Combined Effects of Marine Heatwaves and Light Intensity on the Physiological, Transcriptomic, and Metabolomic Profiles of Undaria pinnatifida
Abstract
1. Introduction
2. Results
2.1. Relative Growth Rate
2.2. Pigment Content
2.3. Fv/Fm and qP
2.4. PSII Energy Distribution Parameters
2.5. Light–Response Curves and Fitted Parameters
2.6. Physiological Stress Indicators
2.7. Antioxidant Enzyme Activities
2.8. Transcriptomic Analysis
2.8.1. Transcriptome Assembly and Annotation
2.8.2. Differential Gene Expression Analysis
2.8.3. GO Enrichment Analysis of Differentially Expressed Genes
2.8.4. KEGG Enrichment Analysis of Differentially Expressed Genes
2.9. Validation of Representative Gene Expression Patterns Using qRT-PCR
2.10. Metabolomic Analysis
2.10.1. Data Quality Assessment and Multivariate Analysis
2.10.2. KEGG Pathway Analysis of Differentially Expressed Metabolites
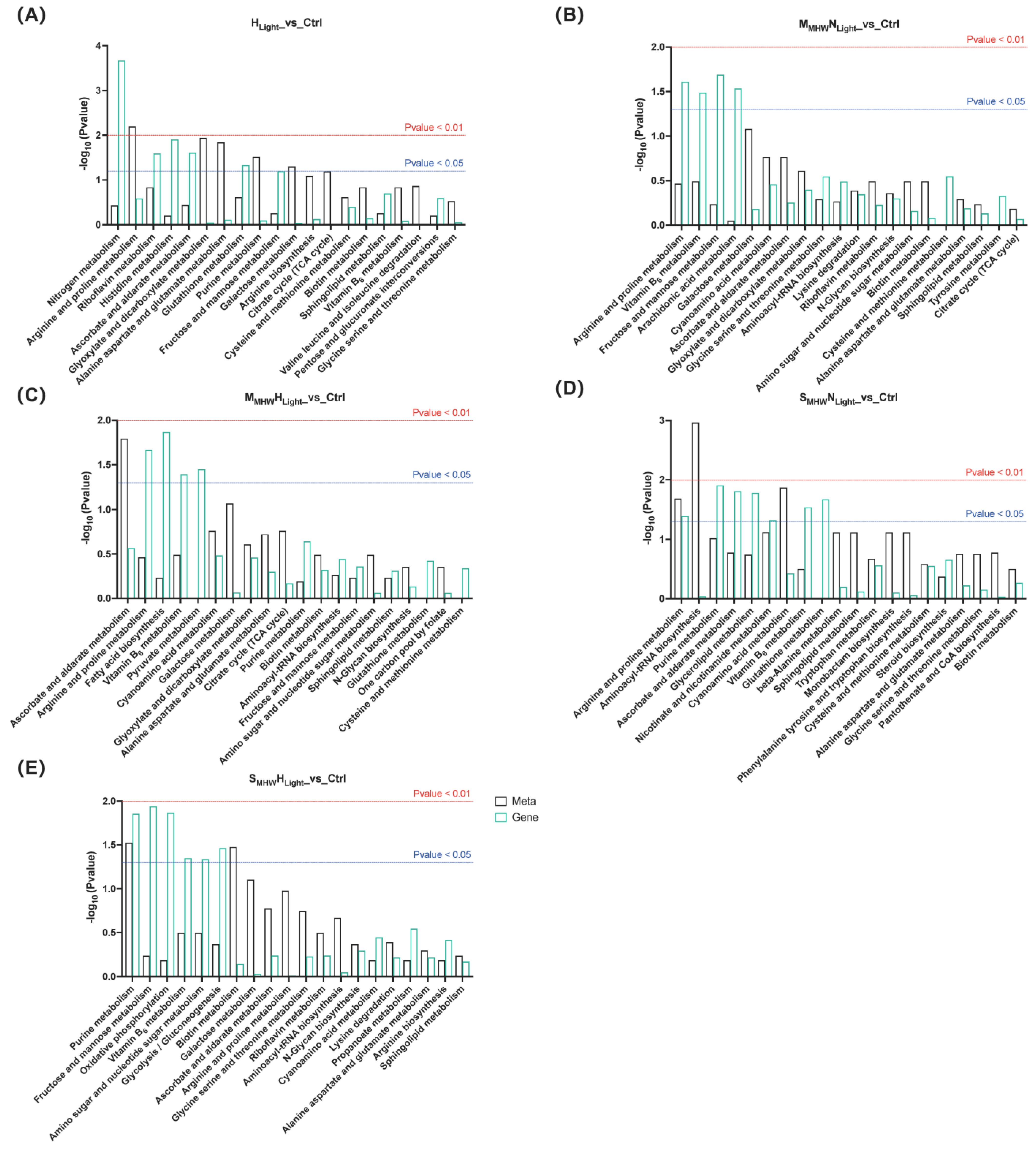
2.11. Integrated KEGG Enrichment of Transcriptome and Metabolome
3. Discussion
3.1. Adaptive Responses of U. pinnatifida Under Moderate MHW Conditions
3.2. Stress Responses and Partial Recovery of U. pinnatifida Under Severe MHW Conditions
3.3. Combined Stress Effects of MHWs and High Light on U. pinnatifida
4. Materials and Methods
4.1. Sample Collection and Processing
4.2. Experimental Design
4.3. Culture Conditions
4.4. Measurement of Growth
4.5. Measurement of Pigment Content
4.6. Measurement of Chlorophyll Fluorescence Parameters
4.7. Measurement of Biochemical Indicators
4.8. De Novo Transcriptomic Profiling and Analysis
4.9. Quantitative Real-Time PCR
4.10. Untargeted Metabolomic Profiling and Analysis
4.11. Integrated KEGG Enrichment Analysis of Transcriptomic and Metabolomic Profiles
4.12. Statistical Analysis and Data Visualization
5. Conclusions
Supplementary Materials
Author Contributions
Funding
Data Availability Statement
Conflicts of Interest
References
- Frölicher, T.L.; Fischer, E.M.; Gruber, N. Marine Heatwaves under Global Warming. Nature 2018, 560, 360–364. [Google Scholar] [CrossRef]
- Hobday, A.; Oliver, E.; Sen Gupta, A.; Benthuysen, J.; Burrows, M.; Donat, M.; Holbrook, N.; Moore, P.; Thomsen, M.; Wernberg, T.; et al. Categorizing and Naming Marine Heatwaves. Oceanography 2018, 31, 162–173. [Google Scholar] [CrossRef]
- Holbrook, N.J.; Scannell, H.A.; Sen Gupta, A.; Benthuysen, J.A.; Feng, M.; Oliver, E.C.J.; Alexander, L.V.; Burrows, M.T.; Donat, M.G.; Hobday, A.J.; et al. A Global Assessment of Marine Heatwaves and Their Drivers. Nat. Commun. 2019, 10, 2624. [Google Scholar] [CrossRef] [PubMed]
- Oliver, E.C.J.; Burrows, M.T.; Donat, M.G.; Sen Gupta, A.; Alexander, L.V.; Perkins-Kirkpatrick, S.E.; Benthuysen, J.A.; Hobday, A.J.; Holbrook, N.J.; Moore, P.J.; et al. Projected Marine Heatwaves in the 21st Century and the Potential for Ecological Impact. Front. Mar. Sci. 2019, 6, 734. [Google Scholar] [CrossRef]
- Smale, D.A. Impacts of Ocean Warming on Kelp Forest Ecosystems. New Phytol. 2019, 225, 1447–1454. [Google Scholar] [CrossRef] [PubMed]
- Thomsen, M.S.; Mondardini, L.; Alestra, T.; Gerrity, S.; Tait, L.; South, P.M.; Lilley, S.A.; Schiel, D.R. Local Extinction of Bull Kelp (Durvillaea spp.) Due to a Marine Heatwave. Front. Mar. Sci. 2019, 6, 84. [Google Scholar] [CrossRef]
- Smale, D.A.; Pessarrodona, A.; King, N.; Burrows, M.T.; Yunnie, A.; Vance, T.; Moore, P. Environmental Factors Influencing Primary Productivity of the Forest-Forming Kelp Laminaria hyperborea in the Northeast Atlantic. Sci. Rep. 2020, 10, 12161. [Google Scholar] [CrossRef]
- Coleman, M.A.; Wernberg, T. The Silver Lining of Extreme Events. Trends Ecol. Evol. 2020, 35, 1065–1067. [Google Scholar] [CrossRef]
- Filbee-Dexter, K.; Wernberg, T. Rise of Turfs: A New Battlefront for Globally Declining Kelp Forests. Bioscience 2018, 68, 64–76. [Google Scholar] [CrossRef]
- Arafeh-Dalmau, N.; Schoeman, D.S.; Montaño-Moctezuma, G.; Micheli, F.; Rogers-Bennett, L.; Olguin-Jacobson, C.; Possingham, H.P. Marine Heat Waves Threaten Kelp Forests. Science 2020, 367, 635. [Google Scholar] [CrossRef]
- Wernberg, T.; Smale, D.A.; Tuya, F.; Thomsen, M.S.; Langlois, T.J.; De Bettignies, T.; Bennett, S.; Rousseaux, C.S. An Extreme Climatic Event Alters Marine Ecosystem Structure in a Global Biodiversity Hotspot. Nat. Clim. Change 2013, 3, 78–82. [Google Scholar] [CrossRef]
- Wernberg, T.; Bennett, S.; Babcock, R.C.; de Bettignies, T.; Cure, K.; Depczynski, M.; Dufois, F.; Fromont, J.; Fulton, C.J.; Hovey, R.K.; et al. Climate-Driven Regime Shift of a Temperate Marine Ecosystem. Science 2016, 353, 169–172. [Google Scholar] [CrossRef]
- Vergés, A.; McCosker, E.; Mayer-Pinto, M.; Coleman, M.A.; Wernberg, T.; Ainsworth, T.; Steinberg, P.D. Tropicalisation of Temperate Reefs: Implications for Ecosystem Functions and Management Actions. Funct. Ecol. 2019, 33, 1000–1013. [Google Scholar] [CrossRef]
- Pessarrodona, A.; Filbee-Dexter, K.; Alcoverro, T.; Boada, J.; Feehan, C.J.; Fredriksen, S.; Grace, S.P.; Nakamura, Y.; Narvaez, C.A.; Norderhaug, K.M. Homogenization and Miniaturization of Habitat Structure in Temperate Marine Forests. Glob. Chang. Biol. 2021, 27, 5262–5275. [Google Scholar] [CrossRef]
- Duarte, C.M.; Gattuso, J.; Hancke, K.; Gundersen, H.; Filbee-Dexter, K.; Pedersen, M.F.; Middelburg, J.J.; Burrows, M.T.; Krumhansl, K.A.; Wernberg, T. Global Estimates of the Extent and Production of Macroalgal Forests. Glob. Ecol. Biogeogr. 2022, 31, 1422–1439. [Google Scholar] [CrossRef]
- Gurgel, C.F.D.; Camacho, O.; Minne, A.J.P.; Wernberg, T.; Coleman, M.A. Marine Heatwave Drives Cryptic Loss of Genetic Diversity in Underwater Forests. Curr. Biol. 2020, 30, 1199–1206. [Google Scholar] [CrossRef]
- Smyth, T. Penetration of UV Irradiance into the Global Ocean. J. Geophys. Res. Ocean. 2011, 116, C11020. [Google Scholar] [CrossRef]
- Helmuth, B.; Broitman, B.R.; Yamane, L.; Gilman, S.E.; Mach, K.; Mislan, K.; Denny, M.W. Organismal Climatology: Analyzing Environmental Variability at Scales Relevant to Physiological Stress. J. Exp. Biol. 2010, 213, 995–1003. [Google Scholar] [CrossRef]
- Harley, C.D.; Anderson, K.M.; Demes, K.W.; Jorve, J.P.; Kordas, R.L.; Coyle, T.A.; Graham, M.H. Effects of Climate Change on Global Seaweed Communities. J. Phycol. 2012, 48, 1064–1078. [Google Scholar] [CrossRef]
- Xiao, X.; De Bettignies, T.; Olsen, Y.S.; Agusti, S.; Duarte, C.M.; Wernberg, T. Sensitivity and Acclimation of Three Canopy-Forming Seaweeds to UVB Radiation and Warming. PLoS ONE 2015, 10, e0143031. [Google Scholar] [CrossRef]
- Nepper-Davidsen, J.; Andersen, D.; Pedersen, M. Exposure to Simulated Heatwave Scenarios Causes Long-Term Reductions in Performance in Saccharina latissima. Mar. Ecol. Prog. Ser. 2019, 630, 25–39. [Google Scholar] [CrossRef]
- Heinrich, S.; Valentin, K.; Frickenhaus, S.; John, U.; Wiencke, C. Transcriptomic Analysis of Acclimation to Temperature and Light Stress in Saccharina Latissima (Phaeophyceae). PLoS ONE 2012, 7, e44342. [Google Scholar] [CrossRef] [PubMed]
- Zhang, Y.; Xiao, Z.; Wei, Z.; Long, L. Increased Light Intensity Enhances Photosynthesis and Biochemical Components of Red Macroalga of Commercial Importance, Kappaphycus Alvarezii, in Response to Ocean Acidification. Plant Physiol. Biochem. 2024, 208, 108465. [Google Scholar] [CrossRef]
- Delebecq, G.; Davoult, D.; Menu, D.; Janquin, M.-A.; Dauvin, J.-C.; Gevaert, F. Influence of Local Environmental Conditions on the Seasonal Acclimation Process and the Daily Integrated Production Rates of Laminaria Digitata (Phaeophyta) in the English Channel. Mar. Biol. 2013, 160, 503–517. [Google Scholar] [CrossRef]
- Bischof, K.; Gomez, I.; Molis, M.; Hanelt, D.; Karsten, U.; Lüder, U.; Roleda, M.Y.; Zacher, K.; Wiencke, C. Ultraviolet Radiation Shapes Seaweed Communities. Rev. Environ. Sci. Bio./Technol. 2006, 5, 141–166. [Google Scholar] [CrossRef]
- Heinrich, S.; Valentin, K.; Frickenhaus, S.; Wiencke, C. Temperature and Light Interactively Modulate Gene Expression in Saccharina latissima (Phaeophyceae). J. Phycol. 2015, 51, 93–108. [Google Scholar] [CrossRef]
- Gao, G.; Liu, Y.; Li, X.; Feng, Z.; Xu, J. An Ocean Acidification Acclimatised Green Tide Alga Is Robust to Changes of Seawater Carbon Chemistry but Vulnerable to Light Stress. PLoS ONE 2016, 11, e0169040. [Google Scholar] [CrossRef]
- Epstein, G.; Smale, D.A. Undaria pinnatifida: A Case Study to Highlight Challenges in Marine Invasion Ecology and Management. Ecol. Evol. 2017, 7, 8624–8642. [Google Scholar] [CrossRef]
- South, P.M.; Floerl, O.; Forrest, B.M.; Thomsen, M.S. A Review of Three Decades of Research on the Invasive Kelp Undaria pinnatifida in Australasia: An Assessment of Its Success, Impacts and Status as One of the World’s Worst Invaders. Mar. Environ. Res. 2017, 131, 243–257. [Google Scholar] [CrossRef]
- Buschmann, A.H.; Camus, C.; Infante, J.; Neori, A.; Israel, Á.; Hernández-González, M.C.; Pereda, S.V.; Gomez-Pinchetti, J.L.; Golberg, A.; Tadmor-Shalev, N.; et al. Seaweed Production: Overview of the Global State of Exploitation, Farming and Emerging Research Activity. Eur. J. Phycol. 2017, 52, 391–406. [Google Scholar] [CrossRef]
- Sfriso, A.; Facca, C. Annual Growth and Environmental Relationships of the Invasive Species Sargassum muticum and Undaria pinnatifida in the Lagoon of Venice. Estuar. Coast. Shelf Sci. 2013, 129, 162–172. [Google Scholar] [CrossRef]
- Marzocchi, M.; Badocco, D.; Piovan, A.; Pastore, P.; Di Marco, V.; Filippini, R.; Caniato, R. Metals in Undaria pinnatifida (Harvey) Suringar and Sargassum muticum (Yendo) Fensholt Edible Seaweeds Growing around Venice (Italy). J. Appl. Phycol. 2016, 28, 2605–2613. [Google Scholar] [CrossRef]
- Morelissen, B.; Dudley, B.; Phillips, N. Recruitment of the Invasive Kelp Undaria pinnatifida Does Not Always Benefit from Disturbance to Native Algal Communities in Low-Intertidal Habitats. Mar. Biol. 2016, 163, 241. [Google Scholar] [CrossRef]
- Kim, J.K.; Yarish, C.; Hwang, E.K.; Park, M.; Kim, Y. Seaweed Aquaculture: Cultivation Technologies, Challenges and Its Ecosystem Services. Algae 2017, 32, 1–13. [Google Scholar] [CrossRef]
- Watanabe, Y.; Nishihara, G.N.; Tokunaga, S.; Terada, R. The Effect of Irradiance and Temperature Responses and the Phenology of a Native Alga, Undaria pinnatifida (Laminariales), at the Southern Limit of Its Natural Distribution in Japan. J. Appl. Phycol. 2014, 26, 2405–2415. [Google Scholar] [CrossRef]
- Montie, S.; Thomsen, M.S. Long-term Community Shifts Driven by Local Extinction of an Iconic Foundation Species Following an Extreme Marine Heatwave. Ecol. Evol. 2023, 13, e10235. [Google Scholar] [CrossRef] [PubMed]
- Zuo, X.; Xu, L.; Luo, L.; Zeng, Y.; Ma, Z.; Wu, M.; Chen, B. Physiological Responses of Sargassum fusiforme Seedlings to High-Temperature Stress. Reg. Stud. Mar. Sci. 2023, 62, 102900. [Google Scholar] [CrossRef]
- Peres, L.M.C.; Gouvêa, L.P.; Hayden, J.; Burle, G.; Bastos, E.; Carneiro, A.; Horta, P.A. Effects of Ocean Warming and Pollution on Sargassum Forests. Mar. Environ. Res. 2023, 191, 106167. [Google Scholar] [CrossRef] [PubMed]
- Fabbrizzi, E.; Munari, M.; Fraschetti, S.; Arena, C.; Chiarore, A.; Cannavacciuolo, A.; Colletti, A.; Costanzo, G.; Soler-Fajardo, A.; Nannini, M.; et al. Canopy-Forming Macroalgae Can Adapt to Marine Heatwaves. Environ. Res. 2023, 238, 117218. [Google Scholar] [CrossRef]
- Feijão, E.; Gameiro, C.; Franzitta, M.; Duarte, B.; Caçador, I.; Cabrita, M.T.; Matos, A.R. Heat Wave Impacts on the Model Diatom Phaeodactylum tricornutum: Searching for Photochemical and Fatty Acid Biomarkers of Thermal Stress. Ecol. Indic. 2018, 95, 1026–1037. [Google Scholar] [CrossRef]
- Zhang, N.; Venn, B.; Bailey, C.E.; Xia, M.; Mattoon, E.M.; Mühlhaus, T.; Zhang, R. Moderate High Temperature Is Beneficial or Detrimental Depending on Carbon Availability in the Green Alga Chlamydomonas reinhardtii. J. Exp. Bot. 2024, 75, 979–1003. [Google Scholar] [CrossRef] [PubMed]
- Li, X.; Meng, X.; Yang, X.; Duan, D. Characterization of chlorophyll Fluorescence and Antioxidant Defense Parameters of Two Gracilariopsis lemaneiformis Strains under Different Temperatures. Plants 2023, 12, 1670. [Google Scholar] [CrossRef]
- Cui, J.; Dai, Y.; Lai, Y.; Tan, Y.; Liu, T. Effects of Abscisic Acid on the Physiological and Biochemical Responses of Saccharina japonica under High-Temperature Stress. Int. J. Mol. Sci. 2024, 25, 11581. [Google Scholar] [CrossRef] [PubMed]
- Panahi, B.; Farhadian, M.; Hosseinzadeh Gharajeh, N.; Mohammadi, S.A.; Hejazi, M.A. Meta-Analysis of Transcriptomic Profiles in Dunaliella tertiolecta Reveals Molecular Pathway Responses to Different Abiotic Stresses. Funct. Plant Biol. 2024, 51, FP23002. [Google Scholar] [CrossRef]
- Mooney, S.; Leuendorf, J.-E.; Hendrickson, C.; Hellmann, H. Vitamin B6: A Long Known Compound of Surprising Complexity. Molecules 2009, 14, 329–351. [Google Scholar] [CrossRef] [PubMed]
- Asensi-Fabado, M.A.; Munné-Bosch, S. Vitamins in Plants: Occurrence, Biosynthesis and Antioxidant Function. Trends Plant Sci. 2010, 15, 582–592. [Google Scholar] [CrossRef]
- Sharma, P.; Jha, A.B.; Dubey, R.S.; Pessarakli, M. Reactive Oxygen Species, Oxidative Damage, and Antioxidative Defense Mechanism in Plants under Stressful Conditions. J. Bot. 2012, 2012, 217037. [Google Scholar] [CrossRef]
- Barati, B.; Gan, S.-Y.; Lim, P.-E.; Beardall, J.; Phang, S.-M. Green Algal Molecular Responses to Temperature Stress. Acta Physiol. Plant. 2019, 41, 26. [Google Scholar] [CrossRef]
- Gu, K.; Liu, Y.; Jiang, T.; Cai, C.; Zhao, H.; Liu, X.; He, P. Molecular Response of Ulva prolifera to Short-Term High Light Stress Revealed by a Multi-Omics Approach. Biology 2022, 11, 1563. [Google Scholar] [CrossRef]
- James, K.; Kibele, J.; Shears, N.T. Using Satellite-Derived Sea Surface Temperature to Predict the Potential Global Range and Phenology of the Invasive Kelp Undaria pinnatifida. Biol. Invasions 2015, 17, 3393–3408. [Google Scholar] [CrossRef]
- Nauer, F.; Oliveira, M.C.; Plastino, E.M.; Yokoya, N.S.; Fujii, M.T. Coping with Heatwaves: How a Key Species of Seaweed Responds to Heat Stress along Its Latitudinal Gradient. Mar. Environ. Res. 2022, 177, 105620. [Google Scholar] [CrossRef] [PubMed]
- Zheng, Y.; Xia, Z.; Wu, J.; Ma, H. Effects of Repeated Drought Stress on the Physiological Characteristics and Lipid Metabolism of Bombax ceiba L. during Subsequent Drought and Heat Stresses. BMC Plant Biol. 2021, 21, 476. [Google Scholar] [CrossRef]
- Chen, X.; Tang, Y.; Zhang, H.; Zhang, X.; Sun, X.; Zang, X.; Xu, N. Physiological, Transcriptome, and Metabolome Analyses Reveal the Tolerance to Cu Toxicity in Red Macroalgae Gracilariopsis lemaneiformis. Int. J. Mol. Sci. 2024, 25, 4770. [Google Scholar] [CrossRef]
- Coutinho, I.D.; Henning, L.M.M.; Döpp, S.A.; Nepomuceno, A.; Moraes, L.A.C.; Marcolino-Gomes, J.; Richter, C.; Schwalbe, H.; Colnago, L.A. Flooded Soybean Metabolomic Analysis Reveals Important Primary and Secondary Metabolites Involved in the Hypoxia Stress Response and Tolerance. Environ. Exp. Bot. 2018, 153, 176–187. [Google Scholar] [CrossRef]
- Fakhimi, N.; Grossman, A.R. Photosynthetic Electron Flows and Networks of Metabolite Trafficking to Sustain Metabolism in Photosynthetic Systems. Plants 2024, 13, 3015. [Google Scholar] [CrossRef] [PubMed]
- Wernberg, T.; Straub, S. Low Light Exacerbates Effects of Marine Heatwaves on Seaweeds. Mar. Ecol. Prog. Ser. 2024, 747, 49–59. [Google Scholar] [CrossRef]
- Henschel, J.M.; Andrade, A.N.d.; dos Santos, J.B.L.; da Silva, R.R.; da Mata, D.A.; Souza, T.; Batista, D.S. Lipidomics in Plants under Abiotic Stress Conditions: An Overview. Agronomy 2024, 14, 1670. [Google Scholar] [CrossRef]
- Jiang, J.-Y.; Zhu, S.; Zhang, Y.; Sun, X.; Hu, X.; Huang, H.; Ren, L.-J. Integration of Lipidomic and Transcriptomic Profiles Reveals Novel Genes and Regulatory Mechanisms of Schizochytrium sp. in Response to Salt Stress. Bioresour. Technol. 2019, 294, 122231. [Google Scholar] [CrossRef]
- González-Morales, S.; Solís-Gaona, S.; Valdés-Caballero, M.V.; Juárez-Maldonado, A.; Loredo-Treviño, A.; Benavides-Mendoza, A. Transcriptomics of Biostimulation of Plants under Abiotic Stress. Front. Genet. 2021, 12, 583888. [Google Scholar] [CrossRef]
- Fan, M.; Sun, X.; Liao, Z.; Wang, J.; Li, Y.; Xu, N. Comparative Proteomic Analysis of Ulva prolifera Response to High Temperature Stress. Proteome Sci. 2018, 16, 17. [Google Scholar] [CrossRef]
- Heinemann, B. Amino Acid Metabolism Under Drought Stress in Arabidopsis thaliana. Ph.D. Thesis, Leibniz Universität Hannover, Hannover, Germany, 2021. [Google Scholar]
- Lacroux, J.; Atteia, A.; Brugière, S.; Couté, Y.; Vallon, O.; Steyer, J.-P.; van Lis, R. Proteomics Unveil a Central Role for Peroxisomes in Butyrate Assimilation of the Heterotrophic Chlorophyte Alga Polytomella sp. Front. Microbiol. 2022, 13, 1029828. [Google Scholar] [CrossRef] [PubMed]
- Shakya, M.; Silvester, E.; Rees, G.; Rajapaksha, K.H.; Faou, P.; Holland, A. Changes to the Amino Acid Profile and Proteome of the Tropical Freshwater Microalga Chlorella sp. in Response to Copper Stress. Ecotoxicol. Environ. Saf. 2022, 233, 113336. [Google Scholar] [CrossRef]
- Ingrisano, R.; Tosato, E.; Trost, P.; Gurrieri, L.; Sparla, F. Proline, Cysteine and Branched-Chain Amino Acids in Abiotic Stress Response of Land Plants and Microalgae. Plants 2023, 12, 3410. [Google Scholar] [CrossRef] [PubMed]
- Rai, G.K.; Kumar, P.; Choudhary, S.M.; Singh, H.; Adab, K.; Kosser, R.; Magotra, I.; Kumar, R.R.; Singh, M.; Sharma, R.; et al. Antioxidant Potential of Glutathione and Crosstalk with Phytohormones in Enhancing Abiotic Stress Tolerance in Crop Plants. Plants 2023, 12, 1133. [Google Scholar] [CrossRef]
- Vivanco-Bercovich, M.; Belando-Torrentes, M.D.; Figueroa-Burgos, M.F.; Ferreira-Arrieta, A.; Macías-Carranza, V.; García-Pantoja, J.A.; Cabello-Pasini, A.; Samperio-Ramos, G.; Cruz-López, R.; Sandoval-Gil, J.M. Combined Effects of Marine Heatwaves and Reduced Light on the Physiology and Growth of the Surfgrass Phyllospadix torreyi from Baja California, Mexico. Aquat. Bot. 2022, 178, 103488. [Google Scholar] [CrossRef]
- Bass, A.V.; Smith, K.E.; Smale, D.A. Marine Heatwaves and Decreased Light Availability Interact to Erode the Ecophysiological Performance of Habitat-forming Kelp Species. J. Phycol. 2023, 59, 481–495. [Google Scholar] [CrossRef]
- Jung, E.M.U.; Abdul Majeed, N.A.B.; Booth, M.W.; Austin, R.; Sinclair, E.A.; Fraser, M.W.; Martin, B.C.; Oppermann, L.M.F.; Bollen, M.; Kendrick, G.A. Marine Heatwave and Reduced Light Scenarios Cause Species-Specific Metabolomic Changes in Seagrasses under Ocean Warming. New Phytol. 2023, 239, 1692–1706. [Google Scholar] [CrossRef] [PubMed]
- Quaas, T.; Berteotti, S.; Ballottari, M.; Flieger, K.; Bassi, R.; Wilhelm, C.; Goss, R. Non-Photochemical Quenching and xanthophyll Cycle Activities In Six Green Algal Species Suggest Mechanistic Differences in the Process of Excess Energy Dissipation. J. Plant Physiol. 2015, 172, 92–103. [Google Scholar] [CrossRef]
- Figueroa, F.L.; Celis-Plá, P.S.M.; Martínez, B.; Korbee, N.; Trilla, A.; Arenas, F. Yield Losses and Electron Transport Rate as Indicators of Thermal Stress in Fucus serratus (Ochrophyta). Algal Res. 2019, 41, 101560. [Google Scholar] [CrossRef]
- Gebara, R.C.; Alho, L.d.O.G.; Mansano, A.d.S.; Rocha, G.S.; Melão, M.d.G.G. Single and Combined Effects of Zn and Al on Photosystem II of the Green Microalgae Raphidocelis subcapitata Assessed by Pulse-Amplitude Modulated (PAM) Fluorometry. Aquat. Toxicol. 2023, 254, 106369. [Google Scholar] [CrossRef]
- Feng, L.; Wang, Z.; Jia, D.; Zou, X.; Rao, M.; Huang, Z.; Kuang, C.; Ye, J.; Chen, C.; Huang, C.; et al. Functional Metabolism Pathways of Significantly Regulated Genes in Nannochloropsis Oceanica with Various Nitrogen/Phosphorus Nutrients for CO2 Fixation. Sci. Total Environ. 2023, 883, 163318. [Google Scholar] [CrossRef] [PubMed]
- Zhou, Y.; Yue, Y.; Chen, X.; Wu, F.; Li, W.; Li, P.; Han, J. Physiological-Biochemical Responses and Transcriptomic Analysis Reveal the Effects and Mechanisms of Sulfamethoxazole on the Carbon Fixation Function of Chlorella pyrenoidosa. Sci. Total Environ. 2024, 917, 170460. [Google Scholar] [CrossRef] [PubMed]
- Alboresi, A.; Storti, M.; Cendron, L.; Morosinotto, T. Role and Regulation of Class-C Flavodiiron Proteins in Photosynthetic Organisms. Biochem. J. 2019, 476, 2487–2498. [Google Scholar] [CrossRef]
- Huang, B.; Cui, J.; Ran, Y.; Chen, C.; Li, F.; Zhang, Y.; Li, Z.; Xie, E. Mechanism of Macroalgae Gracilaria bailiniae Responding to Cadmium and Lanthanum. Front. Plant Sci. 2022, 13, 1076526. [Google Scholar] [CrossRef] [PubMed]
- Jiadkong, K.; Fauzia, A.N.; Yamaguchi, N.; Ueda, A. Exogenous Riboflavin (Vitamin B2) Application Enhances Salinity Tolerance through the Activation of Its Biosynthesis in Rice Seedlings under Salinity Stress. Plant Sci. 2024, 339, 111929. [Google Scholar] [CrossRef]
- Rocha, G.S.; Melão, M.G.G. Does Cobalt Antagonize P Limitation Effects on Photosynthetic Parameters on the Freshwater Microalgae Raphidocelis subcapitata (Chlorophyceae), or Does P Limitation Acclimation Antagonize Cobalt Effects? More Questions than Answers. Environ. Pollut. 2024, 341, 122998. [Google Scholar] [CrossRef]
- Aigner, S.; Arc, E.; Schletter, M.; Karsten, U.; Holzinger, A.; Kranner, I. Metabolite Profiling in Green Microalgae with Varying Degrees of Desiccation Tolerance. Microorganisms 2022, 10, 946. [Google Scholar] [CrossRef]
- Sánchez-Thomas, R.; Hernández-Garnica, M.; Granados-Rivas, J.C.; Saavedra, E.; Peñalosa-Castro, I.; Rodríguez-Enríquez, S.; Moreno-Sánchez, R. Intertwining of Cellular Osmotic Stress Handling Mechanisms and Heavy Metal Accumulation. Mol. Biotechnol. 2024, 1–17. [Google Scholar] [CrossRef]
- Li, Z.; Li, H.; Zhang, M.; Zhang, L.; Li, J.; Liu, J. Physiological and Molecular Responses of Tropical Seagrass Enhalus acoroides Exposed to Simultaneous High Temperature and Hypoxia Stress. Mar. Environ. Res. 2025, 205, 106997. [Google Scholar] [CrossRef]
- Plecha, S.M.; Soares, P.M.M. Global Marine Heatwave Events Using the New CMIP6 Multi-Model Ensemble: From Shortcomings in Present Climate to Future Projections. Environ. Res. Lett. 2020, 15, 124058. [Google Scholar] [CrossRef]
- Xue, J.; Shan, H.; Liang, J.-H.; Dong, C. Assessment and Projections of Marine Heatwaves in the Northwest Pacific Based on CMIP6 Models. Remote Sens. 2023, 15, 2957. [Google Scholar] [CrossRef]
- Seely, G.; Duncan, M.; Vidaver, W. Preparative and Analytical Extraction of Pigments from Brown Algae with Dimethyl Sulfoxide. Mar. Biol. 1972, 12, 184–188. [Google Scholar] [CrossRef]






Disclaimer/Publisher’s Note: The statements, opinions and data contained in all publications are solely those of the individual author(s) and contributor(s) and not of MDPI and/or the editor(s). MDPI and/or the editor(s) disclaim responsibility for any injury to people or property resulting from any ideas, methods, instructions or products referred to in the content. |
© 2025 by the authors. Licensee MDPI, Basel, Switzerland. This article is an open access article distributed under the terms and conditions of the Creative Commons Attribution (CC BY) license (https://creativecommons.org/licenses/by/4.0/).
Share and Cite
Song, H.; Liu, Y.; Gong, Q.; Gao, X. Combined Effects of Marine Heatwaves and Light Intensity on the Physiological, Transcriptomic, and Metabolomic Profiles of Undaria pinnatifida. Plants 2025, 14, 1419. https://doi.org/10.3390/plants14101419
Song H, Liu Y, Gong Q, Gao X. Combined Effects of Marine Heatwaves and Light Intensity on the Physiological, Transcriptomic, and Metabolomic Profiles of Undaria pinnatifida. Plants. 2025; 14(10):1419. https://doi.org/10.3390/plants14101419
Chicago/Turabian StyleSong, Hanmo, Yan Liu, Qingli Gong, and Xu Gao. 2025. "Combined Effects of Marine Heatwaves and Light Intensity on the Physiological, Transcriptomic, and Metabolomic Profiles of Undaria pinnatifida" Plants 14, no. 10: 1419. https://doi.org/10.3390/plants14101419
APA StyleSong, H., Liu, Y., Gong, Q., & Gao, X. (2025). Combined Effects of Marine Heatwaves and Light Intensity on the Physiological, Transcriptomic, and Metabolomic Profiles of Undaria pinnatifida. Plants, 14(10), 1419. https://doi.org/10.3390/plants14101419

