Effects of Different Seedless Treatments on Fruit Quality and Coloring of ‘Jumeigui’ Grapes
Abstract
1. Introduction
2. Materials and Methods
2.1. Plant Material
2.2. Experimental Design and Treatments
2.3. Measurement of Fruit Quality Indices
2.3.1. Fruit Appearance Indices
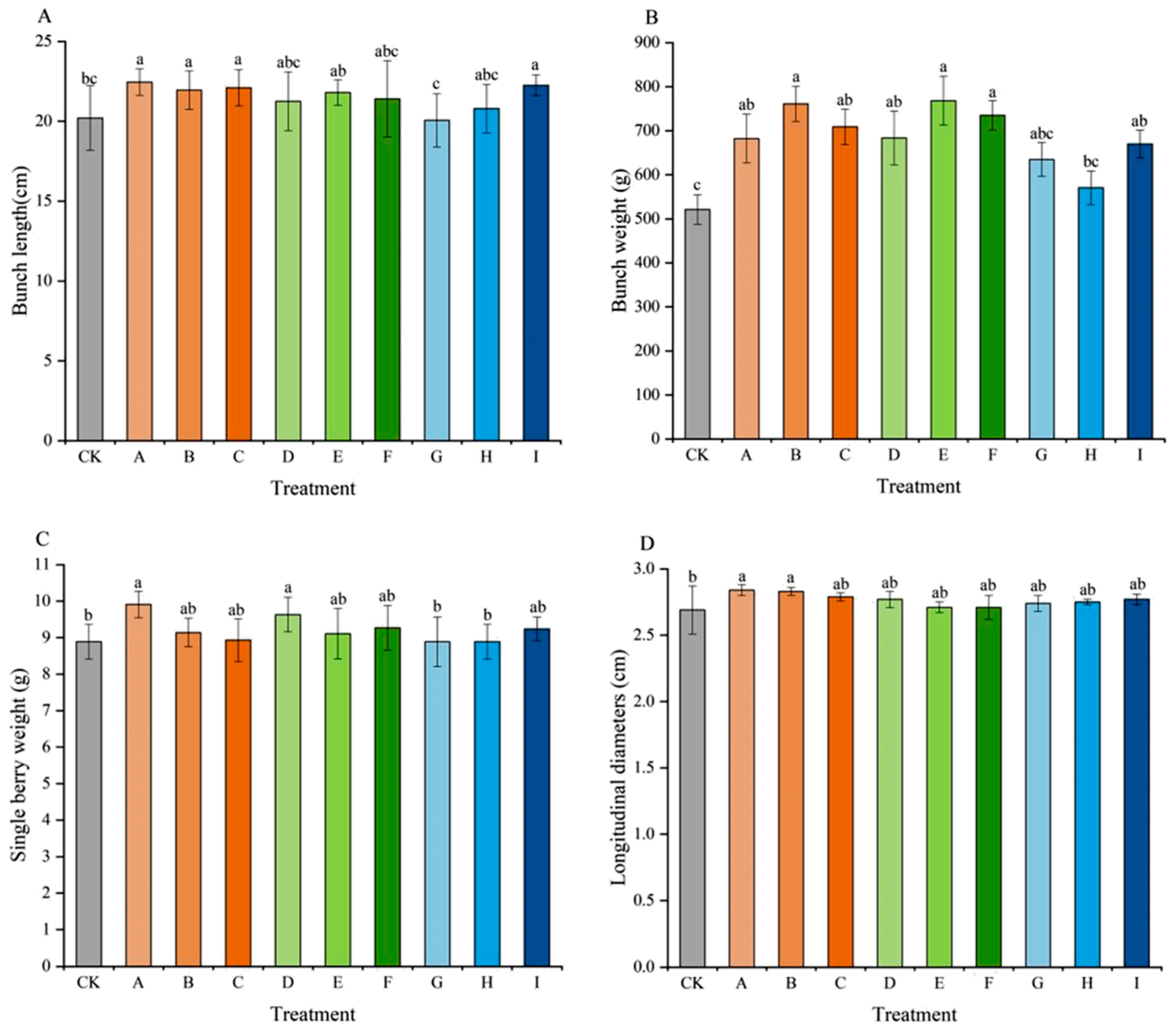
- Bunch length, bunch weight, and berry weight, and other related indices: Bunch length was measured using a straight ruler. Bunch weight and berry weight were determined using an electronic balance (LT502E, Changshu Tianliang Instrument Co., Ltd., Suzhou, China), which was accurate to 0.01 g. Single-berry weight was calculated as the total weight divided by the number of berries. Berry longitudinal and transverse diameters were measured with a vernier caliper (ARZ-1331, Eirezer AG, Qingdao, China), accurate to 0.01 cm, and the fruit shape index was calculated as the ratio of longitudinal to transverse diameter. The length of the fruit stalk brush was also measured with a vernier caliper. For each treatment, 30 berries were measured, and the average was taken. For seedless rate determination, 30 randomly selected berries per treatment were cut along the equator and examined. This was repeated three times, and the average value was calculated.
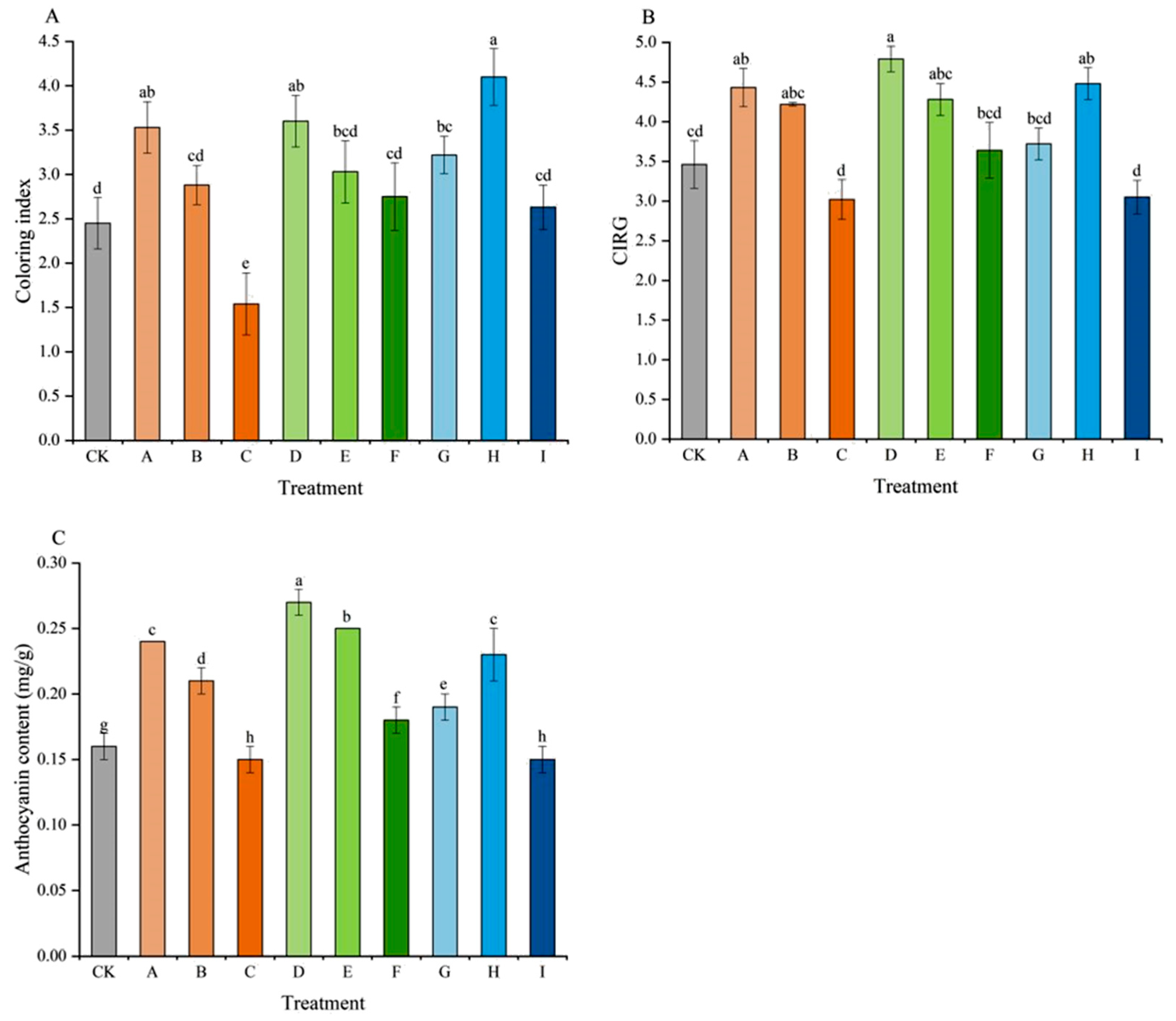
- Color Index of Red Grape (CIRG): A CR-400 handheld colorimeter (Konica Minolta, Tokyo, Japan) was used to measure the color indices L*, a*, and b* at the equatorial region of the fruit. For each treatment, 30 berries were measured, and the average was calculated. The CIRG was then computed based on L*, a*, and b* values [21]. The CIRG scale for evaluating fruit appearance color is as follows: CIRG < 2 indicates yellow-green, 2 < CIRG < 4 indicates pink, 4 < CIRG < 5 indicates red, 5 < CIRG < 6 indicates dark red, and CIRG > 6 indicates blue-black [22].
2.3.2. Fruit Internal Indices (Physicochemical Indices)
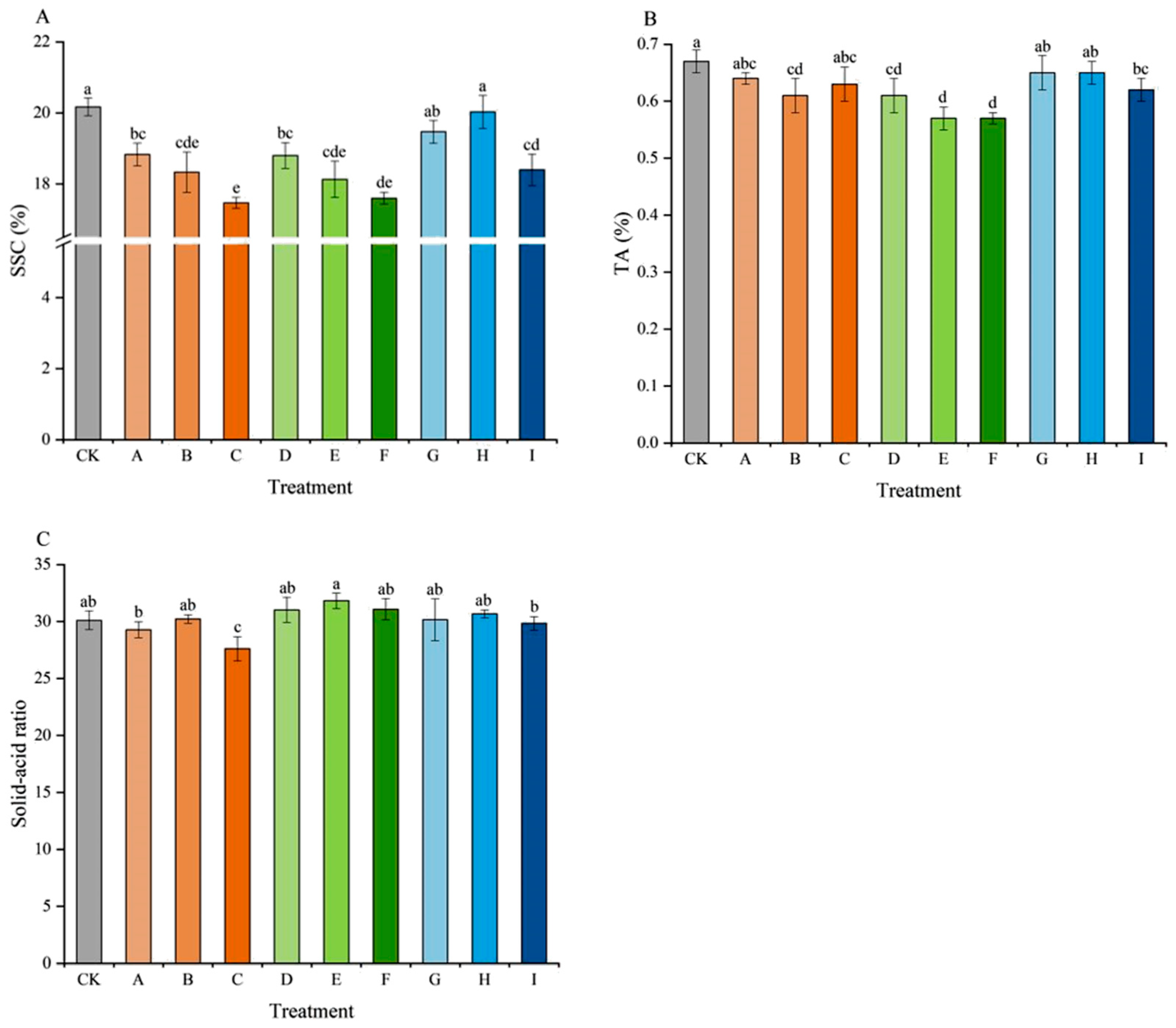
- Soluble solids content (SSC) and titratable acidity (TA): Soluble solids content was measured using a refractometer (ATAGO PAL-1, Atago Co., Ltd., Tokyo, Japan). Titratable acidity was determined using an acid meter (PAL-Easy ACID2, Atago Co., Ltd., Tokyo, Japan). The solid–acid ratio was calculated as the ratio of soluble solids content to titratable acidity.
- Ascorbic acid, tannin, bitterness/astringency, and anthocyanin contents: The ascorbic acid content in grapes was determined using the spectrophotometric method, which was based on the chemical reducibility of ascorbic acid and its reaction with specific reagents to form a colored compound. This compound absorbs light at a specific wavelength, and its absorbance is directly proportional to its concentration [23]. Tannin content was measured according to the Chinese agricultural industry standard NY/T 1600-2008 ‘Determination of tannin content in fruit, vegetable and derived product-Spectrophotometry method.’ [24]. The fundamental principle of this method was as follows: tannin substances, under alkaline conditions, could reduce tungstomolybdic acid to produce a blue-colored complex. This blue complex exhibited maximum absorption at a wavelength of 765 nm. Within a certain concentration range, the absorbance value was directly proportional to the tannin content (calculated as gallic acid), allowing for quantitative analysis. Bitterness and astringency were assessed using an electronic tongue (INSENT SA402B, Insent Co., Ltd., Tokyo, Japan). Anthocyanin content in the grape skin was determined using the pH differential method, which was based on the reversible structural transformation of anthocyanin molecules in response to changes in solution pH, which systematically altered their maximum absorption wavelength and absorbance. By measuring the absorbance of the sample extract at specific wavelengths under two buffered systems (pH 1.0 and pH 4.5), and calculating the differential absorbance, interference from non-anthocyanin pigments was eliminated, allowing for the specific quantification of anthocyanins.
2.4. Statistical and Multivariate Analysis
3. Results
3.1. Appearance Quality Parameters
3.2. Internal Quality Parameters
3.3. Fruit Coloring Parameters
3.4. Comprehensive Evaluation of Different Treatments
4. Discussion
5. Conclusions
Author Contributions
Funding
Data Availability Statement
Conflicts of Interest
References
- Varoquaux, F.; Blanvillain, R.; Delseny, M.; Gallois, P. Less is better: New approaches for seedless fruit production. Trends Biotechnol. 2000, 18, 233–242. [Google Scholar] [CrossRef]
- Wang, S.; Cheng, D.W.; Li, M.; Gu, H.; Li, Z.Y.; Qi, S.; Chen, J.Y. Research Progress on Seedless-Induced Production of ‘Shine Muscat’ Grape. J. Agric. Sci. Technol. 2020, 22, 58–64. [Google Scholar] [CrossRef]
- Li, X.; Cai, Z.; Liu, X.; Wu, Y.; Han, Z.; Yang, G.; Li, S.; Xie, Z.; Liu, L.; Li, B. Effects of Gibberellic Acid on Soluble Sugar Content, Organic Acid Composition, Endogenous Hormone Levels, and Carbon Sink Strength in Shine Muscat Grapes during Berry Development Stage. Horticulturae 2024, 10, 346. [Google Scholar] [CrossRef]
- Ishikawa, H.; Togano, Y.; Shibuya, T. Profile of gene expression at the berry enlargement phase of the large berry mutant of ‘Delaware’ grape. Acta Hortic. 2024, 1404, 27–32. [Google Scholar] [CrossRef]
- Alshallash, K.S.; Fahmy, M.A.; Tawfeeq, A.M.; Baghdady, G.A.; Abdrabboh, G.A.; Hamdy, A.E.; Kabsha, E.-b.A. GA3 and Hand Thinning Improves Physical, Chemical Characteristics, Yield and Decrease Bunch Compactness of Sultanina Grapevines (Vitis vinifera L.). Horticulturae 2023, 9, 160. [Google Scholar] [CrossRef]
- Dong, J.; Zhang, P.; Li, W.; Li, H.; Zhou, G.; Chen, K.; Fang, Y.; Zhang, K. Effects of Seedlessness and Swelling Treatments Based on GA3 and CPPU on the Fruit Quality of “Shine Muscat” Grapes. Sci. Agric. Sin. 2025, 58, 2008–2021. [Google Scholar] [CrossRef]
- Hassan, A.E.; Behary, E.H.M. Effect of some gibberellic acid and forchlorfnuron application on productivity and berries development of early sweet grapes. Menoufia J. Plant Prod. 2021, 6, 289–298. [Google Scholar] [CrossRef]
- Han, X.; Mi, Y.; Wang, H.; Ye, S.; Abe-Kanoh, N.; Ji, W. Influence of GA3 and CPPU on the Quality Attributes and Peelability of ‘Wuhe Cuibao’ Grape. Agronomy 2025, 15, 1986. [Google Scholar] [CrossRef]
- Peng, T.; Liu, C.; Wu, S.L.; Li, J.B.; Liu, F. Effects of different puffing measures on the fruit quality of ‘summer black’ grapes. IOP Conf. Ser. Earth Environ. Sci. 2020, 546, 052057. [Google Scholar] [CrossRef]
- Rademacher, W. Plant Growth Regulators: Backgrounds and Uses in Plant Production. J. Plant Growth Regul. 2015, 34, 845–872. [Google Scholar] [CrossRef]
- Peppi, M.C.; Fidelibus, M.W. Effects of Forchlorfenuron and Abscisic Acid on the Quality of ‘Flame Seedless’ Grapes. HortScience 2008, 43, 173–177. [Google Scholar] [CrossRef]
- Ren, J.; Li, X.; Song, X.; Ren, C.; Shen, Y.; Tao, J. Effects of GA3 and TDZ on Fruit Growth and Quality of Summer Black Grape. Acta Agric. Jiangxi 2013, 25, 21–25+30. [Google Scholar] [CrossRef]
- Yang, P.; Wu, Z.; Liu, B.; Wang, L.; Wang, S. Synergistic Effects of Gibberellic Acid, Forchlorfenuron, Thidiazuron, and Brassinosteroid Combinations on Seedless Berry Development and Quality Enhancement in ‘Shine Muscat’ and ‘Red Muscat of Alexandria’ Grapes. Biology 2025, 14, 1270. [Google Scholar] [CrossRef]
- Lee, S.Y.; Heo, J.Y. Combined treatment with gibberellic acid and thidiazuron improves fruit quality of ‘Red Dream’ grape cultivar. Not. Sci. Biol. 2023, 15, 11499. [Google Scholar] [CrossRef]
- Choi, S.; Ban, S.; Choi, C. The Impact of Plant Growth Regulators and Floral Cluster Thinning on the Fruit Quality of ‘Shine Muscat’ Grape. Horticulturae 2023, 9, 392. [Google Scholar] [CrossRef]
- Huo, S.S.; Xi, Z.M.; Ma, L.N.; Luan, L.Y.; Luan, L.Y. Effect of plant growth regulator on the quality of Cabernet sauvignon grape. J. Northwest A F Univ.—Nat. Sci. Ed. 2012, 40, 183–189. [Google Scholar] [CrossRef]
- He, J.; Guo, C.B.; Wang, P.; Zheng, Q.Q.; Zhao, L.; Wu, M.; Lei, Y.J. Effects of plant growth regulator on the fruit quality of Red Globe. Sino-Overseas Grapevine Wine 2012, 4, 20–22+25. [Google Scholar] [CrossRef]
- Leng, X.P.; Cong, J.M.; Cheng, L.X.; Wan, H.L.; Liu, Y.X.; Yuan, Y.B.; Fang, J.G. Identification of key gene networks controlling monoterpene biosynthesis during grape ripening by integrating transcriptome and metabolite profiling. Hortic. Plant J. 2023, 9, 931–946. [Google Scholar] [CrossRef]
- Cheng, D.W.; He, S.S.; Gu, S.C.; Li, M.; Guo, X.Z.; Gu, H.; Chen, J.Y. Influence of GA3 and TDZ on fruit quality of ‘Hongyan Wuhe’ grape. J. Fruit Sci. 2021, 38, 212–221. [Google Scholar] [CrossRef]
- Strydom, J. Research Note: Effect of CPPU (N-(2-Chloro-4-Pyridinyl)-N’-Phenylurea) and a Seaweed Extract on Flame Seedless, Redglobe and Crimson Seedless Grape Quality. S. Afr. J. Enol. Vitic. 2013, 34, 233–240. [Google Scholar] [CrossRef]
- Li, F.F.; Wang, S.; Gu, S.C.; Cheng, D.W.; Gu, H.; Li, M.; Chen, J.Y.; Yang, Y.J. Effects of foliar application of ABA and PDJ on the coloration and quality of ‘Kyoho’ grape berry. J. Fruit Sci. 2020, 37, 362–370. [Google Scholar] [CrossRef]
- Amiri, M.E.; Fallahi, E.; Parseh, S.H. Application of ethephon and ABA at 40% veraison advanced maturity and quality of ‘Beidaneh Ghermez’ grape. Xi Int. Symp. Plant Bioregul. Fruit Prod. 2010, 884, 371–377. [Google Scholar] [CrossRef]
- Wang, H.F.; Shao, X.F. Experimental Guide for Fruit and Vegetable Storage and Processing; Science Press: Beijing, China, 2012; pp. 35–37. [Google Scholar]
- NY/T 1600-2008; Determination of Tannin Content in Fruit, Vegetable and Derived Product—Spectrophotometry Method. Agriculture Press: Beijing, China, 2008.
- Shin, H.W.; Kim, G.H.; Choi, C. Effects of Plant Growth Regulators and Floral Cluster Thinning on Fruit Quality of ‘Shine Muscat’ Grape. Hortic. Sci. Technol. 2019, 37, 678–686. [Google Scholar] [CrossRef]
- Wang, J.P.; Xu, W.H.; Zhang, C.; Song, Z.Z.; Cao, Z.Y.; Tang, M.L. Effects of Different Plant Growth Regulators on Fruit Quality of ‘Sunshine Rose’. North. Hortic. 2022, 5, 29–34. [Google Scholar] [CrossRef]
- Tan, X.F. The Effects of Different Plant Growth Regulator Formulations on the Fruit Quality and Storability of ‘Shine Muscat’ Grapes. Master’s thesis, Sichuan Agricultural University, Ya’an, China, 2025. [Google Scholar]
- Kok, D.; Bal, E. Seedless Berry Growth and Bioactive Compounds of cv. ‘Recel Uzümü’ (V. vinifera L.) as Affected by Application Doses and Times of Pre-Harvest Thidiazuron. Erwerbs-Obstbau 2016, 58, 253–258. [Google Scholar] [CrossRef]
- Kim, I.L.; Piao, Y.L.; Hwang, Y.S.; Lee, J.C. Effects of synthetic cytokinin, thidiazuron on berry size and quality of ‘Campbell Early’ (Vitis labruscana) grapes. J. Korean Soc. Hortic. Sci. 2002, 43, 457–461. [Google Scholar]
- Khalil, H.A. Improved Yield, Fruit Quality, and Shelf Life in ‘Flame Seedless’ Grapevine with Pre-Harvest Foliar Applications of Forchlorfenuron, Gibberellic Acid, and Abscisic Acid. J. Hortic. Res. Natl. Inst. Hortic. Res. 2020, 28, 77–86. [Google Scholar] [CrossRef]
- Tang, W.; Yang, C.; Cao, Y.; Wang, Z.; Du, P.; Lin, M. Exogenous 6-BA Inhibits Fruit Cracking by Regulating the Hormonal Balance and Transcriptome Characteristics of the Jujube Fruit Peel. Agronomy 2026, 16, 16. [Google Scholar] [CrossRef]
- Nie, S.Q.; Chen, B.; Liu, K.Y.; Shi, X.H.; Yang, G.S.; Zhong, X.H.; Xu, F.; Bai, M. Effects of Foliage Spraying 6-BA on Leaf Senescence Physiology and Fruit Quality of Grape. Hunan Agric. Sci. 2013, 15, 47–49+52. [Google Scholar] [CrossRef]
- Borodulina, I.D.; Vorotyntseva, M.V.; Makarova, G.A.; Zemtsova, A.Y.; Sokolova, G.G. The Content of Vitamin C in the Grape Grown under the Conditions of Southwestern Siberia. Russ. J. Bioorg. Chem. 2021, 47, 1451–1456. [Google Scholar] [CrossRef]
- Zheng, T.; Zhao, P.C.; Xiang, J.; Wei, L.Z.; Shen, W.T.; Wu, J.; Cheng, J.H. Integrated transcriptomic and metabolomic analysis reveals the effects of forchlorfenuron and thidiazuron on flavonoid biosynthesis in table grape skins. Curr. Plant Biol. 2024, 40, 100417. [Google Scholar] [CrossRef]
- Hernanz, D.; Recamales, Á.F.; Meléndez-Martínez, A.J.; González-Miret, M.L.; Heredia, F.J. Multivariate statistical analysis of the color-anthocyanin relationships in different soilless-grown strawberry genotypes. J. Agric. Food Chem. 2008, 56, 2735–2741. [Google Scholar] [CrossRef] [PubMed]
- Zhang, D.D.; Xu, X.F.; Zhang, Z.K.; Jiang, G.X.; Feng, L.Y.; Duan, X.W.; Jiang, Y.M. 6-Benzylaminopurine improves the quality of harvested litchi fruit. Postharvest Biol. Tec. 2018, 143, 137–142. [Google Scholar] [CrossRef]








| Treatments | Seedless Fruit-Setting Treatment (on 14 April 2025) | Fruit Enlargement Treatment (on 26 April 2025) |
|---|---|---|
| CK (blank control) | -- | 25 mg/L GA3 + 30 mg/L 6-BA |
| A | 18 mg/L GA3 + 0.5 mg/L CPPU | |
| B | 18 mg/L GA3 + 1 mg/L CPPU | |
| C | 18 mg/L GA3 + 1.5 mg/L CPPU | |
| D | 18 mg/L GA3 + 0.5 mg/L TDZ | |
| E | 18 mg/L GA3 + 1 mg/L TDZ | |
| F | 18 mg/L GA3 + 1.5 mg/L TDZ | |
| G | 18 mg/L GA3 + 10 mg/L 6-BA | |
| H | 18 mg/L GA3 + 20 mg/L 6-BA | |
| I | 18 mg/L GA3 + 30 mg/L 6-BA |
| Class | The Percentage of Coloring Area to the Whole Bunch |
|---|---|
| 1 | Coloring area ≤ 30% |
| 2 | 30% < Coloring area ≤ 50% |
| 3 | 50% < Coloring area ≤ 70% |
| 4 | 70% < Coloring area ≤ 90% |
| 5 | Coloring area > 90% |
| Principal Component | PC1 | PC2 | PC3 | PC4 |
|---|---|---|---|---|
| Eigen value | 3.725 | 3.278 | 1.967 | 1.164 |
| Contribution ratio (%) | 33.865 | 29.802 | 17.883 | 10.585 |
| Cumulative contribution ratio (%) | 33.865 | 63.668 | 81.55 | 92.135 |
| Single-berry weight | 0.618 | −0.003 | −0.666 * | 0.274 |
| Fruit stem brush length | 0.619 * | −0.555 | −0.237 | 0.416 |
| Seedless rate | 0.463 | −0.440 | 0.717 * | 0.004 |
| SSC | −0.270 | 0.944 * | 0.034 | −0.095 |
| TA | 0.666 * | −0.625 | 0.138 | −0.359 |
| Solid–acid ratio | 0.633 | 0.290 | 0.243 | −0.667 * |
| Ascorbic acid content | 0.091 | −0.423 | 0.656 * | 0.287 |
| Tannin content | −0.295 | 0.475 | 0.649 * | 0.441 |
| Coloring index | 0.587 | 0.743 * | 0.149 | 0.071 |
| CIRG | 0.794 * | 0.541 | 0.045 | 0.156 |
| Anthocyanin content | 0.871 * | 0.402 | −0.002 | 0.166 |
| Treatments | CK | A | B | C | D | E | F | G | H | I |
|---|---|---|---|---|---|---|---|---|---|---|
| Z value | −0.969 | 0.471 | 0.268 | −1.589 | 1.096 | 0.542 | −0.353 | 0.313 | 1.319 | −1.098 |
| Rank | 8 | 4 | 6 | 10 | 2 | 3 | 7 | 5 | 1 | 9 |
Disclaimer/Publisher’s Note: The statements, opinions and data contained in all publications are solely those of the individual author(s) and contributor(s) and not of MDPI and/or the editor(s). MDPI and/or the editor(s) disclaim responsibility for any injury to people or property resulting from any ideas, methods, instructions or products referred to in the content. |
© 2026 by the authors. Licensee MDPI, Basel, Switzerland. This article is an open access article distributed under the terms and conditions of the Creative Commons Attribution (CC BY) license.
Share and Cite
Cheng, D.; He, S.; Ye, T.; Zhang, K.; Sun, X.; Gu, H.; Tong, X.; Li, M.; Li, L.; Chen, J. Effects of Different Seedless Treatments on Fruit Quality and Coloring of ‘Jumeigui’ Grapes. Plants 2026, 15, 742. https://doi.org/10.3390/plants15050742
Cheng D, He S, Ye T, Zhang K, Sun X, Gu H, Tong X, Li M, Li L, Chen J. Effects of Different Seedless Treatments on Fruit Quality and Coloring of ‘Jumeigui’ Grapes. Plants. 2026; 15(5):742. https://doi.org/10.3390/plants15050742
Chicago/Turabian StyleCheng, Dawei, Shasha He, Ting Ye, Kejing Zhang, Xiaoxu Sun, Hong Gu, Xiangyang Tong, Ming Li, Lan Li, and Jinyong Chen. 2026. "Effects of Different Seedless Treatments on Fruit Quality and Coloring of ‘Jumeigui’ Grapes" Plants 15, no. 5: 742. https://doi.org/10.3390/plants15050742
APA StyleCheng, D., He, S., Ye, T., Zhang, K., Sun, X., Gu, H., Tong, X., Li, M., Li, L., & Chen, J. (2026). Effects of Different Seedless Treatments on Fruit Quality and Coloring of ‘Jumeigui’ Grapes. Plants, 15(5), 742. https://doi.org/10.3390/plants15050742

