Allelopathic Potential of Artemisia absinthium and Artemisia vulgaris from Serbia: Chemical Composition and Bioactivity on Weeds
Abstract
1. Introduction
2. Results
2.1. Chemical Analysis of A. absinthium and A. vulgaris Plant Extracts
2.2. Chemical Analysis of A. absinthium and A. vulgaris Essential Oils
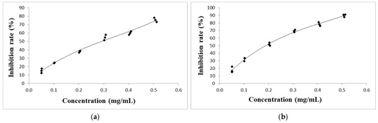
2.3. Assessment of the Allelopathic Potential of Plant Extracts of A. absinthium and A. vulgaris In Vitro
2.4. Assessment of the Allelopathic Potential of Essential Oils of A. absinthium and A. vulgaris In Vitro
3. Discussion
4. Materials and Methods
4.1. Collection and Extraction of Plant Material
4.2. Chemical Analysis of A. absinthium and A. vulgaris Plant Extracts
4.3. Chemical Analysis of A. absinthium and A. vulgaris Essential Oils
4.4. Assessment of the Allelopathic Potential of Plant Extracts and Essential Oils of A. absinthium and A. vulgaris In Vitro
4.5. Statistical Analysis
5. Conclusions
Supplementary Materials
Author Contributions
Funding
Data Availability Statement
Conflicts of Interest
Abbreviations
| PE | plant extract |
| EO | essential oil |
| TPC | total phenolic content |
| GAE | gallic acid |
References
- Hossard, L.; Guichard, L.; Pelosi, C.; Makowski, D. Lack of evidence for a decrease in synthetic pesticide use on the main arable crops in France. Sci. Total Environ. 2017, 575, 152–161. [Google Scholar] [CrossRef] [PubMed]
- Kanissery, R.; Gairhe, B.; Kadyampakeni, D.; Batuman, O.; Alferez, F. Glyphosate: Its environmental persistence and impact on crop health and nutrition. Plants 2019, 8, 499. [Google Scholar] [CrossRef]
- Gupta, I.; Singh, R.; Muthusamy, S.; Sharma, M.; Grewal, K.; Singh, H.P.; Batish, D.R. Plant Essential Oils as Biopesticides: Applications, Mechanisms, Innovations, and Constraints. Plants 2023, 12, 2916. [Google Scholar] [CrossRef] [PubMed]
- Anh, L.H.; Quan, N.V.; Nghia, L.T.; Xuan, T.D. Phenolic allelochemicals: Achievements, limitations, and prospective approaches in weed management. Weed Biol. Manag. 2021, 21, 37–67. [Google Scholar] [CrossRef]
- Khamare, Y.; Chen, J.; Marble, S.C. Allelopathy and its application as a weed management tool: A review. Front. Plant Sci. 2022, 13, 1034649. [Google Scholar] [CrossRef]
- Li, Z.R.; Amist, N.; Bai, L.Y. Allelopathy in sustainable weeds management. Allelopathy J. 2019, 48, 109–138. [Google Scholar] [CrossRef]
- Kostina-Bednarz, M.; Płonka, J.; Barchanska, H. Allelopathy as a source of bioherbicides: Challenges and prospects for sustainable agriculture. Rev. Environ. Sci. Biotechnol. 2023, 22, 471–504. [Google Scholar] [CrossRef]
- Cheng, F.; Cheng, Z. Research progress on the use of plant allelopathy in agriculture and the physiological and ecological mechanisms of allelopathy. Front. Plant Sci. 2015, 6, 1020. [Google Scholar] [CrossRef]
- Motmainna, M.; Juraimi, A.S.B.; Uddin, M.K.; Asib, N.B.; Islam, A.K.M.M.; Hasan, M. Assessment of allelopathic compounds to develop new natural herbicides: A review. Allelopathy J. 2021, 52, 21–39. [Google Scholar] [CrossRef]
- Ferraz, C.A.; Pastorinho, M.R.; Palmeira-de-Oliveira, A.; Sousa, A.C.A. Ecotoxicity of plant extracts and essential oils: A review. Environ. Pollut. 2022, 292, 118319. [Google Scholar] [CrossRef]
- Elghobashy, R.M.; El-Darier, S.M.; Atia, A.M.; Zakaria, M. Allelopathic Potential of Aqueous Extracts and Essential Oils of Rosmarinus officinalis L. and Thymus vulgaris L. J. Soil Sci. Plant Nutr. 2024, 24, 700–715. [Google Scholar] [CrossRef]
- Giunti, G.; Benelli, G.; Palmeri, V.; Laudani, F.; Ricupero, M.; Ricciardi, R.; Maggi, F.; Lucchi, A.; Guedes, R.N.C.; Desneux, N.; et al. Non-target effects of essential oil-based biopesticides for crop protection: Impact on natural enemies, pollinators, and soil invertebrates. Biol. Control 2022, 176, 105071. [Google Scholar] [CrossRef]
- Kaura, S.; Singhb, P.H.; Mittalb, S.; Batisha, R.D.; Kohlia, K.R. Phytotoxic effects of volatile oil from Artemisia scoparia against weeds and its possible use as a bioherbicide. Ind. Crop. Prod. 2010, 32, 54–61. [Google Scholar] [CrossRef]
- Josifović, M. (Ed.) Flora SR Srbije; VII Tom; SANU: Beograd, Srbija, 1975. (In Serbian) [Google Scholar]
- Julio, L.F.; Burillo, J.; Giménez, C.; Cabrera, R.; Díaz, C.E.; Sanz, J.; González-Coloma, A. Chemical and biocidal characterization of two cultivated Artemisia absinthium populations with different domestication levels. Ind. Crop. Prod. 2015, 76, 787–792. [Google Scholar] [CrossRef]
- Seixas, P.T.L.; Demuner, A.J.; Alvarenga, E.S.; Barbosa, L.C.A.; Marques, A.; de Sá Farias, E.; Picanço, M.C. Bioactivity of essential oils from Artemisia against Diaphania hyalinata and its selectivity to beneficial insects. Sci. Agric. 2018, 75, 519–525. [Google Scholar] [CrossRef]
- Nigam, M.; Atanassova, M.; Mishra, A.P.; Pezzani, R.; Devkota, H.P.; Plygun, S.; Salehi, B.; Setzer, W.N.; Sharifi-Rad, J. Bioactive Compounds and Health Benefits of Artemisia Species. Nat. Prod. Commun. 2019, 14, 1934578X19850354. [Google Scholar] [CrossRef]
- Kapoor, D.; Rinzim; Tiwari, A.; Sehgal, A.; Landi, M.; Brestic, M.; Sharma, A. Exploiting the allelopathic potential of aqueous leaf extracts of Artemisia absinthium and Psidium guajava against Parthenium hysterophorus, a widespread weed in India. Plants 2019, 8, 552. [Google Scholar] [CrossRef]
- Adams, R.P. Identification of Essential Oil Components by Gas Chromatography/Mass Spectrometry, 4th ed.; Allured Publishing Corporation: Carol Stream, IL, USA, 2007. [Google Scholar]
- Melguizo-Melguizo, D.; Diaz-de-Cerio, E.; Quirantes-Pine, E.; Švarc-Gajić, J.; Segura-Carretero, A. The potential of Artemisia vulgaris leaves as a source of antioxidant phenolic compounds. J. Funct. Foods 2014, 10, 192–200. [Google Scholar] [CrossRef]
- Marcinkeviciene, A.; Kriauciunuene, Z.; Velicka, R.; Kosteckas, R.; Fujii, Y. Allelopathic effect of Artemisia vulgaris on winter wheat and winter oilseed rape. Fresenius Environ. Bull. 2018, 27, 727–732. [Google Scholar]
- Findura, P.; Kocira, S.; Hara, P.; Pawłowska, A.; Szparaga, A.; Kangalov, P. Extracts from Artemisia vulgaris L. in Potato Cultivation—Preliminary Research on Biostimulating Effect. Agriculture 2020, 10, 356. [Google Scholar] [CrossRef]
- Pannacci, E.; Masi, M.; Farneselli, M.; Tei, F. Evaluation of Mugwort (Artemisia vulgaris L.) Aqueous Extract as a Potential Bioherbicide to Control Amaranthus retroflexus L. in Maize. Agriculture 2020, 10, 642. [Google Scholar] [CrossRef]
- Bashar, H.K.; Juraimi, A.S.; Ahmad-Hamdani, M.S.; Uddin, M.K.; Asib, N.; Anwar, M.P.; Karim, S.R.; Rahaman, F.; Haque, M.A.; Hossain, A. Documentation of Phytotoxic Compounds Existing in Parthenium hysterophorus L. Leaf and Their Phytotoxicity on Eleusine indica (L.) Gaertn. and Digitaria sanguinalis (L.) Scop. Toxins 2022, 14, 561. [Google Scholar] [CrossRef] [PubMed]
- Araniti, F.; Gulli, T.; Marrelli, M.; Statti, G.; Gelsomino, A.; Abenavoli, M.R. Artemisia arborescens L. leaf litter: Phytotoxic activity and phytochemical characterization. Acta Physiol. Plant. 2016, 38, 128. [Google Scholar] [CrossRef]
- Li, J.; Chen, L.; Chen, Q.; Miao, Y.; Peng, Z.; Huang, B.; Guo, L.; Liu, D.; Du, H. Allelopathic effect of Artemisia argyi on the germination and growth of various weeds. Sci. Rep. 2021, 11, 4303. Available online: https://www.nature.com/articles/s41598-021-83752-6 (accessed on 22 February 2021). [CrossRef]
- Xu, J.; Chen, L.; Wang, S.; Zhang, W.; Liang, J.; Ran, L.; Deng, Z.; Zhou, Y. Chemoproteomic Profiling Reveals Chlorogenic Acid as a Covalent Inhibitor of Arabidopsis Dehydroascorbate Reductase 1. J. Agric. Food. Chem. 2025, 73, 908–918. [Google Scholar] [CrossRef]
- Radulović, M.; Unković, N.; Dimkić, I.; Janakiev, T.; Janaćković, P.; Gašić, U.; Knežević, B.; Radacsi, P.; Gavrilović, M. Phenolic profile and antimicrobial activity of leaf extracts from five Artemisia species (Asteraceae). Bot. Serb. 2024, 48, 7–16. [Google Scholar] [CrossRef]
- Kordali, S.; Cakir, A.; Sutay, S. Inhibitory effects of monoterpenes on seed germination and seedling growth. Z. Naturforsch. C. J. Biosci. 2007, 62, 207–214. [Google Scholar] [CrossRef]
- Radulović, M.; Rajčević, N.; Gavrilović, M.; Novaković, J.; Stešević, D.; Marin, P.; Janaćković, P. Five wild-growing Artemisia (Asteraceae) species from Serbia and Montenegro: Essential oil composition and its chemophenetic significance. J. Serb. Chem. Soc. 2021, 86, 1281–1290. [Google Scholar] [CrossRef]
- Ickovski, J.; Jovanović, O.; Zlatković, B.; Đorđević, M.; Stepić, K.; Ljupković, R.; Stojanović, G. Variations in the composition of essential oils of selected Artemisia species as a function of soil type. J. Serb. Chem. Soc. 2021, 86, 1259–1269. [Google Scholar] [CrossRef]
- Blagojević, P.; Radulović, N.; Palić, R.; Stojanović, G. Chemical composition of the essential oils of serbian wild-growing Artemisia absinthium and Artemisia vulgaris. J. Agric. Food Chem. 2006, 54, 4780–4789. [Google Scholar] [CrossRef]
- Riahi, L.; Chograni, H.; Elferchichi, M.; Zaouali, Y.; Zoghlami, N.; Mliki, A. Variations in Tunisian wormwood essential oil profiles and phenolic contents between leaves and flowers and their effects on antioxidant activities. Ind. Crop. Prod. 2013, 46, 290–296. [Google Scholar] [CrossRef]
- Fouad, R.; Bousta, D.; Lalami, A.E.O.; Chahdi, F.O.; Amri, I.; Jamoussi, B.; Greche, H. Chemical Composition and Herbicidal Effects of Essential Oils of Cymbopogon citratus (DC) Stapf, Eucalyptus cladocalyx, Origanum vulgare L and Artemisia absinthium L. cultivated in Morocco. J. Essent. Oil-Bear. Plants 2015, 18, 112–123. [Google Scholar] [CrossRef]
- Ivănescu, B.; Burlec, A.F.; Crivoi, F.; Roşu, C.; Corciovă, A. Secondary Metabolites from Artemisia Genus as Biopesticides and Innovative Nano-Based Application Strategies. Molecules 2021, 26, 3061. [Google Scholar] [CrossRef]
- Raveau, R.; Fontaine, J.; Sahraoui, A.L. Essential Oils as Potential Alternative Biocontrol Products against Plant Pathogens and Weeds: A Review. Foods 2020, 9, 365. [Google Scholar] [CrossRef]
- Shao, H.; Hu, Y.; Han, C.; Wei, C.; Zhou, S.; Zhang, C.; Zhang, C. Chemical composition and phytotoxic activity of Seriphidium terrae-albae (Krasch.) Poljakov (Compositae) essential oil. Chem. Biodivers. 2018, 15, e1800348. [Google Scholar] [CrossRef]
- Sarić-Krsmanović, M.; Tojić, T.; Gajić Umiljendić, J.; Đorđević, T.; Đurđević-Pejčev, R.; Radivojević, L.; Božić, D.; Vrbničanin, S. Phytochemical Investigation of Cuscuta campestris Yunck. Stem Extract and Evaluation of its Bioherbicidal Effect on Amaranthus retroflexus L. and Portulaca oleracea L. Chem. Biodivers. 2023, 20, e202300270. [Google Scholar] [CrossRef]
- Han, C.; Zhang, G.; Mei, Y.; Shan, Z.; Shi, K.; Zhou, S.; Shao, H. Chemical profile of Artemisia vulgaris L. essential oil and its phytotoxic, insecticidal, and antimicrobial activities. S. Afr. J. Bot. 2023, 162, 20–28. [Google Scholar] [CrossRef]
- Jiang, C.; Zhou, S.; Liu, L.; Toshmatov, Z.; Huang, L.; Shi, K.; Zhang, C.; Shao, H. Evaluation of the phytotoxic effect of the essential oil from Artemisia absinthium. Ecotoxicol. Environ. Saf. 2021, 226, 112856. [Google Scholar] [CrossRef]
- Aćimović, M.G.; Cvetković, M.T.; Stanković Jeremić, J.M.; Pezo, L.L.; Varga, A.O.; Čabarkapa, I.S.; Kiprovski, B. Biological activity and profiling of Salvia sclarea essential oil obtained by steam and hydrodistillation extraction methods via chemometrics tools. Flavour Fragr. J. 2022, 37, 20–32. [Google Scholar] [CrossRef]
- Gašić, U.M.; Natić, M.M.; Mišić, D.M.; Lušić, D.V.; Milojković-Opsenica, D.M.; Tešić, Ž.L.; Lušić, D. Chemical markers for the authentication of unifloral Salvia officinalis L. honey. J. Food Compos. Anal. 2015, 44, 128–138. [Google Scholar] [CrossRef]
- Singleton, V.L.; Rossi, J.A. Colorimetry of Total Phenolics with Phosphomolybdic-Phosphotungstic Acid Reagents. Am. J. Enol. Vitic. 1965, 16, 144–158. [Google Scholar] [CrossRef]
- Brand-Williams, W.; Cuvelier, M.E.; Berset, C. Use of a free radical method to evaluate antioxidant activity. LWT-Food Sci. Technol. 1995, 28, 25–30. [Google Scholar] [CrossRef]
- Pulido, R.; Bravo, L.; Saura-Calixto, F. Antioxidant activity of dietary polyphenols as determined by a modified ferric reducing/antioxidant power assay. J. Agric. Food Chem. 2000, 48, 3396–3402. [Google Scholar] [CrossRef]
- Streibig, J.C. Herbicide bioassay. Weed Res. 1988, 28, 479–484. [Google Scholar] [CrossRef]








| Chemical Class | Component | RT (min) | Molecular Ions [M-H]− | Q1 (m/z) | Q3 (m/z) | Content (mg/g) | |
|---|---|---|---|---|---|---|---|
| A. absinthium | A. vulgaris | ||||||
| Flavonoid | Epicatechin | 5.34 | 289.071 | 245.06 | 203.05 | 0.027 ± 0.001 | 0.074 ± 0.004 |
| Rutin | 6.41 | 609.146 | 301.04 | 179.00 | 0.135 ± 0.019 | 0.821 ± 0.046 | |
| Hyperoside | 6.41 | 463.088 | 301.04 | 179.00 | 0.066 ± 0.011 | 0.212 ± 0.015 | |
| Quercetin | 8.15 | 301.035 | 179.00 | 151.00 | 0.017 ± 0.003 | 0.013 ± 0.001 | |
| Luteolin | 8.17 | 285.040 | 241.03 | 227.02 | n.d. * | 0.053 ± 0.005 | |
| Kaempferol | 8.92 | 285.041 | 255.03 | 211.01 | 0.004 ± 0.000 | 0.030 ± 0.009 | |
| Isorhamnetin | 9.20 | 315.051 | 300.05 | 272.03 | 0.039 ± 0.002 | n.d. | |
| Flavonoid-3-o-glycosides | Isorhametin-3-O-rutinoside | 6.67 | 623.162 | 315.05 | 300.04 | 0.090 ± 0.013 | 0.053 ± 0.003 |
| Isorhametin-3-O-glucoside | 6.90 | 477.104 | 314.05 | 299.05 | 0.023 ± 0.003 | 0.015 ± 0.001 | |
| Kaempferol-3-O-glucoside | 6.93 | 447.094 | 285.04 | 0.197 ± 0.032 | 0.579 ± 0.030 | ||
| Hydroxycinnamic acids | Chlorogenic acid | 4.33 | 353.089 | 191.03 | 1.694 ± 0.081 | 1.381 ± 0.075 | |
| Caffeic acid | 5.81 | 179.035 | 135.02 | 0.058 ± 0.002 | 0.037 ± 0.003 | ||
| p-Coumaric acid | 6.58 | 163.040 | 119.03 | n.d. | 0.006 ± 0.001 | ||
| Coumarin | Aesculetin | 5.83 | 177.019 | 133.01 | 0.034 ± 0.000 | 0.025 ± 0.001 | |
| Component | a RIEXP | b RILIT | Content (%) | |
|---|---|---|---|---|
| A. absinthium | A. vulgaris | |||
| Sabinene | 969 | 969 | 3.94 ± 0.11 | 1.14 ± 0.05 |
| Myrcene | 988 | 988 | 1.77 ± 0.05 | 2.79 ± 0.07 |
| p-Cymene | 1020 | 1020 | 2.19 ± 0.06 | n.d. * |
| Linalool | 1094 | 1095 | 4.17 ± 0.17 | n.d. |
| Trans-thujone | 1112 | 1112 | 18.90 ± 0.86 | n.d. |
| Cis-epoxy ocimene | 1127 | 1128 | 7.88 ± 0.42 | n.d. |
| 4-Terpineol | 1173 | 1174 | 1.03 ± 0.09 | n.d. |
| Cumin aldehyde | 1238 | 1238 | 1.52 ± 0.06 | n.d. |
| Cis-chrysanthenyl acetate | 1262 | 1261 | n.d. | 7.17 ± 0.16 |
| Bornyl acetate | 1285 | 1284 | 1.03 ± 0.08 | n.d. |
| α-Cubebene | 1346 | 1345 | n.d. | 1.08 ± 0.05 |
| Cyclosativene | 1370 | 1369 | n.d. | 1.48 ± 0.09 |
| Modheph-2-ene | 1381 | 1382 | n.d. | 1.09 ± 0.06 |
| α-Isocomene | 1386 | 1387 | n.d. | 5.15 ± 0.22 |
| Cyperene | 1397 | 1398 | n.d. | 2.54 ± 0.09 |
| β-Caryophyllene | 1416 | 1417 | 6.00 ± 0.47 | 5.81 ± 0.17 |
| α-Humulene | 1451 | 1452 | n.d. | 3.43 ± 0.08 |
| 4,5-Di-epi-aristolochene | 1471 | 1471 | n.d. | 1.42 ± 0.06 |
| γ-Gurjunene | 1476 | 1475 | 1.21 ± 0.05 | 10.41 ± 0.31 |
| γ-Humulene | 1480 | 1481 | n.d. | 6.67 ± 0.19 |
| Germacrene D | 1483 | 1484 | 4.71 ± 0.21 | 4.88 ± 0.11 |
| β-Selinene | 1491 | 1491 | n.d. | 4.86 ± 0.07 |
| Bicyclogermacrene | 1500 | 1500 | 7.04 ± 0.47 | 1.15 ± 0.03 |
| δ-Cadinene | 1522 | 1522 | n.d. | 1.94 ± 0.05 |
| Germacrene D-4-ol | 1573 | 1574 | 5.35 ± 0.39 | n.d. |
| Caryophyllene oxide | 1581 | 1582 | n.d. | 3.75 ± 0.14 |
| Neryl 2-methyl-butanoate | 1584 | 1584 | 3.23 ± 0.11 | n.d. |
| Davanone | 1587 | 1587 | 1.04 ± 0.07 | 5.62 ± 0.20 |
| β-Himachalene oxide | 1615 | 1615 | n.d. | 1.74 ± 0.06 |
| Geranyl benzoate | 1957 | 1958 | n.d. | 1.85 ± 0.04 |
| Geranyl-α-terpinene | 1961 | 1962 ** | 1.51 ± 0.06 | n.d. |
| Hexadecyl acetate | 2004 | 2003 | 2.13 ± 0.11 | n.d. |
| 13-Epi-manool oxide | 2010 | 2009 | 3.27 ± 0.13 | n.d. |
| Total identified (%) | 77.92 | 75.97 | ||
| Monoterpene hydrocarbons | 7.90 | 3.93 | ||
| Oxygenated monoterpenes | 34.53 | 7.17 | ||
| Sesquiterpene hydrocarbons | 18.96 | 51.91 | ||
| Oxygenated sesquiterpenes | 9.62 | 11.11 | ||
| Diterpene hydrocarbons | 1.51 | n.d. | ||
| Oxygenated diterpenes | 3.27 | n.d. | ||
| Other | 2.13 | 1.85 | ||
| Plant Extract of A. absinthium | ||||
| Measured parameters | Regression parameters | |||
| B | C | D | EC50 (I50) | |
| A. retroflexus | ||||
| Seed germination | −4.07 ± 0.49 | 2.01 ± 2.48 | 101.25 ± 2.02 | 0.54 ± 0.02 |
| Shoot length | −5.26 ± 0.48 | −5.97 ± 2.16 | 101.33 ± 1.98 | 0.67 ± 0.02 |
| Radicle length | −0.93 ± 0.15 | 0.02 ± 2.31 | 107.36 ± 3.85 | 0.18 ± 0.02 |
| Seedling length | −2.94 ± 0.47 | 5.66 ± 3.28 | 102.55 ± 2.15 | 0.57 ± 0.03 |
| S. viridis | ||||
| Seed germination | −4.74 ± 0.49 | 0.18 ± 1.24 | 100.27 ± 2.37 | 1.51 ± 0.07 |
| Shoot length | −0.78 ± 0.12 | 0.27 ± 2.34 | 123.33 ± 9.88 | 0.64 ± 0.15 |
| Radicle length | −2.09 ± 0.11 | −0.59 ± 1.34 | 98.97 ± 1.28 | 0.55 ± 0.01 |
| Seedling length | −1.02 ± 0.09 | −0.08 ± 1.73 | 112.57 ± 3.95 | 0.56 ± 0.05 |
| Plant extract of A. vulgaris | ||||
| Measured parameters | Regression parameters | |||
| B | C | D | EC50 (I50) | |
| A. retroflexus | ||||
| Seed germination | −3.02 ± 0.16 | −0.36 ± 1.28 | 100.79 ± 1.15 | 0.63 ± 0.01 |
| Shoot length | −5.06 ± 0.78 | −18.86 ± 3.06 | 100.22 ± 3.48 | 0.93 ± 0.03 |
| Radicle length | −0.83 ± 0.10 | −0.01 ± 1.41 | 108.96 ± 3.28 | 0.21 ± 0.02 |
| Seedling length | −2.63 ± 0.19 | 1.81 ± 1.44 | 102.87 ± 1.50 | 0.82 ± 0.02 |
| S. viridis | ||||
| Seed germination | −2.78 ± 0.26 | −4.76 ± 1.72 | 104.63 ± 4.46 | 1.74 ± 0.11 |
| Shoot length | −0.79 ± 0.08 | 0.14 ± 1.38 | 115.48 ± 4.53 | 0.41 ± 0.04 |
| Radicle length | −1.21 ± 0.12 | −0.10 ± 1.46 | 98.62 ± 1.97 | 0.23 ± 0.01 |
| Seedling length | −0.83 ± 0.06 | 0.05 ± 1.08 | 111.37 ± 3.03 | 0.34 ± 0.02 |
| Essential Oil of A. absinthium | ||||
| Measured parameters | Regression parameters | |||
| B | C | D | EC50 (I50) | |
| A. retroflexus | ||||
| Seed germination | −1.47 ± 0.31 | 1.33 ± 1.79 | 142.65 ± 38.80 | 0.37 ± 0.15 |
| Shoot length | −2.05 ± 0.14 | −0.37 ± 1.32 | 96.39 ± 1.56 | 0.06 ± 0.00 |
| Radicle length | −1.29 ± 0.09 | −1.31 ± 1.58 | 99.76 ± 2.67 | 0.05 ± 0.00 |
| Seedling length | −1.65 ± 0.09 | −0.71 ± 1.12 | 97.46 ± 1.48 | 0.06 ± 0.00 |
| S. viridis | ||||
| Seed germination | −1.88 ± 0.31 | 2.03 ± 1.62 | 133.88 ± 17.92 | 0.28 ± 0.48 |
| Shoot length | −1.61 ± 0.08 | 0.99 ± 1.31 | 101.67 ± 1.04 | 0.02 ± 0.00 |
| Radicle length | −2.92 ± 0.26 | 0.28 ± 1.37 | 96.03 ± 1.40 | 0.04 ± 0.00 |
| Seedling length | −1.75 ± 0.10 | 1.81 ± 1.37 | 100.95 ± 1.12 | 0.03 ± 0.00 |
| Essential oil of A. vulgaris | ||||
| Measured parameters | Regression parameters | |||
| B | C | D | EC50 (I50) | |
| A. retroflexus | ||||
| Seed germination | −0.99 ± 0.19 | −1.61 ± 2.51 | 75.79 ± 10.74 | 0.11 ± 0.04 |
| Shoot length | −2.20 ± 0.17 | 1.32 ± 1.51 | 81.08 ± 1.09 | 0.02 ± 0.00 |
| Radicle length | −1.67 ± 0.13 | −1.95 ± 1.58 | 79.27 ± 1.53 | 0.03 ± 0.00 |
| Seedling length | −1.91 ± 0.15 | −1.62 ± 1.50 | 80.03 ± 1.24 | 0.02 ± 0.00 |
| S. viridis | ||||
| Seed germination | −2.95 ± 1.29 | 0.72 ± 1.09 | 72.09 ± 18.44 | 0.31 ± 0.07 |
| Shoot length | −1.15 ± 0.06 | −0.73 ± 1.20 | 101.44 ± 1.71 | 0.03 ± 0.00 |
| Radicle length | −1.72 ± 0.14 | −3.99 ± 1.26 | 102.49 ± 4.20 | 0.14 ± 0.01 |
| Seedling length | −1.04 ± 0.06 | −0.86 ± 1.18 | 104.71 ± 2.54 | 0.05 ± 0.00 |
Disclaimer/Publisher’s Note: The statements, opinions and data contained in all publications are solely those of the individual author(s) and contributor(s) and not of MDPI and/or the editor(s). MDPI and/or the editor(s) disclaim responsibility for any injury to people or property resulting from any ideas, methods, instructions or products referred to in the content. |
© 2025 by the authors. Licensee MDPI, Basel, Switzerland. This article is an open access article distributed under the terms and conditions of the Creative Commons Attribution (CC BY) license (https://creativecommons.org/licenses/by/4.0/).
Share and Cite
Tojić, T.; Đorđević, T.; Đurović-Pejčev, R.; Aćimović, M.; Božić, D.; Radivojević, L.; Sarić-Krsmanović, M.; Vrbničanin, S. Allelopathic Potential of Artemisia absinthium and Artemisia vulgaris from Serbia: Chemical Composition and Bioactivity on Weeds. Plants 2025, 14, 1663. https://doi.org/10.3390/plants14111663
Tojić T, Đorđević T, Đurović-Pejčev R, Aćimović M, Božić D, Radivojević L, Sarić-Krsmanović M, Vrbničanin S. Allelopathic Potential of Artemisia absinthium and Artemisia vulgaris from Serbia: Chemical Composition and Bioactivity on Weeds. Plants. 2025; 14(11):1663. https://doi.org/10.3390/plants14111663
Chicago/Turabian StyleTojić, Teodora, Tijana Đorđević, Rada Đurović-Pejčev, Milica Aćimović, Dragana Božić, Ljiljana Radivojević, Marija Sarić-Krsmanović, and Sava Vrbničanin. 2025. "Allelopathic Potential of Artemisia absinthium and Artemisia vulgaris from Serbia: Chemical Composition and Bioactivity on Weeds" Plants 14, no. 11: 1663. https://doi.org/10.3390/plants14111663
APA StyleTojić, T., Đorđević, T., Đurović-Pejčev, R., Aćimović, M., Božić, D., Radivojević, L., Sarić-Krsmanović, M., & Vrbničanin, S. (2025). Allelopathic Potential of Artemisia absinthium and Artemisia vulgaris from Serbia: Chemical Composition and Bioactivity on Weeds. Plants, 14(11), 1663. https://doi.org/10.3390/plants14111663

