Construction of a Green and Sustainable Cultivation Model for Annual Forage Oat in Alpine Ecosystems: Optimization and Synergistic Mechanisms of Combined Application of Microbial Fertilizers and Organic Fertilizers
Abstract
1. Introduction
- The synergistic application of microbial fertilizers and livestock manure organic fertilizers will enhance oat forage yield and nutritional quality by optimizing rhizosphere nutrient cycling and plant-microbe interactions;
- Soil quality in degraded alpine meadows can be improved by enhancing the soil microenvironment, increasing enzymatic activity, and promoting organic carbon sequestration;
- A green high-yield cultivation framework can be established by balancing oat yield enhancement with ecological sustainability.
2. Materials and Methods
2.1. Experimental Site Description
2.2. Experimental Materials
2.3. Experimental Design
2.4. Sample Collection and Determination
2.5. Data Analysis
3. Results
3.1. Effects of Microbial Fertilizer Treatments on Oat Plant Height, Stem Base Diameter, Total Root Length, Leaf Length, Leaf Width, and Leaf Area
3.2. Effects of Microbial Fertilizer Treatments on Photosynthetic Characteristics of Oats
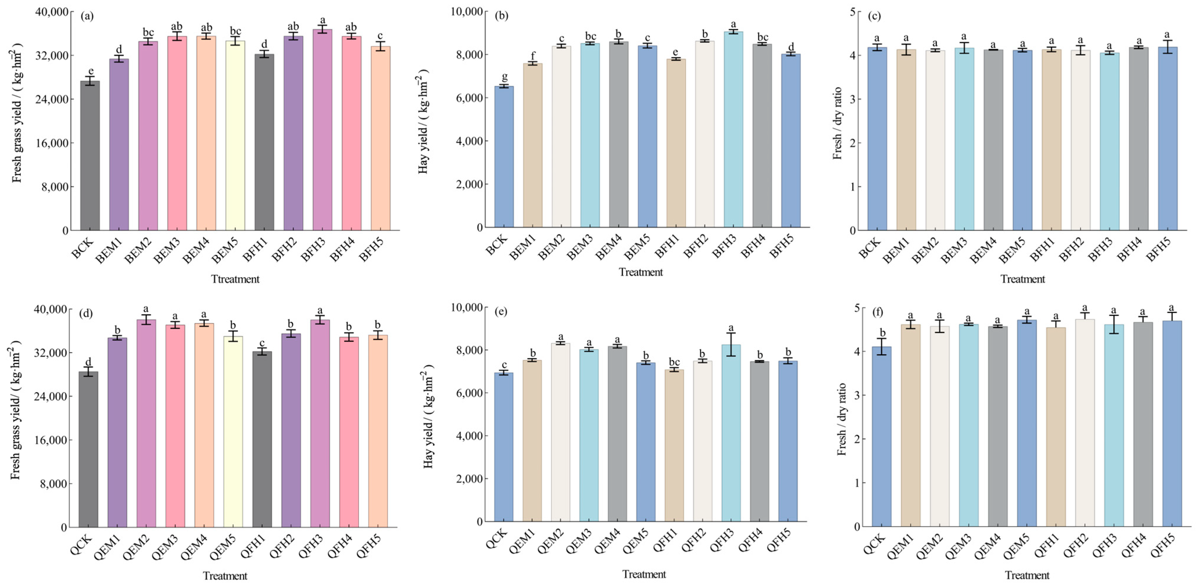
3.3. Effects of Microbial Fertilizer Treatments on Oat Forage Yield
3.4. Effects of Microbial Fertilizer Treatments on Nutritional Quality of Oat Forage
3.5. Effects of Microbial Fertilizer Treatments on Soil Nutrients in Oat Forage Fields
3.6. Effects of Microbial Fertilizer Treatments on Soil Enzyme Activity and pH in Oat Forage Fields
3.7. Correlation Analysis of Oat Parameters Under Different Microbial Fertilizer Treatments
3.8. Principal Component Analysis and Comprehensive Evaluation of Membership Function for Oat Parameters Under Different Microbial Fertilizer Treatments
4. Discussion
4.1. Synergistic Enhancement of Oat Growth and Development by Co-Application of Microbial Fertilizers and Livestock Manure Organic Fertilizer
4.2. Synergistic Enhancement of Oat Yield and Quality by Co-Application of Microbial Fertilizers and Livestock Manure Organic Fertilizer
4.3. Effects of Microbial Fertilizer and Livestock Manure Co-Application on Soil Environment in Oat Forage Fields
4.4. Optimization Strategies for Co-Application of Microbial Fertilizers and Livestock Manure Organic Fertilizer
5. Conclusions and Prospect
5.1. Conclusions
- For Avena sativa L. ‘Baiyan No.7’: apply 18.75 kg·ha−1 of effective microorganism fertilizer in combination with 18,000 kg·ha−1 of livestock manure organic fertilizer;
- For Avena sativa L. ‘Qingyin No.2’: apply 22.50 kg·ha−1 of compound microbial fertilizer in combination with 18,000 kg·ha−1 of livestock manure organic fertilizer.
5.2. Prospect
Author Contributions
Funding
Data Availability Statement
Conflicts of Interest
References
- Duan, L.X.; Ju, Z.L.; Ma, X.; Pan, J.; Mustafa, A.E.Z.M.A.; Jia, Z.F. Research on enhancing the yield and quality of oat forage: Optimization of nitrogen and organic fertilizer management strategies. Agronomy 2024, 14, 1406. [Google Scholar] [CrossRef]
- Chen, Y.Y. Estimation of Forage Supply and Demand Balance in Grassland Animal Husbandry in China and Research on the Development Potential of Regional Grass Husbandry. Ph.D. Thesis, Zhejiang University, Hangzhou, China, 2023. [Google Scholar] [CrossRef]
- Cai, Z.C.; Lu, L.Y.; Liu, Q.Q.; Li, F.Y.; Bao, S.C.; Zhang, H.R.; Chang, S.Y.; Shi, J.J. Effects of mixing Qingtian sweet 1 with leguminous forage grasses on the physicochemical properties of soils and the growth and development of forage grasses at high altitude. Grassl. Sci. 2025, 24, 1–18. [Google Scholar] [CrossRef]
- Liu, L.; Liang, G.; Liu, W. Differences in physicochemical properties of stems in oat (Avena sativa L.) varieties with distinct lodging resistance and their regulation of lodging at different planting densities. Plants 2019, 13, 2739. [Google Scholar] [CrossRef]
- Coblentz, W.K.; Akins, M.S.; Cavadini, J.S.; Jokela, W.E. Net effects of nitrogen fertilization on the nutritive value and digestibility of oat forages. J. Dairy Sci. 2017, 100, 1739–1750. [Google Scholar] [CrossRef]
- Augustine, K.O.; Johnathon, D.H.; Alan, J.S. Seeding rate and nitrogen application effects on oat forage yield and nutritive value. J. Plant Nutr. 2017, 42, 1452–1460. [Google Scholar] [CrossRef]
- Yang, J.; Zhou, Y.; Liu, S.Y.; Yang, D.Y.; Li, J.L.; Sun, L.; Cui, Z.H. The Effect of Oat Hay, Alfalfa Hay, and Their Combined Diets on the Morphology and Function of the Pancreas in Preweaning Yak Calves. Animals 2023, 13, 293. [Google Scholar] [CrossRef]
- Ren, S.Y.; Liu, Y.H.; Liu, Y.H.; Xu, M.W. Effects of composite microbial agents on plant growth and soil quality in degraded grassland. J. Ecol. 2025, 7, 1–12. [Google Scholar] [CrossRef]
- Schütz, L.; Gattinger, A.; Meier, M.; Müller, A.; Boller, T.; Mäder, P. Mathimaran Natarajan.Improving Crop Yield and Nutrient Use Efficiency via Biofertilization-A Global Meta-analysis. Front. Plant Sci. 2017, 8, 2204. [Google Scholar] [CrossRef]
- Ramírez-López, C.; Esparza-García, J.F.; Ferrera-Cerrato, R. Short-term effects of a photosynthetic microbial consortium and nitrogen fertilization on soil chemical properties, growth, and yield of wheat under greenhouse conditions. J. Appl. Phycol. 2019, 31, 3617–3624. [Google Scholar] [CrossRef]
- Gong, H.R.; Li, J.; Ma, J.H.; Li, F.D.; Ouyang, Z.; Gu, C.K. Effects of tillage practices and microbial agent applications on dry matter accumulation, yield and the soil microbial index of winter wheat in North China. Soil Tillage Res. 2018, 18, 235–242. [Google Scholar] [CrossRef]
- Shao, W.Q.; Dong, Q.j.; Li, C.Z.; Ji, L.; Dong, Y.B.; Zong, P.; Sun, C.M.; Chen, C.; Zhang, A.K. Effects of different exogenous substances on soil nutrients and crop yield in the Yellow River corridor area when straw is returned to the field. Southwest J. Agric. 2024, 37, 1715–1721. [Google Scholar] [CrossRef]
- Feng, F.F.; Yu, B.; Liu, Q.L.; Zhang, Y.L.; Liang, L.K.; Fang, X.L. Correlation analysis between amino acid content and ecological factors of Cordyceps sinensis. Southwest J. Agric. 2015, 28, 787–792. [Google Scholar] [CrossRef]
- Wang, X.; Zhang, Y.X.; Chen, W.D.; Lin, C.Y.; Hu, W.H.; Sri, G.L.; Cong, B.M. Influence of nitrogen fertiliser application on yield and photosynthetic fluorescence characteristics of different forage oat varieties. China Agric. Sci. Technol. Bull. 2022, 24, 170–179. [Google Scholar] [CrossRef]
- Dong, Z.X.; Gou, W.L.; Liu, Y.J.; Liu, B.Y.; Mou, H.P.; Tan, X.P.; Liu, W.; Lei, X.; Ma, X. Evaluation of production performance and nutritive value of 15 forage oat varieties in the Liangshan region. Grass Sci. 2024, 41, 2651–2663. [Google Scholar] [CrossRef]
- Bao, S.D. Soil Agrochemical Analysis, 3rd ed.; China Agricultural Press: Beijing, China, 1999. [Google Scholar]
- Gao, P.; Li, X.L.; Chai, Y.; Wang, C.H.; Li, C.Y.; Yang, P.N. Effects of sheep plate manure and bacterial fertilizer on the soil nutrient and enzyme activity of degenerate alpine meadow. China Soil Fertil. 2024, 11, 29–36. [Google Scholar] [CrossRef]
- Nguyen, Q.K.; Ngo, V.T.; Mach, K.N.; Ly, N.T.X.; Le, T.M.T.; Le, T.Q.; Ngo, T.P. Potency of endophytic nitrogen-fixing bacteria Burkholderia tropica L-VT08c and Enterobacter cloacae N-VT01 in improving soil fertility and pineapple yield on acid sulfate soil. Sci. Hortic. 2024, 331, 113153. [Google Scholar] [CrossRef]
- Lv, L.Y.; Duan, G.Z.; Su, C.F.; Guo, H.; Fan, G.H. Effects of Microbial Agents on Growth and Soil Properties of Lycium barbarum L. J. Shenyang Agric. Univ. 2022, 53, 476–482. [Google Scholar] [CrossRef]
- Marika, P.; Daniela, M.S.; Claudia, E.; del Maddalena, G. Allium cepa L. Inoculation with a Consortium of Plant Growth-Promoting Bacteria: Effects on Plant Growth and Development and Soil Fertility Status and Microbial Community. Proceedings 2021, 66, 20. [Google Scholar] [CrossRef]
- Song, X.C.; Liu, M.Q.; Wu, D.; Bryan, S.G.; Jiao, J.G.; Li, H.X.; Hu, F. Interaction matters: Synergy between vermicompost and PGPR agents improves soil quality, crop quality and crop yield in the field. Appl. Soil Ecol. 2015, 89, 25–34. [Google Scholar] [CrossRef]
- Ma, X.; Jia, Z.F.; Zhang, Y.C.; Zhang, R. Effects of bio-organic fertiliser on oat yield and soil fertility in alpine pastures of Qinghai. J. Grassl. 2019, 27, 1759–1765. [Google Scholar] [CrossRef]
- Ruth, L.M.; Emilee, C.R.; Kenyi, Q.; Lucero, H.; Sphyros, L.; Braulio, L.T.; Richard, S. Synergy Between Microbial Inoculants and Mineral Fertilization to Enhance the Yield and Nutritional Quality of Maize on the Peruvian Coast. Appl. Microbiol. 2024, 4, 1757–1775. [Google Scholar] [CrossRef]
- Zhao, J.X.; Yu, Y.T.; Zhou, Y.; Li, Y.M.; Fan, M.P. Effects of nitrogen replacement by organic fertiliser on maize yield and nitrogen uptake and use efficiency. Res. Soil Water Conserv. 2022, 29, 374–381. [Google Scholar] [CrossRef]
- Qi, Y.Q.; Liu, H.L.; Zhang, B.P.; Geng, M.X.; Cai, X.X.; Wang, J.H.; Wang, Y.P. Investigating the effect of microbial inoculants Frankia F1 on growth-promotion, rhizosphere soil physicochemical properties, and bacterial community of ginseng. Appl. Soil Ecol. 2022, 172, 104369. [Google Scholar] [CrossRef]
- Bibek, L.; Okram, R.D.; Rinjumoni, D.; Senthilkumar, T.; Girish, G. Dinesh Kumar Paliwal,Narinder Panotra,Akhtar Rasool.Plant-microbe interactions: PGPM as microbial inoculants/biofertilizers for sustaining crop productivity and soil fertility. Curr. Res. Microb. Sci. 2025, 8, 100333. [Google Scholar] [CrossRef]
- Li, X.; Kang, X.F.; Zou, J.Z.; Yin, J.H.; Wang, Y.C.; Li, A.; Ma, X.D. Allochthonous arbuscular mycorrhizal fungi promote Salix viminalis L.-mediated phytoremediation of polycyclic aromatic hydrocarbons characterized by increasing the release of organic acids and enzymes in soils. Ecotoxicol. Environ. Saf. 2023, 249, 114461. [Google Scholar] [CrossRef]
- Ma, J.L.; Qi, Y.J.; Han, L.P.; Ma, K.; Xie, T.N.; Ji, L.; Ma, J.Z.; Jia, B. Effects of different composite microbial agents on corn yield and economic benefits under drip irrigation fertilisation. J. Northwest Agric. For. Univ. Nat. Sci. Ed. 2025, 8, 1–13. [Google Scholar] [CrossRef]
- Gan, Y.W.; Feng, X.J.; Li, Y.H.; Yang, L.; Ning, P. Meta-analysis of the effect of microbial fertiliser application on maize yield in China. J. Plant Nutr. Fertil. 2023, 29, 2247–2257. [Google Scholar] [CrossRef]








| pH | EC/(μs·cm−1) | SOC/(g·kg−1) | TN/(g·kg−1) | TP/(g·kg−1) | TK/(g·kg−1) | AN/(mg·kg−1) | AP/(mg·kg−1) | AK/(mg·kg−1) |
|---|---|---|---|---|---|---|---|---|
| 8.87 | 705 | 34.21 | 3.33 | 1.52 | 20.84 | 177.6 | 34.11 | 395.55 |
| Treatment | Types of Microbial Agents Microbial Bacterial Fertilizer Types | Application Amount of Microbial Bacterial Fertilizer/(kg·hm−2) | Application Amount of Microbial Bacterial Fertilizer in the Experimental Plot/(g) | Application Amount of Cattle and Sheep Manure in the Experimental Plot/(g) |
|---|---|---|---|---|
| BCK, QCK | __ | __ | __ | 21,600 |
| BEM1, QEM1 | Effective microbial fertilizer | 7.50 | 9.00 | 21,600 |
| BEM2, QEM2 | Effective microbial fertilizer | 11.25 | 13.50 | 21,600 |
| BEM3, QEM3 | Effective microbial fertilizer | 15.00 | 14.00 | 21,600 |
| BEM4, QEM4 | Effective microbial fertilizer | 18.75 | 22.48 | 21,600 |
| BEM5, QEM5 | Effective microbial fertilizer | 22.50 | 26.98 | 21,600 |
| BFH1, QFH1 | Compound microbial fertilizer | 7.50 | 7.00 | 21,600 |
| BFH2, QFH2 | Compound microbial fertilizer | 15.00 | 18.00 | 21,600 |
| BFH3, QFH3 | Compound microbial fertilizer | 22.50 | 26.98 | 21,600 |
| BFH4, QFH4 | Compound microbial fertilizer | 30.00 | 35.98 | 21,600 |
| BFH5, QFH5 | Compound microbial fertilizer | 37.50 | 45.00 | 21,600 |
| Treatment | SPAD | Pn | Ci | Tr | Gs |
|---|---|---|---|---|---|
| /(μmol·m−2·s−1) | /(μmol·mol−1) | /(mmol·m−2·s−1) | /(mmol·m−2·s−1) | ||
| BCK | 41.83 ± 2.85 e | 10.17 ± 0.09 f | 359.67 ± 8.08 e | 2.65 ± 0.06 f | 213.33 ± 5.51 d |
| BEM1 | 48.33 ± 2.60 d | 11.06 ± 0.52 e | 380.67 ± 11.93 de | 3.01 ± 0.09 e | 262.00 ± 14.18 c |
| BEM2 | 54.51 ± 1.93 abc | 12.77 ± 0.25 d | 396 ± 13.08 bcd | 3.30 ± 0.07 d | 303.67 ± 16.17 b |
| BEM3 | 59.19 ± 0.75 ab | 14.10 ± 0.38 bc | 417.33 ± 13.65 bc | 3.69 ± 0.06 abc | 333.00 ± 7.21 b |
| BEM4 | 60.37 ± 2.87 a | 14.46 ± 0.32 ab | 424.67 ± 12.34 ab | 3.88 ± 0.08 a | 369.67 ± 14.05 a |
| BEM5 | 57.81 ± 3.56 ab | 14.86 ± 0.36 a | 403.00 ± 7.00 bcd | 3.78 ± 0.09 ab | 321.00 ± 12.49 b |
| BFH1 | 50.34 ± 1.28 cd | 11.04 ± 0.28 e | 375.00 ± 8.72 de | 3.12 ± 0.08 e | 270.67 ± 14.29 c |
| BFH2 | 53.18 ± 1.70 bcd | 12.84 ± 0.28 d | 394.33 ± 14.74 cd | 3.53 ± 0.17 c | 304.33 ± 10.02 b |
| BFH3 | 61.19 ± 3.87 a | 13.83 ± 0.2 bc | 443.00 ± 10.58 a | 3.70 ± 0.09 abc | 333.00 ± 10.44 b |
| BFH4 | 58.79 ± 2.36 ab | 13.72 ± 0.32 c | 399.33 ± 15.31 bcd | 3.60 ± 0.09 abc | 328.00 ± 14.8 b |
| BFH5 | 56.36 ± 3.54 abc | 13.56 ± 0.40 c | 397.00 ± 6.00 bcd | 3.66 ± 0.06 abc | 320.67 ± 5.51 b |
| Treatment | SPAD | Pn | Ci | Tr | Gs |
|---|---|---|---|---|---|
| /(μmol·m−2·s−1) | /(μmol·mol−1) | /(mmol·m−2·s−1) | /(mmol·m−2·s−1) | ||
| QCK | 46.05 ± 1.84 c | 10.85 ± 0.15 g | 367.33 ± 4.04 e | 2.82 ± 0.07 d | 230.67 ± 7.37 g |
| QEM1 | 49.81 ± 3.97 c | 11.54 ± 0.47 f | 362.67 ± 16.86 e | 2.80 ± 0.12 d | 263.00 ± 16.64 f |
| QEM2 | 55.91 ± 2.03 b | 12.61 ± 0.44 e | 379.00 ± 6.25 de | 3.04 ± 0.16 cd | 299.67 ± 14.74 e |
| QEM3 | 58.74 ± 2.84 b | 13.53 ± 0.32 cd | 403.00 ± 9.17 cd | 3.35 ± 0.20 bc | 330.67 ± 6.51 d |
| QEM4 | 59.70 ± 2.35 b | 14.11 ± 0.41 abc | 456.67 ± 16.26 a | 3.73 ± 0.09 ab | 342.00 ± 11.36 cd |
| QEM5 | 59.16 ± 3.31 b | 13.98 ± 0.29 bc | 404.67 ± 8.5 cd | 3.05 ± 0.53 cd | 346.67 ± 5.13 bcd |
| QFH1 | 45.56 ± 3.48 c | 12.97 ± 0.39 de | 399.67 ± 13.32 cd | 3.28 ± 0.09 cd | 292.67 ± 15.95 e |
| QFH2 | 59.18 ± 4.34 b | 14.29 ± 0.61 abc | 439.33 ± 11.59 ab | 3.78 ± 0.07 ab | 349.33 ± 13.58 bcd |
| QFH3 | 68.04 ± 1.50 a | 14.65 ± 0.41 ab | 424.00 ± 15.72 bc | 3.97 ± 0.05 a | 369.67 ± 9.07 ab |
| QFH4 | 61.06 ± 4.62 b | 14.97 ± 0.19 a | 436.00 ± 7.81 ab | 3.87 ± 0.16 a | 365.33 ± 8.96 abc |
| QFH5 | 61.11 ± 4.18 b | 14.57 ± 0.21 ab | 432.00 ± 13.45 ab | 3.77 ± 0.11 ab | 383.67 ± 8.33 a |
| Treatment | CP/(%) | EE/(%) | SS/(%) | ADF/(%) | NDF/(%) | TDN/(%) |
|---|---|---|---|---|---|---|
| BCK | 8.28 ± 0.07 d | 3.01 ± 0.10 e | 10.96 ± 0.10 f | 35.34 ± 0.25 a | 42.33 ± 0.38 a | 55.82 ± 0.19 e |
| BEM1 | 8.97 ± 0.20 c | 3.26 ± 0.06 e | 11.95 ± 0.22 cde | 34.52 ± 0.75 ab | 40.2 ± 0.68 b | 56.44 ± 0.57 de |
| BEM2 | 9.47 ± 0.33 b | 3.65 ± 0.18 d | 12.17 ± 0.19 c | 33.52 ± 0.65 abc | 39.5 ± 0.61 bc | 57.19 ± 0.48 cde |
| BEM3 | 10.6 ± 0.28 a | 4.00 ± 0.27 cd | 12.70 ± 0.27 b | 32.98 ± 0.43 bcd | 38.05 ± 1.25 cd | 57.59 ± 0.33 bcd |
| BEM4 | 11.02 ± 0.21 a | 4.70 ± 0.19 a | 13.63 ± 0.58 a | 30.71 ± 0.66 e | 36.12 ± 0.23 d | 59.30 ± 0.50 a |
| BEM5 | 10.87 ± 0.14 a | 4.43 ± 0.21 ab | 13.82 ± 0.2 a | 31.16 ± 1.08 de | 36.89 ± 0.58 d | 58.96 ± 0.82 ab |
| BFH1 | 8.13 ± 0.09 d | 3.64 ± 0.10 d | 11.49 ± 0.1 de | 34.70 ± 1.34 ab | 43.05 ± 1.07 a | 56.31 ± 1.01 de |
| BFH2 | 8.99 ± 0.30 c | 3.92 ± 0.15 cd | 11.40 ± 0.04 e | 32.74 ± 1.11 bcd | 39.72 ± 1.12 bc | 57.78 ± 0.83 bcd |
| BFH3 | 10.73 ± 0.30 a | 4.33 ± 0.18 bc | 12.06 ± 0.23 cd | 32.06 ± 0.94 cde | 36.66 ± 1.27 d | 58.28 ± 0.71 abc |
| BFH4 | 10.65 ± 0.15 a | 3.97 ± 0.11 cd | 11.99 ± 0.22 cde | 33.06 ± 0.8 bcd | 38.01 ± 0.48 cd | 57.54 ± 0.6 bcd |
| BFH5 | 10.47 ± 0.29 a | 3.98 ± 0.25 cd | 11.91 ± 0.17 cde | 33.18 ± 0.7 bcd | 39.06 ± 0.51 bc | 57.44 ± 0.53 bcd |
| Treatment | CP/(%) | EE/(%) | SS/(%) | ADF/(%) | NDF/(%) | TDN/(%) |
|---|---|---|---|---|---|---|
| QCK | 9.03 ± 0.23 f | 2.54 ± 0.10 d | 12.30 ± 0.16 f | 33.48 ± 0.38 ab | 46.18 ± 1.61 a | 57.21 ± 0.28 bc |
| QEM1 | 9.25 ± 0.26 f | 2.51 ± 0.04 d | 12.75 ± 0.34 f | 33.37 ± 0.17 ab | 42.78 ± 1.46 b | 57.30 ± 0.13 c |
| QEM2 | 9.19 ± 0.17 f | 2.99 ± 0.22 c | 13.44 ± 0.14 e | 33.63 ± 0.20 a | 46.57 ± 0.86 a | 57.1 ± 0.15 bc |
| QEM3 | 9.78 ± 0.28 ef | 3.41 ± 0.07 ab | 13.92 ± 0.24 de | 31.78 ± 1.19 abc | 40.41 ± 0.25 bc | 58.5 ± 0.90 abc |
| QEM4 | 11.10 ± 0.75 bc | 3.45 ± 0.23 ab | 14.52 ± 0.38 bcd | 30.78 ± 0.94 c | 41.75 ± 1.27 bc | 59.25 ± 0.71 a |
| QEM5 | 10.94 ± 0.14 bc | 3.35 ± 0.08 b | 14.18 ± 0.08 bcde | 31.58 ± 1.49 bc | 42.85 ± 0.70 b | 58.64 ± 1.12 ab |
| QFH1 | 10.09 ± 0.23 de | 2.88 ± 0.12 c | 13.98 ± 0.28 cde | 32.21 ± 0.98 abc | 41.32 ± 1.24 bc | 58.18 ± 0.74 abc |
| QFH2 | 10.78 ± 0.46 bcd | 3.26 ± 0.08 b | 14.96 ± 0.40 ab | 31.04 ± 1.25 c | 41.21 ± 1.07 bc | 59.05 ± 0.94 a |
| QFH3 | 12.57 ± 0.34 a | 3.74 ± 0.25 a | 15.58 ± 0.33 a | 30.15 ± 1.14 c | 39.42 ± 1.71 c | 59.73 ± 0.85 a |
| QFH4 | 11.55 ± 0.31 b | 3.52 ± 0.15 ab | 14.90 ± 0.6 abc | 31.30 ± 1.73 c | 39.89 ± 0.92 bc | 58.86 ± 1.30 a |
| QFH5 | 10.53 ± 0.42 cd | 3.56 ± 0.08 ab | 14.54 ± 0.73 bcd | 30.70 ± 1.05 c | 41.88 ± 0.56 bc | 59.31 ± 0.79 a |
| Treatment | SOC/(g·kg−1) | TN/(g·kg−1) | TP/(g·kg−1) | TK/(g·kg−1) | AN/(mg·kg−1) | AP/(mg·kg−1) | AK/(mg·kg−1) |
|---|---|---|---|---|---|---|---|
| BCK | 33.42 ± 1.41 c | 3.35 ± 0.17 d | 1.49 ± 0.07 d | 21.51 ± 1.40 c | 182.94 ± 9.71 f | 33.83 ± 0.76 f | 404.67 ± 17.54 e |
| BEM1 | 37.82 ± 1.05 b | 3.36 ± 0.09 d | 1.65 ± 0.08 c | 23.10 ± 1.06 bc | 230.13 ± 15.45 cd | 37.90 ± 0.65 e | 426.94 ± 5.95 cd |
| BEM2 | 40.26 ± 1.80 ab | 3.53 ± 0.09 cd | 1.77 ± 0.03 b | 23.09 ± 0.89 bc | 221.56 ± 4.45 de | 45.91 ± 0.65 abc | 422.11 ± 10.55 d |
| BEM3 | 40.76 ± 1.42 ab | 3.78 ± 0.17 bcd | 1.89 ± 0.11 ab | 24.45 ± 0.51 b | 252.59 ± 4.06 b | 46.33 ± 0.60 abc | 452.01 ± 3.57 ab |
| BEM4 | 41.11 ± 2.00 ab | 4.18 ± 0.09 ab | 1.88 ± 0.07 ab | 27.47 ± 0.35 a | 278.12 ± 8.81 a | 46.21 ± 2.06 abc | 464.66 ± 14.14 a |
| BEM5 | 41.2 ± 0.42 ab | 4.04 ± 0.17 abc | 1.83 ± 0.07 abc | 27.64 ± 0.71 a | 270.78 ± 6.04 a | 44.28 ± 0.56 c | 462.82 ± 6.73 a |
| BFH1 | 39.41 ± 0.92 ab | 3.65 ± 0.10 cd | 1.73 ± 0.08 bc | 20.88 ± 2.01 c | 205.44 ± 14.01 e | 41.11 ± 1.33 d | 431.08 ± 8.52 bcd |
| BFH2 | 38.02 ± 0.38 b | 4.36 ± 0.46 a | 1.88 ± 0.05 ab | 22.92 ± 1.91 bc | 218.94 ± 5.24 de | 39.20 ± 0.65 e | 461.7 ± 6.22 a |
| BFH3 | 43.06 ± 1.00 a | 4.34 ± 0.31 a | 1.98 ± 0.05 a | 25.65 ± 0.08 ab | 246.39 ± 8.95 bc | 47.95 ± 0.40 a | 456.71 ± 5.72 b |
| BFH4 | 42.82 ± 1.06 a | 4.01 ± 0.18 abc | 1.89 ± 0.11 ab | 25.16 ± 0.32 ab | 225.01 ± 3.74 de | 47.42 ± 0.95 ab | 450.72 ± 9.50 ab |
| BFH5 | 42.14 ± 2.05 a | 3.95 ± 0.10 abc | 1.92 ± 0.06 ab | 25.02 ± 1.00 ab | 238.47 ± 6.48 bcd | 45.38 ± 0.17 bc | 444.23 ± 4.04 abc |
| Treatment | SOC/(g·kg−1) | TN/(g·kg−1) | TP/(g·kg−1) | TK/(g·kg−1) | AN/(mg·kg−1) | AP/(mg·kg−1) | AK/(mg·kg−1) |
|---|---|---|---|---|---|---|---|
| QCK | 32.89 ± 2.11 d | 3.26 ± 0.22 c | 1.55 ± 0.08 c | 23.02 ± 0.70 e | 173.11 ± 4.51 d | 34.90 ± 2.23 e | 398.12 ± 16.96 d |
| QEM1 | 38.21 ± 1.25 bc | 3.55 ± 0.06 bc | 1.67 ± 0.07 bc | 26.01 ± 0.46 bcd | 184.58 ± 13.14 d | 40.31 ± 0.59 cd | 428.94 ± 7.63 c |
| QEM2 | 43.96 ± 0.44 a | 4.07 ± 0.12 a | 1.86 ± 0.01 ab | 25.51 ± 0.76 cd | 252.91 ± 18.1 abc | 43.28 ± 0.73 abc | 441.90 ± 8.23 bc |
| QEM3 | 40.44 ± 2.73 ab | 4.21 ± 0.15 a | 1.87 ± 0.05 ab | 29.48 ± 1.38 a | 257.76 ± 6.04 ab | 41.47 ± 0.73 cd | 473.06 ± 5.83 a |
| QEM4 | 41.51 ± 1.43 ab | 4.04 ± 0.14 a | 1.83 ± 0.02 ab | 24.37 ± 2.30 de | 240.75 ± 3.36 bc | 42.6 ± 1.11 abc | 470.31 ± 5.54 a |
| QEM5 | 40.55 ± 1.96 ab | 4.12 ± 0.07 a | 1.82 ± 0.15 ab | 24.68 ± 0.65 de | 242.42 ± 8.95 bc | 42.17 ± 1.90 bcd | 459.96 ± 19.00 ab |
| QFH1 | 35.25 ± 1.89 cd | 3.54 ± 0.21 bc | 1.63 ± 0.04 c | 26.50 ± 1.07 bcd | 190.08 ± 8.02 d | 39.54 ± 0.55 d | 430.1 ± 3.76 c |
| QFH2 | 38.37 ± 3.22 bc | 3.87 ± 0.08 ab | 1.82 ± 0.09 ab | 27.28 ± 0.43 abc | 228.38 ± 14.22 c | 39.51 ± 0.66 d | 428.64 ± 12.33 c |
| QFH3 | 38.23 ± 0.75 bc | 3.78 ± 0.16 ab | 1.84 ± 0.09 ab | 27.92 ± 0.47 abc | 251.72 ± 7.51 abc | 42.93 ± 1.05 abc | 435.21 ± 3.17 bc |
| QFH4 | 40.11 ± 0.23 ab | 4.07 ± 0.26 a | 1.90 ± 0.09 a | 28.26 ± 1.24 ab | 271.81 ± 3.53 a | 45.40 ± 0.33 a | 442.47 ± 10.62 bc |
| QFH5 | 39.86 ± 1.04 ab | 4.03 ± 0.17 a | 1.87 ± 0.09 ab | 28.39 ± 0.6 ab | 274.73 ± 14.08 a | 45.00 ± 0.60 ab | 441.76 ± 4.56 bc |
Disclaimer/Publisher’s Note: The statements, opinions and data contained in all publications are solely those of the individual author(s) and contributor(s) and not of MDPI and/or the editor(s). MDPI and/or the editor(s) disclaim responsibility for any injury to people or property resulting from any ideas, methods, instructions or products referred to in the content. |
© 2025 by the authors. Licensee MDPI, Basel, Switzerland. This article is an open access article distributed under the terms and conditions of the Creative Commons Attribution (CC BY) license (https://creativecommons.org/licenses/by/4.0/).
Share and Cite
Cai, Z.; Shi, J.; Lv, L.; Gao, P.; Zhang, H.; Li, F.; Fu, S.; Liu, Q.; Bao, S. Construction of a Green and Sustainable Cultivation Model for Annual Forage Oat in Alpine Ecosystems: Optimization and Synergistic Mechanisms of Combined Application of Microbial Fertilizers and Organic Fertilizers. Plants 2025, 14, 1271. https://doi.org/10.3390/plants14091271
Cai Z, Shi J, Lv L, Gao P, Zhang H, Li F, Fu S, Liu Q, Bao S. Construction of a Green and Sustainable Cultivation Model for Annual Forage Oat in Alpine Ecosystems: Optimization and Synergistic Mechanisms of Combined Application of Microbial Fertilizers and Organic Fertilizers. Plants. 2025; 14(9):1271. https://doi.org/10.3390/plants14091271
Chicago/Turabian StyleCai, Zongcheng, Jianjun Shi, Liangyu Lv, Pei Gao, Hairong Zhang, Fayi Li, Shouquan Fu, Qingqing Liu, and Shancun Bao. 2025. "Construction of a Green and Sustainable Cultivation Model for Annual Forage Oat in Alpine Ecosystems: Optimization and Synergistic Mechanisms of Combined Application of Microbial Fertilizers and Organic Fertilizers" Plants 14, no. 9: 1271. https://doi.org/10.3390/plants14091271
APA StyleCai, Z., Shi, J., Lv, L., Gao, P., Zhang, H., Li, F., Fu, S., Liu, Q., & Bao, S. (2025). Construction of a Green and Sustainable Cultivation Model for Annual Forage Oat in Alpine Ecosystems: Optimization and Synergistic Mechanisms of Combined Application of Microbial Fertilizers and Organic Fertilizers. Plants, 14(9), 1271. https://doi.org/10.3390/plants14091271

