Are We Chasing a Wild Goose? Rethinking Breeding Targets for Salinity Stress Tolerance in Rice
Abstract
1. Introduction
2. Results
2.1. Selection of Regression Models
- X1, the chlorophyll content (SPAD) in arbitrary units;
- X2, the stomatal conductance (Gs) in mmol·m−2/s;
- X3, the shoot sap Na concentration (shoot Na+) in mM;
- X4, the shoot sap K concentration (shoot K+) in mM.
- The root mean square error estimated with holdout residuals (RMSEHO) is 0.288;
- The mean absolute error estimated with holdout residuals (MAEHO) is 0.236;
- The adjusted coefficient of determination () is 0.671;
- The coefficient of determination estimated with holdout residuals () is 0.649.
2.2. Model Predictions for Fixed K+ and Variable SPAD and Gs
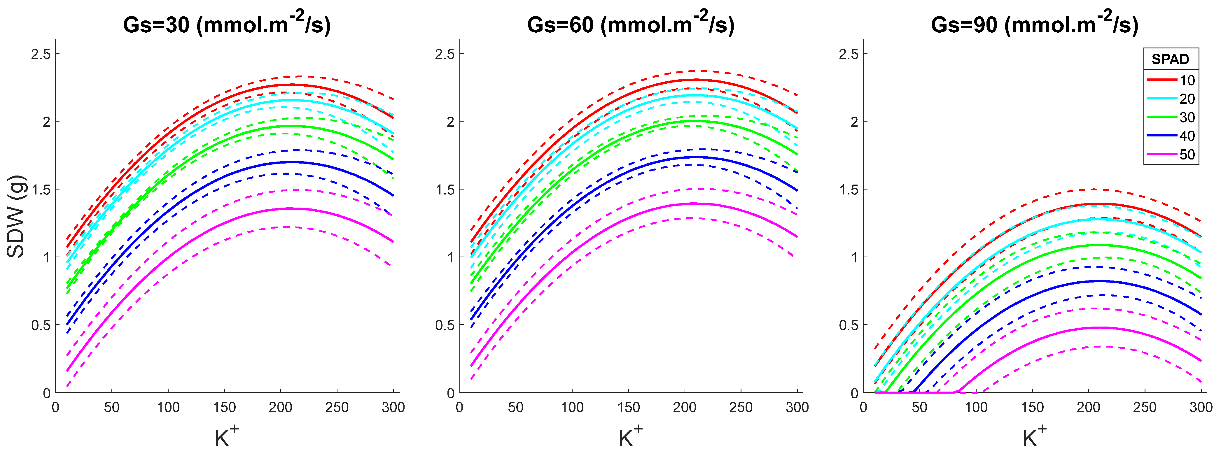
2.3. Model Predictions for Fixed SPAD and Variable Gs and K+ Levels
2.4. Model Predictions for Fixed K+ and Variable SPAD and Gs Levels
2.5. Overall Summary and the Best Set of Parameters
3. Discussion
3.1. Targeting Na+ Exclusion from Uptake May Be Counterproductive
3.2. Why May K+ Retention Be More Important than Na+ Exclusion?
3.3. What Genes Should Be Targeted to Optimize Gs and K+ Content?
4. Materials and Methods
4.1. Plant Species and Growth Conditions
4.2. Physiological Measurements
4.2.1. Chlorophyll Contents and Stomatal Conductance
4.2.2. Fresh and Dry Plant Biomass
4.2.3. Tissue Na+ and K+ Content
4.3. Modeling Procedures
4.4. Prediction with the Selected Model
- (1)
- Various SPAD values with fixed K+ and Gs levels (Figure 1): SPAD range from 10 to 50, interval gap of 1; K+ levels as 50, 100, and 200 mM; Gs levels as 10, 30, 50, 70, and 90 mmol·m−2/s.
- (2)
- Various K+ values with fixed SPAD and Gs levels (Figure 2): K+ range from 10 to 300 mM, interval gap of 5; SPAD levels as 20, 30, and 40; Gs levels as 10, 30, 50, 70, and 90 mmol·m−2/s.
- (3)
- Various Gs values with fixed SPAD and K+ levels (Figure 3): Gs range from 10 to 90 mmol·m−2/s, interval gap of 2; SPAD levels as 20, 30, and 40; K+ levels as 20, 50, 100, 200, and 300 mM.
- (4)
- Various Gs values with fixed K+ and SPAD levels (Figure 4): Gs range from 10 to 90 mmol·m−2/s, interval gap of 2; K+ levels as 50, 100, and 200 mM; SPAD levels as 10, 20, 30, 40, and 50.
- (5)
- Various K+ values with fixed Gs and SPAD levels (Figure 5): K+ range from 10 to 300 mM, interval gap of 5; Gs levels as 30, 60, and 90 mmol·m−2/s; SPAD levels as 10, 20, 30, 40, and 50.
4.5. Software
5. Conclusions
Supplementary Materials
Author Contributions
Funding
Data Availability Statement
Conflicts of Interest
Abbreviations
| Gs | Stomatal conductance |
| SDW | Shoot dry weight |
| PCD | Programmed cell death |
| pmf | Proton motive force |
| PM | Plasma membrane |
References
- Sun, H.J.; Khan, W.U.D.; Tanveer, M.; Ijaz, U.; Lu, Z.Y.; Shabala, S. Can quinoa (Chenopodium quinoa) replace traditional cereals under current climate scenarios? Front. Plant Sci. 2025, 16, 1636565. [Google Scholar] [CrossRef]
- Peng, Y.X.; Zhu, H.Y.; Wang, Y.T.; Kang, J.; Hu, L.X.; Li, L.; Zhu, K.Y.; Yan, J.R.; Bu, X.; Wang, X.J.; et al. Revisiting the role of light signaling in plant responses to salt stress. Hortic. Res. 2025, 12, uhae262. [Google Scholar] [CrossRef]
- Rehman, S.U.; Yang, J.W.; Zhang, J.; Zhang, L.J.; Hao, X.H.; Song, R.; Chen, S.S.; Wang, G.P.; Hua, L. Salt stress in wheat: A physiological and genetic perspective. Plant Stress 2025, 16, 100832. [Google Scholar] [CrossRef]
- Hauser, F.; Horie, T. A conserved primary salt tolerance mechanism mediated by HKT transporters: A mechanism for sodium exclusion and maintenance of high K+/Na+ ratio in leaves during salinity stress. Plant Cell Environ. 2010, 33, 552–565. [Google Scholar] [CrossRef]
- Raghuvanshi, R.; Srivastava, A.; Verulkar, S.; Suprasanna, P. Unlocking allelic diversity for sustainable development of salinity stress tolerance in rice. Curr. Genom. 2021, 22, 393–403. [Google Scholar] [CrossRef]
- Wang, X.H.; Liu, X.L.; Su, Y.L.; Shen, H.Z. Rice responses to abiotic stress: Key proteins and molecular mechanisms. Int. J. Mol. Sci. 2025, 26, 896. [Google Scholar] [CrossRef]
- Mäser, P.; Hosoo, Y.; Goshima, S.; Horie, T.; Eckelman, B.; Yamada, K.; Yoshida, K.; Bakker, E.P.; Shinmyo, A.; Oiki, S.; et al. Glycine residues in potassium channel-like selectivity filters determine potassium selectivity in four-loop-per-subunit HKT transporters from plants. Proc. Natl. Acad. Sci. USA 2002, 99, 6428–6433. [Google Scholar] [CrossRef]
- Platten, J.D.; Cotsaftis, O.; Berthomieu, P.; Bohnert, H.; Davenport, R.; Fairbairn, D.; Horie, T.; Leigh, R.A.; Lin, H.X.; Luan, S.; et al. Nomenclature for HKT transporters, key determinants of plant salinity tolerance. Trends Plant Sci. 2006, 11, 372–374. [Google Scholar] [CrossRef]
- Garciadeblás, B.; Senn, M.E.; Bañuelos, M.A.; Rodríguez-Navarro, A. Sodium transport and HKT transporters:: The rice model. Plant J. 2003, 34, 788–801. [Google Scholar] [CrossRef]
- Ren, Z.H.; Gao, J.P.; Li, G.L.; Cai, X.L.; Huang, W.; Chao, D.Y.; Zhu, M.Z.; Wang, Z.Y.; Luan, S.; Lin, H.X. A rice quantitative trait locus for salt tolerance encodes a sodium transporter. Nat. Genet. 2005, 37, 1141–1146. [Google Scholar] [CrossRef]
- Alnayef, M.; Solis, C.A.; Shabala, L.; Ogura, T.; Chen, Z.H.; Bose, J.; Maathuis, F.J.M.; Venkataraman, G.; Tanoi, K.; Yu, M.; et al. Changes in expression level of OsHKT1;5 alters activity of membrane transporters involved in K+ and Ca2+ acquisition and homeostasis in salinized rice roots. Int. J. Mol. Sci. 2020, 21, 4882. [Google Scholar] [CrossRef]
- Shabala, S.; Chen, X.; Yun, P.; Zhou, M.X. Salinity tolerance in wheat: Rethinking the targets. J. Exp. Bot. 2025, eraf152. [Google Scholar] [CrossRef]
- Munns, R.; Day, D.A.; Fricke, W.; Watt, M.; Arsova, B.; Barkla, B.J.; Bose, J.; Byrt, C.S.; Chen, Z.H.; Foster, K.J.; et al. Energy costs of salt tolerance in crop plants. New Phytol. 2019, 225, 1072–1090. [Google Scholar] [CrossRef]
- Garcia-Daga, S.; Roy, S.J.; Gilliham, M. Redefining the role of sodium exclusion within salt tolerance. Trends Plant Sci. 2025, 30, 137–146. [Google Scholar] [CrossRef]
- Kromdijk, J.; Long, S.P. One crop breeding cycle from starvation? How engineering crop photosynthesis for rising CO2 and temperature could be one important route to alleviation. Proc. R. Soc. B Biol. Sci. 2016, 283, 20152578. [Google Scholar] [CrossRef]
- Seibert, S.L.; Greskowiak, J.; Oude Essink, G.H.; Massmann, G. Understanding climate change and anthropogenic impacts on the salinization of low--lying coastal groundwater systems. Earth’s Future 2024, 12, e2024EF004737. [Google Scholar] [CrossRef]
- Kobayashi, N.I.; Yamaji, N.; Yamamoto, H.; Okubo, K.; Ueno, H.; Costa, A.; Tanoi, K.; Matsumura, H.; Fujii-Kashino, M.; Horiuchi, T.; et al. OsHKT1;5 mediates Na+ exclusion in the vasculature to protect leaf blades and reproductive tissues from salt toxicity in rice. Plant J. 2017, 91, 657–670. [Google Scholar] [CrossRef]
- Wang, R.; Jing, W.; Xiao, L.Y.; Jin, Y.K.; Shen, L.; Zhang, W.H. The rice high-affinity potassium transporter1;1 is involved in salt tolerance and regulated by an MYB-Type transcription factor. Plant Physiol. 2015, 168, 1076–1090. [Google Scholar] [CrossRef]
- Ul Alam, M.N.; Jewel, N.A.; Azim, T.; Seraj, Z.I. Novel QTLs for salinity tolerance revealed by genome-wide association studies of biomass, chlorophyll and tissue ion content in 176 rice landraces from Bangladesh. PLoS ONE 2021, 16, e0259456. [Google Scholar] [CrossRef]
- Quan, R.D.; Wang, J.; Hui, J.; Bai, H.B.; Lyu, X.L.; Zhu, Y.X.; Zhang, H.W.; Zhang, Z.J.; Li, S.H.; Huang, R.F. Improvement of salt tolerance using wild rice genes. Front. Plant Sci. 2018, 8, 2269. [Google Scholar] [CrossRef]
- Munns, R.; Tester, M. Mechanisms of salinity tolerance. Annu. Rev. Plant Biol. 2008, 59, 651–681. [Google Scholar] [CrossRef]
- Munns, R. Comparative physiology of salt and water stress. Plant Cell Environ. 2022, 25, 239–250. [Google Scholar] [CrossRef]
- Yadav, R.; Flowers, T.J.; Yeo, A.R. The involvement of the transpirational bypass flow in sodium uptake by high- and low-sodium-transporting lines of rice developed through intravarietal selection. Plant Cell Environ. 1996, 19, 329–336. [Google Scholar] [CrossRef]
- Van Zelm, E.; Zhang, Y.; Testerink, C. Salt tolerance mechanisms in plants. Annu. Rev. Plant Biol. 2020, 71, 403–433. [Google Scholar] [CrossRef]
- Turner, N.C. Turgor maintenance by osmotic adjustment: 40 years of progress. J. Exp. Bot. 2018, 69, 3223–3233. [Google Scholar] [CrossRef]
- Ishikawa, T.; Shabala, L.; Zhou, M.X.; Venkataraman, G.; Yu, M.; Sellamuthu, G.; Chen, Z.H.; Shabala, S. Comparative analysis of root Na+ relation under salinity between Oryza sativa and Oryza coarctata. Plants 2022, 11, 656. [Google Scholar] [CrossRef]
- Rajakani, R.; Sellamuthu, G.; Ishikawa, T.; Ahmed, H.A.I.; Bharathan, S.; Kumari, K.; Shabala, L.; Zhou, M.X.; Chen, Z.H.; Shabala, S.; et al. Reduced apoplastic barriers in tissues of shoot-proximal rhizomes of Oryza coarctata are associated with Na+ sequestration. J. Exp. Bot. 2022, 73, 998–1015. [Google Scholar] [CrossRef]
- Neuhaus, H.E.; Trentmann, O. Regulation of transport processes across the tonoplast. Front. Plant Sci. 2014, 5, 460. [Google Scholar] [CrossRef]
- Wu, H.H.; Zhang, X.C.; Giraldo, J.P.; Shabala, S. It is not all about sodium: Revealing tissue specificity and signalling roles of potassium in plant responses to salt stress. Plant Soil 2018, 431, 1–17. [Google Scholar] [CrossRef]
- Jan, A.U.; Hadi, F.; Nawaz, M.A.; Rahman, K. Potassium and zinc increase tolerance to salt stress in wheat (Triticum aestivum L.). Plant Physiol. Biochem. 2017, 116, 139–149. [Google Scholar] [CrossRef]
- Zhu, L.X.; Sun, Y.M.; Wang, R.F.; Zeng, J.X.; Li, J.; Huang, M.T.; Wang, M.; Shen, Q.R.; Guo, S.W. Applied potassium negates osmotic stress impacts on plant physiological processes: A meta-analysis. Hortic. Res. 2025, 12, uhae318. [Google Scholar] [CrossRef] [PubMed]
- Noor, F.; Nawaz, H.; Khan, A.; Shani, M.Y.; Azmat, M.; Abbas, S.M.; Arshad, I.; Aziz, R.; Saleem, M.; De Mastro, F.; et al. Effect of foliar application of potassium on wheat tolerance to salt stress. PLoS ONE 2025, 20, e0336407. [Google Scholar] [CrossRef]
- Armbruster, U.; Galvis, V.C.; Kunz, H.H.; Strand, D.S. The regulation of the chloroplast proton motive force plays a key role for photosynthesis in fluctuating light. Curr. Opin. Plant Biol. 2017, 37, 56–62. [Google Scholar] [CrossRef]
- Che, Y.H.; Fan, D.Y.; Wang, Z.H.; Xu, N.; Zhang, H.H.; Sun, G.Y.; Chow, W.S. Potassium mitigates salt-stress impacts on photosynthesis by alleviation of the proton diffusion potential in thylakoids. Environ. Exp. Bot. 2022, 194, 104708. [Google Scholar] [CrossRef]
- Che, Y.H.; Fan, D.Y.; Teng, Z.Y.; Yao, T.T.; Wang, Z.H.; Zhang, H.B.; Sun, G.Y.; Zhang, H.H.; Chow, S.W. Potassium alleviates over-reduction of the photosynthetic electron transport chain and helps to maintain photosynthetic function under salt-stress. Physiol. Plant. 2023, 175, e13981. [Google Scholar] [CrossRef]
- Du, Q.; Zhao, X.H.; Xia, L.; Jiang, C.J.; Wang, X.G.; Han, Y.; Wang, J.; Yu, H.Q. Effects of potassium deficiency on photosynthesis, chloroplast ultrastructure, ROS, and antioxidant activities in maize (Zea mays L.). J. Integr. Agric. 2019, 18, 395–406. [Google Scholar] [CrossRef]
- Galvis, V.C.; Strand, D.D.; Messer, M.; Thiele, W.; Westhäuser, S.; Hübner, D.; Uflewski, M.; Kaiser, E.; Siemiatkowska, B.; Morris, B.; et al. H+ Transport by K+ EXCHANGE ANTIPORTER3 promotes photosynthesis and growth in chloroplast ATP synthase mutants. Plant Physiol. 2020, 182, 2126–2142. [Google Scholar] [CrossRef] [PubMed]
- Wang, X.M.; Chen, Z.T.; Sui, N. Sensitivity and responses of chloroplasts to salt stress in plants. Front. Plant Sci. 2024, 15, 1374086. [Google Scholar] [CrossRef] [PubMed]
- Pottosin, I.I.; Shabala, S. Transport across chloroplast membranes: Optimizing photosynthesis for adverse environmental conditions. Mol. Plant 2015, 9, 356–370. [Google Scholar] [CrossRef]
- Ramakrishna, P.; Gámez-Arjona, F.M.; Bellani, E.; Martin-Olmos, C.; Escrig, S.; De Bellis, D.; De Luca, A.; Pardo, J.M.; Quintero, F.J.; Genoud, C.; et al. Elemental cryo-imaging reveals SOS1-dependent vacuolar sodium accumulation. Nature 2025, 637, 1228–1233. [Google Scholar] [CrossRef]
- Wu, W.H.; Berkowitz, G.A. K+ stimulation of ATPase activity associated with the chloroplast inner envelope. Plant Physiol. 1992, 99, 553–560. [Google Scholar] [CrossRef]
- Bawa, G.; Kong, R.W.; Chen, X.; Chmielowska-Bąk, J.; Yang, W.B.; Sun, X.L.; Sun, M.Z. Signalling networks underlying cell wall responses to salinity stress. Plant Cell Environ. 2026, 49, 18–31. [Google Scholar] [CrossRef] [PubMed]
- Lawson, T.; Matthews, J. Guard cell metabolism and stomatal function. Annu. Rev. Plant Biol. 2020, 71, 273–302. [Google Scholar] [CrossRef]
- Zuo, Y.Y.; Abbas, A.; Dauda, S.O.; Chen, C.; Bose, J.; Donovan-Mak, M.; Wang, Y.Y.; He, J.; Zhang, P.; Yan, Z.H.; et al. Function of key ion channels in abiotic stresses and stomatal dynamics. Plant Physiol. Biochem. 2025, 220, 109574. [Google Scholar] [CrossRef] [PubMed]
- Nieves-Cordones, M.; Azeem, F.; Long, Y.C.; Boeglin, M.; Duby, G.; Mouline, K.; Hosy, E.; Vavasseur, A.; Chérel, I.; Simonneau, T.; et al. Non-autonomous stomatal control by pavement cell turgor via the K+ channel subunit AtKC1. Plant Cell 2022, 34, 2019–2037. [Google Scholar] [CrossRef] [PubMed]
- Yun, P.; Shahzad, B.; Hasanuzzaman, M.; Islam, T.; Shabala, L.; Zhou, M.X.; Venkataraman, G.; Chen, Z.H.; Shabala, S. Learning from nature: Photosynthetic traits conferring superior salt tolerance in wild rice Oryza coarctata. Philos. Trans. B 2025, 380, 20240242. [Google Scholar] [CrossRef]
- Chen, G.; Qin, Y.; Wang, J.; Li, S.J.; Zeng, F.R.; Deng, F.L.; Chater, C.; Xu, S.C.; Chen, Z.H. Stomatal evolution and plant adaptation to future climate. Plant Cell Environ. 2024, 47, 3299–3315. [Google Scholar] [CrossRef]
- Wu, Z.L.; Chen, L.; Yu, Q.; Zhou, W.Q.; Gou, X.P.; Li, J.; Hou, S.W. Multiple transcriptional factors control stomata development in rice. New Phytol. 2019, 223, 220–232. [Google Scholar] [CrossRef]
- Caine, R.S.; Yin, X.J.; Sloan, J.; Harrison, E.L.; Mohammed, U.; Fulton, T.; Biswal, A.K.; Dionora, J.; Chater, C.C.; Coe, R.A.; et al. Rice with reduced stomatal density conserves water and has improved drought tolerance under future climate conditions. New Phytol. 2018, 221, 371–384. [Google Scholar] [CrossRef]
- Caine, R.S.; Harrison, E.L.; Sloan, J.; Flis, P.M.; Fischer, S.; Khan, M.S.; Nguyen, P.T.; Nguyen, L.T.; Gray, J.E.; Croft, H. The influences of stomatal size and density on rice abiotic stress resilience. New Phytol. 2023, 237, 2180–2195. [Google Scholar] [CrossRef]
- Osakabe, Y.; Yamaguchi-Shinozaki, K.; Shinozaki, K.; Tran, L.S.P. ABA control of plant macroelement membrane transport systems in response to water deficit and high salinity. New Phytol. 2014, 202, 35–49. [Google Scholar] [CrossRef] [PubMed]
- Assmann, S.M. OPEN STOMATA1 opens the door to ABA signaling in Arabidopsis guard cells. Trends Plant Sci. 2003, 8, 151–153. [Google Scholar] [CrossRef]
- Cai, S.G.; Chen, G.; Wang, Y.Y.; Huang, Y.Q.; Marchant, D.B.; Wang, Y.Z.; Yang, Q.; Dai, F.; Hills, A.; Franks, P.J.; et al. Evolutionary conservation of ABA signaling for stomatal closure. Plant Physiol. 2017, 174, 732–747. [Google Scholar] [CrossRef] [PubMed]
- Karimi, S.M.; Freund, M.; Wager, B.M.; Knoblauch, M.; Fromm, J.; Muller, H.M.; Ache, P.; Krischke, M.; Mueller, M.J.; Müller, T.; et al. Under salt stress guard cells rewire ion transport and abscisic acid signaling. New Phytol. 2021, 231, 1040–1055. [Google Scholar] [CrossRef] [PubMed]
- Lamers, J.; Zhang, Y.X.; van Zelm, E.; Leong, C.K.; Meyer, A.J.; de Zeeuw, T.; Verstappen, F.; Veen, M.; Deolu-Ajayi, A.O.; Gommers, C.M.M.; et al. Abscisic acid signaling gates salt-induced responses of plant roots. Proc. Natl. Acad. Sci. USA 2025, 122, e2406373122. [Google Scholar] [CrossRef]
- Yan, G.C.; Fan, X.P.; Zheng, W.N.; Gao, Z.X.; Yin, C.; Li, T.Q.; Liang, Y. Silicon alleviates salt stress-induced potassium deficiency by promoting potassium uptake and translocation in rice (Oryza sativa L.). J. Plant Physiol. 2021, 258–259, 153379. [Google Scholar] [CrossRef]
- Demidchik, V.; Tester, M. Sodium fluxes through nonselective cation channels in the plasma membrane of protoplasts from Arabidopsis roots. Plant Physiol. 2002, 128, 379–387. [Google Scholar] [CrossRef]
- Yun, P.; Solis, C.A.; Shahzad, B.; Shabala, L.; Zhou, M.X.; Venkataraman, G.; Chen, Z.H.; Shabala, S. Chloride-dependent plasma membrane hyperpolarization confers superior salinity tissue tolerance in wild rice Oryza coarctata. Crop J. 2025, 13, 740–751. [Google Scholar] [CrossRef]
- Falhof, J.; Pedersen, J.T.; Fuglsang, A.T.; Palmgren, M. Plasma membrane H+-ATPase regulation in the center of plant physiology. Mol. Plant 2016, 9, 323–337. [Google Scholar] [CrossRef]
- Ding, M.; Zhang, M.X.; Zeng, H.Q.; Hayashi, Y.; Zhu, Y.Y.; Kinoshita, T. Molecular basis of plasma membrane H+-ATPase function and potential application in the agricultural production. Plant Physiol. Biochem. 2021, 168, 10–16. [Google Scholar] [CrossRef]
- Demidchik, V. Mechanisms and physiological roles of K+ efflux from root cells. J. Plant Physiol. 2014, 171, 696–707. [Google Scholar] [CrossRef]
- Nieves-Cordones, M.; Alemán, F.; Martínez, V.; Rubio, F. The Arabidopsis thaliana HAK5 K+ transporter is required for plant growth and K+ acquisition from low K+ solutions under saline conditions. Mol. Plant 2010, 3, 326–333. [Google Scholar] [CrossRef]
- Chen, Z.H.; Zhou, M.X.; Newman, I.A.; Mendham, N.J.; Zhang, G.P.; Shabala, S. Potassium and sodium relations in salinised barley tissues as a basis of differential salt tolerance. Funct. Plant Biol. 2007, 34, 150–162. [Google Scholar] [CrossRef]
- Wang, Z.; Hong, Y.; Zhu, G.; Li, Y.; Niu, Q.; Yao, J.; Hua, K.; Bai, J.; Zhu, Y.; Shi, H.; et al. Loss of salt tolerance during tomato domestication conferred by variation in a Na+/K+ transporter. EMBO J. 2020, 39, 2019103256. [Google Scholar] [CrossRef] [PubMed]
- Fernie, A.R.; Yang, J.B. De Novo domestication: An alternative route toward new crops for the future. Mol. Plant 2019, 12, 615–631. [Google Scholar] [CrossRef] [PubMed]
- Purugganan, M.D.; Fuller, D.Q. The nature of selection during plant domestication. Nature 2009, 457, 843–848. [Google Scholar] [CrossRef] [PubMed]
- Menguer, P.K.; Sperotto, R.A.; Ricachenevsky, F.K. A walk on the wild side: Oryza species as source for rice abiotic stress tolerance. Genet. Mol. Biol. 2017, 40, 238–252. [Google Scholar] [CrossRef]
- Palmgren, M.G.; Edenbrandt, A.K.; Vedel, S.E.; Andersen, M.M.; Landes, X.; Osterberg, J.T.; Falhof, J.; Olsen, L.I.; Christensen, S.B.; Sandøe, P.; et al. Are we ready for back-to-nature crop breeding? Trends Plant Sci. 2015, 20, 155–164. [Google Scholar] [CrossRef]
- Shahzad, B.; Yun, P.; Shabala, L.; Zhou, M.; Sellamuthu, G.; Venkataraman, G.; Chen, Z.-H.; Shabala, S. Unravelling the physiological basis of salinity stress tolerance in cultivated and wild rice species. Funct. Plant Biol. 2022, 49, 351–364. [Google Scholar] [CrossRef]
- Tenekedjiev, K.; Abdussamie, N.; An, H.; Nikolova, N. Regression diagnostics with predicted residuals of linear model with improved singular value classification applied to forecast the hydrodynamic efficiency of wave energy converters. Appl. Sci. 2021, 11, 2990. [Google Scholar] [CrossRef]
- Press, W.; Teukolsky, S.; Vetterling, W.; Flannery, B. Numerical Recipes—The Art of Scientific Computing, 3rd ed.; Cambridge University Press: Cambridge, NY, USA, 2007; pp. 793–798. [Google Scholar]
- Nikolova, N.; Rodríguez, R.M.; Symes, M.; Toneva, D.; Kolev, K.; Tenekedjiev, K. Outlier detection algorithms over fuzzy data with weighted least squares. Int. J. Fuzzy Syst. 2021, 23, 1234–1256. [Google Scholar] [CrossRef]
- Maddala, G.S. Introduction to Econometrics; Macmillan Publishers: New York, NY, USA, 1988; pp. 411–412. [Google Scholar]
- Mackinnon, J.; White, H. Some heteroskedasticity-consistent covariance matrix estimators with improved finite sample properties. J. Econom. 1985, 29, 305–325. [Google Scholar] [CrossRef]
- White, H. A heteroskedasticity—Consistent covariance matrix estimator and a direct test for heteroskedasticity. Econometrica 1980, 48, 817–838. [Google Scholar] [CrossRef]
- Radoinova, D.; Nikolova, N.; Yordanov, Y.; Tenekedjiev, K. Stability of post-mortem regression models of maximum stature over combined samples of Bulgarians and Hungarians. Acta Morphol. Anthropol. 2012, 18, 72–78. Available online: https://iempam.bas.bg/journals/acta/acta18/72-78.pdf (accessed on 10 February 2026).
- Gujarati, D.; Porter, D. Basic Econometrics, 5th ed.; McGraw-Hill/Irwin: New York, NY, USA, 2009; pp. 131–132+861–864. [Google Scholar]





| Type | Species Name/Cultivar |
|---|---|
| Wild | Oryza alta |
| Wild | Oryza barthii |
| Wild | Oryza australiensis |
| Wild | Oryza punctata |
| Cultivated | Oryza sativa cv H-86 |
| Cultivated | Oryza sativa cv Pusa Basmati |
| Cultivated | Oryza sativa cv Pokkali |
| Cultivated | Oryza sativa cv Nipponbare |
| Cultivated | Oryza sativa cv IR29 |
| Cultivated | Oryza sativa cv IR1 |
| 2.411 × 10−5 | −5.088 × 10−6 | −3.172 × 10−7 | −2.381 × 10−7 | 1.764 × 10−8 | |
| −0.7091 | 2.135 × 10−6 | 1.585 × 10−8 | 5.244 × 10−8 | −8.001 × 10−9 | |
| −0.6832 | 0.1147 | 8.942 × 10−9 | 2.227 × 10−9 | −1.135 × 10−11 | |
| −0.8992 | 0.6655 | 0.4368 | 2.908 × 10−9 | −2.118 × 10−10 | |
| 0.6180 | −0.9419 | −0.02065 | −0.6757 | 3.380 × 10−11 |
Disclaimer/Publisher’s Note: The statements, opinions and data contained in all publications are solely those of the individual author(s) and contributor(s) and not of MDPI and/or the editor(s). MDPI and/or the editor(s) disclaim responsibility for any injury to people or property resulting from any ideas, methods, instructions or products referred to in the content. |
© 2026 by the authors. Licensee MDPI, Basel, Switzerland. This article is an open access article distributed under the terms and conditions of the Creative Commons Attribution (CC BY) license.
Share and Cite
Xu, Q.; Yun, P.; Tenekedjiev, K.; Nikolova, N.; Shahzad, B.; Zheng, J.; Shabala, L.; Zhou, M.; Shabala, S. Are We Chasing a Wild Goose? Rethinking Breeding Targets for Salinity Stress Tolerance in Rice. Plants 2026, 15, 597. https://doi.org/10.3390/plants15040597
Xu Q, Yun P, Tenekedjiev K, Nikolova N, Shahzad B, Zheng J, Shabala L, Zhou M, Shabala S. Are We Chasing a Wild Goose? Rethinking Breeding Targets for Salinity Stress Tolerance in Rice. Plants. 2026; 15(4):597. https://doi.org/10.3390/plants15040597
Chicago/Turabian StyleXu, Qian, Ping Yun, Kiril Tenekedjiev, Natalia Nikolova, Babar Shahzad, Jiarui Zheng, Lana Shabala, Meixue Zhou, and Sergey Shabala. 2026. "Are We Chasing a Wild Goose? Rethinking Breeding Targets for Salinity Stress Tolerance in Rice" Plants 15, no. 4: 597. https://doi.org/10.3390/plants15040597
APA StyleXu, Q., Yun, P., Tenekedjiev, K., Nikolova, N., Shahzad, B., Zheng, J., Shabala, L., Zhou, M., & Shabala, S. (2026). Are We Chasing a Wild Goose? Rethinking Breeding Targets for Salinity Stress Tolerance in Rice. Plants, 15(4), 597. https://doi.org/10.3390/plants15040597

