Improving Soybean Development and Grain Yield by Complementary Inoculation with Growth-Promoting Bacteria Azospirillum, Pseudomonas, Priestia, and Bacillus
Abstract
1. Introduction
2. Results
2.1. Chlorophyll Content Index (SPAD) in Response to Bioinputs
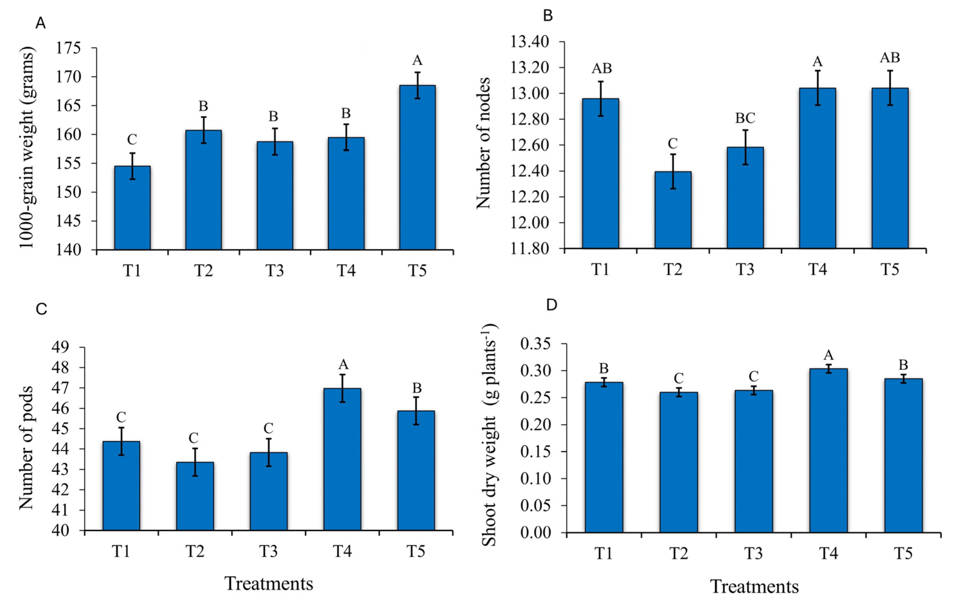
2.2. Development of Soybean Plants in Response to Bioinputs
2.3. Soybean Yield in Response to Bioinputs
3. Discussion
3.1. Influence of Growth-Promoting Bacteria on the Chlorophyll Content Index (SPAD) in Soybean
3.2. Soybean Growth and Development After Application of Growth-Promoting Microorganisms
3.3. Effect of Supplemental Application of Growth-Promoting Bacteria on Soybean Grain Yield
4. Materials and Methods
4.1. Experimental Area
4.2. Experimental Design
4.3. Management and Application Time
4.4. Chlorophyll Index Determination (SPAD)
4.5. Determination of Yield and Grain Yield Components
4.6. Statistical Analysis
5. Conclusions
Author Contributions
Funding
Data Availability Statement
Acknowledgments
Conflicts of Interest
References
- Conab—Boletim da Safra de Grãos. Available online: http://www.conab.gov.br/info-agro/safras/graos/boletim-da-safra-de-graos (accessed on 29 November 2024).
- Rocha, T.M.; Marcelino, P.R.F.; Da Costa, R.A.M.; Rubio-Ribeaux, D.; Barbosa, F.G.; da Silva, S.S. Agricultural Bioinputs Obtained by Solid-State Fermentation: From Production in Biorefineries to Sustainable Agriculture. Sustainability 2024, 16, 1076. [Google Scholar] [CrossRef]
- Meyer, M.C. Bioinsumos na Cultura da Soja; Embrapa: Brasília, Brazil, 2022; ISBN 978-65-87380-96-4. [Google Scholar]
- Francisconi, E.J.; Bonaldo, S.M. Controle biológico e alternativo no manejo de doenças em milho. Braz. J. Dev. 2022, 8, 35124–35144. [Google Scholar] [CrossRef]
- Rengalakshmi, R.; Manjula, M.; Prabavathy, V.R.; Jegan, S.; Selvamukilan, B. Building bioeconomy in agriculture: Harnessing soil microbes for sustaining ecosystem services. In Towards a Sustainable Bioeconomy: Principles, Challenges and Perspectives; Leal Filho, W., Pociovălișteanu, D.M., Borges de Brito, P.R., Borges de Lima, I., Eds.; Springer: Cham, Switzerland, 2018; pp. 261–277. [Google Scholar]
- Markets and Markets. Available online: https://www.marketsandmarkets.com/Market-Reports/agricultural-biological-market100393324.html (accessed on 2 December 2024).
- BRASIL; Ministério da Agricultura, Pecuária e Abastecimento (MAPA). Decreto nº 10.375, de 26 de Maio de 2020. Institui o Programa Nacional de Bioinsumos e o Conselho Estratégico do Programa Nacional de Bioinsumos. Diário Oficial da União. 27 de maio de. 2020; pp. 105–106. Available online: https://www.in.gov.br/en/web/dou/-/decreto-n-10.375-de-26-de-maio-de-2020-258706480 (accessed on 7 December 2024).
- Vidal, M.C.; Saldanha, R.; Veríssimo, M.A.A. Bioinsumos: O programa nacional e a sua relação com a produção sustentável. In Sanidade Vegetal: Uma Estratégia Global para Eliminar a Fome, Reduzir a Pobreza, Proteger o Meio Ambiente e Estimular o Desenvolvimento Econômico Sustentável, 1st ed.; CIDASC: Florianópolis, Brasil, 2020; pp. 382–409. [Google Scholar]
- Naylor, D.; Coleman-Derr, D. Drought Stress and Root-Associated Bacterial Communities. Front. Plant Sci. 2018, 8, 2223. [Google Scholar] [CrossRef] [PubMed]
- Jalal, A.; da Silva Oliveira, C.E.; de Castro Bastos, A.; Fernandes, G.C.; de Lima, B.H.; Furlani Junior, E.; de Carvalho, P.H.G.; Galindo, F.S.; Gato, I.M.B.; Teixeira Filho, M.C.M. Nanozinc and Plant Growth-Promoting Bacteria Improve Biochemical and Metabolic Attributes of Maize in Tropical Cerrado. Front. Plant Sci. 2022, 13, 1046642. [Google Scholar] [CrossRef]
- Hungria, M.; Franchini, J.C.; Campo, R.J.; Graham, P.H. The importance of nitrogen fixation to soybean cropping in South Amer-ica. Nitrogen Fixat. Agric. For. Ecol. Environ. 2005, 4, 25–42. [Google Scholar]
- de Abreu, C.S.; Figueiredo, J.E.F.; Oliveira-Paiva, C.A.; dos Santos, V.L.; Gomes, E.A.; Ribeiro, V.P.; de Almeida Barros, B.; de Paula Lana, U.G.; Marriel, I.E. Maize Endophytic Bacteria as Mineral Phosphate Solubilizers. Genet. Mol. Res. 2017, 16, gmr16019294. [Google Scholar] [CrossRef] [PubMed]
- Kavamura, V.N.; Santos, S.N.; da Silva, J.L.; Parma, M.M.; Avila, L.A.; Visconti, A.; Zucchi, T.D.; Taketani, R.G.; Andreote, F.D.; Melo, I.S. de Screening of Brazilian Cacti Rhizobacteria for Plant Growth Promotion under Drought. Microbiol. Res. 2013, 168, 183–191. [Google Scholar] [CrossRef] [PubMed]
- Tripathi, D.; Raikhy, G.; Kumar, D. Chemical Elicitors of Systemic Acquired Resistance—Salicylic Acid and Its Functional Ana-logs. Curr. Plant Biol. 2019, 17, 48–59. [Google Scholar] [CrossRef]
- Cadore, R.; Netto, A.P.C.; Reis, E.F.; Ragagnin, V.A.; Freitas, D.S.; Lima, T.P.; Rossato, M.; D’Abadia, A.C.A. Híbridos de milho inoculados com Azospirillum brasilense sob diferentes doses de nitrogênio. Rev. Bras. Milho Sorgo 2016, 15, 398–409. [Google Scholar] [CrossRef]
- Hungria, M.; Nogueira, M.A.; Araujo, R.S. Co-Inoculation of Soybean and Common Beans with Rhizobia and Azospirilla: Strat-egies to Improve Sustainability. Biol. Fertil. Soils 2013, 49, 791–801. [Google Scholar] [CrossRef]
- Szilagyi-Zecchin, V.J.; Mógor, Á.F.; Ruaro, L.; Röder, C. Crescimento de mudas de tomateiro (Solanum lycopersicum) estimu-lado pela bactéria Bacillus amyloliquefaciens subsp. plantarum FZB42 em cultura orgânica. Rev. Ciências Agrárias 2015, 38, 26–33. [Google Scholar]
- Dahmani, M.A.; Desrut, A.; Moumen, B.; Verdon, J.; Mermouri, L.; Kacem, M.; Coutos-Thévenot, P.; Kaid-Harche, M.; Bergès, T.; Vriet, C. Unearthing the Plant Growth-Promoting Traits of Bacillus megaterium RmBm31, an Endophytic Bacterium Isolated From Root Nodules of Retama monosperma. Front. Plant Sci. 2020, 11, 124. [Google Scholar] [CrossRef] [PubMed]
- da Cunha Ferreira, S.; Nakasone, A.K.; do Nascimento, S.M.C.; de Oliveira, D.A.; Siqueira, A.S.; Cunha, E.F.M.; de Castro, G.L.S.; de Souza, C.R.B. Isolation and Characterization of Cassava Root Endophytic Bacteria with the Ability to Promote Plant Growth and Control the in Vitro and in Vivo Growth of Phytopythium sp. Physiol. Mol. Plant Pathol. 2021, 116, 101709. [Google Scholar] [CrossRef]
- Pavinato, P.S.; Rocha, G.C.; Cherubin, M.R. Acúmulo de Fosforo no solo em Áreas Agrícolas no Brasil: Diagnostico Atual e Potencialidades Futuras. NPCT (Nutrição de Planta Ciências e Tecnologia), Comunicado Técnico Nº 9, Piracicaba, SP-Março. 2021. Available online: https://www.npct.com.br/publication/IASite.nsf/pub/available/IA-2021-9?OpenDocument&toc=2021 (accessed on 7 December 2024).
- Taiz, L.; Zeiger, E.; Moller, I.M.; Murphy, A. Fisiologia e Desenvolvimento Vegetal, 6th ed.; Artmed: Porto Alegre, Brazil, 2017; pp. 1–888. [Google Scholar]
- Taiz, L.; Zeiger, E.; Oliveira, P.L. Fisiologia Vegetal, 5th ed.; Luiz de Oliveira., P., Ed.; Artmed: Porto Alegre, Brazil, 2013; pp. 1–918. [Google Scholar]
- Costa, L.C.; Tavanti, R.F.R.; Tavanti, T.R.; Pereira, C.S. Desenvolvimento de cultivares de soja após inoculação de estirpes de Bacillus subtilis. Nativa 2019, 7, 126–132. [Google Scholar] [CrossRef]
- Lima, F.; Nunes, L.A.P.L.; Figueiredo, M.V.B.; Araújo, F.F.; Lima, L.M.; Araújo, A.S.F. Bacillus subtilis e adubação nitrogenada na produtividade do milho. Agraria 2011, 6, 657–666. [Google Scholar] [CrossRef]
- Lima, A.P.A.d.; Buso, W.H.D. Uso de biomaphos no tratamento de sementes de hibridos de milho culti-vado na safrinha. Rev. Mirante 2022, 15, 200–212. [Google Scholar] [CrossRef]
- Singh, S.; Singh, V.; Pal, K. Importance of microorganisms in agriculture. Clim. Environ. Changes Impact Chall. Solut. 2017, 1, 93–117. [Google Scholar]
- Mattos, M. Promoção do Crescimento de Soja a Partir da Inoculação de Sementes com Microrganismos não Noduladores. Trabalho de Conclusão de Curso (Graduação), Universidade Federal da Fronteira Sul, Cerro Largo, Rio Grande do Sul, Brasil. 2017. Available online: https://rd.uffs.edu.br/handle/prefix/1877 (accessed on 30 November 2024).
- Silvestrini, G.R.; da Rosa, E.J.; Corrêa, H.C.; Dal Magro, T.; Silvestre, W.P.; Pauletti, G.F.; Conte, E.D. Potential Use of Phosphate-Solubilizing Bacteria in Soybean Culture. AgriEngineering 2023, 5, 1544–1554. [Google Scholar] [CrossRef]
- Oliveira, S.L.; Ferreira, J.S.; Brandão, M.H.; Moreira, A.C.S.; Cunha, W.V. da Efeito da aplicação de Bacillus aryabhattai no cresci-mento inicial do feijoeiro sob diferentes capacidades de campo. Rev. Comeia 2020, 2, 10–19. [Google Scholar]
- Park, Y.G.; Mun, B.G.; Kang, S.M.; Hussain, A.; Shahzad, R.; Seo, C.-W.; Kim, A.-Y.; Lee, S.-U.; Oh, K.Y.; Lee, D.Y.; et al. Bacillus Aryabhattai SRB02 Tolerates Oxidative and Nitrosative Stress and Promotes the Growth of Soybean by Modulating the Produc-tion of Phytohormones. PLoS ONE 2017, 12, e0173203. [Google Scholar]
- Benintende, S.; Uhrich, W.; Herrera, M.; Gangge, F.; Sterren, M.; Benintende, M. Comparación entre coinoculación con Brady-rhizobium japonicum y Azospirillum brasilense e inoculación simple con Bradyrhizobium japonicum en la nodulación, creci-miento y acumulación de N en el cultivo de soja. AgriScientia 2010, 27, 71–77. [Google Scholar] [CrossRef]
- Teixeira, P.C.; Donagemma, G.K.; Fontana, A.; Teixeira, W.G. Manual de Métodos de Análise de Solo, 3rd ed.; Embrapa: Brasília, Brazil, 2017. [Google Scholar]
- Bettiol, W.; Morandi, M.A.B.; Pinto, Z.V.; Lucon, C.M.M. Controle de Qualidade e Conformidade de Produtos e Fermentados à Base de Bacillus spp.: Proposta Metodológica. Embrapa (Comunicado Técnico 59), Jaguariúna. 2022, p. 15. Available online: https://ainfo.cnptia.embrapa.br/digital/bitstream/item/239978/1/Bettiol-Controle-qualidade-2022-2.pdf (accessed on 2 November 2022).
- Silva, M.A.; Santos, C.M.; Vitorino, H.S.; Rhein, A.F.L. Pigmentos fotossintéticos e índice SPAD como descritores de intensidade do estresse por deficiência hídrica em cana-de-açúcar. Biosci. J. 2014, 30, 173–181. [Google Scholar]
- Santos, H.P.; Lhamby, J.C.B.; Spera, S.T. Rendimento de grãos de soja em função de diferentes sistemas de manejo de solo e de rotação de culturas. Cienc. Rural 2016, 36, 21–29. [Google Scholar] [CrossRef]





| Layer | pH (H2O) | P | K+ | Al3+ | Ca2+ | Mg2+ | H+ + Al3+ | T | V | SOM |
|---|---|---|---|---|---|---|---|---|---|---|
| (cm) | mg/dm−3 | mg/dm−3 | cmolc/dm3 | cmolc/dm3 | cmolc/dm3 | cmolc/dm3 | cmolc/dm3 | % | dag kg−1 | |
| 0–20 | 5.67 | 8.06 | 16.66 | 0.01 | 3.44 | 1.59 | 5.87 | 11.21 | 47.71 | 3.10 |
| Manufacturer | Commercial Products | Treatment | Strains | Rate | Application Time | Concentration |
|---|---|---|---|---|---|---|
| - | - | T1 | No application | 0 | 0 | 0 |
| Biotrop | Azotrop | T2 | Azospirillum brasilenses strains Ab-V5 and Ab-V6. | 300 mL ha−1 | V5/V6 | 2 × 108 CFU/mL |
| Biotrop | Biopasto | T3 | Pseudomonas fluorescens strain CNPSo 2719; Azospirillum brasilenses strains CNPSo 2083 and CNPSo 2084. | 750 mL ha−1 | V5/V6 | 1 × 10⁸ CFU/mL + 2 × 10⁸ CFU/mL |
| Biotrop | Bioasis | T4 | Priestia aryabhattai strain CBMAI 1120; Bacillus haynesii strain CCT 7926; Bacillus circulans strain CCT 0026. | 200 mL ha−1 | V5/V6 | 2.1 × 109 CFU/mL + 3.0 × 108 CFU/mL + 8.8 × 108 CFU/mL. |
| Simbiose | BiomaPhos | T5 | Priestia megaterium strain BRM 119; Bacillus subtilis strain BRM 2084. | 250 mL ha−1 | V5/V6 | 4 × 109 CFU/mL |
Disclaimer/Publisher’s Note: The statements, opinions and data contained in all publications are solely those of the individual author(s) and contributor(s) and not of MDPI and/or the editor(s). MDPI and/or the editor(s) disclaim responsibility for any injury to people or property resulting from any ideas, methods, instructions or products referred to in the content. |
© 2025 by the authors. Licensee MDPI, Basel, Switzerland. This article is an open access article distributed under the terms and conditions of the Creative Commons Attribution (CC BY) license (https://creativecommons.org/licenses/by/4.0/).
Share and Cite
Marchão, R.L.; Silva, G.C.d.; Andrade, S.R.M.d.; Junior, F.B.d.R.; Júnior, M.P.d.B.; Haphonsso, R.H.; Carvalho, A.M.d. Improving Soybean Development and Grain Yield by Complementary Inoculation with Growth-Promoting Bacteria Azospirillum, Pseudomonas, Priestia, and Bacillus. Plants 2025, 14, 402. https://doi.org/10.3390/plants14030402
Marchão RL, Silva GCd, Andrade SRMd, Junior FBdR, Júnior MPdB, Haphonsso RH, Carvalho AMd. Improving Soybean Development and Grain Yield by Complementary Inoculation with Growth-Promoting Bacteria Azospirillum, Pseudomonas, Priestia, and Bacillus. Plants. 2025; 14(3):402. https://doi.org/10.3390/plants14030402
Chicago/Turabian StyleMarchão, Robélio Leandro, Gustavo Cassiano da Silva, Solange Rocha Monteiro de Andrade, Fábio Bueno dos Reis Junior, Márcio Pereira de Barros Júnior, Richard Hemanwel Haphonsso, and Arminda Moreira de Carvalho. 2025. "Improving Soybean Development and Grain Yield by Complementary Inoculation with Growth-Promoting Bacteria Azospirillum, Pseudomonas, Priestia, and Bacillus" Plants 14, no. 3: 402. https://doi.org/10.3390/plants14030402
APA StyleMarchão, R. L., Silva, G. C. d., Andrade, S. R. M. d., Junior, F. B. d. R., Júnior, M. P. d. B., Haphonsso, R. H., & Carvalho, A. M. d. (2025). Improving Soybean Development and Grain Yield by Complementary Inoculation with Growth-Promoting Bacteria Azospirillum, Pseudomonas, Priestia, and Bacillus. Plants, 14(3), 402. https://doi.org/10.3390/plants14030402

