False Seedbed and Stale Seedbed Against Important Broadleaf Weeds: A Case Study and a Step Closer to Agroecology
Abstract
1. Introduction
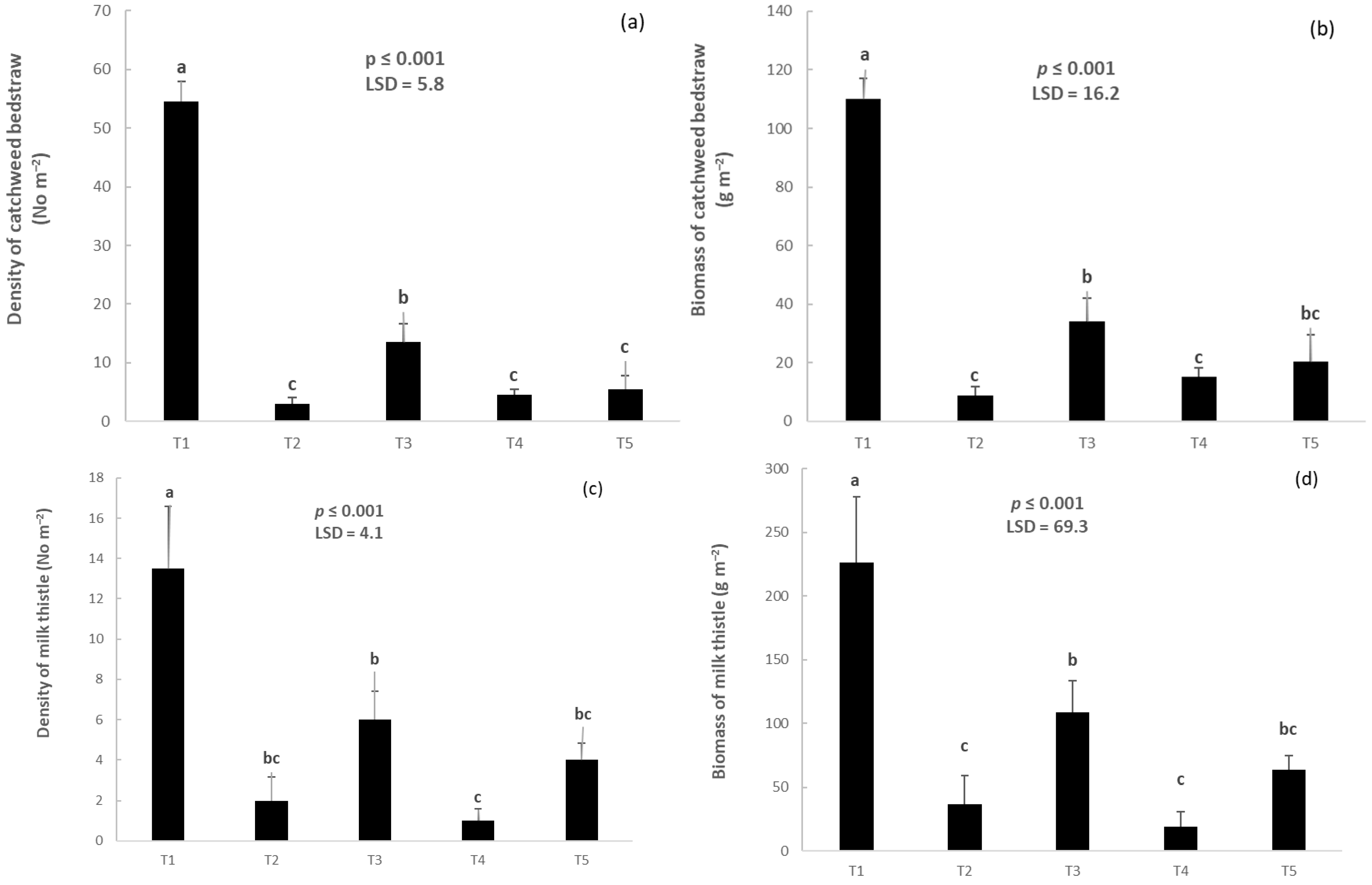
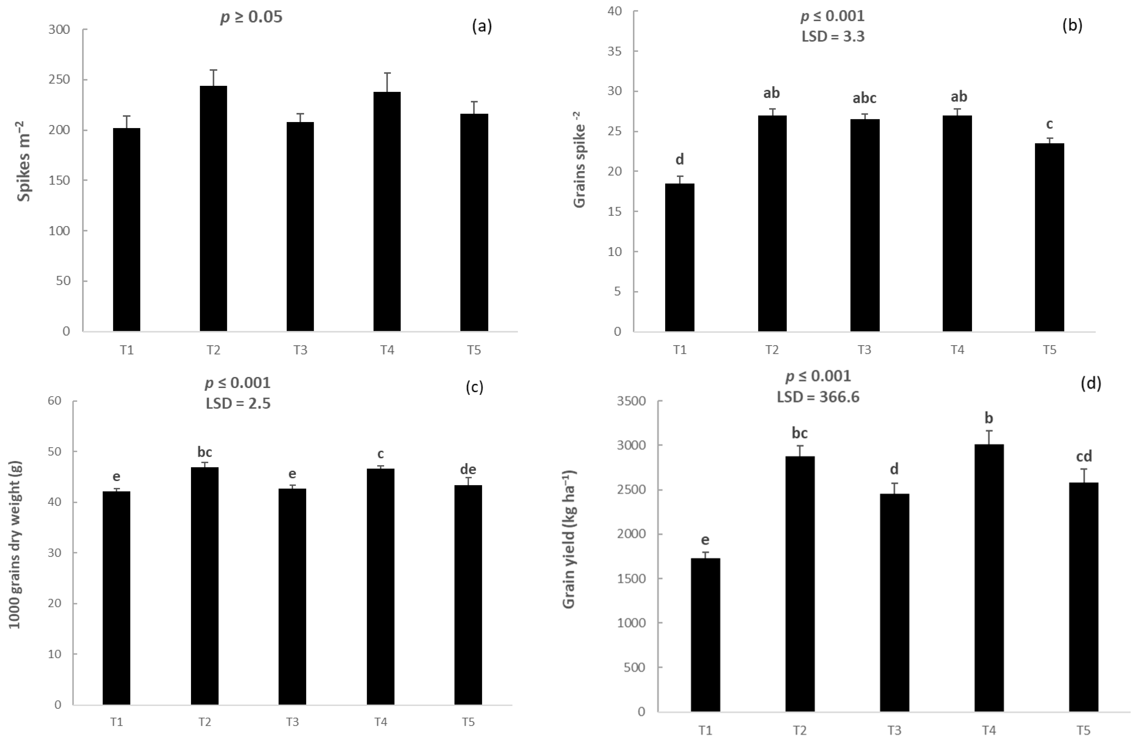
2. Results
3. Discussion
4. Materials and Methods
5. Conclusions
Author Contributions
Funding
Data Availability Statement
Conflicts of Interest
References
- Oerke, E.C. Crop losses to pests. J. Agric. Sci. 2006, 144, 31–43. [Google Scholar] [CrossRef]
- Jabran, K.; Mahmood, K.; Melander, B.; Bajwa, A.A.; Kudsk, P. Chapter three—Weed dynamics and management in wheat. Adv. Agron. 2017, 145, 97–166. [Google Scholar]
- Dayan, F.E. Current status and future prospects in herbicide discovery. Plants 2019, 8, 341. [Google Scholar] [CrossRef] [PubMed]
- Fernandez-Cornejo, J.; Wechsler, S.J.; Livingston, M.; Mitchell, L. Genetically Engineered Crops in the United States; Department of Agriculture-Economic Research Service: Washington, DC, USA, 2014. [Google Scholar]
- Ofosu, R.; Agyemang, E.D.; Márton, A.; Pásztor, G.; Taller, J.; Kazinczi, G. Herbicide resistance: Managing weeds in a changing world. Agronomy 2023, 13, 1595. [Google Scholar] [CrossRef]
- Travlos, I.S.; Giannopolitis, C.N.; Economou, G. Diclofop resistance in sterile wild oat (Avena sterilis L.) in wheat fields in Greece and its management by other post-emergence herbicides. Crop Prot. 2011, 30, 1449–1454. [Google Scholar] [CrossRef]
- Kanatas, P.; Antonopoulos, N.; Gazoulis, I.; Travlos, I.S. Screening glyphosate-alternative weed control options in important perennial crops. Weed Sci. 2021, 69, 704–718. [Google Scholar] [CrossRef]
- Pavlović, D.; Vrbničanin, S.; Anđelković, A.; Božić, D.; Rajković, M.; Malidža, G. Non-chemical weed control for plant health and environment: Ecological Integrated Weed Management (EIWM). Agronomy 2022, 12, 1091. [Google Scholar] [CrossRef]
- Kanatas, P.J.; Travlos, I.S.; Gazoulis, J.; Antonopoulos, N.; Tsekoura, A.; Tataridas, A.; Travlos, I.S. The combined effects of false seedbed technique, post-emergence chemical control and cultivar on weed management and yield of barley in Greece. Phytoparasitica 2020, 48, 131–143. [Google Scholar] [CrossRef]
- De Cauwer, B.; De Cuypere, T.; De Ryck, S.; Delanote, L.; DeWaele, K.; Willekens, K.; Reheul, D. Reduction in field emergence and seedbank density of Galinsoga quadriradiata and other weeds after contrasting false seedbed strategies in organic vegetable fields. Weed Res. 2019, 59, 265–278. [Google Scholar] [CrossRef]
- Merfield, C.N. False and stale seedbeds: The most effective non-chemical weed management tools for cropping and pasture establishment. FFC Bull. 2015, 4, 25. [Google Scholar]
- Travlos, I.; Gazoulis, I.; Kanatas, P.; Tsekoura, A.; Zannopoulos, S.; Papastylianou, P. Key factors affecting weed seeds’ germination, weed emergence, and their possible role for the efficacy of false seedbed technique as weed management practice. Front. Agron. 2020, 2, 1. [Google Scholar] [CrossRef]
- Benech-Arnold, R.L.; Sánchez, R.A.; Forcella, F.; Kruk, B.C.; Ghersa, C.M. Environmental control of dormancy in weed seed soil banks. Field Crops Res. 2000, 67, 105–122. [Google Scholar] [CrossRef]
- Batlla, D.; Kruk, B.C.; Benech-Arnold, R.I. Modelling changes in dormancy in weed soil seed banks: Implications for the prediction of weed emergence. In Handbook of Seed Physiology: Applications to Agriculture; Benech-Arnold, R.L., Sánchez, R.A., Eds.; Haworth Press: New York, NY, USA, 2004; pp. 245–264. [Google Scholar]
- Sindhu, P.V.; Thomas, C.G.; Abraham, C.T. Seed bed manipulations for weed management in wet seeded rice. Ind. J. Weed Sci. 2010, 42, 173–179. [Google Scholar]
- Dogan, M.N.; Unay, A.; Boz, O.; Ogut, D. Effect of pre-sowing and pre-emergence glyphosate applications on weeds in stale seedbed cotton. Crop Prot. 2009, 28, 503–507. [Google Scholar] [CrossRef]
- Rasmussen, I.A. The effect of sowing date, stale seedbed, row width and mechanical weed control on weeds and yields of organic winter wheat. Weed Res. 2004, 44, 12–20. [Google Scholar] [CrossRef]
- Douds, D.D.; Lee, J.; McKeever, L.; Duffield, R.; Ziegler-Ulsh, C.; Moyer, J. Stale seedbed technique for weed control negatively impacts the indigenous AM fungal population. Biol. Agric. Hortic. 2018, 34, 199–210. [Google Scholar] [CrossRef]
- Gazoulis, I.; Kanatas, P.; Antonopoulos, N.; Tataridas, A.; Travlos, I. False seedbed for agroecological weed management in forage cereal–legume intercrops and monocultures in Greece. Agronomy 2023, 13, 123. [Google Scholar] [CrossRef]
- Gazoulis, I.; Kanatas, P.; Zannopoulos, S.; Kokkini, M.; Kontogeorgou, V.; Antonopoulos, N.; Travlos, I. Agroecology and beyond: Enhancing ecosystem services provided by natural vegetation and inventing “service weeds”. Front. Plant Sci. 2024, 15, 1436310. [Google Scholar] [CrossRef]
- Pannacci, E.; Lattanzi, B.; Tei, F. Non-chemical weed management strategies in minor crops: A review. Crop Prot. 2017, 96, 44–58. [Google Scholar] [CrossRef]
- Mishra, J.S.; Kumar, R.; Mondal, S.; Poonia, S.P.; Rao, K.K.; Dubey, R.; Raman, R.K.; Dwivedi, S.K.; Kumar, R.; Saurabh, K.; et al. Tillage and crop establishment effects on weeds and productivity of a rice-wheat-mungbean rotation. Field Crops Res. 2022, 284, 108577. [Google Scholar] [CrossRef]
- Cloutier, D.C.; van der Weide, R.Y.; Peruzzi, A.; Leblanc, M.L. Mechanical weed management. In Non-Chemical Weed Management: Principles, Concepts and Technology; Upadhyaya, M.K., Blackshaw, R.E., Eds.; CAB Intl.: Cambridge, MA, USA, 2007; pp. 111–134. [Google Scholar]
- Benvenuti, S.; Selvi, M.; Mercati, S.; Cardinali, G.; Mercati, V.; Mazzoncini, M. Stale seedbed preparation for sustainable weed seed bank management in organic cropping systems. Sci. Hortic. 2021, 289, 110453. [Google Scholar] [CrossRef]
- Schutte, B.J.; Sanchez, A.D.; Beck, L.L.; Idown, O.J. False seedbeds reduce labor requirements for weeding in Chile pepper. HortTechnology 2021, 31, 64–73. [Google Scholar] [CrossRef]
- Andert, S.; Ziesemer, A.; de Mol, F. The link between farmers’ sowing date and herbicide management. Crop Prot. 2024, 178, 106571. [Google Scholar] [CrossRef]





| Year | Month | Average Temperature (°C) | Maximum Temperature (°C) | Minimum Temperature (°C) | Monthly Precipitation (mm) |
|---|---|---|---|---|---|
| 2023 | October | 16.2 | 25.3 | 9.6 | 105.1 |
| November | 11.2 | 19.4 | 5.4 | 54.2 | |
| December | 7.3 | 13.4 | 2.4 | 46.6 | |
| 2024 | January | 6.2 | 11.7 | 0.6 | 31.6 |
| February | 7.1 | 13.6 | 1.5 | 40.0 | |
| March | 10.1 | 15.2 | 3.1 | 38.2 | |
| April | 13.1 | 21.1 | 6.6 | 29.0 | |
| May | 18.8 | 26.3 | 9.8 | 35.2 | |
| June | 24.3 | 31.3 | 14.6 | 24.0 |
Disclaimer/Publisher’s Note: The statements, opinions and data contained in all publications are solely those of the individual author(s) and contributor(s) and not of MDPI and/or the editor(s). MDPI and/or the editor(s) disclaim responsibility for any injury to people or property resulting from any ideas, methods, instructions or products referred to in the content. |
© 2025 by the authors. Licensee MDPI, Basel, Switzerland. This article is an open access article distributed under the terms and conditions of the Creative Commons Attribution (CC BY) license (https://creativecommons.org/licenses/by/4.0/).
Share and Cite
Kanatas, P.; Gazoulis, I.; Petraki, D.; Kokkini, M.; Antonopoulos, N.; Travlos, I. False Seedbed and Stale Seedbed Against Important Broadleaf Weeds: A Case Study and a Step Closer to Agroecology. Plants 2025, 14, 564. https://doi.org/10.3390/plants14040564
Kanatas P, Gazoulis I, Petraki D, Kokkini M, Antonopoulos N, Travlos I. False Seedbed and Stale Seedbed Against Important Broadleaf Weeds: A Case Study and a Step Closer to Agroecology. Plants. 2025; 14(4):564. https://doi.org/10.3390/plants14040564
Chicago/Turabian StyleKanatas, Panagiotis, Ioannis Gazoulis, Dimitra Petraki, Metaxia Kokkini, Nikolaos Antonopoulos, and Ilias Travlos. 2025. "False Seedbed and Stale Seedbed Against Important Broadleaf Weeds: A Case Study and a Step Closer to Agroecology" Plants 14, no. 4: 564. https://doi.org/10.3390/plants14040564
APA StyleKanatas, P., Gazoulis, I., Petraki, D., Kokkini, M., Antonopoulos, N., & Travlos, I. (2025). False Seedbed and Stale Seedbed Against Important Broadleaf Weeds: A Case Study and a Step Closer to Agroecology. Plants, 14(4), 564. https://doi.org/10.3390/plants14040564

