Goldman, G.H.; Berretta, A.A. The Inhibition of Inflammasome by Brazilian Propolis (EPP-AF). Evid. Based Complementary Alternat. Med. 2013, 2013, 418508. [Google Scholar] [CrossRef]
- Sobreira Corrêa, F.R.; Seabra Schanuel, F.; Moura-Nunes, N.; Monte-Alto-Costa, A.; Beltrame Daleprane, J. Brazilian red propolis improves cutaneous wound healing suppressing inflammation-associated transcription factor NFκB. Biomed. Pharmacother. 2017, 86, 162–171. [Google Scholar] [CrossRef]
- Khayyal, M.T.; El-Ghazaly, M.A.; El-Khatib, A.S.; Hatem, A.M.; De Vries, P.J.F.; El-Shafei, S.; Khattab, M.M. A clinical pharmacological study of the potential beneficial effects of a propolis food product as an adjuvant in asthmatic patients. Fundam. Clin. Pharmacol. 2003, 17, 93–102. [Google Scholar] [CrossRef]
- Patel, S. Emerging Adjuvant Therapy for Cancer: Propolis and its Constituents. J. Diet. Suppl. 2016, 13, 245–268. [Google Scholar] [CrossRef]
- Ahn, M.R.; Kunimasa, K.; Ohta, T.; Kumazawa, S.; Kamihira, M.; Kaji, K.; Uto, Y.; Hori, H.; Nagasawa, H.; Nakayama, T. Suppression of tumor-induced angiogenesis by Brazilian propolis: Major component artepillin C inhibits in vitro tube formation and endothelial cell proliferation. Cancer Lett. 2007, 252, 235–243. [Google Scholar] [CrossRef]
- Szliszka, E.; Zydowicz, G.; Janoszka, B.; Dobosz, C.; Kowalczyk-Ziomek, G.; Krol, W. Ethanolic extract of Brazilian green propolis sensitizes prostate cancer cells to TRAIL-induced apoptosis. Int. J. Oncol. 2011, 38, 941–953. [Google Scholar] [CrossRef]
- Chuang, M.-H.; Peng, C.-Y.; Chi, C.-Y.; Chung, H.-Y.; Liu, C.-T.; Kuo, H.-C. Device Method of Making Artepillin C in Propolis for Anti-Cancer. U.S. Patent 20170226042A1, 21 April 2016. [Google Scholar]
- Matsuno, T. A new clerodane diterpenoid isolated from propolis. Z. Nat. 1995, 50c, 93–97. [Google Scholar] [CrossRef]
- Kimoto, T.; Aga, M.; Hino, K.; Koya-Miyata, S.; Yamamoto, Y.; Micallef, M.J.; Hanaya, T.; Arai, S.; Ikeda, M.; Kurimoto, M. Apoptosis of human leukemia cells induced by Artepillin C, an active ingredient of Brazilian propolis. Anticancer Res. 2001, 21, 221–228. [Google Scholar] [PubMed]
- Li, H.; Kapur, A.; Yang, J.X.; Srivastava, S.; Mcleod, D.G.; Paredes-Guzman, J.F.; Daugsch, A.; Park, Y.K.; Rhim, J.S. Antiproliferation of human prostate cancer cells by ethanolic extracts of Brazilian propolis and its botanical origin. Int. J. Oncol. 2007, 31, 601–606. [Google Scholar] [CrossRef] [PubMed]
- Bhargava, P.; Grover, A.; Nigam, N.; Kaul, A.; Doi, M.; Ishida, Y.; Kakuta, H.; Kaul, S.C.; Terao, K.; Wadhwa, R. Anticancer activity of the supercritical extract of Brazilian green propolis and its active component, artepillin C: Bioinformatics and experimental analyses of its mechanisms of action. Int. J. Oncol. 2018. [Google Scholar] [CrossRef] [PubMed]
- Novak, E.M.; Silva, M.S.C.; Marcucci, M.C.; Sawaya, A.C.H.F.; López, B.G.C.; Fortes, M.A.Z.; Ricardo Rodrigues Giorgi, R.; Marumo, K.T.; Felipe Rodrigues, R.; Durvanei Augusto, M. Antitumoural activity of Brazilian red propolis fraction enriched with xanthochymol and formononetin: An in vitro and in vivo study. J. Funct. Foods. 2014, 11, 91–102. [Google Scholar] [CrossRef]
- Franchi, G.C., Jr.; Moraes, C.S.; Toreti, V.C.; Daugsch, A.; Nowill, A.E.; Park, Y.K. Comparison of Effects of the Ethanolic Extracts of Brazilian Propolis on Human Leukemic Cells as Assessed with the MTT Assay. Evid. Based Complement. Altern. Med. 2012, 2012, 918956. [Google Scholar] [CrossRef] [PubMed]
- Liao, H.F.; Chen, Y.Y.; Liu, J.J.; Hsu, M.L.; Shieh, H.J.; Liao, H.J.; Shieh, C.J.; Shiao, M.S.; Chen, Y.J. Inhibitory effect of caffeic acid phenethyl ester on angiogenesis, tumor invasion, and metastasis. J. Agric. Food Chem. 2003, 51, 7907–7912. [Google Scholar] [CrossRef] [PubMed]
- Lee, Y.J.; Kuo, H.C.; Chu, C.H.; Wang, C.J.; Lin, W.C.; Tseng, T.H. Involvement of tumor suppressor protein p53 and p38 MAPK in caffeic acid phenethyl ester-induced apoptosis of C6 glioma cells. Biochem. Pharmacol. 2003, 66, 2281–2289. [Google Scholar] [CrossRef]
- Lee, Y.T.; Don, M.J.; Hung, P.S.; Shen, Y.C.; Lo, Y.S.; Chang, K.W.; Chen, C.F.; Ho, L.K. Cytotoxic of phenolic acid phenethyl esters on oral cancer cells. Cancer Lett. 2005, 223, 19–25. [Google Scholar] [CrossRef]
- Ye, Y.; Hou, R.; Chen, J.; Mo, L.; Zhang, J.; Huang, Y. Formononetin-induced Apoptosis of Human Prostate Cancer Cells Through ERK1/2 Mitogen-activated Protein Kinase Inactivation. Horm. Metab. Res. 2012, 44, 263–267. [Google Scholar] [CrossRef]
- Orsolić, N.; Basić, I. Immunomodulation by water-soluble derivative of propolis: A factor of antitumor reactivity. J Ethnopharmacol. 2003, 84, 265–273. [Google Scholar] [CrossRef]
- Koo, H.; Rosalen, P.L.; Cury, J.A.; Park, Y.K.; Ikegaki, M.; Sattler, A.; Ikegaki, M.; Sattler, A. Effect of Apis mellifera propolis from two Brazilian regions on caries development in desalivated rats. Caries Res. 1999, 33, 393–400. [Google Scholar] [CrossRef] [PubMed]
- Kimoto, T.; Arai, S.; Kohguchi, M.; Aga, M.; Nomura, Y.; Micallef, M.J.; Kurimoto, M.; Mito, K. Apoptosis and suppression of tumor growth by artepillin C extracted from Brazilian propolis. Cancer Detect. Prev. 1998, 22, 506–515. [Google Scholar] [CrossRef] [PubMed]
- Orsi, R.O.; Funari, S.R.C.; Soares, A.M.V.C.; Calvi, S.A.; Oliveira, S.L.; Sforcin, J.M.; Bankova, V. Immunomodulatory action of propolis on macrophage activation. J. Venom. Anim. Toxins 2000, 6, 205–219. [Google Scholar] [CrossRef]
- Oršolić, N.; Knezevic, A.H.; Šver, L.; Terzić, S.; Basic, I. Immunomodulatory and antimetastatic action of propolis and related polyphenolic compounds. J. Ethnopharmacol. 2004, 94, 307–315. [Google Scholar] [CrossRef] [PubMed]
- Al-Hariri, M. Immune’s-boosting agent: Immunomodulation potentials of propolis. J. Fam. Commun. Med. 2019, 26, 57–60. [Google Scholar] [CrossRef] [PubMed]
- Barros, M.P.; Sousa, J.P.B.; Bastos, J.K.; Andrade, S.F. Effect of Brazilian green propolis on experimental gastric ulcers in rats. J. Ethnopharmacol. 2007, 110, 567–571. [Google Scholar] [CrossRef]
- De Mendonça, M.A.A.; Ribeiro, A.R.S.; de Lima, A.K.; Bezerra, G.B.; Pinheiro, M.S.; de Albuquerque-Júnior, R.L.C.; Gomes, M.Z.; Padilha, F.F.; Thomazzi, S.M.; Novellino, E.; et al. Red Propolis and Its Dyslipidemic Regulator Formononetin: Evaluation of Antioxidant Activity and Gastroprotective Effects in Rat Model of Gastric Ulcer. Nutrients 2020, 12, 2951. [Google Scholar] [CrossRef]
- Alfahdawi, I. Propolis in Medicine and Dentristry; Sevcenco, C., Ed.; Lambert Academic Publishing: Riga, Latvia, 2017. [Google Scholar]
- Nakajima, M.; Arimatsu, K.; Minagawa, T.; Matsuda, Y.; Sato, K.; Takahashi, N.; Nakajima, T.; Yamazaki, K. Brazilian propolis mitigates impaired glucose and lipid metabolism in experimental periodontitis in mice. BMC Complement. Altern. Med. 2016, 16, 329. [Google Scholar] [CrossRef]
- Koya-Miyata, S.; Arai, N.; Mizote, A.; Taniguchi, Y.; Ushio, S.; Iwaki, K.; Fukuda, S. Propolis prevents diet-induced hyperlipidemia and mitigates weight gain in diet-induced obesity in mice. Biol. Pharm. Bull. 2009, 32, 2022–2028. [Google Scholar] [CrossRef]
- Chen, L.H.; Chien, Y.W.; Chang, M.L.; Hou, C.C.; Chan, C.H.; Tang, H.W.; Huang, H.Y. Taiwanese Green Propolis Ethanol Extract Delays the Progression of Type 2 Diabetes Mellitus in Rats Treated with Streptozotocin/High-Fat Diet. Nutrients 2018, 10, 503. [Google Scholar] [CrossRef]
- Li, Y.J.; Chen, M.L.; Xuan, H.Z.; Hu, F.L. Effects of encapsulated propolis on blood glycemic control, lipid metabolism, and insulin resistance in type 2 diabetes mellitus rats. Evid. Based Complement. Altern. Med. 2012, 2012, 981896. [Google Scholar] [CrossRef] [PubMed]
- Al-Hariri, M.T.; Abualait, T.S. Effects of Green Brazilian Propolis Alcohol Extract on Nociceptive Pain Models in Rats. Plants 2020, 9, 1102. [Google Scholar] [CrossRef] [PubMed]
- Shinmei, Y.; Yano, H.; Kagawa, Y.; Izawa, K.; Akagi, M.; Inoue, T.; Kamei, C. Effect of Brazilian propolis on sneezing and nasal rubbing in experimental allergic rhinitis of mice. Immunopharmacol. Immunotoxicol. 2009, 31, 688–693. [Google Scholar] [CrossRef] [PubMed]


| Propolis Type | Samples Data | Analytical Method/Unit | Values | Reference | 
|---|---|---|---|---|
| Green Propolis | Ethanolic extracts | Total polyphenols (Folin-Ciocalteu method)/mgGAE/g | 160.98–181.71 | [9] | 
| Total flavonoids/mgQE/g | 25.52–46.80 | |||
| RSA (DPPH method)/IC50 | 31.80–101.45 | |||
| ABST (Trolox method)/% | 77.90–86.40 | |||
| Ethanol, hexane, and dichloromethane extracts | RSA (DPPH method)/IC50/μg/mL Total polyphenols (Folin-Ciocalteu method)/mgGAE/g | 21.50–78.77 38.85–204.30 | [62] | |
| Hydro-alcoholic extract | Total polyphenols (Folin-Ciocalteu method)/mg g−1 Total flavonoids (AlCl3method)/ mg g−1 RSA (DPPH test)/EC50 (μg mL−1) | 93.7–149.3 6.0–21.0 17.3–83.60 | [63] | |
| Red propolis | Ethanolic extracts | Total polyphenols (Folin-Ciocalteu method)/mgGAE/g Total flavonoids (AlCl3 method)/ mg QE/g RSA (DPPH method)/IC50 ABST (Trolox method)/% | 198.77–300.36 57.60–58.19 44.29–89.32 98.20–98.50 | [9] | 
| Ethanolic extracts | Total polyphenols (Folin-Ciocalteu method)/mgGAE/g RSA (DPPH method)/IC50 | 151.55 270.13 | [64] | |
| Ethanolic extracts | Total polyphenols (Folin-Ciocalteu method)/mgGAE/g Total flavonoids (AlCl3 method)/ mg QE/g RSA (DPPH method)/IC50 | 232.00 43.00 57.00 | [65] | |
| Ethanolic extracts | RSA (DPPH method)/% Total polyphenols (Folin-Ciocalteu method)/mgGAE/g | 0.7–49.00 157.16–300.36 | [54] | 
| Propolis Type | Analyzed Strains | Analytical Method: Results (μg/mL) | References | 
|---|---|---|---|
| Green Propolis | Staphylococcus aureus Enterococcus sp. Klebsiella sp. Escherichia coli Candida albicans | MIC: 250–1000 MIC: 250 MIC: 500–1000 MIC: >1000 MIC: >1000 | [10] | 
| Staphylococcus aureus (methicillin-resistant/sensitives) | MIC90: 123.2–369.5 | [73] | |
| Staphylococcus aureus (ATCC 33951 and 25923); Escherichia coli | MIC: 200–1600 MBC: 800 1600 MIC: 400–1600 MBC: 400–1600 | [9] | |
| Bacillus subtilis (ATCC 6633) Micrococcus luteus (ATCC 10240) Staphylococcus aureus (ATCC 6538) | MIC: 62.5–500 MIC: 62.5–500 MIC: 125–500 | [62] | |
| Staphylococcus aureus Enterococcus faecalis Micrococcus luteus | MIC: 382–650 MBC: 765–1050 MIC: 1352–1822 MBC: 2972–3643 MIC: 400–435 MBC: 935–1040 | [63] | |
| E. coli ATCC 25922 S. aureus ATCC 29213 E. faecalis ATCC 29212 E. faecalis 3199 E. faecium 3266 | MIC: >1600 MIC: 400 MIC: 1600 MIC: 1600 MIC: >1600 | [74] | |
| Red propolis | Streptococcus mutans | MIC: 293 MIC: 1172 | [75] | 
| Staphylococcus aureus Enterococcus sp. Klebsiella sp. Escherichia coli Candida albicans | MIC: 62.5–125 MIC: 31.3–62.5 MIC: 31.3–62.5 MIC: >1000 MIC: >1000 | [10] | |
| Escherichia coli S. aureus P. aeruginosa | MIC: 128–512 MIC: 64–1024 MIC: 512 | [76] | |
| Streptococcus mutans; Streptococcus sobrinus; Staphylococcus aureus; Actinomyces naeslundii | MIC: 15.6–125 MBC: 31.2–500 | [45] | |
| Staphylococcus aureus (ATCC 33951 and 25923); Escherichia coli | MIC: 25–600 MBC: 400–1600 MIC: 400–800 MBC: 800–1600 | [9] | |
| Pseudomonas aeruginosa Bacillus subtilis Candida albicans Salmonella typhimurium Klebsiella pneumoniae Enterococcus faecalis Escherichia coli Proteus mirabilis Streptococcus pyogenes | MIC: 256; MMC: 512 MIC: 256; MMC: 512 MIC: 256; MMC: 512 MIC: 512; MMC: 512 MIC: 512; MMC: 1024 MIC: 512; MMC: – MIC: 512; MMC: – MIC: 512; MMC: – MIC 512; MMC: – | [77] | |
| Staphylococcus aureus ATCC 25923 Staphylococcus mutans UA159 | MIC: 25–50 | [65] | |
| Staphylococcus aureus; Escherichia coli; Candida albicans | MIC: 14–19 MIC: 12–14 MIC: 15–29 | [54] | 
| Propolis Type | Analytical Method/Samples/Unit | Tumoral Cells | Results | References | 
|---|---|---|---|---|
| Green Propolis | Spectrophotometric ELISA colorimetric assay/Ethanolic extracts /Absorbance units | Murine melanoma cellular strain (B16F10) | 0.03–0.11 | [9] | 
| CellTiter 96 Aqueous One solution cell proliferation assay kit/ethanolic extract/ 50% growth inhibition/µg/mL | Normal human prostate epithelial (PrEC) Human prostate cancer cells (RC-58T) | 5.5–8.75 3.0–5.5 | [107] | |
| Cell proliferation assay/supercritical extrasct/IC50 (%) | Fibrosarcoma cells (HT1080) Lung carcinoma cells (A549) Osteosarcoma cells (H2OS) | 0.2–0.5 | [108] | |
| Red propolis | 3-(4,5-dimethyl-2-thiazole)-2,5-diphenyl-2-H-tetrazolium bromide colorimetric assay MTT/ethanolic extracts/% ICG | Colon cancer cell lines (HCT116) Prostate cancer cell lines (PC3) | 18.34–64.63 | [57] | 
| Spectrophotometric plate reader method/ethanolic extracts/IC50 values/μg/mL | Ovarian cancer cells (OVCAR-8) Colon cancer cells (HCT-116) Leukemia cells (HL-60) Glioblastoma cells (SF-295) | 23.63–27.08 19.92–30.19 4.80–8.75 13.67–18.47 | [10] | |
| Spectrophotometric ELISA colorimetric assay/Ethanolic extracts /Absorbance units | Murine melanoma cellular strain (B16F10) | 0.018–0.006 | [9] | |
| Spectrophotometric microtitre plate reader Bio Assay/Ethanolic extracts and active fraction containing xanthochymol and formononetin/µg/mL | Melanoma tumour xenografts cell lines (HL-60, K562, RPMI8226, B16F10) | 9.7–42.1 | [109] | 
| Publisher’s Note: MDPI stays neutral with regard to jurisdictional claims in published maps and institutional affiliations. | 
© 2020 by the authors. Licensee MDPI, Basel, Switzerland. This article is an open access article distributed under the terms and conditions of the Creative Commons Attribution (CC BY) license (http://creativecommons.org/licenses/by/4.0/).
Share and Cite
Moise, A.R.; Bobiş, O. Baccharis dracunculifolia and Dalbergia ecastophyllum, Main Plant Sources for Bioactive Properties in Green and Red Brazilian Propolis. Plants 2020, 9, 1619. https://doi.org/10.3390/plants9111619
Moise AR, Bobiş O. Baccharis dracunculifolia and Dalbergia ecastophyllum, Main Plant Sources for Bioactive Properties in Green and Red Brazilian Propolis. Plants. 2020; 9(11):1619. https://doi.org/10.3390/plants9111619
Chicago/Turabian StyleMoise, Adela Ramona, and Otilia Bobiş. 2020. "Baccharis dracunculifolia and Dalbergia ecastophyllum, Main Plant Sources for Bioactive Properties in Green and Red Brazilian Propolis" Plants 9, no. 11: 1619. https://doi.org/10.3390/plants9111619
APA StyleMoise, A. R., & Bobiş, O. (2020). Baccharis dracunculifolia and Dalbergia ecastophyllum, Main Plant Sources for Bioactive Properties in Green and Red Brazilian Propolis. Plants, 9(11), 1619. https://doi.org/10.3390/plants9111619
 
        


 
       
       