Effects of Different Proportions of Cattle Manure and Mushroom Residue on Yield and Quality of Cucumber Fruit
Abstract
1. Introduction
2. Results
2.1. Physical and Chemical Properties of Different Substrates of Cattle Manure and Mushroom Residue
2.2. Effect of Mixed Substrates of Cattle Manure and Mushroom Residue on Cucumber Yield
2.3. Influence of Mixed Substrates on Nutritional Quality of Cucumber Fruit
2.4. Effect of Mixed Substrates of Cattle Manure and Mushroom Residue on Soluble Sugars of Cucumber Fruit
2.5. Effects of Different Proportions of Cattle Manure and Mushroom Residue on Fatty Acids of Cucumber Fruit
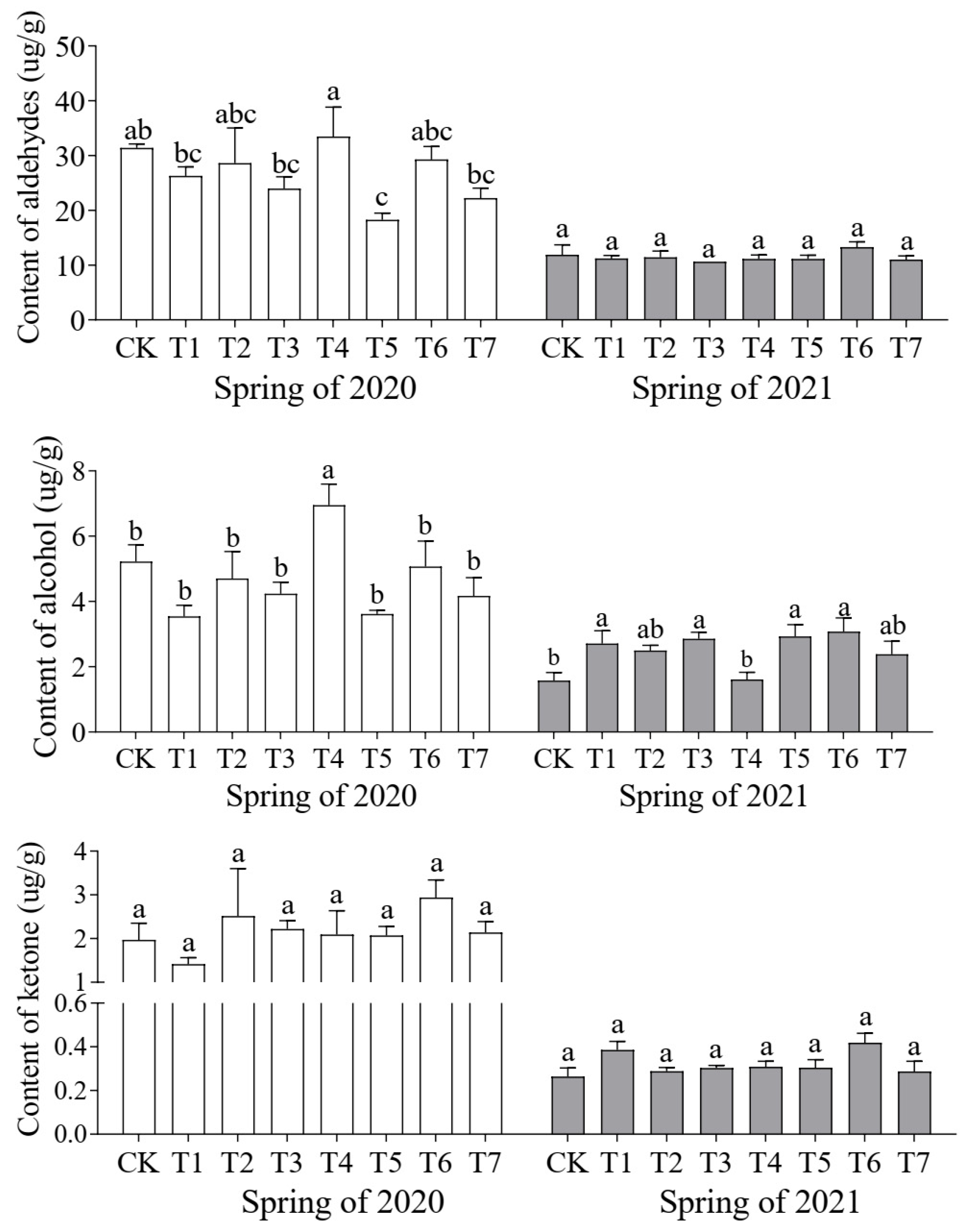
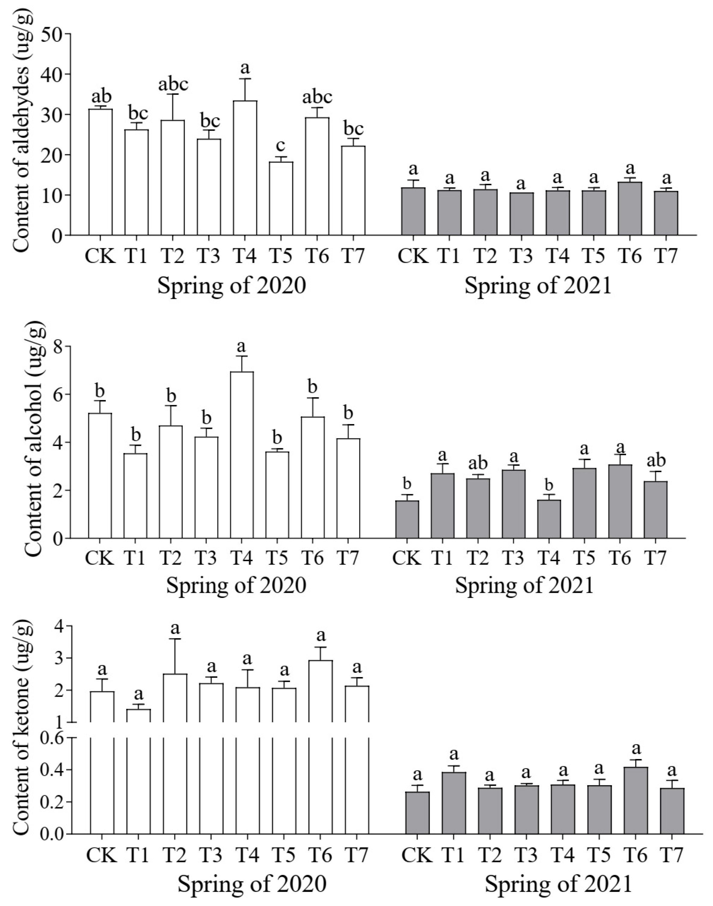
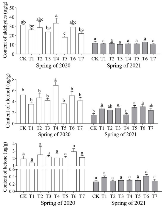
2.6. Analysis of Volatile Compounds of Cucumber Fruit in Different Treatments
3. Materials and Methods
3.1. Plant Materials and Treatments
3.2. Physicochemical Properties of Substrates
3.3. Determination of Cucumber Yield
3.4. Measurement of Cucumber Quality
3.5. Statistical Analysis
4. Discussion
4.1. Effects of Different Proportions of Cattle Manure and Mushroom Residue on Physical and Chemical Properties of Agricultural Waste-Based Substrates
4.2. Effects of Different Proportions of Cattle Manure and Mushroom Residue on Cucumber Yield
4.3. Effects of Different Proportions of Cattle Manure and Mushroom Residue on Quality of Cucumber Fruit
5. Conclusions
Author Contributions
Funding
Data Availability Statement
Conflicts of Interest
References
- Aubé, M.; Quenum, M.; Ranasinghe, L.L. Characteristics of Eastern Canadian cultivated Sphagnum and potential use as a substitute for perlite and vermiculite in peat-based horticultural substrates. Mires Peat 2015, 16, 1–18. [Google Scholar]
- Haghighi, M.; Barzegar, M.R.; da Silva, J.A.T. The effect of municipal solid waste compost, peat, perlite and vermicompost on tomato (Lycopersicum esculentum L.) growth and yield in a hydroponic system. Int. J. Recyl. Org. Waste Agric. 2016, 5, 231–242. [Google Scholar] [CrossRef]
- Atzori, G.; Pane, C.; Zaccardelli, M.; Cacini, S.; Massa, D. The role of peat-free organic substrates in the sustainable management of soilless cultivations. Agronomy 2021, 11, 1236. [Google Scholar] [CrossRef]
- Duque-Acevedo, M.; Belmonte-Ureña, L.J.; Cortés-García, F.J.; Camacho-Ferre, F. Agricultural waste: Review of the evolution, approaches and perspectives on alternative uses. Glob. Ecol. Conserv. 2020, 22, e00902. [Google Scholar] [CrossRef]
- ElMekawy, A.; Srikanth, S.; Bajracharya, S.; Hegab, H.M.; Nigam, P.S.; Singh, A.; Mohan, S.V.; Pant, D. Food and agricultural wastes as substrates for bioelectrochemical system (BES): The synchronized recovery of sustainable energy and waste treatment. Food Res. Int. 2015, 73, 213–225. [Google Scholar] [CrossRef]
- Duque-Acevedo, M.; Belmonte-Urena, L.J.; Teran-Yepez, E.; Camacho-Ferre, F. Sustainability and circularity in fruit and vegetable production. Perceptions and practices of reduction and valorization of agricultural waste biomass in south-eastern Spain. J. Environ. Manag. 2022, 316, 115270. [Google Scholar] [CrossRef]
- Handreck, K.A. Properties of coir dust, and its use in the formulation of soilless potting media. Commun. Soil Sci. Plant Anal. 1993, 24, 349–363. [Google Scholar] [CrossRef]
- Mariotti, B.; Martini, S.; Raddi, S.; Tani, A.; Jacobs, D.F.; Oliet, J.A.; Maltoni, A. Coconut coir as a sustainable nursery growing media for seedling production of the ecologically diverse quercus species. Forests 2020, 11, 522. [Google Scholar] [CrossRef]
- Ugolini, F.; Mariotti, B.; Maltoni, A.; Tani, A.; Salbitano, F.; Izquierdo, C.G.; Macci, C.; Masciandaro, G.; Tognetti, R. A tree from waste: Decontaminated dredged sediments for growing forest tree seedlings. J. Environ. Manag. 2018, 211, 269–277. [Google Scholar] [CrossRef]
- Giménez, A.; Fernández, J.A.; Pascual, J.A.; Ros, M.; López-Serrano, M.; Egea-Gilabert, C. An agroindustrial compost as alternative to peat for production of baby leaf red lettuce in a floating system. Sci. Hortic. 2019, 246, 907–915. [Google Scholar] [CrossRef]
- Petropoulos, S.; Fernandes, A.; Stojkovic, D.; Pereira, C.; Taofiq, O.; Di Gioia, F.; Tzortzakis, N.; Sokovic, M.; Barros, L.; Ferreira, I. Cotton and cardoon byproducts as potential growing media components for Cichorium spinosum L. commercial cultivation. J. Clean. Prod. 2019, 240, 118254. [Google Scholar] [CrossRef]
- Bassan, A.; Bona, S.; Nicoletto, C.; Sambo, P.; Zanin, G. Rice hulls and anaerobic digestion residues as substrate components for potted production of geranium and rose. Agronomy 2020, 10, 950. [Google Scholar] [CrossRef]
- Eksi, M.; Rowe, D.B.; Fernández-Cañero, R.; Cregg, B.M. Effect of substrate compost percentage on green roof vegetable production. Urban For. Urban Green. 2015, 14, 315–322. [Google Scholar] [CrossRef]
- Olle, M.; Ngouajio, M.; Siomos, A. Vegetable quality and productivity as influenced by growing medium: A review. Zemdirb.-Agric. 2012, 99, 399–408. [Google Scholar]
- Zhang, R.H.; Duan, Z.Q.; Li, Z.G. Use of spent mushroom substrate as growing media for tomato and cucumber seedlings. Pedosphere 2012, 22, 333–342. [Google Scholar] [CrossRef]
- Kaur, M.; Sharma, P. Recent advances in cucumber (Cucumis sativus L.). J. Hortic. Sci. Biotechnol. 2022, 97, 3–23. [Google Scholar] [CrossRef]
- Zhang, J.P.; Feng, S.J.; Yuan, J.; Wang, C.; Lu, T.; Wang, H.S.; Yu, C. The formation of fruit quality in Cucumis sativus L. Front. Plant Sci. 2021, 12, 729448. [Google Scholar] [CrossRef]
- Seymour, G.B.; Granell, A. Fruit development and ripening Preface. J. Exp. Bot. 2014, 65, 4489–4490. [Google Scholar] [CrossRef]
- Bacelar, E.; Pinto, T.; Anjos, R.; Morais, M.C.; Oliveira, I.; Vilela, A.; Cosme, F. Impacts of Climate Change and Mitigation Strategies for Some Abiotic and Biotic Constraints Influencing Fruit Growth and Quality. Plants 2024, 13, 1942. [Google Scholar] [CrossRef]
- Fan, S.; Zhang, Y.; Zhu, S.B.; Shen, L.S. Plant RNA-binding proteins: Phase separation dynamics and functional mechanisms underlying plant development and stress responses. Mol. Plant 2024, 17, 531–551. [Google Scholar] [CrossRef]
- Du, L.T.; Huang, B.J.; Du, N.S.; Guo, S.R.; Shu, S.; Sun, J. Effects of garlic/cucumber relay intercropping on soil enzyme activities and the microbial environment in continuous cropping. HortScience 2017, 52, 78–84. [Google Scholar] [CrossRef]
- Elsheery, N.I.; Helaly, M.N.; Omar, S.A.; John, S.V.S.; Zabochnicka-Swiatek, M.; Kalaji, H.M.; Rastogi, A. Physiological and molecular mechanisms of salinity tolerance in grafted cucumber. S. Afr. J. Bot. 2020, 130, 90–102. [Google Scholar] [CrossRef]
- Kim, J.Y.; Kang, H.W. β-Aminobutyric acid and powdery mildew infection enhanced the activation of defense-related genes and salicylic acid in cucumber (Cucumis sativus L.). Genes 2023, 14, 2087. [Google Scholar] [CrossRef] [PubMed]
- Shen, W.S.; Hu, M.C.; Qian, D.; Xue, H.W.; Gao, N.; Lin, X.G. Microbial deterioration and restoration in greenhouse-based intensive vegetable production systems. Plant Soil 2021, 463, 1–18. [Google Scholar] [CrossRef]
- Dar, R.A.; Parmar, M.; Dar, E.A.; Sani, R.K.; Phutela, U.G. Biomethanation of agricultural residues: Potential, limitations and possible solutions. Renew. Sustain. Energy Rev. 2021, 135, 110217. [Google Scholar] [CrossRef]
- Upadhyay, S.K.; Singh, G.; Rani, N.; Seth, C.S.; Rajput, V.D.; Dwivedi, P.; Minkina, T.; Wong, M.H.; Show, P.L.; Khoo, K.S. Transforming bio-waste into value-added products mediated microbes for enhancing soil health and crop production: Perspective views on circular economy. Environ. Technol. Innov. 2024, 34, 103573. [Google Scholar] [CrossRef]
- Sahin, U.; Anapali, O.; Ercisli, S. Physico-chemical and physical properties of some substrates used in horticulture. Eur. J. Hortic. Sci. 2002, 67, 55–60. [Google Scholar] [CrossRef]
- Fernandes, C.; Corá, J.E. Bulk density and relationship air/water of horticultural substrate. Sci. Agric. 2004, 61, 446–450. [Google Scholar] [CrossRef]
- Kratz, D.; Nogueira, A.C.; Wendling, I.; Mellek, J.E. Physic-chemical properties and substrate formulation for Eucalyptus seedlings production. Sci. For. 2017, 45, 63–76. [Google Scholar] [CrossRef][Green Version]
- Lan, G.P.; Shi, L.M.; Lu, X.Y.; Liu, Z.Y.; Sun, Y. Effects of dopamine on antioxidation, mineral nutrients, and fruit quality in cucumber under nitrate stress. J. Plant Growth Regul. 2022, 41, 2918–2929. [Google Scholar] [CrossRef]
- Wang, M.Q.; Su, L.; Cong, Y.; Chen, J.J.; Geng, Y.L.; Qian, C.L.; Xu, Q.; Chen, X.H.; Qi, X.H. Sugars enhance parthenocarpic fruit formation in cucumber by promoting auxin and cytokinin signaling. Sci. Hortic. 2021, 283, 110061. [Google Scholar] [CrossRef]
- Wang, H.C.; Ma, F.F.; Cheng, L.L. Metabolism of organic acids, nitrogen and amino acids in chlorotic leaves of ‘Honeycrisp’ apple (Malus domestica Borkh) with excessive accumulation of carbohydrates. Planta 2010, 232, 511–522. [Google Scholar] [CrossRef] [PubMed]
- Sun, Y.H.; Li, X.Z.; Wang, H.; Zhang, Q.Z.; Wang, X.; Jiao, Y.N.; Zhang, J.; Yang, Y.Y.; Xue, W.Y.; Qian, Y.L.; et al. The CsDof1.8-CsLIPOXYGENASE09 module regulates C9 aroma production in cucumber. Plant Physiol. 2024, 196, 338–351. [Google Scholar] [CrossRef] [PubMed]
- Wang, R.C.; Shu, P.; Zhang, C.; Zhang, J.L.; Chen, Y.; Zhang, Y.X.; Du, K.; Xie, Y.; Li, M.Z.; Ma, T.; et al. Integrative analyses of metabolome and genome-wide transcriptome reveal the regulatory network governing flavor formation in kiwifruit (Actinidia chinensis). New Phytol. 2022, 233, 373–389. [Google Scholar] [CrossRef]
- Rudolph, M.; Schlereth, A.; Körner, M.; Feussner, K.; Berndt, E.; Melzer, M.; Hornung, E.; Feussner, I. The lipoxygenase-dependent oxygenation of lipid body membranes is promoted by a patatin-type phospholipase in cucumber cotyledons. J. Exp. Bot. 2011, 62, 749–760. [Google Scholar] [CrossRef]
- Wang, X.L.; He, J.; Bai, M.Y.; Liu, L.; Gao, S.; Chen, K.; Zhuang, H.Y. The impact of traffic-induced compaction on soil bulk density, soil stress distribution and key growth indicators of maize in North China Plain. Agriculture 2022, 12, 1220. [Google Scholar] [CrossRef]
- Lazny, R.; Nowak, J.S.; Mirgos, M.; Przybyl, J.L.; Niedzinska, M.; Kunka, M.; Gajc-Wolska, J.; Kowalczyk, W.; Kowalczyk, K. Effect of selected physical parameters of lignite substrate on morphological attributes, yield and quality of cucumber fruit fertigated with high EC nutrient solution in hydroponic cultivation. Appl. Sci. 2022, 12, 4480. [Google Scholar] [CrossRef]
- Blanchard, C.; Wells, D.E.; Pickens, J.M.; Blersch, D.M. Effect of pH on cucumber growth and nutrient availability in a decoupled aquaponic system with minimal solids removal. Horticulturae 2020, 6, 10. [Google Scholar] [CrossRef]
- Mohammadi Ghehsareh, A. Effect of date palm wastes and rice hull mixed with soil on growth and yield of cucumber in greenhouse culture. Int. J. Recyl. Org. Waste Agric. 2013, 2, 17. [Google Scholar] [CrossRef]
- Aghdak, P.; Mobli, M.; Khoshgoftarmanesh, A.H. Effects of different growing media on vegetative and reproductive growth of bell pepper. J. Plant Nutr. 2016, 39, 967–973. [Google Scholar] [CrossRef]
- Sharkawi, H.; Abdrabbo, M.; Hassanein, M. Development of treated rice husk as an alternative substrate medium in cucumber soilless culture. J. Agric. Environ. Sci. 2014, 3, 131–149. [Google Scholar] [CrossRef]
- Böhme, M.; Schevchenko, J.; Herfort, S.; Pinker, I. Cucumber grown in sheepwool slabs treated with biostimulator compared to other organic and mineral substrates. Acta Hortic. 2008, 779, 299–306. [Google Scholar] [CrossRef]
- Górecki, R.S.; Górecki, M.T. Utilization of waste wool as substrate amendment in pot cultivation of tomato, sweet pepper, and eggplant. Pol. J. Environ. Stud. 2010, 19, 1083–1087. [Google Scholar]
- Gruda, N. Does soilless culture have an influence on product quality of vegetables? J. Appl. Bot. Food Qual. 2009, 82, 141–147. [Google Scholar]
- Singh, J. Role of earthworm in sustainable agriculture. In Sustainable Food Systems from Agriculture to Industry; Elsevier: Amsterdam, The Netherlands, 2018; pp. 83–122. [Google Scholar]
- Xue, W.Y.; Liu, N.; Lu, P.F.; Yang, Y.Y.; Chen, S.X. Photosynthesis and fatty acid metabolism reveals the effects of shading treatment on the fruit aroma quality of cucumber (Cucumis sativus L.). Sci. Hortic. 2024, 337, 113508. [Google Scholar] [CrossRef]






| Treatment | Bulk Density (g/cm3) | Total Porosity (%) | Aeration Porosity (%) | Water-Holding Porosity (%) | Gas–Water Ratio (%) | pH | EC (mS/cm) |
|---|---|---|---|---|---|---|---|
| CK | 0.22 ± 0.01 g | 64.53 ± 0.89 a | 17.43 ± 0.93 a | 47.10 ± 0.31 ab | 0.37 ± 0.02 a | 5.93 ± 0.02 h | 2.95 ± 0.02 c |
| T1 | 0.47 ± 0.00 a | 52.03 ± 0.58 d | 5.82 ± 0.10 f | 45.37 ± 0.25 b | 0.13 ± 0.01 e | 6.90 ± 0.01 g | 7.13 ± 0.02 a |
| T2 | 0.46 ± 0.00 a | 52.22 ± 0.45 d | 6.34 ± 0.18 e | 45.88 ± 0.28 b | 0.14 ± 0.00 e | 6.96 ± 0.01 g | 6.97 ± 0.02 b |
| T3 | 0.45 ± 0.00 b | 53.28 ± 0.48 cd | 6.68 ± 0.11 de | 46.60 ± 0.37 b | 0.14 ± 0.00 de | 7.03 ± 0.02 f | 6.65 ± 0.02 b |
| T4 | 0.42 ± 0.00 cd | 53.86 ± 0.12 cd | 6.59 ± 0.23 de | 47.27 ± 0.12 ab | 0.14 ± 0.01 e | 7.09 ± 0.01 de | 6.34 ± 0.02 a |
| T5 | 0.40 ± 0.00 de | 54.80 ± 0.59 cd | 7.32 ± 0.20 cde | 47.48 ± 0.39 ab | 0.15 ± 0.00 cde | 7.14 ± 0.01 bc | 5.31 ± 0.02 a |
| T6 | 0.39 ± 0.00 de | 55.11 ± 0.74 c | 7.46 ± 0.25 cd | 47.66 ± 0.50 ab | 0.16 ± 0.00 cde | 7.18 ± 0.01 ab | 4.73 ± 0.02 a |
| T7 | 0.39 ± 0.00 de | 55.48 ± 0.31 b | 7.65 ± 0.13 b | 47.85 ± 0.30 a | 0.16 ± 0.00 b | 7.22 ± 0.02 a | 3.33 ± 0.02 c |
| Treatment | Strain (kg) | Acre Yield (kg) | ||
|---|---|---|---|---|
| 2020 | 2021 | 2020 | 2021 | |
| CK | 0.76 ± 0.11 bc | 2.53 ± 0.20 b | 2123.83 ± 122.39 bc | 3537.12 ± 280.93 b |
| T1 | 0.71 ± 0.07 c | 2.83 ± 0.10 ab | 1974.57 ± 184.47 c | 3966.24 ± 136.37 ab |
| T2 | 1.05 ± 0.08 ab | 2.63 ± 0.21 ab | 2983.53 ± 221.25 ab | 3684.83 ± 288.28 ab |
| T3 | 1.29 ± 0.08 a | 2.53 ± 0.17 b | 3603.98 ± 216.82 a | 3535.57 ± 235.75 b |
| T4 | 1.04 ± 0.10 ab | 2.95 ± 0.29 a | 2913.66 ± 285.42 ab | 4127.94 ± 404.92 a |
| T5 | 0.98 ± 0.14 bc | 2.62 ± 0.16 ab | 2733.30 ± 387.90 bc | 3672.39 ± 380.54 ab |
| T6 | 0.80 ± 0.14 bc | 3.06 ± 0.25 a | 2226.44 ± 364.42 bc | 4281.86 ± 224.59 a |
| T7 | 0.69 ± 0.07 c | 2.99 ± 0.08 a | 1918.60 ± 203.53 c | 4179.24 ± 353.68 a |
| Years | Treatment | Fructose (mg/g) | Glucose (mg/g) | Sucrose (mg/g) | Total Content (mg/g) |
|---|---|---|---|---|---|
| 2020 | CK | 7.06 ± 0.43 ab | 9.50 ± 1.18 a | 0.04 ± 0.00 ab | 17.33 ± 1.73 a |
| T1 | 6.02 ± 0.65 b | 10.20 ± 0.46 a | 0.03 ± 0.00 b | 16.24 ± 1.07 ab | |
| T2 | 6.75 ± 0.25 ab | 9.24 ± 0.91 a | 0.05 ± 0.00 a | 15.50 ± 1.22 ab | |
| T3 | 6.38 ± 0.41 ab | 8.44 ± 1.03 a | 0.05 ± 0.00 a | 14.86 ± 1.37 ab | |
| T4 | 7.36 ± 0.23 a | 10.23 ± 1.00 a | 0.05 ± 0.01 a | 17.63 ± 1.21 a | |
| T5 | 6.72 ± 0.21 ab | 8.96 ± 0.88 a | 0.05 ± 0.01 a | 15.72 ± 1.04 ab | |
| T6 | 6.98 ± 0.24 ab | 9.79 ± 0.98 a | 0.05 ± 0.01 a | 16.82 ± 1.22 ab | |
| T7 | 6.27 ± 0.35 ab | 8.07 ± 0.86 a | 0.06 ± 0.00 a | 13.19 ± 1.13 b | |
| 2021 | CK | 8.65 ± 0.26 c | 7.17 ± 0.14 d | 0.06 ± 0.00 d | 15.88 ± 0.40 c |
| T1 | 9.02 ± 0.05 abc | 7.40 ± 0.12 d | 0.08 ± 0.01 abc | 16.50 ± 0.170 c | |
| T2 | 9.35 ± 0.10 ab | 7.27 ± 0.27 d | 0.09 ± 0.01 ab | 16.72 ± 0.31 bc | |
| T3 | 9.14 ± 0.20 abc | 7.17 ± 0.11 d | 0.07 ± 0.00 cd | 16.38 ± 0.31 c | |
| T4 | 8.47 ± 0.08 c | 8.65 ± 0.19 c | 0.09 ± 0.01 ab | 17.29 ± 0.20 bc | |
| T5 | 8.88 ± 0.39 abc | 8.97 ± 0.20 bc | 0.07 ± 0.00 bcd | 17.92 ± 0.58 b | |
| T6 | 8.69 ± 0.22 bc | 9.39 ± 0.25 b | 0.07 ± 0.00 bcd | 18.01 ± 0.55 b | |
| T7 | 9.51 ± 0.13 a | 10.12 ± 0.33 a | 0.10 ± 0.01 a | 19.64 ± 0.69 a |
| Years | Treatment | Palmitic Acid (μg/g) | Stearic Acid (μg/g) | Linoleic Acid (μg/g) | Linolenic Acid (μg/g) |
|---|---|---|---|---|---|
| 2020 | CK | 54.47 ± 2.78 ab | 29.37 ± 1.95 abc | 104.16 ± 1.46 cde | 139.64 ± 9.46 c |
| T1 | 47.73 ± 0.17 b | 19.87 ± 1.39 c | 85.26 ± 1.59 de | 118.60 ± 2.04 c | |
| T2 | 54.18 ± 2.32 ab | 23.26 ± 1.53 bc | 117.63 ± 9.23 bcd | 169.13 ± 8.35 bc | |
| T3 | 72.45 ± 17.95 ab | 51.17 ± 20.44 a | 69.14 ± 2.33 e | 106.79 ± 1.29 c | |
| T4 | 76.10 ± 6.13 a | 48.88 ± 10.87 ab | 180.07 ± 15.12 a | 255.74 ± 16.31 a | |
| T5 | 64.27 ± 5.90 ab | 38.98 ± 1.95 abc | 147.04 ± 19.49 abc | 224.18 ± 29.79 ab | |
| T6 | 73.29 ± 4.02 a | 45.67 ± 1.85 abc | 177.37 ± 13.45 a | 275.58 ± 26.54 a | |
| T7 | 64.24 ± 2.03 ab | 42.67 ± 1.41 abc | 158.01 ± 4.89 ab | 260.94 ± 5.17 a | |
| 2021 | CK | 181.89 ± 5.23 d | 60.60 ± 5.62 b | 185.21 ± 5.76 d | 407.39 ± 8.30 c |
| T1 | 190.43 ± 2.96 cd | 50.60 ± 1.70 b | 231.75 ± 13.19 b | 527.14 ± 26.09 b | |
| T2 | 190.24 ± 4.16 cd | 50.25 ± 1.87 b | 232.19 ± 5.90 b | 544.02 ± 13.98 ab | |
| T3 | 211.86 ± 9.12 b | 55.69 ± 3.40 b | 259.48 ± 9.38 a | 600.92 ± 25.72 a | |
| T4 | 192.42 ± 9.24 cd | 56.54 ± 8.04 b | 212.75 ± 5.78 bc | 511.87 ± 19.59 b | |
| T5 | 207.14 ± 3.83 bc | 54.10 ± 2.74 b | 234.89 ± 5.63 b | 588.98 ± 9.09 a | |
| T6 | 235.42 ± 2.96 a | 84.26 ± 2.85 a | 203.94 ± 6.73 cd | 487.88 ± 15.57 b | |
| T7 | 189.57 ± 0.26 cd | 53.94 ± 4.15 b | 212.56 ± 9.70 bc | 512.50 ± 24.67 b |
Disclaimer/Publisher’s Note: The statements, opinions and data contained in all publications are solely those of the individual author(s) and contributor(s) and not of MDPI and/or the editor(s). MDPI and/or the editor(s) disclaim responsibility for any injury to people or property resulting from any ideas, methods, instructions or products referred to in the content. |
© 2025 by the authors. Licensee MDPI, Basel, Switzerland. This article is an open access article distributed under the terms and conditions of the Creative Commons Attribution (CC BY) license (https://creativecommons.org/licenses/by/4.0/).
Share and Cite
Wang, R.; Wang, Z.; Liu, Z.; Zhang, T.; Chen, S. Effects of Different Proportions of Cattle Manure and Mushroom Residue on Yield and Quality of Cucumber Fruit. Plants 2025, 14, 1371. https://doi.org/10.3390/plants14091371
Wang R, Wang Z, Liu Z, Zhang T, Chen S. Effects of Different Proportions of Cattle Manure and Mushroom Residue on Yield and Quality of Cucumber Fruit. Plants. 2025; 14(9):1371. https://doi.org/10.3390/plants14091371
Chicago/Turabian StyleWang, Ruochen, Ziyi Wang, Zhaomei Liu, Tingting Zhang, and Shuxia Chen. 2025. "Effects of Different Proportions of Cattle Manure and Mushroom Residue on Yield and Quality of Cucumber Fruit" Plants 14, no. 9: 1371. https://doi.org/10.3390/plants14091371
APA StyleWang, R., Wang, Z., Liu, Z., Zhang, T., & Chen, S. (2025). Effects of Different Proportions of Cattle Manure and Mushroom Residue on Yield and Quality of Cucumber Fruit. Plants, 14(9), 1371. https://doi.org/10.3390/plants14091371

