Release from Above- and Belowground Insect Herbivory Mediates Invasion Dynamics and Impact of an Exotic Plant
Abstract
1. Introduction
2. Results
2.1. Effect of Insect Herbivory on Population Dynamics of the Invasive Species S. canadensis
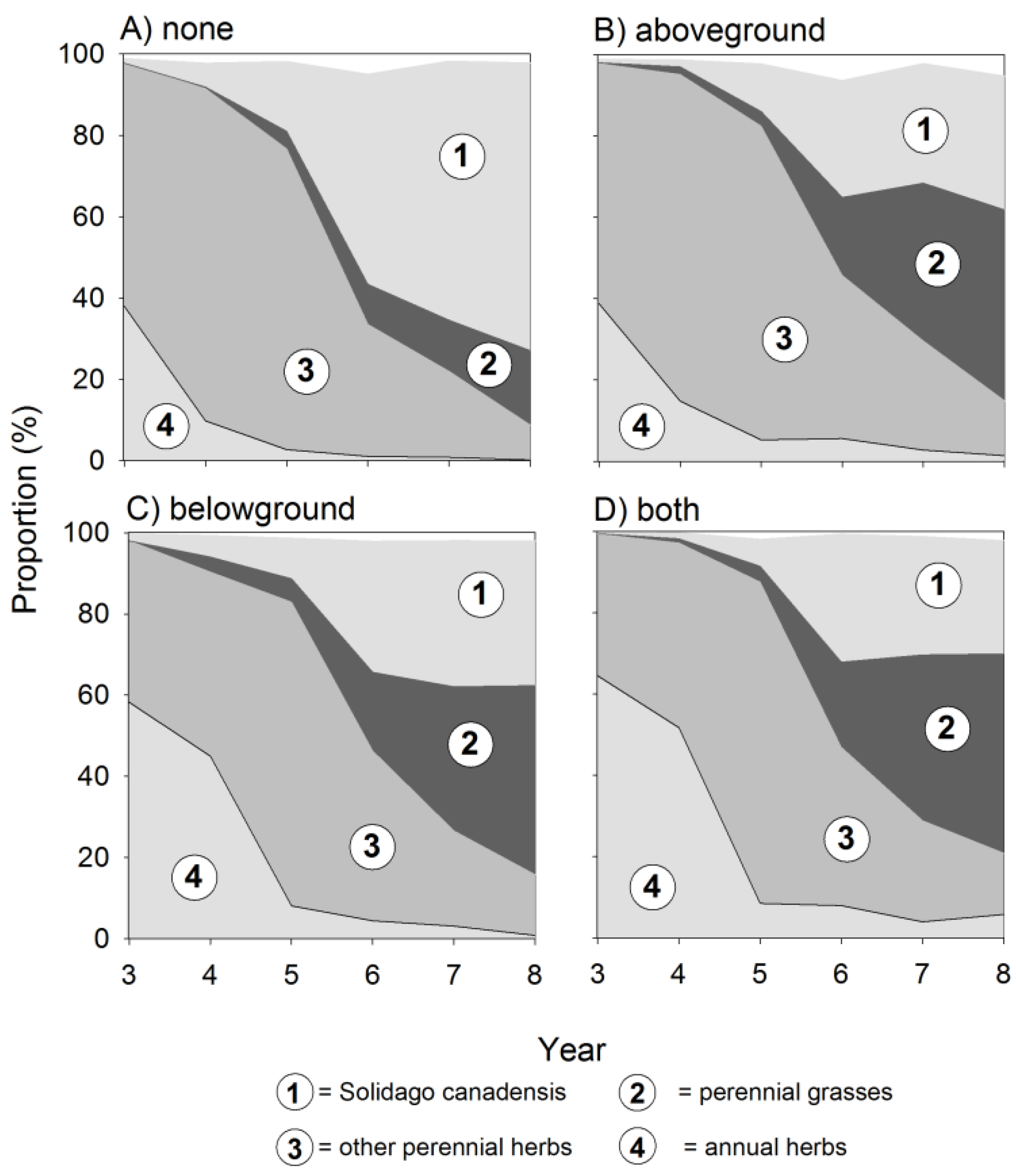
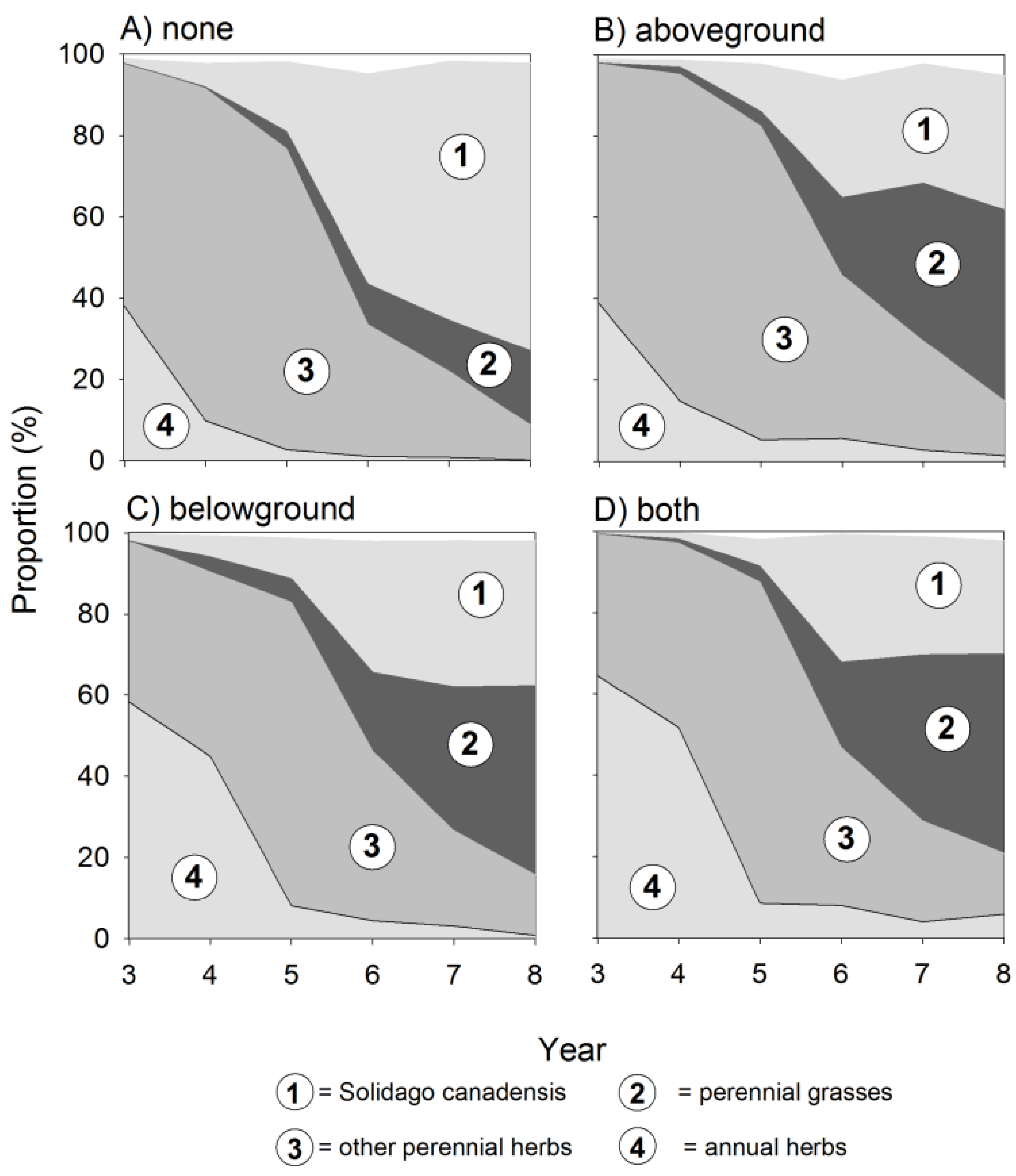
2.2. Consequences for Plant Community Diversity and Biomass
3. Discussion
4. Materials and Methods
4.1. Solidago canadensis s. l
4.2. Experimental Design and Treatments
4.3. Comments on the Use of Insecticides
4.4. Sampling of Vegetation
4.5. Solidago Density
4.6. Statistical Analyses
5. Conclusions
Author Contributions
Funding
Acknowledgments
Conflicts of Interest
References
- Schädler, M.; Jung, G.; Brandl, R.; Auge, H. Secondary succession is influenced by belowground insect herbivory on a productive site. Oecologia 2004, 138, 242–252. [Google Scholar] [CrossRef]
- Stein, C.; Unsicker, S.B.; Kahmen, A.; Wagner, M.; Audorff, V.; Auge, H.; Prati, D.; Weisser, W.W. Impact of invertebrate herbivory in grasslands depends on plant species diversity. Ecology 2010, 91, 1639–1650. [Google Scholar] [CrossRef]
- Allan, E.; Crawley, M.J. Contrasting effects of insect and molluscan herbivores on plant diversity in a long-term field experiment. Ecol. Lett. 2011, 14, 1246–1253. [Google Scholar] [CrossRef]
- Carson, W.P.; Root, R.B. Herbivory and plant species coexistence: Community regulation by an outbreaking phytophagous insect. Ecol. Monogr. 2000, 70, 73–99. [Google Scholar] [CrossRef]
- Schädler, M.; Rottstock, T.; Brandl, R. Do nutrients and invertebrate herbivory interact in an artificial plant community? Basic Appl. Ecol. 2008, 9, 550–559. [Google Scholar] [CrossRef]
- Chesson, P. Mechanisms of maintenance of species diversity. Annu. Rev. Ecol. Syst. 2000, 31, 343–366. [Google Scholar] [CrossRef]
- Kempel, A.; Schädler, M.; Chrobock, T.; Fischer, M.; van Kleunen, M. Tradeoffs associated with constitutive and induced plant resistance against herbivory. Proc. Natl. Acad. Sci. USA 2011, 108, 5685–5689. [Google Scholar] [CrossRef]
- Ishii, R.; Crawley, M.J. Herbivore-induced coexistence of competing plant species. J. Theor. Biol. 2011, 268, 50–61. [Google Scholar] [CrossRef]
- Adler, F.R.; Muller-Landau, H.C. When do localized natural enemies increase species richness? Ecol. Lett. 2005, 8, 438–447. [Google Scholar] [CrossRef]
- Schädler, M.; Jung, G.; Auge, H.; Brandl, R. Does the Fretwell–Oksanen model apply to invertebrates? Oikos 2003, 100, 203–207. [Google Scholar] [CrossRef]
- Petry, W.K.; Kandlikar, G.S.; Kraft, N.J.; Godoy, O.; Levine, J.M. A competition-defence trade-off both promotes and weakens coexistence in an annual plant community. J. Ecol. 2018, 106, 1806–1818. [Google Scholar] [CrossRef]
- Keane, R.M.; Crawley, M.J. Exotic plant invasions and the enemy release hypothesis. Trends Ecol. Evol. 2002, 17, 164–170. [Google Scholar] [CrossRef]
- Maron, J.L.; Vilà, M. When do herbivores affect plant invasion? Evidence for the natural enemies and biotic resistance hypotheses. Oikos 2001, 95, 361–373. [Google Scholar] [CrossRef]
- Hawkes, C.V. Are invaders moving targets? The generality and persistence of advantages in size, reproduction, and enemy release in invasive plant species with time since introduction. Am. Nat. 2007, 170, 832–843. [Google Scholar] [CrossRef]
- Mordecai, E.A. Pathogen impacts on plant communities: Unifying theory, concepts, and empirical work. Ecol. Monogr. 2011, 81, 429–441. [Google Scholar] [CrossRef]
- Hierro, J.L.; Maron, J.L.; Callaway, R.M. A biogeographical approach to plant invasions: The importance of studying exotics in their introduced and native range. J. Ecol. 2005, 93, 5–15. [Google Scholar] [CrossRef]
- Colautti, R.I.; Ricciardi, A.; Grigorovich, I.A.; MacIsaac, H.J. Is invasion success explained by the enemy release hypothesis? Ecol. Lett. 2004, 7, 721–733. [Google Scholar] [CrossRef]
- Chun, Y.J.; Van Kleunen, M.; Dawson, W. The role of enemy release, tolerance and resistance in plant invasions: Linking damage to performance. Ecol. Lett. 2010, 13, 937–946. [Google Scholar] [CrossRef]
- Liu, H.; Stiling, P. Testing the enemy release hypothesis: A review and meta-analysis. Biol. Invasions 2006, 8, 1535–1545. [Google Scholar] [CrossRef]
- Heger, T.; Jeschke, J.M. The enemy release hypothesis as a hierarchy of hypotheses. Oikos 2014, 123, 741–750. [Google Scholar] [CrossRef]
- Crawley, M.J. Herbivory. The Dynamics of Animal-Plant Interactions; Blackwell Scientific Publications: Oxford, UK, 1983. [Google Scholar]
- Maron, J.L.; Crone, E. Herbivory: Effects on plant abundance, distribution and population growth. Proc. R. Soc. B Biol. Sci. 2006, 273, 2575–2584. [Google Scholar] [CrossRef] [PubMed]
- Schutzenhofer, M.R.; Valone, T.J.; Knight, T.M. Herbivory and population dynamics of invasive and native Lespedeza. Oecologia 2009, 161, 57–66. [Google Scholar] [CrossRef]
- Lucero, J.E.; Schaffner, U.; Asadi, G.; Bagheri, A.; Rajabov, T.; Callaway, R.M. Enemy release from the effects of generalist granivores can facilitate Bromus tectorum invasion in the Great Basin Desert. Ecol. Evol. 2019, 9, 8490–8499. [Google Scholar] [CrossRef]
- DeWalt, S.J.; Denslow, J.S.; Ickes, K. Natural-enemy release facilitates habitat expansion of the invasive tropical shrub Clidemia hirta. Ecology 2004, 85, 471–483. [Google Scholar] [CrossRef]
- Williams, J.L.; Auge, H.; Maron, J.L. Testing hypotheses for exotic plant success: Parallel experiments in the native and introduced ranges. Ecology 2010, 91, 1355–1366. [Google Scholar] [CrossRef]
- Vilà, M.; Espinar, J.L.; Hejda, M.; Hulme, P.E.; Jarošík, V.; Maron, J.L.; Pergl, J.; Schaffner, U.; Sun, Y.; Pyšek, P. Ecological impacts of invasive alien plants: A meta-analysis of their effects on species, communities and ecosystems. Ecol. Lett. 2011, 14, 702–708. [Google Scholar] [CrossRef]
- Sardans, J.; Bartrons, M.; Margalef, O.; Gargallo-Garriga, A.; Janssens, I.A.; Ciais, P.; Obersteiner, M.; Sigurdsson, B.D.; Chen, H.Y.; Penuelas, J. Plant invasion is associated with higher plant-soil nutrient concentrations in nutrient poor-environments. Glob. Chang. Biol. 2016, 23, 1282–1291. [Google Scholar] [CrossRef]
- Van der Putten, W.H. Climate change, aboveground-belowground interactions, and species’ range shifts. Annu. Rev. Ecol. Evol. Syst. 2012, 43, 365–383. [Google Scholar] [CrossRef]
- Cardinale, B.J.; Duffy, J.E.; Gonzalez, A.; Hooper, D.U.; Perrings, C.; Venail, P.; Narwani, A.; Mace, G.M.; Tilman, D.; Wardle, D.A. Biodiversity loss and its impact on humanity. Nature 2012, 486, 59–67. [Google Scholar] [CrossRef]
- Hector, A.; Schmid, B.; Beierkuhnlein, C.; Caldeira, M.; Diemer, M.; Dimitrakopoulos, P.; Finn, J.; Freitas, H.; Giller, P.; Good, J. Plant diversity and productivity experiments in European grasslands. Science 1999, 286, 1123–1127. [Google Scholar] [CrossRef]
- Roscher, C.; Temperton, V.M.; Scherer-Lorenzen, M.; Schmitz, M.; Schumacher, J.; Schmid, B.; Buchmann, N.; Weisser, W.W.; Schulze, E.D. Overyielding in experimental grassland communities—Irrespective of species pool or spatial scale. Ecol. Lett. 2005, 8, 419–429. [Google Scholar] [CrossRef]
- Maron, J.L.; Auge, H.; Pearson, D.E.; Korell, L.; Hensen, I.; Suding, K.N.; Stein, C. Staged invasions across disparate grasslands: Effects of seed provenance, consumers and disturbance on productivity and species richness. Ecol. Lett. 2014, 17, 499–507. [Google Scholar] [CrossRef]
- Korell, L.; Schmidt, R.; Bruelheide, H.; Hensen, I.; Auge, H. Mechanisms driving diversity–productivity relationships differ between exotic and native communities and are affected by gastropod herbivory. Oecologia 2016, 180, 1025–1036. [Google Scholar] [CrossRef][Green Version]
- Hallett, S.G. Dislocation from coevolved relationships: A unifying theory for plant invasion and naturalization? Weed Sci. 2006, 54, 282–290. [Google Scholar] [CrossRef]
- Thorpe, A.S.; Aschehoug, E.T.; Atwater, D.Z.; Callaway, R.M. Interactions among plants and evolution. J. Ecol. 2011, 99, 729–740. [Google Scholar] [CrossRef]
- Lankau, R.A. Resistance and recovery of soil microbial communities in the face of Alliaria petiolata invasions. N. Phytol. 2011, 189, 536–548. [Google Scholar] [CrossRef]
- Wilsey, B.J.; Teaschner, T.B.; Daneshgar, P.P.; Isbell, F.I.; Polley, H.W. Biodiversity maintenance mechanisms differ between native and novel exotic-dominated communities. Ecol. Lett. 2009, 12, 432–442. [Google Scholar] [CrossRef]
- Kuebbing, S.E.; Classen, A.T.; Sanders, N.J.; Simberloff, D. Above- and below-ground effects of plant diversity depend on species origin: An experimental test with multiple invaders. N. Phytol. 2015, 208, 727–735. [Google Scholar] [CrossRef]
- MacDougall, A.S.; Gilbert, B.; Levine, J.M. Plant invasions and the niche. J. Ecol. 2009, 97, 609–615. [Google Scholar] [CrossRef]
- Chesson, P. Updates on mechanisms of maintenance of species diversity. J. Ecol. 2018, 106, 1773–1794. [Google Scholar] [CrossRef]
- Van Kleunen, M.; Weber, E.; Fischer, M. A meta-analysis of trait differences between invasive and non-invasive plant species. Ecol. Lett. 2010, 13, 235–245. [Google Scholar] [CrossRef] [PubMed]
- Pearson, D.E.; Ortega, Y.K.; Eren, Ö.; Hierro, J.L. Quantifying “apparent” impact and distinguishing impact from invasiveness in multispecies plant invasions. Ecol. Appl. 2016, 26, 162–173. [Google Scholar] [CrossRef] [PubMed]
- Ortega, Y.K.; Pearson, D.E. Weak vs. strong invaders of natural plant communities: Assessing invasibility and impact. Ecol. Appl. 2005, 15, 651–661. [Google Scholar] [CrossRef]
- Eschtruth, A.K.; Battles, J.J. Assessing the relative importance of disturbance, herbivory, diversity, and propagule pressure in exotic plant invasion. Ecol. Monogr. 2009, 79, 265–280. [Google Scholar] [CrossRef]
- Heckman, R.W.; Wright, J.P.; Mitchell, C.E. Joint effects of nutrient addition and enemy exclusion on exotic plant success. Ecology 2016, 97, 3337–3345. [Google Scholar] [CrossRef]
- Engelkes, T.; Meisner, A.; Morriën, E.; Kostenko, O.; Van der Putten, W.H.; Macel, M. Herbivory and dominance shifts among exotic and congeneric native plant species during plant community establishment. Oecologia 2016, 180, 507–517. [Google Scholar] [CrossRef]
- Heard, M.J.; Sax, D.F. Coexistence between native and exotic species is facilitated by asymmetries in competitive ability and susceptibility to herbivores. Ecol. Lett. 2013, 16, 206–213. [Google Scholar] [CrossRef]
- Heckman, R.W.; Halliday, F.W.; Wilfahrt, P.A.; Mitchell, C.E. Effects of native diversity, soil nutrients, and natural enemies on exotic invasion in experimental plant communities. Ecology 2017, 98, 1409–1418. [Google Scholar] [CrossRef]
- Knight, T.M.; Dunn, J.L.; Smith, L.A.; Davis, J.; Kalisz, S. Deer facilitate invasive plant success in a Pennsylvania forest understory. Nat. Areas J. 2009, 29, 110–116. [Google Scholar] [CrossRef]
- Seabloom, E.W.; Borer, E.T.; Martin, B.A.; Orrock, J.L. Effects of long-term consumer manipulations on invasion in oak savanna communities. Ecology 2009, 90, 1356–1365. [Google Scholar] [CrossRef]
- Dawson, W. Release from belowground enemies and shifts in root traits as interrelated drivers of alien plant invasion success: A hypothesis. Ecol. Evol. 2015, 5, 4505–4516. [Google Scholar] [CrossRef]
- DAISIE. Handbook of Alien Species in Europe; Springer: New York, NY, USA, 2009; Volume 3. [Google Scholar]
- Root, R.B. Herbivore pressure on goldenrods (Solidago altissima): Its variation and cumulative effects. Ecology 1996, 77, 1074–1087. [Google Scholar] [CrossRef]
- Uriarte, M. Interactions between goldenrod (Solidago altissima L.) and its insect herbivore (Trirhabda virgata) over the course of succession. Oecologia 2000, 122, 521–528. [Google Scholar] [CrossRef]
- Jobin, A.; Schaffner, U.; Nentwig, W. The structure of the phytophagous insect fauna on the introduced weed Solidago altissima in Switzerland. Entomol. Exp. Appl. 1996, 79, 33–42. [Google Scholar] [CrossRef]
- Catford, J.A.; Jansson, R.; Nilsson, C. Reducing redundancy in invasion ecology by integrating hypotheses into a single theoretical framework. Divers. Distrib. 2009, 15, 22–40. [Google Scholar] [CrossRef]
- Kalisz, S.; Spigler, R.B.; Horvitz, C.C. In a long-term experimental demography study, excluding ungulates reversed invader’s explosive population growth rate and restored natives. Proc. Natl. Acad. Sci. USA 2014, 111, 4501–4506. [Google Scholar] [CrossRef]
- Parker, J.D.; Burkepile, D.E.; Hay, M.E. Opposing effects of native and exotic herbivores on plant invasions. Science 2006, 311, 1459–1461. [Google Scholar] [CrossRef]
- Shea, K.; Chesson, P. Community ecology theory as a framework for biological invasions. Trends Ecol. Evol. 2002, 17, 170–176. [Google Scholar] [CrossRef]
- Agrawal, A.A.; Kotanen, P.M.; Mitchell, C.E.; Power, A.G.; Godsoe, W.; Klironomos, J. Enemy release? An experiment with congeneric plant pairs and diverse above-and belowground enemies. Ecology 2005, 86, 2979–2989. [Google Scholar] [CrossRef]
- Van Dam, N.M. Belowground herbivory and plant defenses. Annu. Rev. Ecol. Evol. Syst. 2009, 40, 373–391. [Google Scholar] [CrossRef]
- Maron, J.L.; Marler, M.; Klironomos, J.N.; Cleveland, C.C. Soil fungal pathogens and the relationship between plant diversity and productivity. Ecol. Lett. 2011, 14, 36–41. [Google Scholar] [CrossRef]
- Vestergård, M.; Rønn, R.; Ekelund, F. Above–belowground interactions govern the course and impact of biological invasions. AoB Plants 2015, 7, plv025. [Google Scholar] [CrossRef]
- Callaway, R.M.; Thelen, G.C.; Rodriguez, A.; Holben, W.E. Soil biota and exotic plant invasion. Nature 2004, 427, 731–733. [Google Scholar] [CrossRef]
- Maron, J.L.; Klironomos, J.; Waller, L.; Callaway, R.M. Invasive plants escape from suppressive soil biota at regional scales. J. Ecol. 2014, 102, 19–27. [Google Scholar] [CrossRef]
- Reinhart, K.O.; Callaway, R.M. Soil biota and invasive plants. New Phytol. 2006, 170, 445–457. [Google Scholar] [CrossRef]
- Nunes, K.A.; Fitzpatrick, C.R.; Kotanen, P.M. Soil biota composition and the performance of a noxious weed across its invaded range. Ecography 2019. [Google Scholar] [CrossRef]
- McGinn, K.J.; van der Putten, W.H.; Hulme, P.E.; Shelby, N.; Weser, C.; Duncan, R.P. The influence of residence time and geographic extent on the strength of plant–soil feedbacks for naturalised Trifolium. J. Ecol. 2018, 106, 207–217. [Google Scholar] [CrossRef]
- Pearson, D.E.; Ortega, Y.K.; Eren, Ö.; Hierro, J.L. Community assembly theory as a framework for biological invasions. Trends Ecol. Evol. 2018, 33, 313–325. [Google Scholar] [CrossRef]
- Suding, K.N.; Stanley Harpole, W.; Fukami, T.; Kulmatiski, A.; MacDougall, A.S.; Stein, C.; van der Putten, W.H. Consequences of plant–soil feedbacks in invasion. J. Ecol. 2013, 101, 298–308. [Google Scholar] [CrossRef]
- Maron, J.L.; Luo, W.; Callaway, R.M.; Pal, R.W. Do exotic plants lose resistance to pathogenic soil biota from their native range? A test with Solidago gigantea. Oecologia 2015, 179, 447–454. [Google Scholar] [CrossRef]
- Blossey, B.; Hunt-Joshi, T.R. Belowground herbivory by insects: Influence on plants and aboveground herbivores. Annu. Rev. Entomol. 2003, 48, 521–547. [Google Scholar] [CrossRef] [PubMed]
- Gerber, E.; Hinz, H.; Blossey, B. Impact of the belowground herbivore and potential biological control agent, Ceutorhynchus scrobicollis, on Alliaria petiolata performance. Biol. Control 2007, 42, 355–364. [Google Scholar] [CrossRef]
- Weber, E. Morphological variation of the introduced perennial Solidago canadensis L. sensu lato (Asteraceae) in Europe. Bot. J. Linn. Soc. 1997, 123, 197–210. [Google Scholar] [CrossRef]
- BfN. Floraweb. Available online: http://www.floraweb.de/ (accessed on 27 October 2019).
- Weber, E. The dynamics of plant invasions: A case study of three exotic goldenrod species (Solidago L.) in Europe. J. Biogeogr. 1998, 25, 147–154. [Google Scholar] [CrossRef]
- Cain, M.L.; Carson, W.P.; Root, R.B. Long-term suppression of insect herbivores increases the production and growth of Solidago altissima rhizomes. Oecologia 1991, 88, 251–257. [Google Scholar] [CrossRef]
- Meyer, G.A.; Root, R.B. Effects of herbivorous insects and soil fertility on reproduction of goldenrod. Ecology 1993, 74, 1117–1128. [Google Scholar] [CrossRef]
- Witsack, W.; Al-Hussein, I.A.; Süssmuth, T. Analyse der Faunenstrukturveränderung bei der Regeneration hochbelasteter Agrarökosysteme (epigäische Fauna). In Strategien zur Regeneration belasteter Agrarökosysteme des mitteldeutschen Schwarzerdegebietes; Körschens, M., Mahn, E.G., Eds.; Teubner: Stuttgart, Germany, 1995; pp. 423–462. [Google Scholar]
- Ahtiainen, J.; Vanhala, P.; Myllymäki, A. Effects of different plant protection programs on soil microbes. Ecotoxicol. Environ. Saf. 2003, 54, 56–64. [Google Scholar] [CrossRef]
- Schädler, M.B.R.; Auge, H. Effects of the pesticides Perfekthion and Hortex on the growth of Solidago Canadensis. in press.
- Endlweber, K.; Schädler, M.; Scheu, S. Effects of foliar and soil insecticide applications on the collembolan community of an early set-aside arable field. Appl. Soil Ecol. 2006, 31, 136–146. [Google Scholar] [CrossRef]
- Michereff-Filho, M.; Guedes, R.; Della-Lucia, T.; Michereff, M.; Cruz, I. Non-target impact of chlorpyrifos on soil arthropods associated with no-tillage cornfields in Brazil. Int. J. Pest Manag. 2004, 50, 91–99. [Google Scholar] [CrossRef]
- Fountain, M.T.; Brown, V.K.; Gange, A.C.; Symondson, W.O.; Murray, P.J. The effects of the insecticide chlorpyrifos on spider and Collembola communities. Pedobiologia 2007, 51, 147–158. [Google Scholar] [CrossRef]
- Pelosi, C.; Barot, S.; Capowiez, Y.; Hedde, M.; Vandenbulcke, F. Pesticides and earthworms. A review. Agron. Sustain. Dev. 2014, 34, 199–228. [Google Scholar] [CrossRef]
- Revellin, C.; De Canson, B.; Catroux, G. Effect of a mixture of chlorpyrifos and lindane on the symbiosis of Bradyrhizobium japonicum and Soybean (Glycine max. (L.) Merril). Pestic. Sci. 1992, 36, 69–74. [Google Scholar] [CrossRef]
- Pozo, C.; Martinez-Toledo, M.; Salmeron, V.; Rodelas, B.; Gonzalez-Lopez, J. Effect of chlorpyrifos on soil microbial activity. Environ. Toxicol. Chem. 1995, 14, 187–192. [Google Scholar] [CrossRef]
- Eisenhauer, N.; Klier, M.; Partsch, S.; Sabais, A.C.; Scherber, C.; Weisser, W.W.; Scheu, S. No interactive effects of pesticides and plant diversity on soil microbial biomass and respiration. Appl. Soil Ecol. 2009, 42, 31–36. [Google Scholar] [CrossRef]
- Hector, A.; Wilby, A.; Latsch, O.; Brown, V. Phyto-activity of biocides used to manipulate herbivory: Tests of three pesticides on fourteen plant species. Basic Appl. Ecol. 2004, 5, 313–320. [Google Scholar] [CrossRef]



| Fixed Effects | Solidago canadensis | |||||
|---|---|---|---|---|---|---|
| Number of Ramets | Cover Abundance | |||||
| D.f. | F | Sign. | D.f. | F | Sign. | |
| Time | 5, 428 | 36.5 | *** | 5, 380 | 83.2 | *** |
| Aboveground | 1, 81 | 9.6 | ** | 1, 67 | 8.1 | ** |
| Belowground | 1, 81 | 8.2 | n.s. | 1, 67 | 7.0 | * |
| Time x Aboveground | 5, 428 | 0.7 | ** | 5, 380 | 0.4 | n.s. |
| Time x Belowground | 5, 428 | 0.2 | n.s. | 5, 380 | 1.7 | n.s. |
| Above- x Belowground | 1, 81 | 1.4 | n.s. | 1, 67 | 0.6 | n.s. |
| Time x above- x Belowground | 5, 428 | 0.6 | n.s. | 5, 380 | 0.4 | n.s. |
| Fixed Effects | D.f. | Vegetation Dynamics | |||||||
|---|---|---|---|---|---|---|---|---|---|
| Solidago canadensis | Other Perennial Herbs | Annual Herbs | Perennial Grasses | ||||||
| F | sign. | F | sign. | F | sign. | F | sign. | ||
| Time | 5, 380 | 51.9 | *** | 150 | *** | 11 | *** | 115.3 | *** |
| Aboveground | 1, 67 | 20.1 | ** | 7.4 | ** | 17.4 | *** | 9.8 | ** |
| Belowground | 1, 67 | 9.3 | *** | 26.2 | *** | 14.2 | *** | 17.4 | *** |
| Time x Aboveground | 5, 380 | 0.8 | n.s. | 1.5 | n.s. | 0.4 | n.s. | 1.4 | n.s. |
| Time x Belowground | 5, 380 | 0.5 | n.s. | 12.3 | *** | 0.5 | n.s. | 12.2 | *** |
| Above- x Belowground | 1, 67 | 1.9 | n.s. | 0.5 | n.s. | 10.5 | ** | <0.1 | n.s. |
| Time x Above- x Belowground | 5, 380 | 1.3 | n.s. | 0.3 | n.s. | 0.4 | n.s. | 0.2 | n.s. |
| Fixed Effects | D.f. | Old-field Community | |||||||
|---|---|---|---|---|---|---|---|---|---|
| Evenness | Richness | Biomass | S. canadensis Biomass | ||||||
| F | sign. | F | sign | F | sign. | F | sign. | ||
| Aboveground | 1, 81 | 7.5 | * | 4.7 | * | 11.5 | ** | 19 | *** |
| Belowground | 1, 81 | 3 | n.s. | 0 | n.s. | 5.5 | * | 10.1 | ** |
| Above- x Belowground | 1, 81 | 3 | n.s | 0 | n.s. | 6.1 | * | 6.8 | * |
© 2019 by the authors. Licensee MDPI, Basel, Switzerland. This article is an open access article distributed under the terms and conditions of the Creative Commons Attribution (CC BY) license (http://creativecommons.org/licenses/by/4.0/).
Share and Cite
Korell, L.; Schädler, M.; Brandl, R.; Schreiter, S.; Auge, H. Release from Above- and Belowground Insect Herbivory Mediates Invasion Dynamics and Impact of an Exotic Plant. Plants 2019, 8, 544. https://doi.org/10.3390/plants8120544
Korell L, Schädler M, Brandl R, Schreiter S, Auge H. Release from Above- and Belowground Insect Herbivory Mediates Invasion Dynamics and Impact of an Exotic Plant. Plants. 2019; 8(12):544. https://doi.org/10.3390/plants8120544
Chicago/Turabian StyleKorell, Lotte, Martin Schädler, Roland Brandl, Susanne Schreiter, and Harald Auge. 2019. "Release from Above- and Belowground Insect Herbivory Mediates Invasion Dynamics and Impact of an Exotic Plant" Plants 8, no. 12: 544. https://doi.org/10.3390/plants8120544
APA StyleKorell, L., Schädler, M., Brandl, R., Schreiter, S., & Auge, H. (2019). Release from Above- and Belowground Insect Herbivory Mediates Invasion Dynamics and Impact of an Exotic Plant. Plants, 8(12), 544. https://doi.org/10.3390/plants8120544

