Transcriptomics of Three Larix Species in Response to Geographically Distinct Bursaphelenchus xylophilus Strains in China
Abstract
1. Introduction
2. Materials and Methods
2.1. Materials
2.2. Inoculation of Host Plants
2.3. Sampling
2.4. RNA Extraction
2.5. Preparation of Transcriptome Sequencing Libraries
2.6. Transcriptome Analysis and Sequencing Assembly
2.7. Differential Gene GO, KEGG Analysis
2.8. qRT-PCR
2.9. Statistical Analysis and Drawing
3. Results
3.1. RNA Sequencing Quality
3.2. RNA Sequencing (RNA-Seq) Profiles and Identification of Differentially Expressed Genes (DEGs)
3.3. DEGs Significantly Enriched in Healthy Category
3.4. DEGs Significantly Enriched in Different Treatment Category
3.5. GO Analysis
3.6. KEGG Analysis
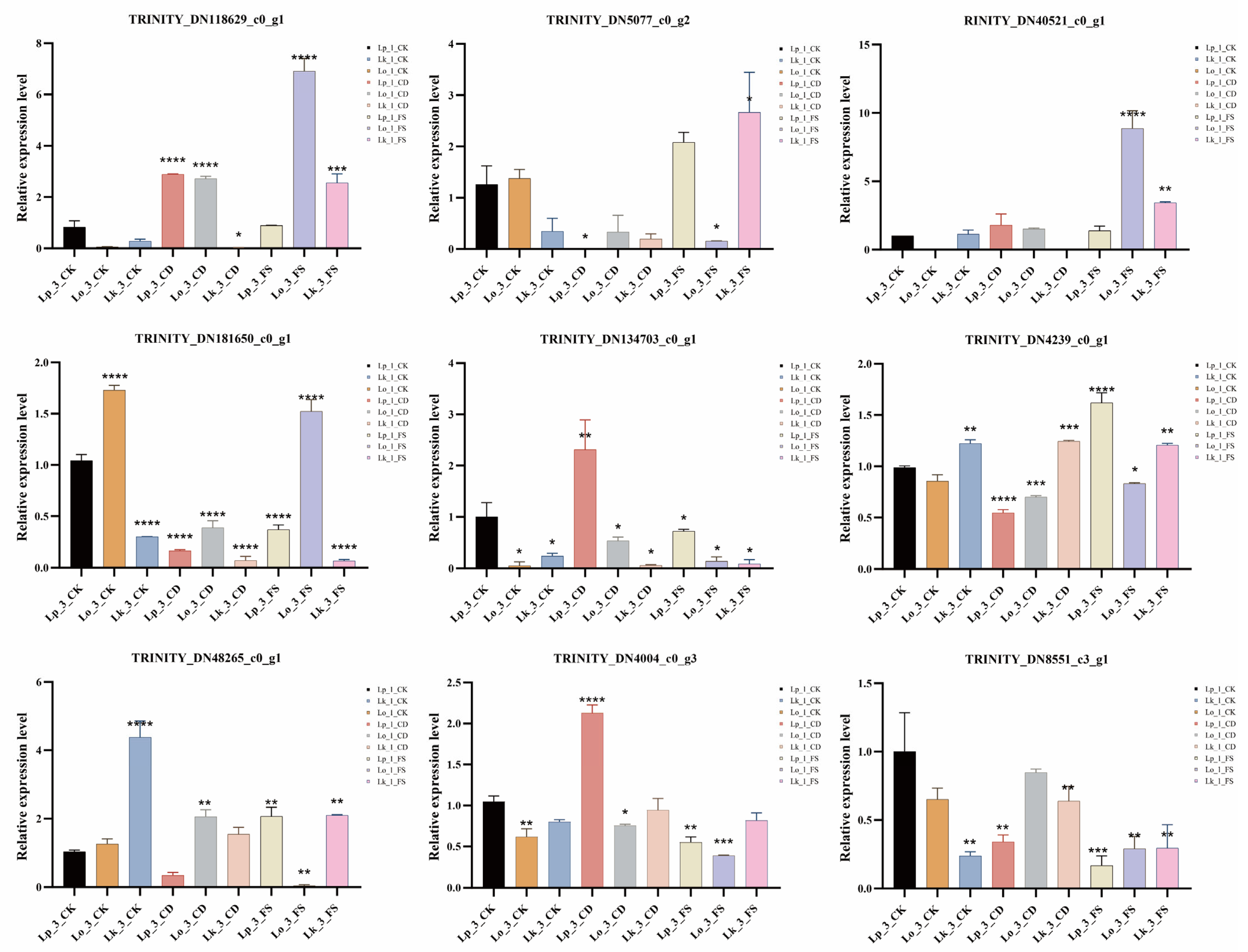
3.7. Verification of Gene Expression by qRT-PCR
4. Discussion
5. Conclusions
Supplementary Materials
Author Contributions
Funding
Institutional Review Board Statement
Data Availability Statement
Conflicts of Interest
References
- Futai, K. Pine wood nematode, Bursaphelenchus xylophilus. Annu. Rev. Phytopathol. 2013, 51, 61–83. [Google Scholar] [CrossRef]
- Meng, F.L.; Li, Y.X.; Liu, Z.K.; Feng, Y.; Wang, X.; Zhang, X. Expression of the thaumatin-like protein-1 gene (bx-tlp-1) from pine wood nematode Bursaphelenchus xylophilus affects terpene metabolism in pine trees. Phytopathology 2022, 112, 888–897. [Google Scholar] [CrossRef] [PubMed]
- Ohsawa, M.; Akiba, M. Possible altitude and temperature limits on pine wilt disease: The reproduction of vector sawyer beetles (Monochamus alternatus), survival of causal nematode (Bursaphelenchus xylophilus), and occurrence of damage caused by the disease. Eur. J. For. Res. 2014, 133, 225–233. [Google Scholar] [CrossRef]
- Zhao, H.X.; Xian, X.Q.; Yang, N.W.; Guo, J.Y.; Zhao, L.L.; Sun, J.H.; Shi, J.; Liu, W.X. Continuum of global to local dispersal frameworks highlights the increasing threat of pine wilt disease in China. Glob. Ecol. Conserv. 2024, 54, e03059. [Google Scholar] [CrossRef]
- Cao, Y.F.; Wang, L.F.; Wang, X.Z.; Wang, X.; Xu, M. Pathogenicity of three Bursaphelenchus xylophilus (Steiner & Buhrer) Nickle isolates in Pinus koraiensis (Siebold & Zucc.) seedlings. Forests 2022, 13, 1197. [Google Scholar] [CrossRef]
- Yang, A.; Ding, X.; Feng, Y.; Zhao, R.; Ye, J. Genetic diversity and genome-wide association analysis of pine wood nematode populations in different regions of China. Front. Plant Sci. 2023, 14, 1183772. [Google Scholar] [CrossRef]
- Xu, Q.; Zhang, X.; Li, J.; Ren, J.; Ren, L.; Luo, Y. Pine wilt disease in Northeast and Northwest China: A comprehensive risk review. Forests 2023, 14, 174. [Google Scholar] [CrossRef]
- Yu, H.Y.; Wu, H.; Zhang, X.D.; Wang, L.M.; Zhang, X.F.; Song, Y.S. Preliminary study on Larix spp. infected by Bursaphelenchus xylophilus in natural environment. Forest Pest Dis. 2019, 38, 7–10. (In Chinese) [Google Scholar]
- Ye, J.R.; Wu, X.Q. Research progress of pine wilt disease. Forest Pest Dis. 2022, 41, 1–10. (In Chinese) [Google Scholar]
- Cao, Y.F.; Wang, L.F.; Wang, X.Z.; Fan, J.H. Pathogenicity of Bursaphelenchus xylophilus to Larix olgensis Seedlings. J. For. Sci. 2020, 56, 108–115. (In Chinese) [Google Scholar]
- Fang, W.J.; Chen, Q.; Zhang, Q.; Ji, C.J.; Zhu, J.L.; Tang, Z.Y.; Fang, J.Y. Species richness patterns and the determinants of larch forests in China. Plant Divers. 2022, 44, 436–444. [Google Scholar] [CrossRef]
- Wang, J.G.; Jiang, X.; Luan, Q.S.; Feng, J.; Wang, J.J.; Liu, M. Effects of Bursaphelenchus xylophilus infestation on physiological indexes of Larix kaempferi. J. Southwest For. Univ. 2023, 43, 135–140. (In Chinese) [Google Scholar]
- Modesto, I.; Sterck, L.; Arbona, V.; Gómez-Cadenas, A.; Carrasquinho, I.; Van de Peer, Y.; Miguel, C.M. Insights into the mechanisms implicated in Pinus pinaster resistance to pinewood nematode. Front. Plant Sci. 2021, 12, 690857. [Google Scholar] [CrossRef] [PubMed]
- Liu, B.; Liu, Q.; Zhou, Z.; Yin, H.; Xie, Y.; Wei, Y. Two terpene synthases in resistant Pinus massoniana contribute to defense against Bursaphelenchus xylophilus. Plant Cell Environ. 2020, 44, 257–274. [Google Scholar] [CrossRef]
- Nairn, C.J.; Lennon, D.M.; Wood-Jones, A.; Nairn, A.V.; Dean, J.F.D. Carbohydrate-related genes and cell wall biosynthesis in vascular tissues of loblolly pine (Pinus taeda). Tree Physiol. 2008, 28, 1099–1110. [Google Scholar] [CrossRef]
- Liu, Q.; Wei, Y.; Xu, L.; Hao, Y.; Chen, X.; Zhou, Z. Transcriptomic profiling reveals differentially expressed genes associated with pine wood nematode resistance in masson pine (Pinus massoniana Lamb.). Sci. Rep. 2017, 7, 4693. [Google Scholar] [CrossRef] [PubMed]
- Zhang, X.; Wang, S.; Zhou, Q.; Li, J.; Hou, Q.; Ren, L.; Luo, Y. Phenotypic changes in Pinus thunbergii, Larix kaempferi, Picea koraiensis, and Abies holophylla seedlings inoculated with pine wilt nematode: Revealing the resistance. Forests 2025, 16, 137. [Google Scholar] [CrossRef]
- Livak, K.J.; Schmittgen, T.D. Analysis of relative gene expression data using real-time quantitative PCR and the 2−ΔΔCT method. Methods 2001, 25, 402–408. [Google Scholar] [CrossRef] [PubMed]
- Nose, M.; Shiraishi, S. Comparison of the gene expression profiles of resistant and non-resistant Japanese black pine inoculated with pine wood nematode using a modified LongSAGE technique. For. Pathol. 2011, 41, 143–155. [Google Scholar] [CrossRef]
- Hirao, T.; Fukatsu, E.; Watanabe, A. Characterization of resistance to pine wood nematode infection in Pinus thunbergii using suppression subtractive hybridization. BMC Plant Biol. 2012, 12, 13. [Google Scholar] [CrossRef]
- Santos, C.S.; Pinheiro, M.; Silva, A.I.; Egas, C.; Vasconcelos, M.W. Searching for resistance genes to Bursaphelenchus xylophilus using high throughput screening. BMC Genomics 2012, 13, 599. [Google Scholar] [CrossRef]
- Gaspar, D.; Trindade, C.; Usié, A.; Meireles, B.; Fortes, A.M.; Guimarães, J.B.; Simões, F.; Costa, R.L.; Ramos, A.M. Comparative transcriptomic response of two Pinus species to infection with the pine wood nematode Bursaphelenchus xylophilus. Forests 2020, 11, 204. [Google Scholar] [CrossRef]
- Trindade, H.; Sena, I.; Figueiredo, A.C. Characterization of α-pinene synthase gene in Pinus pinaster and P. pinea in vitro cultures and differential gene expression following Bursaphelenchus xylophilus inoculation. Acta Physiol. Plant. 2016, 38, 143. [Google Scholar] [CrossRef]
- Tang, J.J.; Ye, R.Z.; Wang, H.P. Differences in pathogenicity of Bursaphelenchus xylophilus from different geographic populations to Masson pine. Plant Quar. 2000, 6, 324–325. [Google Scholar]
- Lin, H.; Ye, J.R.; Wu, X.Q. Nematode families establishment and pathogenicity evaluation of Bursaphelenchus xylophilus and B. mucronatus strains. J. For. Eng. 2011, 25, 40–42. [Google Scholar]
- Kong, Q.Q.; Ding, X.L.; Chen, Y.F.; Ye, J.R. Comparison of morphological indexes and the pathogenicity of Bursaphelenchus xylophilus in northern and southern China. Forests 2021, 12, 310. [Google Scholar] [CrossRef]







| Condition | Gene_ID | Fold Change | p Value | Annotation |
|---|---|---|---|---|
| Lk_1_CK_vs_Lp_1_CK-up | TRINITY_DN59689_c0_g1 | 4317.9636 | 6.7378 × 10−17 | Chlorophyll a-b binding protein type 2 member 1A, chloroplastic |
| TRINITY_DN46743_c0_g1 | 1912.1878 | 5.5211 × 10−14 | Peroxidase 9 | |
| TRINITY_DN1469_c1_g1 | 1790.3367 | 9.1185 × 10−14 | Probable pectate lyase 18 | |
| TRINITY_DN18423_c0_g1 | 1450.2955 | 4.7267 × 10−13 | Acyl-CoA dehydrogenase family member 11 | |
| TRINITY_DN10065_c0_g1 | 1215.6661 | 1.8633 × 10−12 | Probable disease resistance protein | |
| TRINITY_DN23228_c1_g1 | 1190.6486 | 1.6226 × 10−12 | Cationic peroxidase 1 | |
| TRINITY_DN31973_c0_g1 | 1019.4421 | 6.5775 × 10−12 | scyllo-inositol 2-dehydrogenase | |
| TRINITY_DN22211_c0_g1 | 850.2668 | 2.0677 × 10−21 | Peroxidase 12 | |
| TRINITY_DN63387_c0_g1 | 848.4422 | 2.4991 × 10−11 | Short-chain dehydrogenase/reductase | |
| TRINITY_DN65379_c0_g1 | 828.2270 | 3.1200 × 10−11 | Alpha-galactosidase | |
| Lk_1_CK_vs_Lp_1_CK-down | TRINITY_DN22418_c1_g1 | 5.2900 × 10−5 | 4.5600 × 10−23 | Linoleate 9S-lipoxygenase A |
| TRINITY_DN65909_c0_g1 | 6.2700 × 10−5 | 4.3100 × 10−22 | Gamma-humulene synthase | |
| TRINITY_DN7298_c0_g1 | 7.3000 × 10−5 | 2.7700 × 10−41 | Gamma-humulene synthase | |
| TRINITY_DN7404_c0_g1 | 7.8400 × 10−5 | 2.2300 × 10−21 | Peroxidase 12 | |
| TRINITY_DN4207_c1_g1 | 8.9300 × 10−5 | 7.7600 × 10−21 | Allene oxide synthase 1, chloroplastic | |
| TRINITY_DN28634_c1_g1 | 1.5679 × 10−4 | 1.4400 × 10−18 | Endochitinase 4 | |
| TRINITY_DN77597_c0_g1 | 2.5454 × 10−4 | 1.7500 × 10−16 | Peroxidase 71 | |
| TRINITY_DN131600_c0_g1 | 2.6002 × 10−4 | 2.3000 × 10−31 | Alpha-galactosidase 2 | |
| TRINITY_DN14385_c0_g2 | 2.6003 × 10−4 | 2.0700 × 10−16 | Alpha-galactosidase | |
| TRINITY_DN22418_c0_g1 | 2.6423 × 10−4 | 3.1500 × 10−31 | Linoleate 9S-lipoxygenase A | |
| Lk_3_CK_vs_Lp_3_CK-up | TRINITY_DN627463_c0_g1 | 16,053.2659 | 4.1150 × 10−22 | EF-hand domain protein |
| TRINITY_DN39045_c0_g1 | 7285.0465 | 7.6141 × 10−19 | Cysteine proteinase 5 (Papain family) | |
| TRINITY_DN46030_c0_g1 | 5615.6271 | 7.9939 × 10−18 | Cysteine proteinase 5 (Papain family) | |
| TRINITY_DN38054_c0_g1 | 2930.0561 | 2.3212 × 10−15 | Cysteine proteinase 5 (Papain family) | |
| TRINITY_DN35220_c0_g1 | 2202.4496 | 2.4886 × 10−14 | Cysteine proteinase 1 (Papain family) | |
| TRINITY_DN56367_c0_g1 | 2167.7594 | 2.8629 × 10−14 | Linoleate 9S-lipoxygenase A | |
| TRINITY_DN37469_c0_g2 | 2093.9734 | 5.0283 × 10−27 | Glutamate-1-semialdehyde 2,1-aminomutase 2 | |
| TRINITY_DN18478_c0_g1 | 1919.7454 | 5.1230 × 10−14 | Actin-2 | |
| TRINITY_DN581341_c0_g1 | 1819.9647 | 1.1957 × 10−13 | 40S ribosomal protein S9 | |
| TRINITY_DN2302_c0_g1 | 1741.7121 | 1.6978 × 10−13 | 40S ribosomal protein S23 | |
| Lk_3_CK_vs_Lp_3_CK-down | TRINITY_DN45952_c0_g1 | 1.0706 × 10−4 | 7.5200 × 10−20 | Peroxidase 53 |
| TRINITY_DN24810_c1_g1 | 3.1052 × 10−4 | 1.0300 × 10−15 | Peroxidase 12 | |
| TRINITY_DN299123_c0_g1 | 5.8204 × 10−4 | 2.2300 × 10−13 | Aldehyde dehydrogenase | |
| TRINITY_DN14039_c0_g2 | 6.5621 × 10−4 | 4.9800 × 10−13 | Probable polygalacturonase | |
| TRINITY_DN6354_c0_g1 | 9.2359 × 10−4 | 7.7300 × 10−12 | LRR receptor-like serine/threonine-protein kinase EFR | |
| TRINITY_DN18232_c0_g1 | 1.0120 × 10−3 | 7.6000 × 10−12 | Peroxidase 54 | |
| TRINITY_DN327_c1_g2 | 1.0307 × 10−3 | 1.7200 × 10−11 | Endochitinase 4 | |
| TRINITY_DN14179_c0_g2 | 1.2286 × 10−3 | 6.6600 × 10−11 | Endoplasmin homolog (Hsp90 protein) | |
| TRINITY_DN8313_c0_g1 | 1.2894 × 10−3 | 9.9400 × 10−11 | Cationic peroxidase 2 | |
| TRINITY_DN441469_c0_g1 | 1.4310 × 10−3 | 2.1600 × 10−10 | Aldehyde dehydrogenase, cytosolic 1 | |
| Lo_1_CK_vs_Lp_1_CK-up | TRINITY_DN59689_c0_g1 | 7411.4776 | 5.6741 × 10−19 | Probable inositol oxygenase |
| TRINITY_DN1469_c1_g1 | 4469.3550 | 5.0020 × 10−17 | ZEB2-regulated ABC transporter 1 | |
| TRINITY_DN13645_c0_g1 | 2597.6156 | 3.8326 × 10−15 | scyllo-inositol 2-dehydrogenase | |
| TRINITY_DN46743_c0_g1 | 2568.6592 | 5.1791 × 10−15 | Minor allergen Alt a 7 (NADPH-dependent FMN reductase) | |
| TRINITY_DN654_c0_g1 | 2147.2949 | 2.1863 × 10−14 | Transaldolase | |
| TRINITY_DN8392_c0_g1 | 1818.0632 | 4.8076 × 10−75 | ATP synthase subunit 9, mitochondrial | |
| TRINITY_DN17700_c0_g2 | 1650.9830 | 1.7361 × 10−13 | Superoxide dismutase [Mn], mitochondrial | |
| TRINITY_DN10065_c0_g1 | 1564.1105 | 2.6572 × 10−13 | 60S ribosomal protein L27-A | |
| TRINITY_DN47327_c0_g1 | 1447.0010 | 4.8940 × 10−13 | 40S ribosomal protein S15 | |
| TRINITY_DN4069_c0_g1 | 1346.6634 | 8.3386 × 10−13 | D-galacturonate reductase (Aldo/keto reductase family) | |
| Lo_1_CK_vs_Lp_1_CK-down | TRINITY_DN2897_c0_g1 | 5.0200 × 10−6 | 1.2000 × 10−34 | Peroxidase 53 |
| TRINITY_DN14936_c0_g1 | 1.6900 × 10−5 | 1.2900 × 10−80 | Peroxidase 12 | |
| TRINITY_DN2862_c0_g1 | 1.8300 × 10−5 | 1.6700 × 10−233 | Aldehyde dehydrogenase | |
| TRINITY_DN28183_c0_g3 | 2.1200 × 10−5 | 5.4800 × 10−27 | Probable polygalacturonase | |
| TRINITY_DN22418_c1_g1 | 2.1300 × 10−5 | 5.9700 × 10−27 | LRR receptor-like serine/threonine-protein kinase EFR | |
| TRINITY_DN1551_c2_g3 | 2.6300 × 10−5 | 2.6300 × 10−26 | Peroxidase 54 | |
| TRINITY_DN4207_c1_g1 | 3.6000 × 10−5 | 1.5600 × 10−24 | Endochitinase 4 | |
| TRINITY_DN19440_c0_g1 | 5.4200 × 10−5 | 0.0000E+00 | Endoplasmin homolog (Hsp90 protein) | |
| TRINITY_DN64207_c0_g2 | 5.4600 × 10−5 | 1.0700 × 10−22 | Cationic peroxidase 2 | |
| TRINITY_DN67808_c0_g1 | 5.5900 × 10−5 | 0.0000E+00 | Aldehyde dehydrogenase, cytosolic 1 | |
| Lo_3_CK_vs_Lp_3_CK-up | TRINITY_DN1103_c0_g6 | 49,335.5044 | 8.9897 × 10−27 | Probable inositol oxygenase |
| TRINITY_DN208274_c0_g1 | 23,351.4667 | 1.6879 × 10−23 | ZEB2-regulated ABC transporter 1 | |
| TRINITY_DN627026_c0_g1 | 22,326.6096 | 1.5450 × 10−23 | scyllo-inositol 2-dehydrogenase | |
| TRINITY_DN157298_c0_g1 | 21,949.3215 | 3.3245 × 10−23 | Minor allergen Alt a 7 (NADPH-dependent FMN reductase) | |
| TRINITY_DN5335_c0_g1 | 15,121.7896 | 6.6892 × 10−22 | Transaldolase | |
| TRINITY_DN1611_c1_g1 | 15,039.3331 | 8.0607 × 10−22 | ATP synthase subunit 9, mitochondrial | |
| TRINITY_DN1895_c0_g1 | 13,389.6593 | 2.5901 × 10−21 | Superoxide dismutase [Mn], mitochondrial | |
| TRINITY_DN5805_c0_g4 | 12,984.8223 | 3.5020 × 10−21 | 60S ribosomal protein L27-A | |
| TRINITY_DN3350_c1_g3 | 12,965.7619 | 9.4406 × 10−21 | 40S ribosomal protein S15 | |
| TRINITY_DN124612_c1_g1 | 12,699.2729 | 4.1644 × 10−21 | D-galacturonate reductase (Aldo/keto reductase family) | |
| Lo_3_CK_vs_Lp_3_CK-down | TRINITY_DN56437_c0_g2 | 1.2450 × 10−4 | 3.0800 × 10−19 | Endochitinase |
| TRINITY_DN120639_c0_g1 | 2.9744 × 10−4 | 7.9000 × 10−16 | Probable endopolygalacturonase | |
| TRINITY_DN119148_c0_g2 | 5.0019 × 10−4 | 5.7200 × 10−14 | Pectate lyase B | |
| TRINITY_DN299123_c0_g1 | 5.9573 × 10−4 | 2.7100 × 10−13 | Aldehyde dehydrogenase | |
| TRINITY_DN52770_c0_g1 | 6.3216 × 10−4 | 3.9100 × 10−13 | Putative formamidase | |
| TRINITY_DN90955_c0_g2 | 7.1840 × 10−4 | 1.1300 × 10−12 | 3-ketoacyl-CoA thiolase, peroxisomal | |
| TRINITY_DN184167_c0_g1 | 9.3866 × 10−4 | 8.9600 × 10−12 | Pyruvate kinase | |
| TRINITY_DN60720_c0_g1 | 1.0924 × 10−3 | 2.8400 × 10−11 | Dihydroxyacetone kinase 1 | |
| TRINITY_DN17440_c0_g1 | 1.2291 × 10−3 | 6.7800 × 10−11 | Phosphoserine aminotransferase | |
| TRINITY_DN52529_c0_g1 | 1.2541 × 10−3 | 7.7200 × 10−11 | V-type proton ATPase subunit a |
| Condition | Gene_ID | Fold Change | p Value | Annotation |
|---|---|---|---|---|
| Lk_1_FS_vs_Lk_1_CD-up | TRINITY_DN171979_c0_g2 | 3772.4382 | 2.32 × 10−16 | Glutamate decarboxylase 4 |
| TRINITY_DN44526_c0_g3 | 3307.1237 | 7.06 × 10−16 | Leucoanthocyanidin reductase | |
| TRINITY_DN74841_c0_g1 | 2650.2140 | 4.45 × 10−15 | Glucokinase | |
| TRINITY_DN17460_c1_g2 | 2004.5870 | 4.55 × 10−14 | Alcohol dehydrogenase 3 | |
| TRINITY_DN20603_c0_g1 | 1985.1769 | 4.74 × 10−14 | Acyl-protein thioesterase 1 | |
| TRINITY_DN70361_c0_g1 | 1737.6794 | 1.43 × 10−13 | E3 ubiquitin ligase complex SCF subunit sconC | |
| TRINITY_DN37308_c0_g1 | 1648.7046 | 2.04 × 10−13 | Glycerol kinase | |
| TRINITY_DN88561_c0_g1 | 1598.5001 | 2.61 × 10−13 | NAD-capped RNA hydrolase | |
| TRINITY_DN23265_c0_g1 | 1542.4804 | 3.47 × 10−13 | Alcohol dehydrogenase | |
| TRINITY_DN144720_c0_g1 | 1511.6374 | 4.05 × 10−13 | Protein kinase C-like | |
| Lk_1_FS_vs_Lk_1_CD-down | TRINITY_DN1103_c0_g2 | 7.4063 × 10−4 | 8.69 × 10−13 | Inositol oxygenase |
| TRINITY_DN183359_c0_g1 | 7.7963 × 10−4 | 1.28 × 10−12 | Catalase | |
| TRINITY_DN28164_c0_g2 | 9.1470 × 10−4 | 4.45 × 10−12 | Acyl-CoA desaturase | |
| TRINITY_DN416078_c1_g1 | 1.0323 × 10−3 | 1.07 × 10−11 | Inositol oxygenase 1 | |
| TRINITY_DN60720_c0_g1 | 1.1940 × 10−3 | 3.09 × 10−11 | Dihydroxyacetone kinase 1 | |
| TRINITY_DN39830_c0_g1 | 1.1968 × 10−3 | 3.14 × 10−11 | ABC multidrug transporter A-2 | |
| TRINITY_DN18232_c0_g1 | 1.3752 × 10−3 | 0 | Peroxidase 54 | |
| TRINITY_DN310733_c0_g1 | 1.5197 × 10−3 | 1.76 × 10−10 | Acetyl-coenzyme A synthetase | |
| TRINITY_DN542123_c0_g1 | 1.6622 × 10−3 | 3.41 × 10−10 | ABC multidrug transporter atrC | |
| TRINITY_DN50123_c1_g1 | 1.7443 × 10−3 | 4.63 × 10−10 | Formate dehydrogenase | |
| Lk_3_FS_vs_Lk_3_CD-up | TRINITY_DN176931_c1_g3 | 23,129.7480 | 1.00 × 10−23 | Polygalacturonase 2 |
| TRINITY_DN8243_c5_g2 | 20,855.9821 | 2.86 × 10−23 | Endoplasmic reticulum chaperone BiP (Hsp70 protein) | |
| TRINITY_DN37469_c0_g2 | 13,656.6249 | 1.90 × 10−21 | Glutamate-1-semialdehyde 2,1-aminomutase 2 | |
| TRINITY_DN71992_c0_g4 | 11,244.7902 | 1.21 × 10−20 | Calnexin homolog (Calreticulin family) | |
| TRINITY_DN38745_c0_g4 | 9893.6253 | 4.09 × 10−20 | Fructose-1,6-bisphosphatase | |
| TRINITY_DN107329_c0_g3 | 8995.3838 | 9.88 × 10−20 | Mannose-6-phosphate isomerase | |
| TRINITY_DN136751_c0_g2 | 6650.5211 | 1.59 × 10−18 | Glycerol-3-phosphate dehydrogenase, mitochondrial | |
| TRINITY_DN126449_c2_g3 | 6228.7397 | 2.85 × 10−18 | Mannose-1-phosphate guanyltransferase | |
| TRINITY_DN602535_c0_g1 | 6009.9615 | 3.89 × 10−18 | Peroxiredoxin Pen c 3 | |
| TRINITY_DN4834_c0_g2 | 5629.1055 | 7.03 × 10−18 | Glutamine synthetase | |
| Lk_3_FS_vs_Lk_3_CD-down | TRINITY_DN2169_c0_g1 | 5.0953 × 10−4 | 4.70 × 10−14 | 50S ribosomal protein L4, chloroplastic |
| TRINITY_DN3271_c0_g2 | 1.4858 × 10−3 | 1.44 × 10−10 | 40S ribosomal protein S15-4 | |
| TRINITY_DN22121_c0_g1 | 2.1953 × 10−3 | 2.11 × 10−9 | Tubulin beta-3 chain | |
| TRINITY_DN22418_c1_g2 | 2.7926 × 10−3 | 1.05 × 10−8 | Linoleate 9S-lipoxygenase 1 | |
| TRINITY_DN41264_c0_g1 | 4.0117 × 10−3 | 1.14 × 10−7 | ABC transporter G family member 43 | |
| TRINITY_DN158298_c0_g2 | 5.1908 × 10−3 | 5.58 × 10−7 | Tubulin alpha-1A chain | |
| TRINITY_DN38826_c0_g2 | 5.9668 × 10−3 | 5.25 × 10−7 | Probable proton ATPase 1A | |
| TRINITY_DN592749_c0_g1 | 6.0431 × 10−3 | 1.48 × 10−6 | 60S ribosomal protein L5 | |
| TRINITY_DN614359_c0_g1 | 6.1286 × 10−3 | 1.57 × 10−6 | 40S ribosomal protein S8 | |
| TRINITY_DN415754_c0_g2 | 6.6856 × 10−3 | 2.65 × 10−6 | Glucan 1,3-beta-glucosidase |
| Condition | Gene_ID | Fold Change | p Value | Annotation |
|---|---|---|---|---|
| Lo_1_FS_vs_Lo_1_CD-up | TRINITY_DN45952_c0_g1 | 3931.9323 | 1.68 × 10−16 | Peroxidase 53 |
| TRINITY_DN6354_c1_g1 | 3174.8644 | 1.08 × 10−15 | LRR receptor-like serine/threonine-protein kinase EFR | |
| TRINITY_DN54952_c0_g2 | 1239.6288 | 2.02 × 10−12 | Peroxidase N1 | |
| TRINITY_DN271225_c0_g3 | 1173.9129 | 5.94 × 10−13 | Plasma membrane ATPase | |
| TRINITY_DN57323_c1_g1 | 893.4445 | 2.62 × 10−11 | Endochitinase 4 | |
| TRINITY_DN58000_c1_g1 | 805.1374 | 5.32 × 10−11 | Probable beta-D-xylosidase 5 | |
| TRINITY_DN69809_c0_g3 | 729.2150 | 1.08 × 10−10 | Beta-glucosidase 40 | |
| TRINITY_DN16447_c0_g1 | 710.9480 | 1.33 × 10−10 | ABC transporter B family member 15 | |
| TRINITY_DN17591_c0_g1 | 543.2023 | 3.28 × 10−19 | Pectinesterase 2 | |
| TRINITY_DN139749_c0_g1 | 528.6582 | 1.11 × 10−09 | Phenylalanine ammonia-lyase | |
| Lo_1_FS_vs_Lo_1_CD-down | TRINITY_DN3987_c0_g2 | 4.2674 × 10−4 | 1.21 × 10−14 | Glyceraldehyde-3-phosphate dehydrogenase |
| TRINITY_DN21997_c0_g1 | 4.3914 × 10−4 | 1.11 × 10−27 | Transaldolase | |
| TRINITY_DN422147_c0_g1 | 5.0076 × 10−4 | 4.42 × 10−14 | Putative alpha,alpha-trehalose-phosphate synthase [UDP-forming] 106 kDa subunit | |
| TRINITY_DN17490_c0_g1 | 7.2266 × 10−4 | 8.00 × 10−13 | Transaldolase | |
| TRINITY_DN166447_c0_g1 | 7.4100 × 10−4 | 9.92 × 10−13 | GTP-binding protein rhoA | |
| TRINITY_DN203293_c0_g2 | 7.7461 × 10−4 | 1.40 × 10−12 | Phosphoglycerate kinase | |
| TRINITY_DN192510_c0_g1 | 8.1667 × 10−4 | 2.16 × 10−12 | TATA-box-binding protein | |
| TRINITY_DN626323_c0_g1 | 8.2876 × 10−4 | 2.46 × 10−12 | Acetamidase | |
| TRINITY_DN654_c0_g1 | 8.5492 × 10−4 | 1.98 × 10−12 | Catechol O-methyltransferase A | |
| TRINITY_DN15042_c0_g3 | 8.7367 × 10−4 | 3.50 × 10−12 | Peroxiredoxin PRX1, mitochondrial | |
| Lo_3_FS_vs_Lo_3_CD-up | TRINITY_DN51419_c0_g1 | 87,213.2385 | 5.94 × 10−30 | Transcription initiation factor IIB |
| TRINITY_DN39830_c0_g1 | 24,094.4225 | 7.09 × 10−24 | ABC multidrug transporter A-2 | |
| TRINITY_DN30720_c0_g1 | 22,467.3827 | 1.45 × 10−23 | Neutral ceramidase | |
| TRINITY_DN115580_c0_g1 | 20,430.1456 | 3.82 × 10−23 | DNA-directed RNA polymerase II subunit RPB2 | |
| TRINITY_DN18174_c0_g1 | 19,485.8130 | 6.16 × 10−23 | Glycerol kinase 1 | |
| TRINITY_DN24492_c0_g3 | 18,797.9247 | 8.84 × 10−23 | 1,3-beta-glucan synthase component FKS1 | |
| TRINITY_DN5527_c0_g1 | 18,786.7083 | 8.94 × 10−23 | Galactokinase | |
| TRINITY_DN26888_c0_g1 | 18,650.1109 | 9.59 × 10−23 | Sphingolipid C4-hydroxylase SUR2 | |
| TRINITY_DN27943_c0_g1 | 17,098.4406 | 2.28 × 10−22 | Endochitinase B1 | |
| TRINITY_DN52545_c0_g1 | 16,417.8681 | 1.73 × 10−23 | Glutathione S-transferase 3 | |
| Lo_3_FS_vs_Lo_3_CD-down | TRINITY_DN13247_c0_g1 | 1.1921 × 10−4 | 2.04 × 10−19 | Seed linoleate 9S-lipoxygenase-3 |
| TRINITY_DN56367_c0_g1 | 1.2045 × 10−4 | 2.22 × 10−19 | Linoleate 9S-lipoxygenase A | |
| TRINITY_DN26763_c0_g1 | 2.0111 × 10−4 | 2.29 × 10−17 | Xanthohumol 4-O-methyltransferase | |
| TRINITY_DN54195_c0_g1 | 3.2259 × 10−4 | 1.35 × 10−15 | ABC transporter G family member 38 | |
| TRINITY_DN5206_c0_g1 | 7.9581 × 10−4 | 2.24 × 10−78 | Catechol O-methyltransferase | |
| TRINITY_DN7397_c1_g2 | 1.2301 × 10−3 | 5.69 × 10−11 | Cationic peroxidase 1 | |
| TRINITY_DN28405_c0_g1 | 1.5817 × 10−3 | 3.81 × 10−10 | Alpha terpineol synthase, chloroplastic | |
| TRINITY_DN14953_c0_g1 | 1.8681 × 10−3 | 1.24 × 10−9 | Probable linoleate 9S-lipoxygenase 5 | |
| TRINITY_DN141604_c0_g1 | 2.0182 × 10−3 | 2.28 × 10−9 | Isopimaradiene synthase, chloroplastic | |
| TRINITY_DN48904_c0_g2 | 2.7762 × 10−3 | 2.09 × 10−8 | 1,8-cineole synthase, chloroplastic |
| Condition | Gene_ID | Fold Change | p Value | Annotation |
|---|---|---|---|---|
| Lp_1_FS_vs_Lp_1_CD-up | TRINITY_DN34172_c1_g1 | 69,220.1061 | 5.77 × 10−28 | Catalase-peroxidase |
| TRINITY_DN89056_c0_g2 | 51,690.9874 | 9.20 × 10−27 | Formate dehydrogenase | |
| TRINITY_DN21340_c0_g1 | 50,310.2540 | 3.09 × 10−26 | Pre-mRNA-processing factor 17 | |
| TRINITY_DN20374_c0_g1 | 40,867.0330 | 3.36 × 10−26 | Superoxide dismutase [Cu-Zn] | |
| TRINITY_DN15321_c0_g4 | 37,254.4449 | 3.95 × 10−25 | Aldehyde dehydrogenase | |
| TRINITY_DN17287_c1_g4 | 33,143.1758 | 3.13 × 10−25 | Formate dehydrogenase | |
| TRINITY_DN100686_c0_g1 | 25,546.2923 | 4.60 × 10−24 | NADP-dependent mannitol dehydrogenase | |
| TRINITY_DN1103_c0_g2 | 25,123.1251 | 5.60 × 10−24 | Inositol oxygenase | |
| TRINITY_DN1393_c0_g1 | 24,118.0359 | 6.01 × 10−23 | Fructose-bisphosphate aldolase | |
| TRINITY_DN7538_c0_g1 | 23,316.4830 | 6.51 × 10−23 | Cysteine desulfurase, mitochondrial | |
| Lp_1_FS_vs_Lp_1_CD-down | TRINITY_DN84160_c0_g1 | 1.7333 × 10−3 | 8.53 × 10−10 | Peroxidase 39 |
| TRINITY_DN28405_c0_g1 | 2.3830 × 10−3 | 8.37 × 10−9 | Alpha terpineol synthase, chloroplastic | |
| TRINITY_DN15049_c1_g5 | 2.3992 × 10−3 | 8.82 × 10−9 | Bifunctional levopimaradiene synthase, chloroplastic | |
| TRINITY_DN10449_c0_g1 | 2.4013 × 10−3 | 8.84 × 10−9 | Ubiquitin-conjugating enzyme E2 4 | |
| TRINITY_DN327_c1_g2 | 3.1856 × 10−3 | 6.84 × 10−8 | Endochitinase 4 | |
| TRINITY_DN64013_c0_g1 | 3.4204 × 10−3 | 1.07 × 10−7 | Serine hydroxymethyltransferase 4 | |
| TRINITY_DN56437_c0_g2 | 3.5510 × 10−3 | 8.21 × 10−15 | Endochitinase | |
| TRINITY_DN46913_c0_g1 | 3.6034 × 10−3 | 1.54 × 10−7 | Heterodimeric geranylgeranyl pyrophosphate synthase large subunit 1, chloroplastic | |
| TRINITY_DN30635_c0_g2 | 3.9841 × 10−3 | 3.07 × 10−7 | Peroxidase 15 | |
| TRINITY_DN48904_c0_g2 | 4.4406 × 10−3 | 6.41 × 10−7 | 1,8-cineole synthase, chloroplastic | |
| Lp_3_FS_vs_Lp_3_CD-up | TRINITY_DN33513_c1_g2 | 2031.5967 | 5.13 × 10−14 | Delta-selinene synthase |
| TRINITY_DN3134_c0_g1 | 1749.5225 | 1.68 × 10−13 | Formate dehydrogenase | |
| TRINITY_DN602535_c0_g1 | 1069.6892 | 7.85 × 10−12 | Peroxiredoxin Pen c 3 | |
| TRINITY_DN43428_c0_g4 | 696.1150 | 2.19 × 10−10 | 40S ribosomal protein S25 | |
| TRINITY_DN147602_c0_g1 | 682.5925 | 2.43 × 10−10 | 60S acidic ribosomal protein P1 | |
| TRINITY_DN529058_c0_g1 | 640.3541 | 3.84 × 10−10 | Catalase-1 | |
| TRINITY_DN136751_c0_g2 | 630.2436 | 4.39 × 10−10 | Glycerol-3-phosphate dehydrogenase, mitochondrial | |
| TRINITY_DN24454_c0_g1 | 616.6430 | 5.11 × 10−10 | Alcohol dehydrogenase 1 | |
| TRINITY_DN47358_c0_g1 | 505.3508 | 2.87 × 10−10 | Cytochrome P450 86B1 | |
| TRINITY_DN10059_c1_g2 | 474.4770 | 3.63 × 10−9 | Probable transketolase | |
| Lp_3_FS_vs_Lp_3_CD-down | TRINITY_DN230134_c0_g1 | 2.9909 × 10−4 | 8.39 × 10−17 | Endoglucanase 1 |
| TRINITY_DN17771_c0_g3 | 1.0045 × 10−3 | 1.54 × 10−11 | Elongation factor 1-alpha | |
| TRINITY_DN93284_c1_g1 | 1.2652 × 10−3 | 8.93 × 10−11 | Peroxidase 4 | |
| TRINITY_DN37005_c0_g2 | 1.3787 × 10−3 | 1.95 × 10−10 | Peroxidase 4 | |
| TRINITY_DN11969_c1_g4 | 1.4374 × 10−3 | 4.36 × 10−29 | Endoglucanase 1 | |
| TRINITY_DN108030_c0_g1 | 1.4787 × 10−3 | 3.00 × 10−10 | Actin-1 | |
| TRINITY_DN45952_c0_g1 | 1.5201 × 10−3 | 4.58 × 10−11 | Peroxidase 53 | |
| TRINITY_DN18748_c1_g2 | 1.5792 × 10−3 | 7.98 × 10−46 | Endoglucanase 2 | |
| TRINITY_DN258512_c0_g2 | 1.6105 × 10−3 | 6.86 × 10−11 | Cytochrome c oxidase subunit 1 | |
| TRINITY_DN18232_c0_g1 | 1.6971 × 10−3 | 1.38 × 10−27 | Peroxidase 54 |
Disclaimer/Publisher’s Note: The statements, opinions and data contained in all publications are solely those of the individual author(s) and contributor(s) and not of MDPI and/or the editor(s). MDPI and/or the editor(s) disclaim responsibility for any injury to people or property resulting from any ideas, methods, instructions or products referred to in the content. |
© 2026 by the authors. Licensee MDPI, Basel, Switzerland. This article is an open access article distributed under the terms and conditions of the Creative Commons Attribution (CC BY) license.
Share and Cite
Wang, Y.; Zhang, T.; Meng, F.; Zong, S. Transcriptomics of Three Larix Species in Response to Geographically Distinct Bursaphelenchus xylophilus Strains in China. Plants 2026, 15, 678. https://doi.org/10.3390/plants15050678
Wang Y, Zhang T, Meng F, Zong S. Transcriptomics of Three Larix Species in Response to Geographically Distinct Bursaphelenchus xylophilus Strains in China. Plants. 2026; 15(5):678. https://doi.org/10.3390/plants15050678
Chicago/Turabian StyleWang, Yuzhu, Tong Zhang, Fanli Meng, and Shixiang Zong. 2026. "Transcriptomics of Three Larix Species in Response to Geographically Distinct Bursaphelenchus xylophilus Strains in China" Plants 15, no. 5: 678. https://doi.org/10.3390/plants15050678
APA StyleWang, Y., Zhang, T., Meng, F., & Zong, S. (2026). Transcriptomics of Three Larix Species in Response to Geographically Distinct Bursaphelenchus xylophilus Strains in China. Plants, 15(5), 678. https://doi.org/10.3390/plants15050678
