Scion–Rootstock Interactions Enhance Freezing Stress Resilience in Citrus reticulata Through Integrated Antioxidant Defense and Carbon–Nitrogen Metabolic Adjustments
Abstract
1. Introduction
2. Results
2.1. Analysis of Variance
2.2. Photosynthetic Capacity and Leaf Greenness
2.3. Freezing Stress Influences Oxidative Stress and Membrane Damage
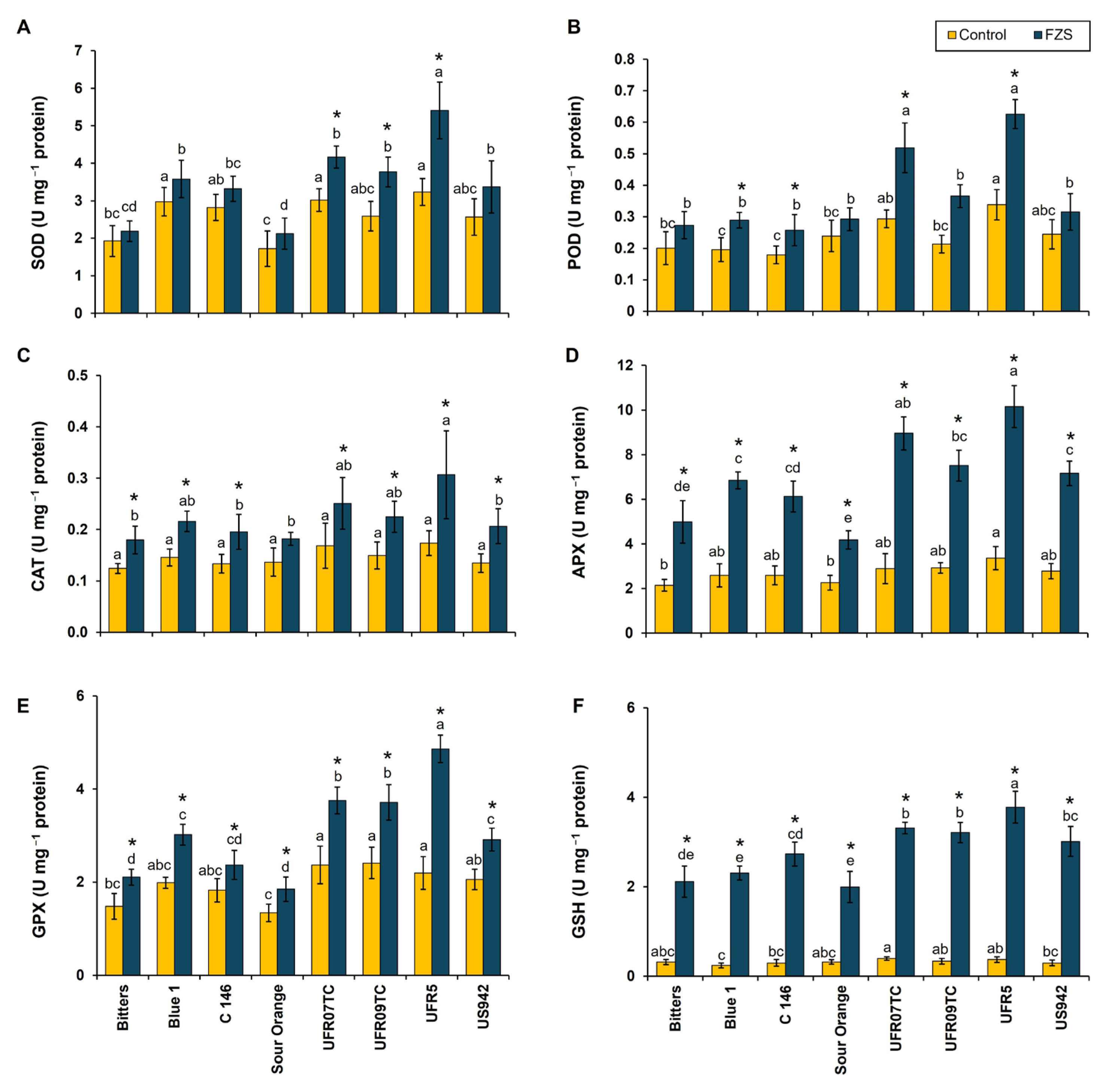
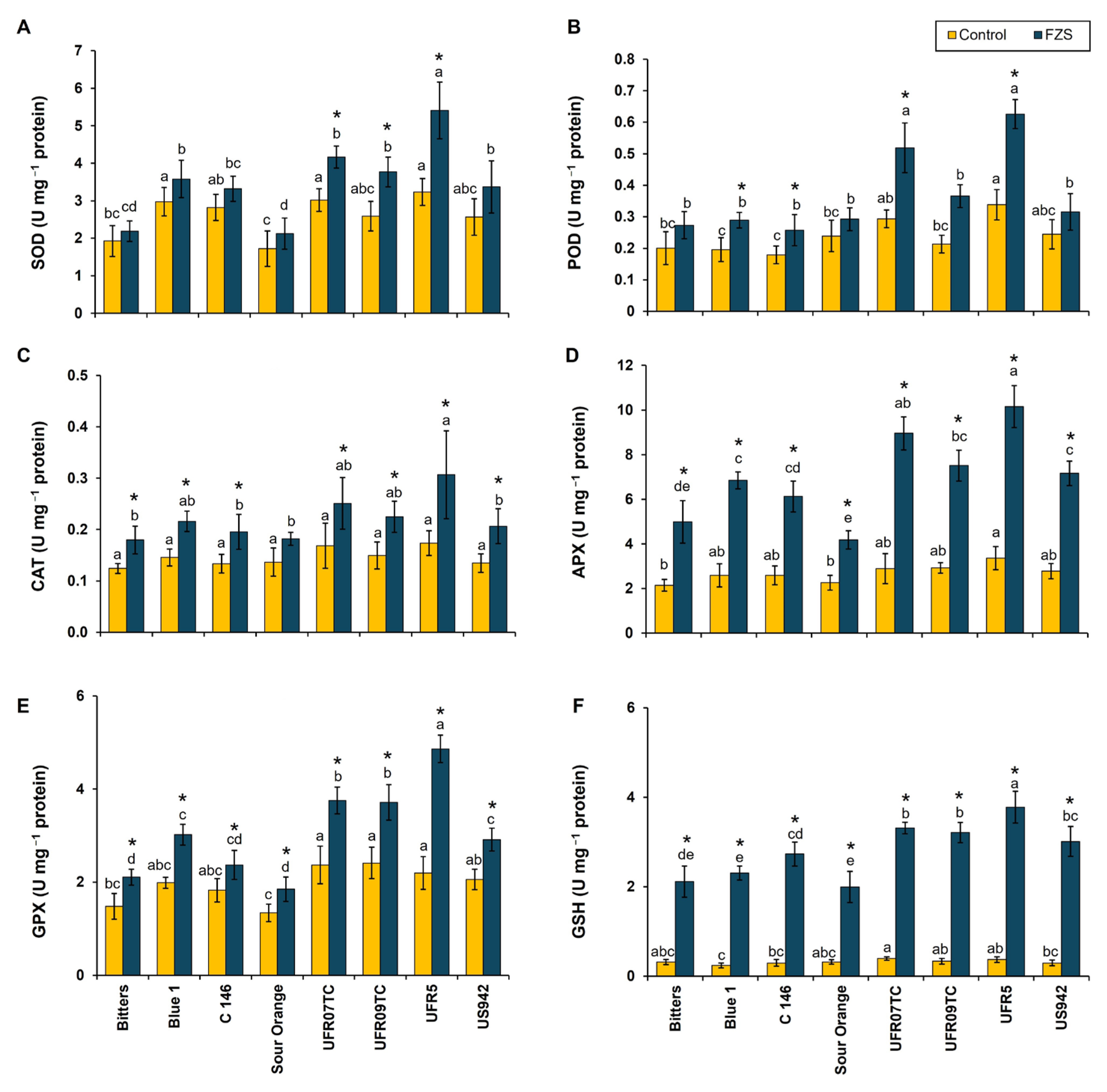
2.4. Contribution of Differential Antioxidant Capacity to Variation in Freezing Stress Among Scion–Rootstock Combinations
2.5. Accumulation of Osmolytes Across Scion–Rootstock Combinations Under Freezing Stress
2.6. Nitrogen Metabolism Changes in Citrus Rootstock Under Freezing Stress
2.7. Differential Regulation of Carbon Metabolism Enzymes Across Scion–Rootstock Combinations Under Freezing Stress
2.8. Rootstock Type-Mediated Sugar Accumulation in Citrus Rootstocks Under Freezing Stress
2.9. Correlation Network and Structural Equation Modeling Reveal Integrative Regulation of Freezing Tolerance by Rootstock–Scion Interactions
2.10. Principal Component Analysis
3. Discussion
4. Materials and Methods
4.1. Plant Material, Growth Conditions, and Freezing Treatment
4.2. Gas Exchange Parameters and SPAD Measurements
4.3. Reactive Oxygen Species, Electrolyte Leakage, and Lipid Peroxidation
4.4. Antioxidant Enzymes and Osmolytes
4.5. Nitrogen Metabolism Enzymes
4.6. Carbon Metabolic Enzymes
4.7. Quantification of Sugar and Starch Concentrations
4.8. Experimental Design and Statistical Analysis
5. Conclusions
Supplementary Materials
Author Contributions
Funding
Data Availability Statement
Acknowledgments
Conflicts of Interest
References
- Trouet, V.; Babst, F.; Meko, M. Recent enhanced high-summer North Atlantic Jet variability emerges from three-century context. Nat. Commun. 2018, 9, 180. [Google Scholar] [CrossRef] [PubMed]
- Woodward, F.I. The impact of low temperatures in controlling the geographical distribution of plants. Philos. Trans. R. Soc. Lond. B Biol. Sci. 1990, 326, 585–593. [Google Scholar]
- Shi, Y.; Yang, S. ABA regulation of the cold stress response in plants. In Abscisic Acid: Metabolism, Transport and Signaling; Springer: Berlin/Heidelberg, Germany, 2014; pp. 337–363. [Google Scholar]
- Mukhopadhyay, J.; Roychoudhury, A. Cold-induced injuries and signaling responses in plants. In Cold Tolerance in Plants: Physiological, Molecular and Genetic Perspectives; Springer: Berlin/Heidelberg, Germany, 2018; pp. 1–35. [Google Scholar]
- Lainé, C.M.; AbdElgawad, H.; Beemster, G.T. A meta-analysis reveals differential sensitivity of cold stress responses in the maize leaf. Plant Cell Environ. 2023, 46, 2432–2449. [Google Scholar] [CrossRef] [PubMed]
- Ribeiro, R.V.; Machado, E.C. Some aspects of citrus ecophysiology in subtropical climates: Re-visiting photosynthesis under natural conditions. Braz. J. Plant Physiol. 2007, 19, 393–411. [Google Scholar] [CrossRef]
- Gururani, M.A.; Venkatesh, J.; Tran, L.S.P. Regulation of photosynthesis during abiotic stress-induced photoinhibition. Mol. Plant 2015, 8, 1304–1320. [Google Scholar] [CrossRef]
- Mignolet-Spruyt, L.; Xu, E.; Idänheimo, N.; Hoeberichts, F.A.; Mühlenbock, P.; Brosché, M.; Van Breusegem, F.; Kangasjärvi, J. Spreading the news: Subcellular and organellar reactive oxygen species production and signalling. J. Exp. Bot. 2016, 67, 3831–3844. [Google Scholar] [CrossRef]
- Li, Y.; Zhu, J.; Xu, J.; Zhang, X.; Xie, Z.; Li, Z. Effect of cold stress on photosynthetic physiological characteristics and molecular mechanism analysis in cold-resistant cotton (ZM36) seedlings. Front. Plant Sci. 2024, 15, 1396666. [Google Scholar] [CrossRef]
- Öquist, G.; Huner, N.P. Photosynthesis of overwintering evergreen plants. Annu. Rev. Plant Biol. 2003, 54, 329–355. [Google Scholar] [CrossRef]
- Ploschuk, E.L.; Bado, L.; Salinas, M.; Wassner, D.F.; Windauer, L.B.; Insausti, P. Photosynthesis and fluorescence responses of Jatropha curcas to chilling and freezing stress during early vegetative stages. Environ. Exp. Bot. 2014, 102, 18–26. [Google Scholar] [CrossRef]
- Iqbal, S.; Aucique-Perez, C.E.; Hussain, S.; Balal, R.M.; Charrier, G.; Mattia, M.; Chater, J.M.; Shahid, M.A. Drought-stress memory confers cold hardiness in grapefruit (Citrus paradisi) through modulations in antioxidant system, osmolyte production and carbohydrate metabolism. Plant Stress 2025, 15, 100801. [Google Scholar] [CrossRef]
- Medina, C.L.; Souza, R.P.; Machado, E.C.; Ribeiro, R.V.; Silva, J.A. Photosynthetic response of citrus grown under reflective aluminized polypropylene shading nets. Sci. Hortic. 2002, 96, 115–125. [Google Scholar] [CrossRef]
- Santini, J.; Giannettini, J.; Pailly, O.; Herbette, S.; Ollitrault, P.; Berti, L.; Luro, F. Comparison of photosynthesis and antioxidant performance of several Citrus and Fortunella species (Rutaceae) under natural chilling stress. Trees 2013, 27, 71–83. [Google Scholar] [CrossRef]
- Ahmad, J.; Hayat, F.; Khan, U.; Ahmed, N.; Li, J.; Ercisli, S.; Iqbal, S.; Javed, H.U.; Alyas, T.; Tu, P. Melatonin: A promising approach to enhance abiotic stress tolerance in horticultural plants. S. Afr. J. Bot. 2024, 164, 66–76. [Google Scholar] [CrossRef]
- Talaat, N.B. Role of reactive oxygen species signaling in plant growth and development. React. Oxyg. Nitrogen Sulfur Species Plants Prod. Metab. Signal. Def. Mech. 2019, 225–266. [Google Scholar] [CrossRef]
- Kaplan, F.; Kopka, J.; Haskell, D.W.; Zhao, W.; Schiller, K.C.; Gatzke, N.; Sung, D.Y.; Guy, C.L. Exploring the temperature-stress metabolome of Arabidopsis. Plant Physiol. 2004, 136, 4159–4168. [Google Scholar] [CrossRef]
- Szabados, L.; Savouré, A. Proline: A multifunctional amino acid. Trends Plant Sci. 2010, 15, 89–97. [Google Scholar] [CrossRef]
- Chen, T.H.; Murata, N. Glycinebetaine: An effective protectant against abiotic stress in plants. Trends Plant Sci. 2008, 13, 499–505. [Google Scholar] [CrossRef]
- Martínez-Ballesta, M.C.; Alcaraz-López, C.; Muries, B.; Mota-Cadenas, C.; Carvajal, M. Physiological aspects of rootstock–scion interactions. Sci. Hortic. 2010, 127, 112–118. [Google Scholar] [CrossRef]
- Koepke, T.; Dhingra, A. Rootstock scion somatogenetic interactions in perennial composite plants. Plant Cell Rep. 2013, 32, 1321–1337. [Google Scholar] [CrossRef]
- Hanana, M.; Hamrouni, L.; Hamed, K.; Abdelly, C. Influence of the rootstock/scion combination on the grapevines behavior under salt stress. J. Plant Biochem. Physiol. 2015, 3, 1000154. [Google Scholar]
- Hayat, F.; Li, J.; Iqbal, S.; Khan, U.; Ali, N.A.; Peng, Y.; Hong, L.; Asghar, S.; Javed, H.U.; Li, C. Hormonal interactions underlying rootstock-induced vigor control in horticultural crops. Appl. Sci. 2023, 13, 1237. [Google Scholar] [CrossRef]
- Balfagón, D.; Terán, F.; de Oliveira, T.d.R.; Santa-Catarina, C.; Gómez-Cadenas, A. Citrus rootstocks modify scion antioxidant system under drought and heat stress combination. Plant Cell Rep. 2022, 41, 593–602. [Google Scholar] [CrossRef] [PubMed]
- Bañuls, J.; Primo-Millo, E. Effects of salinity on some citrus scion-rootstock combinations. Ann. Bot. 1995, 76, 97–102. [Google Scholar] [CrossRef]
- Lee, C.; Harvey, J.T.; Nagila, A.; Qin, K.; Leskovar, D.I. Thermotolerance of tomato plants grafted onto wild relative rootstocks. Front. Plant Sci. 2023, 14, 1252456. [Google Scholar] [CrossRef]
- Luan, Y.-S.; Zhan-Ling, G.; Mi, L.; Ying, L.; Lan, B.; Tong, L. The experience among college students with social anxiety disorder in social situations: A qualitative study. Neuropsychiatr. Dis. Treat. 2022, 18, 1729–1737. [Google Scholar] [CrossRef]
- Alfaro-Quezada, J.F.; Martínez, J.P.; Molinett, S.; Valenzuela, M.; Montenegro, I.; Ramírez, I.; Dorta, F.; Ávila-Valdés, A.; Gharbi, E.; Zhou, M. Rootstock increases the physiological defence of tomato plants against Pseudomonas syringae pv. tomato infection. J. Exp. Bot. 2023, 74, 2891–2911. [Google Scholar] [CrossRef]
- Ji, J.; He, X.; Liu, H.; Li, Z.; Zhou, S.; Zhang, X.; Xu, J.; Liang, B. Influence of dwarfing interstock on the tolerance and nutrient utilization efficiency of apple trees under drought stress. Sci. Hortic. 2023, 315, 111984. [Google Scholar] [CrossRef]
- Bowman, K.D.; Joubert, J. Citrus rootstocks. In The Genus Citrus; Elsevier: Amsterdam, The Netherlands, 2020; pp. 105–127. [Google Scholar]
- Recupero, G.R.; Russo, G.; Recupero, S.; Zurru, R.; Deidda, B.; Mulas, M. Horticultural evaluation of new citrus latipes hybrids as rootstocks for citrus. Hort. Sci. 2009, 44, 595–598. [Google Scholar]
- Legua, P.; Forner, J.; Hernandez, F.; Forner-Giner, M.A. Total phenolics, organic acids, sugars and antioxidant activity of mandarin (Citrus clementina Hort. ex Tan.): Variation from rootstock. Sci. Hortic. 2014, 174, 60–64. [Google Scholar] [CrossRef]
- Fu, L.; Zhu, Q.; Sun, Y.; Du, W.; Pan, Z.; Peng, S.a. Physiological and transcriptional changes of three citrus rootstock seedlings under iron deficiency. Front. Plant Sci. 2017, 8, 1104. [Google Scholar] [CrossRef]
- Continella, A.; Pannitteri, C.; La Malfa, S.; Legua, P.; Distefano, G.; Nicolosi, E.; Gentile, A. Influence of different rootstocks on yield precocity and fruit quality of ‘Tarocco Scirè’pigmented sweet orange. Sci. Hortic. 2018, 230, 62–67. [Google Scholar] [CrossRef]
- Usman, M.; Fatima, B. Mandarin (Citrus reticulata blanco) breeding. In Advances in Plant Breeding Strategies: Fruits; Springer: Berlin/Heidelberg, Germany, 2018; Volume 3, pp. 465–533. [Google Scholar]
- Maciel, C.; Meneses, R.; Danielski, R.; Sousa, S.; Komora, N.; Teixeira, P. Tangerine (Citrus reticulata). In Recent Advances in Citrus Fruits; Springer: Berlin/Heidelberg, Germany, 2023; pp. 131–218. [Google Scholar]
- Ribeiro, R.V.; Espinoza-Núñez, E.; Junior, J.P.; Filho, F.A.M.; Machado, E.C. Citrus rootstocks for improving the horticultural performance and physiological responses under constraining environments. In Improvement of Crops in the Era of Climatic Changes; Springer: Berlin/Heidelberg, Germany, 2013; Volume 1, pp. 1–37. [Google Scholar]
- Li, G.; Tan, M.; Liu, X.; Mao, J.; Song, C.; Li, K.; Ma, J.; Xing, L.; Zhang, D.; Shao, J. Scion Traits Related to Nutrient Distribution, Hormone Status, and Antioxidative Stress Tolerance Affect Rootstock Activity in Apple. Horm. Status Antioxidative Stress Toler. Affect Rootstock Act. Apple 2022, 302, 111157. [Google Scholar] [CrossRef]
- Kaya, O. Defoliation alleviates cold-induced oxidative damage in dormant buds of grapevine by up-regulating soluble carbohydrates and decreasing ROS. Acta Physiol. Plant. 2020, 42, 106. [Google Scholar]
- Mohammadi, R.; Maali-Amiri, R.; Abbasi, A. Effect of TiO2 nanoparticles on chickpea response to cold stress. Biol. Trace Elem. Res. 2013, 152, 403–410. [Google Scholar] [CrossRef] [PubMed]
- Hussain, H.A.; Hussain, S.; Khaliq, A.; Ashraf, U.; Anjum, S.A.; Men, S.; Wang, L. Chilling and drought stresses in crop plants: Implications, cross talk, and potential management opportunities. Front. Plant Sci. 2018, 9, 393. [Google Scholar] [CrossRef] [PubMed]
- Garrido, A.; Conde, A.; Serôdio, J.; De Vos, R.C.; Cunha, A. Fruit photosynthesis: More to know about where, how and why. Plants 2023, 12, 2393. [Google Scholar] [CrossRef] [PubMed]
- Liu, S.; Yang, R. Regulations of reactive oxygen species in plants abiotic stress: An integrated overview. Plant Life Under Chang. Environ. 2020, 323–353. [Google Scholar] [CrossRef]
- Sadaf, A.; Balal, R.M.; Jaffar, M.T.; Javed, S.A.; Javaid, M.M. Influence of brassinosteroid and silicon on growth, antioxidant enzymes, and metal uptake of leafy vegetables under wastewater irrigation. Int. J. Phytoremediat. 2024, 26, 936–946. [Google Scholar] [CrossRef]
- Bhattacharya, A. Physiological Processes in Plants Under Low Temperature Stress; Springer: Berlin/Heidelberg, Germany, 2022. [Google Scholar]
- Xu, C.; Wang, Y.; Yang, H.; Tang, Y.; Liu, B.; Hu, X.; Hu, Z. Cold acclimation alleviates photosynthetic inhibition and oxidative damage induced by cold stress in citrus seedlings. Plant Signal. Behav. 2023, 18, 2285169. [Google Scholar] [CrossRef]
- Xie, R.; He, W.; Chai, J.; Luo, L.; Wang, Y.; Chen, Q.; Tang, H.; Wang, X. A study of scion phenotypes in pummelo grafted onto a new citrus rootstock Citrus junos ‘Pujiang Xiangcheng’. Horticulturae 2022, 8, 1039. [Google Scholar] [CrossRef]
- Primo-Capella, A.; Martínez-Cuenca, M.-R.; Forner-Giner, M.Á. Cold stress in Citrus: A molecular, physiological and biochemical perspective. Horticulturae 2021, 7, 340. [Google Scholar] [CrossRef]
- Tajvar, Y.; Ghazvini, R.F.; Hamidoghli, Y.; Sajedi, R.H. Antioxidant changes of Thomson navel orange (Citrus sinensis) on three rootstocks under low temperature stress. Hortic. Environ. Biotechnol. 2011, 52, 576–580. [Google Scholar] [CrossRef]
- Ighodaro, O.; Akinloye, O. First line defence antioxidants-superoxide dismutase (SOD), catalase (CAT) and glutathione peroxidase (GPX): Their fundamental role in the entire antioxidant defence grid. Alex. J. Med. 2018, 54, 287–293. [Google Scholar] [CrossRef]
- Abdulfatah, H.F. Non-enzymatic antioxidants in stressed plants: A review. J. Univ. Anbar Pure Sci 2022, 16, 25–37. [Google Scholar] [CrossRef]
- Javed, S.A.; Shahzad, S.M.; Ashraf, M.; Kausar, R.; Arif, M.S.; Albasher, G.; Rizwana, H.; Shakoor, A. Interactive effect of different salinity sources and their formulations on plant growth, ionic homeostasis and seed quality of maize. Chemosphere 2022, 291, 132678. [Google Scholar] [CrossRef]
- Dandlen, S.A.; Da Silva, J.P.; Miguel, M.G.; Duarte, A.; Power, D.M.; Marques, N.T. Quick decline and stem pitting Citrus tristeza virus isolates induce a distinct metabolomic profile and antioxidant enzyme activity in the phloem sap of two citrus species. Plants 2023, 12, 1394. [Google Scholar] [CrossRef]
- Das, K.; Roychoudhury, A. Reactive oxygen species (ROS) and response of antioxidants as ROS-scavengers during environmental stress in plants. Front. Environ. Sci. 2014, 2, 53. [Google Scholar] [CrossRef]
- Mittler, R. Oxidative stress, antioxidants and stress tolerance. Trends Plant Sci. 2002, 7, 405–410. [Google Scholar] [CrossRef]
- Eltayeb, A.E.; Kawano, N.; Badawi, G.H.; Kaminaka, H.; Sanekata, T.; Shibahara, T.; Inanaga, S.; Tanaka, K. Overexpression of monodehydroascorbate reductase in transgenic tobacco confers enhanced tolerance to ozone, salt and polyethylene glycol stresses. Planta 2007, 225, 1255–1264. [Google Scholar] [CrossRef]
- Oustric, J.; Morillon, R.; Luro, F.; Herbette, S.; Lourkisti, R.; Giannettini, J.; Berti, L.; Santini, J. Tetraploid Carrizo citrange rootstock (Citrus sinensis Osb.× Poncirus trifoliata L. Raf.) enhances natural chilling stress tolerance of common clementine (Citrus clementina Hort. ex Tan). J. Plant Physiol. 2017, 214, 108–115. [Google Scholar] [CrossRef]
- Hayat, F.; Ma, C.; Iqbal, S.; Huang, X.; Omondi, O.K.; Ni, Z.; Shi, T.; Tariq, R.; Khan, U.; Gao, Z. Rootstock-mediated transcriptional changes associated with cold tolerance in Prunus mume leaves. Horticulturae 2021, 7, 572. [Google Scholar] [CrossRef]
- Sharma, A.; Shahzad, B.; Kumar, V.; Kohli, S.K.; Sidhu, G.P.S.; Bali, A.S.; Handa, N.; Kapoor, D.; Bhardwaj, R.; Zheng, B. Phytohormones regulate accumulation of osmolytes under abiotic stress. Biomolecules 2019, 9, 285. [Google Scholar] [CrossRef]
- Kishor, P.K.; Sangam, S.; Amrutha, R.; Laxmi, P.S.; Naidu, K.; Rao, K.S.; Rao, S.; Reddy, K.; Theriappan, P.; Sreenivasulu, N. Regulation of proline biosynthesis, degradation, uptake and transport in higher plants: Its implications in plant growth and abiotic stress tolerance. Curr. Sci. 2005, 88, 424–438. [Google Scholar]
- Lourkisti, R.; Froelicher, Y.; Morillon, R.; Berti, L.; Santini, J. Enhanced photosynthetic capacity, osmotic adjustment and antioxidant defenses contribute to improve tolerance to moderate water deficit and recovery of triploid citrus genotypes. Antioxidants 2022, 11, 562. [Google Scholar] [CrossRef] [PubMed]
- Saini, A.K. Systems-Level Analysis of Rootstock–Scion Interactions in Apple Reveals Mechanisms of Cold Tolerance Under Field Frost Events; Virginia Tech: Blacksburg, VA, USA, 2025. [Google Scholar]
- Prinsi, B.; Simeoni, F.; Galbiati, M.; Meggio, F.; Tonelli, C.; Scienza, A.; Espen, L. Grapevine rootstocks differently affect physiological and molecular responses of the scion under water deficit condition. Agronomy 2021, 11, 289. [Google Scholar] [CrossRef]
- Liang, L.; Lian, H.; Li, H.; Dong, Y.; Tang, W.; Zhang, R.; Peng, X.; Li, X.; Tang, Y. Interspecific rootstocks improve the low-temperature resistance of bitter gourd through sucrose and nitrogen metabolism regulation. Acta Physiol. Plant. 2023, 45, 97. [Google Scholar] [CrossRef]
- Zhang, H.; Sun, X.; Song, W. Physiological and growth characteristics of tomato seedlings in response to low root-zone temperature. HortScience 2023, 58, 442–448. [Google Scholar] [CrossRef]
- Dahro, B.; Li, C.; Liu, J.-H. Overlapping responses to multiple abiotic stresses in citrus: From mechanism understanding to genetic improvement. Hortic. Adv. 2023, 1, 4. [Google Scholar] [CrossRef]
- Chandel, N.S. Carbohydrate metabolism. Cold Spring Harb. Perspect. Biol. 2021, 13, a040568. [Google Scholar] [CrossRef]
- Roitsch, T.; González, M.-C. Function and regulation of plant invertases: Sweet sensations. Trends Plant Sci. 2004, 9, 606–613. [Google Scholar] [CrossRef]
- Guan, H.P.; Janes, H.W. Light regulation of sink metabolism in tomato fruit: I. Growth and sugar accumulation. Plant Physiol. 1991, 96, 916–921. [Google Scholar] [CrossRef] [PubMed]
- Xing, W.-w.; Li, L.; Gao, P.; Li, H.; Shao, Q.-s.; Shu, S.; Sun, J.; Guo, S.-r. Effects of grafting with pumpkin rootstock on carbohydrate metabolism in cucumber seedlings under Ca(NO3)2 stress. Plant Physiol. Biochem. 2015, 87, 124–132. [Google Scholar] [CrossRef] [PubMed]
- Kang, C.; Cao, J.; Wang, Y.; Sun, C. Advances of section drying in citrus fruit: The metabolic changes, mechanisms and prevention methods. Food Chem. 2022, 395, 133499. [Google Scholar] [CrossRef] [PubMed]
- Liang, L.; Tang, W.; Lian, H.; Sun, B.; Huang, Z.; Sun, G.; Li, X.; Tu, L.; Li, H.; Tang, Y. Grafting promoted antioxidant capacity and carbon and nitrogen metabolism of bitter gourd seedlings under heat stress. Front. Plant Sci. 2022, 13, 1074889. [Google Scholar] [CrossRef]
- Zhu, S.; Huang, T.; Yu, X.; Hong, Q.; Xiang, J.; Zeng, A.; Gong, G.; Zhao, X. The effects of rootstocks on performances of three late-ripening navel orange varieties. J. Integr. Agric. 2020, 19, 1802–1812. [Google Scholar] [CrossRef]
- Primo-Capella, A.; Forner-Giner, M.Á.; Martínez-Cuenca, M.-R.; Terol, J. Comparative transcriptomic analyses of citrus cold-resistant vs. sensitive rootstocks might suggest a relevant role of ABA signaling in triggering cold scion adaption. BMC Plant Biol. 2022, 22, 209. [Google Scholar] [CrossRef]
- Tang, N.; Deng, W.; Hu, N.; Chen, N.; Li, Z. Metabolite and transcriptomic analysis reveals metabolic and regulatory features associated with Powell orange pulp deterioration during room temperature and cold storage. Postharvest Biol. Technol. 2016, 112, 75–86. [Google Scholar] [CrossRef]
- Shahid, M.A.; Balal, R.M.; Khan, N.; Rossi, L.; Rathinasabapathi, B.; Liu, G.; Khan, J.; Cámara-Zapata, J.M.; Martínez-Nicolas, J.J.; Garcia-Sanchez, F. Polyamines provide new insights into the biochemical basis of Cr-tolerance in Kinnow mandarin grafted on diploid and double-diploid rootstocks. Environ. Exp. Bot. 2018, 156, 248–260. [Google Scholar] [CrossRef]
- Granot, D.; David-Schwartz, R.; Kelly, G. Hexose kinases and their role in sugar-sensing and plant development. Front. Plant Sci. 2013, 4, 44. [Google Scholar] [CrossRef]
- Gupta, A.K.; Kaur, N. Sugar signalling and gene expression in relation to carbohydrate metabolism under abiotic stresses in plants. J. Biosci. 2005, 30, 761–776. [Google Scholar] [CrossRef]
- Xin, Z.; Browse, J. Cold comfort farm: The acclimation of plants to freezing temperatures. Plant Cell Environ. 2000, 23, 893–902. [Google Scholar] [CrossRef]
- Li, X.-L.; Zhang, J.-K.; Li, M.-J.; Zhou, B.-B.; Zhang, Q.; Wei, Q.-P. Genome-wide analysis of antioxidant enzyme gene families involved in drought and low-temperature responses in Apple (Malus domestica). J. Hortic. Sci. Biotechnol. 2018, 93, 337–346. [Google Scholar] [CrossRef]
- Albacete, A.; Martínez-Andújar, C.; Pérez-Alfocea, F.; Lozano, J.; Asins, M.J. Rootstock-mediated variation in tomato vegetative growth under low potassium or phosphorous supplies. Acta Hortic. 2015, 147–152. [Google Scholar] [CrossRef]
- Iqbal, S.; Balal, R.M.; Seleiman, M.F.; Mattia, M.; Chater, J.M.; Shahid, M.A. Silicon and Potassium-Induced Modulations in Leaf Carbohydrate Metabolism Confer Freezing Tolerance in Satsuma Mandarin. Silicon 2024, 16, 5135–5146. [Google Scholar] [CrossRef]
- Elstner, E.F.; Heupel, A. Formation of hydrogen peroxide by isolated cell walls from horseradish (Armoracia lapathifolia Gilib.). Planta 1976, 130, 175–180. [Google Scholar] [CrossRef] [PubMed]
- Iqbal, S.; Hussain, M.; Sadiq, S.; Seleiman, M.F.; Sarkhosh, A.; Chater, J.M.; Shahid, M.A. Silicon nanoparticles confer hypoxia tolerance in citrus rootstocks by modulating antioxidant activities and carbohydrate metabolism. Heliyon 2024, 10, e22960. [Google Scholar] [CrossRef] [PubMed]
- Zrenner, R.; Salanoubat, M.; Willmitzer, L.; Sonnewald, U. Evidence of the crucial role of sucrose synthase for sink strength using transgenic potato plants (Solanum tuberosum L.). Plant J. 1995, 7, 97–107. [Google Scholar] [CrossRef] [PubMed]
- Kassambara, A.; Mundt, F. Factoextra: Extract and Visualize the Results of Multivariate Data Analyses. In CRAN Contrib. Packages. 2016. Available online: https://CRAN.R-project.org/package=factoextra (accessed on 1 August 2025).
- Villanueva, R.A.M.; Chen, Z.J. ggplot2: Elegant Graphics for Data Analysis; Springer: New York, NY, USA, 2019. [Google Scholar]
- Wei, T.; Simko, V. R Package “Corrplot”: Visualization of a Correlation Matrix (Version 0.84). 2017. Available online: https://github.com/taiyun/corrplot (accessed on 1 August 2025).








| A | gs | SPAD | ||||
|---|---|---|---|---|---|---|
| Rootstock | Control | FZS | Control | FZS | Control | FZS |
| Bitters | 24.5 a* | 12.4 cd | 54.0 a* | 24.5 cd | 46.4 a* | 31.6 c |
| Blue 1 | 23.1 a* | 15.9 abc | 51.8 a* | 30.3 bcd | 50.3 a* | 35.1 bc |
| C146 | 20.9 a* | 11.4 de | 51.9 a* | 36.8 abc | 50.3 a* | 37.8 abc |
| Sour Orange | 23.0 a* | 8.3 e | 51.5 a* | 20.5 d | 47.1 a* | 29.4 c |
| UFR07TC | 25.4 a* | 13.9 bcd | 54.3 a* | 40.2 ab | 54.4 a* | 45.7 ab |
| UFR09TC | 24.6 a* | 17.1 ab | 53.4 a* | 39.8 ab | 49.3 a* | 40.2 abc |
| UFR5 | 23.5 a* | 18.5 a | 60.3 a* | 44.8 a | 54.1 a* | 48.2 a |
| US942 | 23.5 a* | 11.4 de | 52.9 a* | 36.0 abc | 45.1 a* | 34.4 bc |
| Glucose | Fructose | Sucrose | Starch | TSS | ||||||
|---|---|---|---|---|---|---|---|---|---|---|
| Rootstock | Control | FZS | Control | FZS | Control | FZS | Control | FZS | Control | FZS |
| Bitters | 14.6 bcd | 22.5 d* | 4.7 ab | 11.6 e* | 4.3 a | 9.2 de* | 222 a* | 124 de | 37.2 ab | 113 e* |
| Blue 1 | 15.8 bcd | 26.2 cd* | 3.9 bc | 14.4 d* | 4.4 a | 11.0 e* | 225 a* | 160 bcd | 40.6 a | 114 e* |
| C146 | 18.6 a | 27.4 cd* | 5.2 a | 15.6 d* | 4.8 a | 13.0 cd* | 225 a* | 134 cde | 32.8 bc | 122 d* |
| Sour Orange | 13.6 d | 20.3 d* | 4.5 abc | 10.2 e* | 4.9 a | 9.0 e* | 212 a * | 116 e | 38.2 a | 109 e* |
| UFR07TC | 17.1 ab | 46.4 b* | 4.0 bc | 19.6 b* | 5.3 a | 15.9 ab* | 244 a* | 195 ab | 38.0 a | 171 b* |
| UFR09TC | 15.0 bcd | 42.6 b* | 3.4 c | 17.8 bc* | 5.5 a | 13.8 bc* | 231 a* | 163 abc | 39.5 a | 151 c* |
| UFR5 | 16.7 abc | 55.0 a* | 5.4 a | 23.3 a* | 5.0 a | 16.5 a* | 248 a* | 198 a | 38.9 a | 188 a* |
| US942 | 14.4 cd | 32.3 c* | 5.4 a | 16.5 cd* | 5.3 a | 13.1 cd* | 232 a* | 167 abc | 31.9 c | 123 d* |
Disclaimer/Publisher’s Note: The statements, opinions and data contained in all publications are solely those of the individual author(s) and contributor(s) and not of MDPI and/or the editor(s). MDPI and/or the editor(s) disclaim responsibility for any injury to people or property resulting from any ideas, methods, instructions or products referred to in the content. |
© 2025 by the authors. Licensee MDPI, Basel, Switzerland. This article is an open access article distributed under the terms and conditions of the Creative Commons Attribution (CC BY) license (https://creativecommons.org/licenses/by/4.0/).
Share and Cite
Asif, A.; Iqbal, S.; Aucique-Perez, C.E.; Leaks, K.; Balal, R.M.; Mattia, M.; Chater, J.M.; Shahid, M.A. Scion–Rootstock Interactions Enhance Freezing Stress Resilience in Citrus reticulata Through Integrated Antioxidant Defense and Carbon–Nitrogen Metabolic Adjustments. Plants 2025, 14, 3029. https://doi.org/10.3390/plants14193029
Asif A, Iqbal S, Aucique-Perez CE, Leaks K, Balal RM, Mattia M, Chater JM, Shahid MA. Scion–Rootstock Interactions Enhance Freezing Stress Resilience in Citrus reticulata Through Integrated Antioxidant Defense and Carbon–Nitrogen Metabolic Adjustments. Plants. 2025; 14(19):3029. https://doi.org/10.3390/plants14193029
Chicago/Turabian StyleAsif, Alaiha, Shahid Iqbal, Carlos Eduardo Aucique-Perez, KeAndre Leaks, Rashad Mukhtar Balal, Matthew Mattia, John M. Chater, and Muhammad Adnan Shahid. 2025. "Scion–Rootstock Interactions Enhance Freezing Stress Resilience in Citrus reticulata Through Integrated Antioxidant Defense and Carbon–Nitrogen Metabolic Adjustments" Plants 14, no. 19: 3029. https://doi.org/10.3390/plants14193029
APA StyleAsif, A., Iqbal, S., Aucique-Perez, C. E., Leaks, K., Balal, R. M., Mattia, M., Chater, J. M., & Shahid, M. A. (2025). Scion–Rootstock Interactions Enhance Freezing Stress Resilience in Citrus reticulata Through Integrated Antioxidant Defense and Carbon–Nitrogen Metabolic Adjustments. Plants, 14(19), 3029. https://doi.org/10.3390/plants14193029

