Anti-Helicobacter pylori Compounds of Sambucus williamsii Hance Branch
Abstract
1. Introduction
2. Results and Discussion
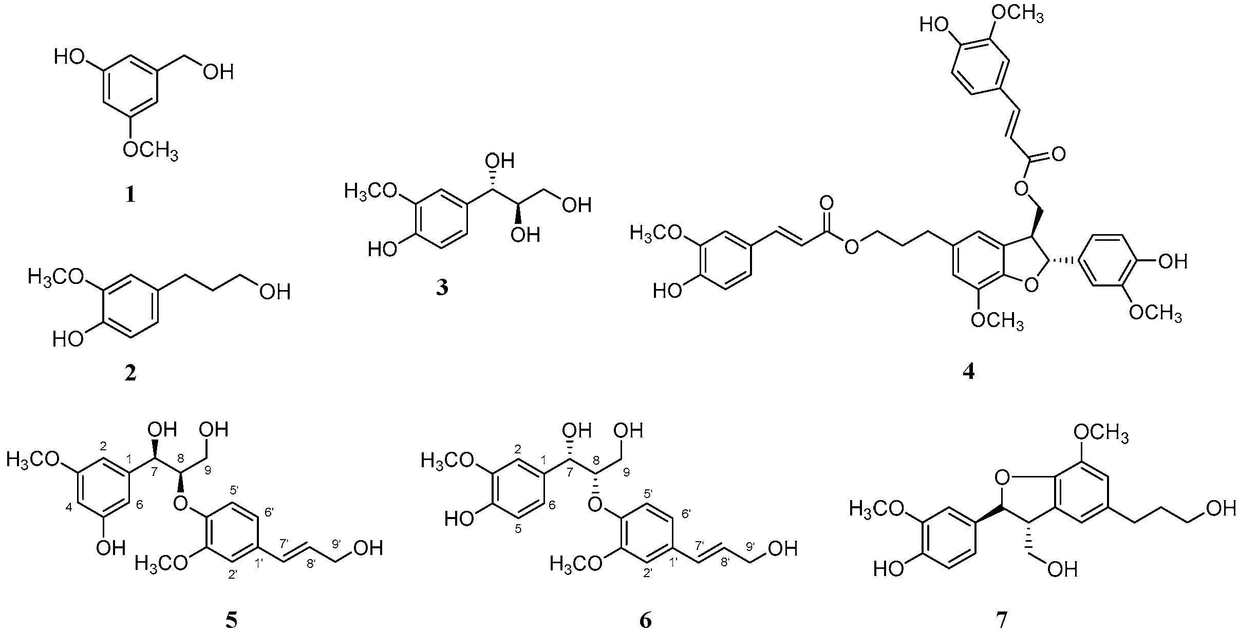
2.1. Structural Elucidations of the Isolated Compounds 1–7
2.2. Anti-H. pylori Activity of Compounds 1−7
2.3. Urease Inhibitory Activity
2.4. Molecular Docking Simulation
3. Materials and Methods
3.1. General Experimental Procedures
3.2. Plant Materials
3.3. Extraction and Isolation
3.4. ECD Calculation
3.5. Helicobacter pylori Culture
3.6. Anti-Helicobacter pylori Assay
negative control] × 100
3.7. Measurement of Urease Inhibitory Activity
3.8. Molecular Docking
3.9. Statistical Analysis
4. Conclusions
Supplementary Materials
Author Contributions
Funding
Data Availability Statement
Conflicts of Interest
References
- Sung, H.; Ferlay, J.; Siegel, R.L.; Laversanne, M.; Soerjomataram, I.; Jemal, A.; Bray, F. Global cancer statistics 2020: Globocan estimates of incidence and mortality worldwide for 36 cancers in 185 countries. CA Cancer J. Clin. 2021, 71, 209–249. [Google Scholar] [CrossRef]
- Ferlay, J.; Colombet, M.; Soerjomataram, I.; Parkin, D.M.; Piñeros, M.; Znaor, A.; Bray, F. Cancer statistics for the year 2020: An overview. Int. J. Cancer 2021, 149, 778–789. [Google Scholar] [CrossRef]
- Brenner, H.; Rothenbacher, D.; Arndt, V. Epidemiology of stomach cancer. Cancer Epidemiol. 2009, 472, 467–477. [Google Scholar]
- Warren, J.R.; Marshall, B. Unidentified curved bacilli on gastric epithelium in active chronic gastritis. Lancet 1983, 321, 1273–1275. [Google Scholar] [CrossRef]
- Johnson, K.S.; Ottemann, K.M. Colonization, localization, and inflammation: The roles of H. pylori chemotaxis in vivo. Curr. Opin. Microbiol. 2018, 41, 51–57. [Google Scholar] [CrossRef]
- Jung, H.-K.; Kang, S.J.; Lee, Y.C.; Yang, H.-J.; Park, S.-Y.; Shin, C.M.; Kim, S.E.; Lim, H.C.; Kim, J.-H.; Nam, S.Y.; et al. Evidence-based guidelines for the treatment of Helicobacter pylori infection in Korea 2020. Gut Liver 2021, 15, 168–195. [Google Scholar] [CrossRef] [PubMed]
- Sathianarayanan, S.; Ammanath, A.V.; Biswas, R.; Anita, B.; Sukumaran, S.; Venkidasamy, B. A new approach against Helicobacter pylori using plants and its constituents: A review study. Microb. Pathog. 2022, 168, 105594. [Google Scholar] [CrossRef] [PubMed]
- IARC Working Group. Schistosomes, Liver Flukes, and Helicobacter pylori; IARC Monographs on The Evaluation of The Carcinogenic Risks to Humans; International Agency for Research on Cancer: Lyon, France, 1994; Volume 61, pp. 177–240. [Google Scholar]
- Charitos, A.I.; D’Agostino, D.; Topi, S.; Bottalico, L. 40 Years of Helicobacter pylori: A revolution in biomedical thought. Gastroenterol. Insights 2021, 12, 111–135. [Google Scholar] [CrossRef]
- Eaton, K.A.; Brooks, L.C.; Morgan, D.R.; Krakowka, S. Essential role of urease in pathogenesis of gastritis induced by Helicobacter pylori in gnotobiotic piglets. Infect. Immun. 1991, 59, 2470–2475. [Google Scholar] [CrossRef]
- Athmann, C.; Zeng, N.; Kang, T.; Marcus, E.A.; Scott, D.R.; Rektorschek, M.; Sachs, G. Local pH elevation mediated by the intrabacterial urease of Helicobacter pylori cocultured with gastric cells. J. Clin. Investig. 2000, 106, 339–347. [Google Scholar] [CrossRef]
- Gene, E.; Calvet, X.; Azagra, R.; Gisbert, J.P. Triple vs. quadruple therapy for treating Helicobacter pylori infection: A meta-analysis. Aliment. Pharmacol. Ther. 2003, 17, 1137–1143. [Google Scholar] [CrossRef] [PubMed]
- Kim, S.G.; Jung, H.-K.; Lee, H.L.; Jang, J.Y.; Lee, H.; Kim, C.G.; Shin, W.G.; Shin, E.S.; Lee, Y.C. Guidelines for the diagnosis and treatment of Helicobacter pylori infection in Korea, 2013 revised edition. J. Gastroenterol. Hepatol. 2014, 29, 1371–1386. [Google Scholar] [CrossRef]
- Lee, J.H.; Ahn, J.Y.; Choi, K.D.; Jung, H.-Y.; Kim, J.M.; Baik, G.H.; Kim, B.-W.; Park, J.C.; Jung, H.-K.; Cho, S.J.; et al. Nationwide antibiotic resistance mapping of Helicobacter pylori in Korea: A prospective multicenter study. Helicobacter 2019, 24, e12592. [Google Scholar] [CrossRef]
- Lee, C.B. Color Illustrated Flora of Korea; Hyangmunsa: Seoul, Republic of Korea, 1985; Volume 2, p. 228. [Google Scholar]
- Kang, D.-M.; Kwon, J.-M.; Jeong, W.-J.; Neupane, D.B.; Ahn, M.-J. Antioxidant compounds of Sambucus pendula stem. Nat. Prod. Sci. 2024, 30, 275–281. [Google Scholar] [CrossRef]
- Yesilada, E.; Gurbuz, I.; Shibata, H. Screening of turkish anti-ulcerogenic folk remedies for anti-Helicobacter pylori activity. J. Ethnopharmacol. 1999, 66, 289–293. [Google Scholar] [CrossRef]
- Chatterjee, A.; Yasmin, T.; Bagchi, D.; Stohs, S. Inhibition of Helicobacter pylori in vitro by various berry extracts, with enhanced susceptibility to clarithromycin. J. Mol. Cell Biochem. 2004, 265, 19–26. [Google Scholar] [CrossRef]
- Seo, K.-S.; Yun, K.W. In vitro antimicrobial and antioxidant activities of Sambucus williamsii and Sambucus pendula. Int. J. Second. Metab. 2024, 11, 191–199. [Google Scholar] [CrossRef]
- Xiao, H.H.; Zhang, Y.; Cooper, R.; Yao, S.X.; Wong, S.M. Phytochemicals and potential health effects of Sambucus williamsii Hance (Jiegumu). Chin. Med. 2016, 11, 36. [Google Scholar] [CrossRef] [PubMed]
- Hwang, J.H.; Choi, H.; Hwang, I.S.; Kim, A.R.; Woo, E.R.; Lee, D.G. Synergistic antibacterial and antibiofilm effect between (+)-medioresinol and antibiotics In Vitro. Appl. Biochem. Biotechnol. 2013, 170, 1934–1941. [Google Scholar] [CrossRef]
- Kim, H.H.; Lee, S.; Kim, S.H.; Yim, S.H. Triterpenoid constituents and Their Anti-cancer activity from stems and branches of Sambucus williamsii var. coreana Nakai (Caprifoliaceae). Food Sci. Technol. 2021, 42, e76021. [Google Scholar] [CrossRef]
- Kang, X.; Lee, J.A. Development of anti-aging cream containing green tea extract fermented with lactic acid bacteria and evaluation of its skin improvement effects. J. Soc. Cosmet. Sci. Korea 2023, 13, 123–133. [Google Scholar]
- Waswa, E.; Li, J.; Mkala, E.; Wanga, V.; Mutinda, E.; Nanjala, C.; Odago, W.; Katumo, D.; Gichua, M.; Gituru, R.; et al. Ethnobotanical study of medicinal plants used by traditional health practitioners in the management of diabetes in kakamega county, Kenya. J. Ethnopharmacol. 2022, 292, 115102. [Google Scholar] [CrossRef]
- Greca, M.D.; Molinaro, A.; Monaco, P.; Previtera, L. Lignans from Arum italicum. Phytochemistry 1994, 35, 777–779. [Google Scholar] [CrossRef]
- Yao, G.-D.; Wang, J.; Song, X.-Y.; Zhou, L.; Lou, L.-L.; Zhao, W.-Y.; Lin, B.; Huang, X.-X.; Song, S.-J. Stereoisomeric guaiacylglycerol-β-coniferyl aldehyde ether induces distinctive apoptosis by downregulation of MEK/ERK pathway in hepatocellular carcinoma cells. Biroong. Chem. 2018, 81, 382–388. [Google Scholar] [CrossRef] [PubMed]
- Li, S.; Lundquist, K.; Wallis, A.F.A. Revised structure for a neolignan from Brucea javanica. Phytochemistry 1998, 49, 2125–2128. [Google Scholar] [CrossRef]
- Tyukavkina, A.N.; Lutskii, I.V.; Borodina, M.N.; Voronov, K.V. A new phenol from Pinus sylvestris. Chem. Nat. Compd. 1970, 6, 199–201. [Google Scholar] [CrossRef]
- Harmatha, J.; Lubke, H.; Rybarik, I.; Mahdalík, M. cis-Coniferyl alcohol and its glucoside from the bark of beech (Fagus silvatica L.). Chem. Commun. 1978, 43, 774–780. [Google Scholar] [CrossRef]
- Comte, G.; Vercauteren, J.; Chulia, J.A.; Allais, P.D.; Delage, C. Phenylpropanoids from leaves of Juniperus phoenicea. Phytochemistry 1997, 45, 1679–1682. [Google Scholar] [CrossRef]
- Rudiyansyah, R.; Masriani, M.; Mudianta, I.; Garson, M. Isolation and absolute configuration of boehmenan from Durio affinis Becc. Rec. Nat. Prod. 2014, 8, 195–198. [Google Scholar]
- Li, L.; Seeram, P.N. Maple syrup phytochemicals include lignans, coumarins, a stilbene, and other previously unreported antioxidant phenolic compounds. J. Agric. Food Chem. 2010, 58, 11673–11679. [Google Scholar] [CrossRef]
- Kang, D.-M.; Khalil, K.A.A.; Park, W.S.; Kim, H.-J.; Akter, K.-M.; Bae, J.-Y.; Büyüker, M.S.; Kim, J.-H.; Kang, K.K.; Ahn, M.-J. Anti-Helicobacter pylori activity of six major compounds isolated from Rumex acetosa. ACS Omega 2023, 8, 42548–42554. [Google Scholar] [CrossRef]
- Lu, C.; Wang, H.; Lv, W.; Xu, P.; Zhu, J.; Xie, J.; Liu, B.; Lou, Z. Antibacterial properties of anthraquinones extracted from rhubarb against Aeromonas hydrophila. Fish. Sci. 2011, 77, 375–384. [Google Scholar] [CrossRef]
- Siddaraju, M.N.; Dharmesh, S.M. Inhibition of Gastric H+, K+- ATPase and Helicobacter pylori growth by phenolic antioxidants of Curcuma amada. J. Agric. Food Chem. 2007, 55, 7377–7386. [Google Scholar] [CrossRef]
- Garro, M.F.; Ibáñez, A.G.S.; Vega, A.E.; Sosa, A.C.A.; Pelzer, L.; Saad, J.R.; Maria, A.O. Gastroprotective effects and antimicrobial activity of Lithraea molleoides and isolated compounds against Helicobacter pylori. J. Ethnopharmacol. 2015, 176, 469–474. [Google Scholar] [CrossRef]
- Kaur, R.; Uppal, S.K.; Sharma, P. Antioxidant and antibacterial activities of sugarcane bagasse lignin and chemically modified lignins. Sugar Tech 2017, 19, 675–680. [Google Scholar] [CrossRef]
- Yang, W.; Fortunati, E.; Gao, D.; Balestra, G.M.; Giovanale, G.; He, X.; Torre, L.; Kenny, J.M.; Puglia, D. Valorization of acid isolated high yield lignin nanoparticles as innovative antioxidant/antimicrobial organic materials. ACS Sustain. Chem. Eng. 2018, 6, 3502–3514. [Google Scholar] [CrossRef]
- Barder, M.S.; McConnell, V.S.; DeCaux, B.S. Antimicrobial intermediates of the general phenylpropanoid and lignin specific pathways. Phytochemistry 2000, 54, 53–56. [Google Scholar] [CrossRef] [PubMed]
- Abu-Qatouseh, L.F.; Ahmad, M.I.A.; Amorim, C.G.; Al-Adham, I.S.I.; Collier, P.J.; Montenegro, M.C.B.S.M. Insights into the molecular antimicrobial properties of ferulic acid against Helicobacter pylori. J. Appl. Microbiol. 2025, 2, 136. [Google Scholar] [CrossRef] [PubMed]
- Drews, J. Drug discovery: A historical perspective. Science 2000, 287, 1960–1964. [Google Scholar] [CrossRef] [PubMed]
- Kaderabkova, N.; Mahmood, A.J.S.; Mavridou, D.A.I. Antibiotic susceptibility testing using minimum inhibitory concentration (MIC) assays. npj Antimicrob. Resist. 2024, 2, 37. [Google Scholar] [CrossRef]
- Svane, S.; Sigurdarson, J.J.; Finkenwirth, F.; Eitinger, T.; Karring, H. Inhibition of urease activity by different compounds provides insight into the modulation and association of bacterial nickel import and ureolysis. Sci. Rep. 2020, 10, 8503. [Google Scholar] [CrossRef] [PubMed]




| Strains | Total Fr. | Hexane Fr. | CH2Cl2 Fr. | EtOAc Fr. | BuOH Fr. | Aqueous Fr. | Quercetin | 
|---|---|---|---|---|---|---|---|
| 51 | 24.3 ± 3.7 b | 53.0 ± 3.7 a | 69.8 ± 3.7 a | 36.4 ± 0.9 a | 26.7 ± 3.7 b | 23.9 ± 2.1 b | 43.2 ± 9.6 a | 
| 26,695 | 18.5 ± 15.1 b | 20.0 ± 14.3 b | 94.7 ± 1.3 a | 92.5 ± 1.4 a | 12.0 ± 1.6 b | 5.3 ± 7.5 c | 24.8 ± 7.1 b | 
| Position | 5 | 6 | ||
|---|---|---|---|---|
| δH (J in Hz) | δC | δH (J in Hz) | δC | |
| 1 | 130.1 | 130.0 | ||
| 2 | 6.88 d (1.4) | 119.6 | 7.08 d (1.9) | 110.3 | 
| 3 | 147.5 | 150.4 | ||
| 4 | 7.01 d (1.4) | 119.3 | 147.6 | |
| 5 | 147.6 | 6.76 d (8.1) | 119.4 | |
| 6 | 7.01 d (1.4) | 110.4 | 6.86 dd (8.1, 1.9) | 117.5 | 
| 7 | 4.84 d (5.7) | 72.7 | 4.89 d (5.7) | 72.7 | 
| 8 | 4.37 td (5.7, 3.8) | 84.8 | 4.31 td (5.7, 3.9) | 85.8 | 
| 9 | 3.85 d (8.1, 5.7, 9a) | 60.8 | 3.75 dd (11.9, 3.9, 9a) | 60.5 | 
| 3.80 d (8.1, 3.8, 9b) | 3.48 dd (11.9, 5.7, 9b) | |||
| 1′ | 131.6 | 131.7 | ||
| 2′ | 6.88 d (1.4) | 110.0 | 7.03 d (1.9) | 109.9 | 
| 3′ | 150.5 | 150.4 | ||
| 4′ | 146.2 | 147.9 | ||
| 5′ | 6.73 d (8.1) | 114.4 | 7.02 d (8.1) | 114.5 | 
| 6′ | 6.83 dd (8.1, 1.4) | 117.5 | 6.93 dd (8.1, 1.9) | 119.4 | 
| 7′ | 6.53 dt (15.9, 1.4) | 132.3 | 6.56 d (15.9) | 132.1 | 
| 8′ | 6.25 td (15.9, 5.7) | 127.1 | 6.28 dt (15.9, 8.1) | 127.2 | 
| 9′ | 4.21 dd (5.7, 1.4) | 62.4 | 4.22 dd (5.7, 1.4) | 62.4 | 
| 3-OCH3 | 3.82 s | 55.9 | 3.90 s | 55.13 | 
| 3′-OCH3 | 3.81 s | 55.1 | 3.83 s | 54.90 | 
| Strains | 1 | 2 | 3 | 4 | 5 | 6 | 7 | Quercetin | Metronidazole | 
|---|---|---|---|---|---|---|---|---|---|
| 51 | 69.0 ± 1.1 c | 12.3 ± 5.8 e | 94.5 ± 0.3 a | 81.0 ± 1.0 b | 7.1 ± 2.4 e | 13.1 ± 3.9 e | 21.6 ± 0.9 d | 35.7 ± 3.5 d | 95.5 ± 0.4 a | 
| 26,695 | 72.0 ± 1.2 c | 4.0 ± 0.9 e | 97.3 ± 0.1 a | 85.0 ± 3.2 b | ND | 1.7 ± 1.5 d | 2.6 ± 1.5 e | 20.2 ± 2.7 d | 94.6 ± 0.2 a | 
| Strains | MIC (μM) a | 3 | 4 | Quercetin b | Metronidazole b | 
|---|---|---|---|---|---|
| 51 | MIC | 3.13 | 3.13 | 50 | 3.13 | 
| MIC50 | 28.5 | 66.0 | >100 | 13.7 | |
| MIC90 | 97.1 | >100 | >100 | 46.5 | |
| 26,695 | MIC | 6.25 | 6.25 | 50 | 3.13 | 
| MIC50 | 56.8 | 62.0 | >100 | 18.9 | |
| MIC90 | 86.5 | >100 | >100 | 40.7 | 
| Compounds | Binding Energy a | Hydrogen Interaction b | Hydrophobic Interaction c | Inhibition (%) d | 
|---|---|---|---|---|
| (7S,8R)-Guaiacylglycerol (3) | −6.0 | Lys β445, Gln β471 | Val α36, Val α33, Pro β472, Leu α13 | 31.8 ± 2.8 f | 
| Boehmenan (4) | −8.6 | Gln β471, Gln β459, Tyr β32, Phe β441, Glu α80, Gly α82, Thr β469, His α79 | Val β473, Tyr α32 | 38.9 ± 1.2 e | 
| Disclaimer/Publisher’s Note: The statements, opinions and data contained in all publications are solely those of the individual author(s) and contributor(s) and not of MDPI and/or the editor(s). MDPI and/or the editor(s) disclaim responsibility for any injury to people or property resulting from any ideas, methods, instructions or products referred to in the content. | 
© 2025 by the authors. Licensee MDPI, Basel, Switzerland. This article is an open access article distributed under the terms and conditions of the Creative Commons Attribution (CC BY) license (https://creativecommons.org/licenses/by/4.0/).
Share and Cite
Jeong, W.-J.; Kang, D.-M.; Khalil, A.A.K.; Neupane, B.D.; Cho, S.-J.; Yang, N.-I.; Kim, K.-H.; Ahn, M.-J. Anti-Helicobacter pylori Compounds of Sambucus williamsii Hance Branch. Plants 2025, 14, 2558. https://doi.org/10.3390/plants14162558
Jeong W-J, Kang D-M, Khalil AAK, Neupane BD, Cho S-J, Yang N-I, Kim K-H, Ahn M-J. Anti-Helicobacter pylori Compounds of Sambucus williamsii Hance Branch. Plants. 2025; 14(16):2558. https://doi.org/10.3390/plants14162558
Chicago/Turabian StyleJeong, Woo-Jin, Dong-Min Kang, Atif Ali Khan Khalil, Bashu Dev Neupane, Seong-Joon Cho, Na-In Yang, Ki-Hyun Kim, and Mi-Jeong Ahn. 2025. "Anti-Helicobacter pylori Compounds of Sambucus williamsii Hance Branch" Plants 14, no. 16: 2558. https://doi.org/10.3390/plants14162558
APA StyleJeong, W.-J., Kang, D.-M., Khalil, A. A. K., Neupane, B. D., Cho, S.-J., Yang, N.-I., Kim, K.-H., & Ahn, M.-J. (2025). Anti-Helicobacter pylori Compounds of Sambucus williamsii Hance Branch. Plants, 14(16), 2558. https://doi.org/10.3390/plants14162558
 
        
 
                                                





 
       