Abstract
Studies on the mineral and vitamin C contents of different species and ripening stages of Solanum fruits are very limited. The aim of the research was to evaluate the content of the mineral elements and vitamin C of four different Solanum species (S. melanocerasum—SM, S. nigrum—SN, S. villosum—SV and S. retroflexum—SR), and three ripening stages. The mineral composition of Solanum fruits was detected using a CEM MARS 6® (Matthews, NC, USA) digestion system outfitted with a 100 mL Teflon vessel, by microwave-assisted extraction (MAE). In total, eleven mineral elements were detected (K, Ca, Mg, P, Fe, Na, Cu, B, Mn, Al, and Zn). Vitamin C content was assessed by a spectrophotometric method. Depending on the ripening stage/species, content of microelements ranged from 756.48 mg kg−1 DW in SV fruits at ripening stage III, to 211.12 mg kg−1 DW in SM fruits at ripening stage III. The dominant microelement was Fe. The total content of macroelements in Solanum fruits ranged from 26,104.95 mg kg−1 DW in SV fruits at ripening stage II to 67,035.23 mg kg−1 DW in SR fruits at ripening stage I. The dominant macroelement was K. The data from two experimental years showed that the significantly highest content of vitamin C was in SM fruits and ranged from 48.15 mg 100 g−1 at ripening stage I to 45.10 mg 100 g−1 at ripening stage III.
1. Introduction
Solanum sp. are a fruit-producing plant native to Eurasia and introduced in the Americas, Australia, and South Africa, but are a new and promising research subject in the European and Lithuanian agriculture sectors. Among all plant parts, fruits are the most pharmacologically active part [1]. Ripe berries and cooked leaves are edible and are used as food in some locales, and some parts of this plant are used as a traditional medicine. They can also be applied in the food processing industry as natural preservatives and valuable ingredients in developing novel functional products with nutraceutical quality. Moreover, edible fruits of this family are extremely rich in compounds with potent antioxidant activities, such as vitamin C, bioactive glycoalkaloids, glycoproteins, polysaccharides, polyphenolic compounds, and mineral elements beneficial for health [2,3,4]. Mineral elements are scientifically recognized as essential constituents for human health. Vitamin C is crucial for maintaining a healthy body and is involved in over 300 biological processes. It is necessary for the manufacture of collagen [5]. The only natural way humans uptake ascorbic acid is via food. As the fruit enters the ripening phase, there is a slight decrease in vitamin C content. However, in some fruits, the increase in vitamin C continues to the fully mature fruit. The vitamin C content of fruits is never constant but varies with some factors which include climatic/environmental conditions, maturity state, handling and storage, ripening stage, species, and variety of the fruits as well as temperature [6].
We concluded from the literature and experimental result analysis, that Solanum sp. fruit can contribute to medical and pharmaceutical practices [7]. Many research studies have proven the various medicinal properties of different parts of the plant. There are studies that show the good nutritional value of Solanum fruits. The fruits contain significant amounts of many biologically beneficial components, including 48.20 mg 100 g−1 ascorbic acid and 887.70 mg 100 g−1 anthocyanins; Solanum fruits are therefore ideal raw materials for the manufacture of healthful food. Additionally, fresh S. nigrum fruit is rich in protein (2.60%) and has a strong antioxidant activity (229.40 mg 100 g−1) [8,9]. Although there are sufficient studies describing the chemical composition of Solanum fruits, there is not enough information about how their chemical composition changes during ripening. To the best of our knowledge, there is no information regarding vitamin C and mineral element composition in Solanum sp. fruit harvested at different ripening stages.
For these reasons, the aim of this study was to determine the influence of different ripening stages on the content of ascorbic acid, and selected mineral elements (phosphorus, potassium, calcium, boron, natrium, aluminum, manganese, iron, copper, and zinc) content.
2. Results
2.1. The Effect of the Species and Ripening Stage on the Total Mineral Element Content
Mineral elements are naturally occurring inorganic solid compounds found in many raw materials and are crucial for several physiological processes. One of agriculture’s biggest difficulties is ensuring that people have access to nearly all the organic nutrients and minerals needed to maintain wellness and effective organ operation. People need over 22 mineral elements, some of which are necessary in significant quantities, although other elements like Fe, Zn, Cu, I, and Se are only needed in trace amounts because larger quantities may be harmful [10,11].
To select the best period of maturity and use it for nutritional enrichment, it is crucial to understand how the amounts of mineral components change as berries ripen. Our quantitative macroelements and microelements results indicated significant differences between species and ripening stages (Table 1). Depending on the ripening stage/species, the content of microelements ranged from 756.48 mg kg−1 DW in SV fruits at ripening stage III to 211.12 mg kg−1 DW in SM fruits at ripening stage III. The total content of macroelements in Solanum fruits ranged from 26,104.95 mg kg−1 DW in SV fruits at ripening stage II to 67,035.23 mg kg−1 DW in SR fruits at ripening stage I. Baiyeri et al., 2011 reported that the highest composition of mineral elements in banana fruits was at light-green and/or light-yellow stages (fairly ripe fruits) [12].
Table 1.
Total mineral element content (mg kg−1 DW) in Solanum fruits (average for 2021–2022 years).
2.2. The Effect of Species and Ripening Stages on the Content of Macroelements
The determined contents of macroelements demonstrated differences by ripening stage and species. In total, four macroelements were determined: magnesium (Mg), phosphorus (P), potassium (K), and calcium (Ca). K was the primary determined macroelement (Figure 1). The content of this element ranged from 61,204.68 mg kg−1 DW in SR fruits at ripening stage I to 23,201.74 mg kg−1 DW in SV fruits at ripening stage II. The data demonstrated that K tended to decrease at maturity and the highest contents of potassium were determined to be present in all species of unripe fruits. Potassium concentration in foods of plant origin ranges from 20 to 730 mg 100 g−1 fresh weight, while some species like ‘Idaho’ potatoes (S. tuberosum) have higher K values. The levels of K in seeds and nuts are considerable, reaching up to 2240 mg 100 g−1 [13,14]. Aguirre et al., 2016 determined that this macroelement, dependent on the ripening stage, ranged from 23,095.40 mg kg−1 DW to 24,459.90 mg kg−1 DW in Rosa rubiginosa species [15]. It is crucial to consume the proper quantity of K since this macronutrient aids in the transmission of nerve impulses and helps to support nerve functions by maintaining the balance of the body’s fluid system [13,14,16,17].
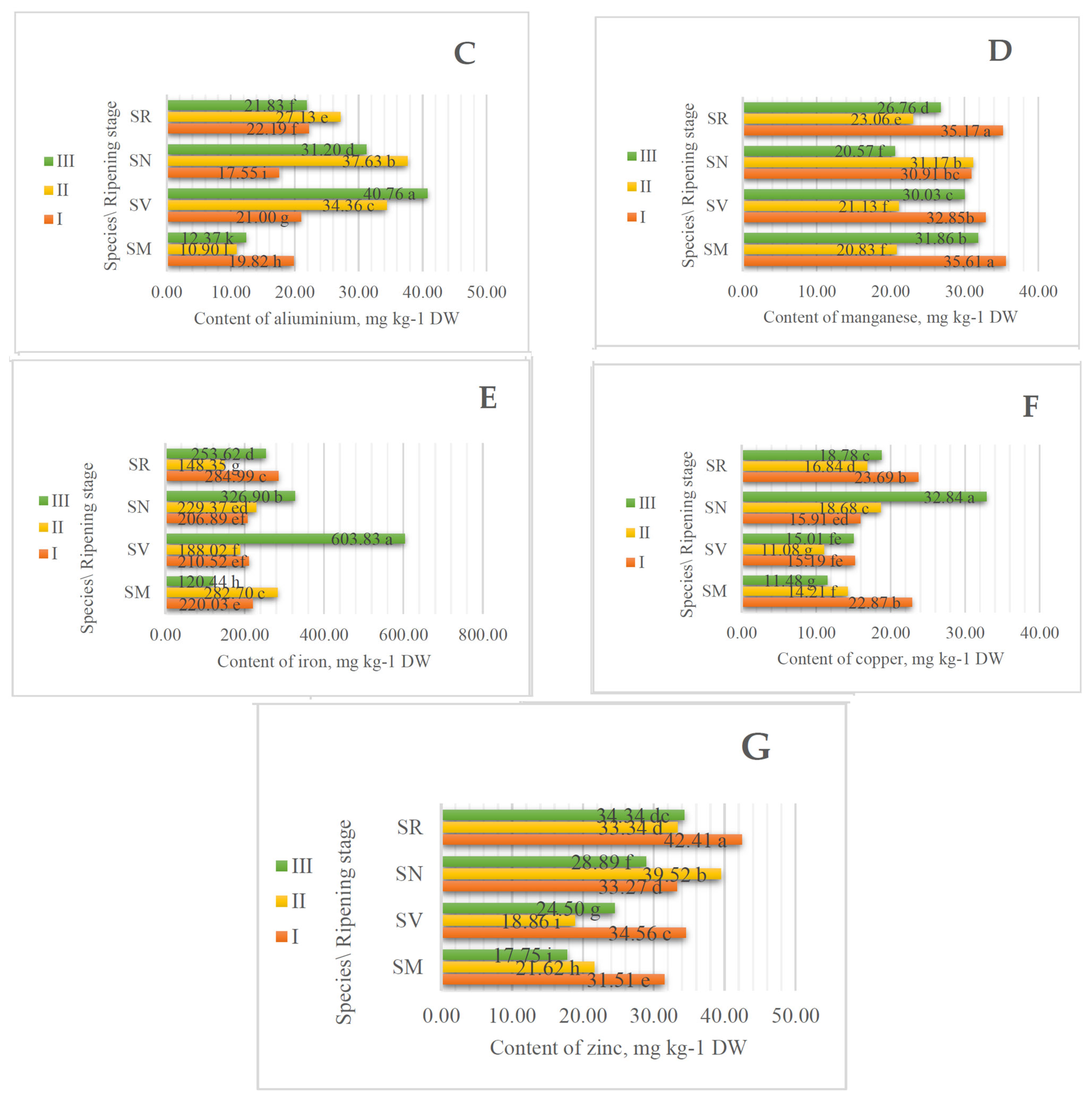
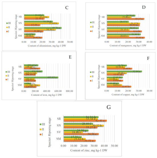
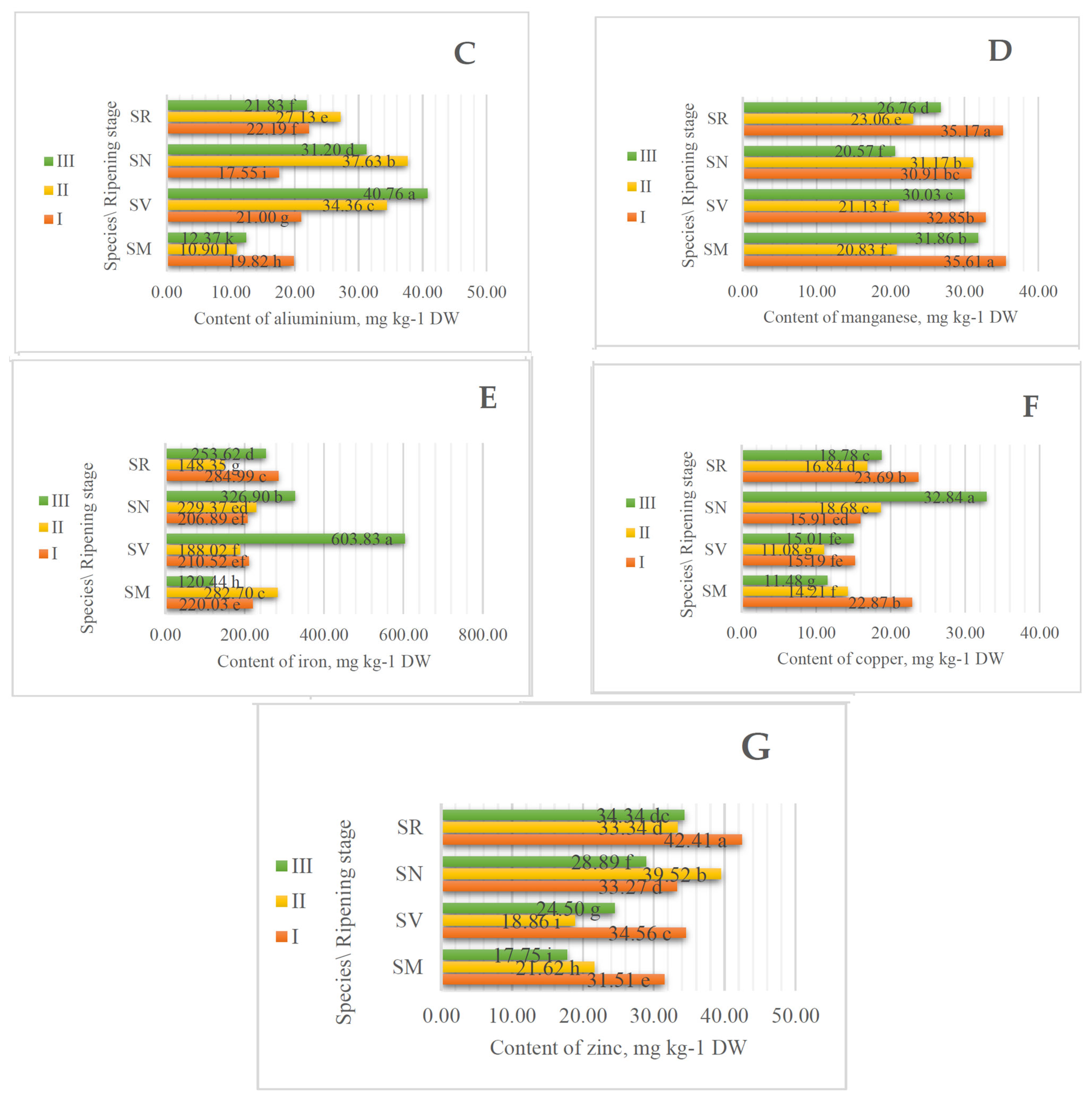
Figure 1.
The effect of the ripening stage on the content of macroelements (mg kg−1 DW). (A) magnesium, (B) phosphorus, (C) potassium, and (D) calcium content of Solanum fruits. Different small letters (a–m) represent significant differences between the means (p < 0.05); S. retroflexum—SR, S. melanocerasum—SM, S. nigrum—SN, S. villosum—SV; ripening stages I, II, and III.
The second most abundant macroelement is P. Our results show that the content of P ranged from 1399.58 mg kg−1 in SM fruits at ripening stage III to 28,874.83 mg kg−1 DW in SN fruits at ripening stage II (Figure 1). Data also demonstrated that P tended to decrease at maturity and the highest contents of phosphorus were determined to be in unripe fruits, except SN species. Costa, F. et al., 2011, performed some research into different maturities of Lycopersicon esculentum Mill., tomatoes of Solanaceae family, and determined that the mineral concentrations of P were higher in red tomatoes than in green ones [18]. Paunovic et al., 2017, determined that the content of P in blackcurrant ranged from 180.00 mg 100 g−1 to 199.50 mg 100 g−1, depending on different cultivars [19]. In vegetables or fruits, P concentrations range from 16.2–437 mg 100 g−1. Fruits have the lowest P content, with a range of 9.9 to 94.3 mg 100 g−1. The daily recommended intake for P is 800–1300 mg [20].
The content of Mg in studied Solanum fruits ranged from 128.89 mg kg−1 in SV species to 1539.93 mg kg−1 DW in SR species at ripening stage I. The recommended daily allowance for Mg is 375 mg/day in adults [21]. Other researchers say that in Solanum nigrum leaves, the content of Mg ranged from 100–200 mg 100 g−1 DW [22]. Sivakumar D et al., 2020, determined in fresh leaves of S. retroflexum 92 mg 100 g−1 DW [23]. Mg is a mineral that is abundant in vegetables and has been linked to important dietary roles in maintaining human health. The content of this macroelement in fruit, berries, and vegetables typically ranges from 5.5 to 191 mg per 100 g of fresh weight, with a daily recommended consumption of 200 to 400 mg [24].
The highest content of Ca by a significant margin was established in SN fruits at ripening stage III, 4027.90 mg kg−1 DW. Results show that in other species, the content of Ca tended to decrease at maturity and ranged from 1455.13 to 357.25 mg kg−1 DW. Involved in the biological processes of numerous tissues, including those of the musculoskeletal, neurological, and cardiac systems, bones, teeth, and the parathyroid gland, calcium is a crucial mineral for maintaining good health in humans. Additionally, Ca participates in the maintenance of mineral homeostasis as well as overall physiological performance and can function as a cofactor in enzyme activities [25,26,27].
2.3. The Effect of Species and Ripening Stages on the Content of Microelements
There are many elements in natural soil, but only nine are officially regarded as important micronutrients in plants due to their indispensable functions in the entire plant lifecycle. Iron (Fe), zinc (Zn), copper (Cu), manganese (Mn), nickel (Ni), molybdenum (Mo), boron (B), and chlorine (Cl) are all essential for higher plants. However, sodium (Na) is only required for some C4 plants [28,29]. Humans and animals require chromium (Cr), iodine (I), and selenium (Se) in addition to these plant-important microelements. Microelements are utilized in minuscule amounts, accounting for less than 0.1% of dry plant tissue. When taken in large quantities, some particular microelements may be harmful. Except in cases of heavy atmospheric deposition or floods from contaminated waterways, soil is the primary source of microelements for plants. Soil microelements undergo many transformations, and their availability to plants is determined by the chemical form and distribution of soil’s solid and liquid phases, which are regulated by soil conditions, namely pH, texture, and soil aeration status [30].
In Solanum, the fruits were determined to contain seven microelements: boron (B), natrium (Na), aluminum (Al), manganese (Mn), iron (Fe), copper (Cu), and zinc (Zn). The most abundant microelement of all these species was Fe (Figure 2). The highest content of this element was detected in SV fruits at ripening stage III 603.83 mg kg−1 DW. The results also show that the amount of Fe increases as the fruit ripens. Vegetables and fruits only contain 0.13 to 3.01 mg 100 g−1 of F. The majority of the iron in meals with a plant origin is found in insoluble Fe3+ complexes such as phytic acid, phosphates, oxalates, and carbonates. Nevertheless, the bioavailability of Fe in foods is under 8%. Nuts and chocolate powder are good sources of iron (16.1 and 25.8 mg 100 g−1, respectively) [21]. The experiment carried out by Otakar Rop et al., 2010, into the different stages of ripening (Mespilus germanica L.) shows that the content of Fe increased during ripening [31].

Figure 2.
The effect of the ripening stage on the content of microelements (mg kg−1 DW). (A) boron, (B) natrium, (C) aluminum, (D) manganese, (E) iron, (F) copper, (G) zinc of Solanum fruits. Different small letters (a–l) represent significant differences between the means (p < 0.05); S. retroflexum—SR, S. melanocerasum—SM, S. nigrum—SN, S. villosum—SV; ripening stages I, II, and III.
Zn concentrations in plant-based foods range from 0.05 to 11.8 mg 100 g−1. Fresh fruits have lower levels of Zn (0.02–0.61 mg 100 g−1). Low levels of Zn in fruit juices and beverages range from 0.01–0.27 mg 100 g−1 [21]. Our results show that the concentration of Zn increased during ripening. The highest content of Zn, 42.41 mg kg−1, was detected in SM fruits at ripening stage I. The lowest content of Zn, 17.75 mg kg−1 DW, was detected at ripening stage III in SM fruits. Ramesh el al., 2021, conducted research on mineral nutrients in tomato (Solanum lycopersicum L.) fruits during ripening. Across varieties and ripening stages, the content of Zn ranged from 17.47µg g−1 to 40.35 µg g−1 DW. The results show a decreasing tendency in the content of Zn with the progress of ripening [32].
The concentration of Mn ranged from 20.57 mg kg−1 DW at ripening stage I in SN fruits, to 35.61 mg kg−1 DW at ripening stage III in SM fruits. Additionally, the highest concentration of Cu was detected at ripening stage III (32.84 mg kg−1 DW) in SN fruits and the lowest concentration of Cu was at ripening stage II (11.8 mg kg−1 DW) in SV fruits. Low manganese (Mn) levels are another characteristic of fruits and vegetables. In both fruits and vegetables, Mn contents have a range of 0.01–0.66 mg 100 g−1 and 0.01–0.078 mg 100 g−1, respectively [21]. Mn has a daily consumption recommendation of 2 mg, and its primary physiological role is as an enzyme cofactor in antioxidant processes related to glucose metabolism [33,34]. Vegetables have been found to contain low quantities of copper (Cu), ranging from 0.004 to 0.24 mg 100 g−1, with the exception of legumes, which can contain up to 0.5 mg 100 g−1. Between 0.01 to 0.24 mg 100 g−1 of copper can be found in fruits. The recommended daily allowance (RDA) for copper is 1.0 to 1.6 mg per day [21].
Results show the highest content of Na at ripening stage I in SR fruits (88.90 mg kg−1 DW). In the Figure 2 we can see that this element has the tendency to increase during ripening. The same tendency is shown with B. Concentration of B varies from 9.57 mg kg−1 DW at ripening stage III to 22.13 mg kg−1 DW at ripening stage I in SM fruits. The content of Al depends more on the species than on the stage of ripening. The content of Al varies from 10.90 mg kg−1 DW at ripening stage II in SM fruits to 40.76 mg kg−1 DW at ripening stage III in SV fruits.
2.4. The Effect of Species and Ripening Stages on the Content of Vitamin C
The most important vitamin for human nutrition that fruits and vegetables provide is vitamin C [35]. Since humans cannot produce ascorbate, their primary supply of the vitamin is through eating fruit and vegetables. The finest sources of this vitamin are fruits (particularly citrus and tropical fruits). A precise and specific measurement of the nutritional content of fruits is critical for understanding the relationship between dietary intake and human health [36]. Therefore, knowing in which ripening stage the highest amounts of the vitamin are accumulated can help to enrich nutrition. The vitamin C content of several fruits is known to be controlled during fruit growth. The content and concentration of this vitamin in citrus fruit tissues fluctuate depending on the stage of fruit development [37].
In the present study, the data averaged from two experimental years showed that the highest content of vitamin C was in SM fruits and ranged from 48.15 mg 100 g−1 at ripening stage I to 45.10 mg 100 g−1 at ripening stage III (Figure 3). The results show that vitamin C has a tendency to decrease during ripening in SR, SN, and SM species. The SV species shows the opposite results, vitamin C content increasing as the fruit matures and fluctuating from 31.49 mg 100 g−1 at ripening stage I to 38.80 mg 100 g−1 at ripening stage II. Data on the vitamin C content of Fresno de la Vega peppers harvested in two different years at different ripening stages (green, red) show values for the content of vitamin C of 106.05 mg 100 g−1 and 148.94 mg 100 g−1 for green and red peppers, respectively [38]. Mamboleo et al., 2018, determined the content of vitamin C in different stages of maturity in S. villosum. The highest relative content of vitamin C was detected at stage of maturation III (85.30 mg 100 g−1), and the lowest content at maturation stage I (27.40 mg 100 g−1) [39].
Figure 3.
The effect of the ripening stage on the content of vitamin C (mg 100 g−1) of Solanum fruits. Different small letters (a–k) represent significant differences between the means (p < 0.05); S. retroflexum—SR, S. melanocerasum—SM, S. nigrum—SN, S. villosum—SV; ripening stages I, II, and III.
2.5. Correlation Analysis
The correlation analysis showed that the ripening stage (hue angle) had a very strong relationship with two mineral elements—B (r = 0.998), and Na (r = 0.961)—and a strong positive relationship with four mineral elements—Mg (r = 0.789), P (r = 0.806), K (r = 0.834), and Ca (r = 0.809)—in S. melanocerasum species fruits (Figure 4). This demonstrates that mineral element content increased with ripening stage (hue angle) and decreased with ripening.

Figure 4.
Correlations between ripening stage (hue angle (h°)) and mineral element content. (A) borum, (B) natrium, (C) magnesium, (D) phosphorus, (E) potassium, (F) calcium, (G) cuprum, (H) zinc.
The study of the S. nigrum fruits showed a very strong positive correlation between ripening stage (hue angle) and the mineral elements of B (r = 0.992), Na (r = 0.903), K (r = 0.900), and Mn (r = 0.817), and very strong negative correlation between ripening stage and the mineral elements of Cu (r = 0.933) and Zn (r = 0.945) (Figure 5). This demonstrated that with fruits ripening, these mineral elements increase as well.

Figure 5.
Correlations between ripening stage (hue angle (h°)) and mineral element content. (A) borum, (B) natrium, (C) potassium, (D) manganese, (E) cuprum, (F) zinc.
Very strong positive correlations were found between ripening stage (hue angle) and vitamin C content of S. melanocerasum and S. nigrum fruit species (r = 0.976 and r = 0.994, respectively) and a strong correlation was found for S. retroflexum fruits (r = 0.730) (Figure 6).
Figure 6.
Correlations between hue angle (h°) and vitamin C content. (A) S. melanocerasum—SM, (B) S. retroflexum—SR, (C) S. nigrum—SN.
3. Materials and Methods
3.1. Field Experiment
A two-factor experiment with Solanum species (SM—S. retroflexum, SN—S. nigrum, SV—S. villosum, and SM—S. melanocerasum), and three different ripening stages—ripening stage I, fruit color green (30% maturity) corresponding to BBCH stage 81; ripening stage II, fruit color 40–60% purplish-violet or yellow-orange (60% maturity), inside incompletely ripe, corresponding to BBCH stage 85; and ripening stage III, fruit color 100% velvety black-blue or orange, inside fully ripe (100% maturity), corresponding to BBCH stage 89 (Figure 7) [40,41]—was conducted during the period 2021–2022 on a farm in the Kaunas district, Lithuania (WGS coordinates 54.8719020, 23.8672686).
Figure 7.
Fruit ripening stages of Solanum sp. fruit (photos by J. Staveckienė). 1—S. retroflexum, 2—S. melanocerasum, 3—S. nigrum, 4—S. vilosum.
3.2. Sample Preparation
A combined sample of 1.5 kg for each species and stage of ripening was made after the fruits were collected for analysis. The fruits were washed in tap water, dried, and stored at 34 °C. Using a Freeze-Drying Plant Sublimator 304 05 (ZIRBUS Technology GmbH, Bad Grund, Germany), the samples were lyophilized for 24 h. The fruits were pulverized (Grindomix GM 200, Retsch GmbH, Haan, Germany) after lyophilization and stored at 5 °C in the dark before being analyzed.
3.3. Soil Agrochemical Analyses
An agrochemical auger was used to collect soil samples from the arable layer (0–20 cm depth) in the spring. The soil samples were homogenized, sieved through a 1 mm mesh sieve, and air dried in transparent plastic cases. Agrochemical analyses of the experimental soil were conducted at the Laboratory of Analyses of Vytautas Magnus University Agriculture Academy. The pH, KCl, phosphorus, potassium, and total nitrogen concentrations of soil samples were analyzed. Soil pH was measured according to the potentiometric method using a pH meter in 1 N KCl extract (Lithuanian organization LST) [42]. Using the Egner–Riehm–Domingo method, the ammonium-lactate extraction of the available phosphorus and potassium was performed [43]. The total nitrogen concentration (mg kg−1) was determined using the Kjeldahl method. The experimental field soil was characterized by acidity (pH = 4.16), medium potassium status (K2O = 78.5–102.2 mg kg−1), low phosphorus status (P2O5 = 45.9–69.3 mg kg−1), and 1.25% total nitrogen content.
3.4. Mineral Element Analysis
Using a CEM MARS 6® (Matthews, NC, USA) digestion system outfitted with a 100 mL Teflon vessel, microwave-assisted extraction (MAE) was used to analyze the mineral composition (K, Ca, Mg, P, Fe, Na, Cu, B, Mn, Al, and Zn) of Solanum fruit samples. Approximately 0.3 g of the homogenized sample was accurately weighed into a Teflon vessel and digested using a nitric (HNO3) and hydrochloric (HCl) acid mixture (5:1). Digestion was performed under the following conditions: temperature—180 °C; pressure—800 psi; ramp time—20 min; hold time—20 min; microwave power—800 W. Then, the digested sample was then cooled down and thoroughly transferred into a 100 mL volumetric flask and diluted using bi-distilled water to the mark. Each sample was prepared in triplicate and the blank sample was included in each digestion run. Digestion samples were analyzed by means of ICP–MS (ThermoFisher Scientific, Branchburg, NY, USA).
3.5. Vitamin C Analysis
Vitamin C was assessed by a spectrophotometric method which is based on the ability of the ascorbate ion to reduce methyl viologen to a stable blue-colored free radical ion [44]. One gram of plant material was used to create the samples, which were then centrifuged at 2012 g for five minutes after being homogenized with 10 mL of 5% metaphosphoric acid. Then, 1 mL of sample extraction was combined with 2 mL of methyl viologen, 2 mL of 2 M NaOH, and 2 mL of 2 M NaOH. After two minutes, absorbance was measured with a spectrophotometer (M501, Spectronic Camspec, Ltd., Leeds, UK) at a wavelength of 600 nm. The concentration was calculated using the ascorbic acid standard calibration data.
3.6. Color Parameter Analysis
Solanum fruit color parameters L* (lightness), a* (positive—red, negative—green) and b* (positive—yellow, negative—blue) in NBS units, were evaluated with a spectrophotometer ColorFlex (Hunter Associates Laboratory, Inc., Reston, VA, USA) (Table 2). Chroma (C = (a × 2 + b × 2) 1/2) and hue angle (h° = arctan (b*/a*)) were calculated.
Table 2.
The color parameter changes of Solanum fruits at ripening stage (average for 2021–2022 years).
3.7. Statistical Analysis
The data for the Solanum sp. mineral elements and vitamin C contents were processed using Microsoft Excel 2016 and the STATISTICA 10 (StatSoft, Inc., Tulsa, OK, USA, 2010) package. The reliability of the results was evaluated using a two-way analysis of variance (ANOVA). The statistical significance of the differences between the means was estimated using Fisher’s LSD test (p < 0.05). The relationships between variables were determined using correlation analysis.
4. Conclusions
Overall, our findings showed that the amounts of microelements varied between 756.48 mg kg−1 DW in SV fruits at ripening stage III and 211.12 mg kg−1 DW in SM fruits at ripening stage III, and depended on the ripening stage and species. SV fruits at ripening stage II had a total macroelement concentration of 26,104.95 mg kg−1 DW, while SR fruits at ripening stage I had a total macroelement content of 67,035.23 mg kg−1 DW. SM fruits had the maximum vitamin C content, ranging from 48.15 mg 100 g−1 at ripening stage I to 45.10 mg 100 g−1 in ripening stage III.
The results of our investigation verify that the fruits of the studied Solanum species are a good source of vitamin C and mineral components. These statistics are useful for selecting the ripening stage of a fruit that will result in the highest concentration of mineral elements and vitamin C. Consequently, it is recommended that fruits from Solanum be used in novel food, cosmetics, and pharmaceutical products. More research is necessary to comprehend the mechanism underlying how the ripening stage of fruit affects quality.
Our results showed that the highest amount of microelements was in SV fruits at stage III of ripening, and the highest amount of macroelements was in SR fruits of ripening stage I. The highest amount of vitamin C was determined to be in the SM fruits in ripening stage I.
Author Contributions
Conceptualization, J.S., J.K., B.M., and E.J.; methodology, J.S.; software, J.S.; validation, J.S., J.K., B.M., and E.J; formal analysis, J.S. and J.K.; investigation, J.S.; resources, J.S. and J.K.; data curation, J.S., J.K., and B.M.; writing—original draft preparation, J.S., J.K., B.M., and E.J.; writing—review and editing, J.S., J.K., B.M., and E.J.; visualization, J.S.; supervision, J.S. and J.K. All authors have read and agreed to the published version of the manuscript.
Funding
This research received no external funding.
Data Availability Statement
Data are contained within the article.
Conflicts of Interest
The authors declare no conflicts of interest.
References
- Jilani, K.H.; Kaleem, A.M.; Rahman, K.; Rastogi, N.; Ali, M.A.; Akhtar, A.J.; Fatima, N. Identification of Anticancer and Antioxidant phytoconstituents from chloroform fraction of Solanum nigrum L. berries using GC-MS/MS analysis. Indian J. Exp. Biol. 2016, 54, 774–782. [Google Scholar]
- Azeez, S.O.; Faluyi, J.O. Proximate analysis, vitamin C, anti-nutrients and mineral composition of four Nigerian species of Physalis and Solanum nigrum. Acta Hortic 2019, 1238, 81–92. [Google Scholar] [CrossRef]
- Ndarake, E.G.; Sunday, A.B.; Enejo, S.S.; Nyakno, W.I.; Ernest, E.; Ime, U.U. Comparison of the chemical composition, nutritional values, total phenolics and flavonoids content of the ripe and unripe Solanum nigrum Linn. fruits from Nigeria. World J. Pharm. Pharm. Sci. 2023, 12, 18. [Google Scholar]
- Oyeyemi, S.D.; Ayeni, M.J.; Adebiyi, A.O.; Ademiluyi, B.O.; Tedela, P.O.; Osuji, I.B. Nutritional quality and phytochemical studies of Solanum anguivi (Lam.) fruits. J. Nat. Sci. Res. 2015, 5, 99–105. [Google Scholar]
- Melissa, A.; Ock, K.C. Vitamin C and heart health: A review based on findings from epidemiological studies. Mol. Sci. 2016, 17, 1328. [Google Scholar]
- Phillips, K.M.; Tarrago, T.M.T.; Gebhardt, S.E.; Exler, J.; Patterson, K.Y.; Haytowitz, D.B.; Pehrsson, P.R.; Holden, J.M. Stability of vitamin C in frozen raw fruit and vegetable homogenates. J. Food Compos. Anal. 2010, 23, 253–259. [Google Scholar] [CrossRef]
- Abu, B.N.M.; Akm, M.U.R.; Nowrose, M.; Md, A.H. Solanum nigrum (Maku): A review of pharmacological activities and clinical effects. Int. J. Appl. Res. 2017, 3, 12–17. [Google Scholar]
- Mohyuddin, A.; Kurniawan, T.A.; Khan, Z.U.D.; Nadeem, S.; Javed, M.; Dera, A.A.; Saeed, S. Comparative insights into the antimicrobial, antioxidant, and nutritional potential of the Solanum nigrum complex. Processes 2022, 10, 1455. [Google Scholar] [CrossRef]
- Akishin, D.V.; Vinnitskaya, V.F.; Vetrov, M.Y. Functional and nutritional value of fresh and processed fruit nightshade Sunberry. Technol. Food Process. Ind. AIC–Health Food 2017, 2, 41–48. [Google Scholar]
- Welch, R.M.; Graham, R.D. Breeding for micronutrients in staple food crops from a human nutrition perspective. J. Exp. Bot. 2004, 55, 353–364. [Google Scholar] [CrossRef]
- Grusak, M.A.; Cakmak, I. Methods to improve the crop-delivery of minerals to humans and livestock. Plant Nutr. Genom. 2005, 265–286. [Google Scholar]
- Baiyeri, K.P.; Aba, S.C.; Otitoju, G.T.; Mbah, O.B. The effects of ripening and cooking method on mineral and proximate composition of plantain (Musa sp. AAB cv.‘Agbagba’) fruit pulp. Afr. J. Biotechnol. 2011, 10, 6979–6984. [Google Scholar]
- Schwarz, J.R.; Bauer, C.K. Functions of erg K+ channels in excitable cells. J. Cell. Mol. Med. 2004, 8, 22–30. [Google Scholar] [CrossRef] [PubMed]
- Ko, E.A.; Han, J.; Jung, I.D.; Park, W.S. Physiological roles of K+ channels in vascular smooth muscle cells. J. Smooth Muscle Res. 2008, 44, 65–81. [Google Scholar] [CrossRef] [PubMed]
- Aguirre, G.; Loza, M.; Gasquez, J.A.; Fusco, M.; Sosa, A.; Ciuffo, G.M.; Ciuffo, L.E. The potentiality of non timber forest products. Fruit availability, phytochemical properties of Rosa rubiginosa L. rose hips. Am. J. Plant Sci. 2016, 7, 2287–2772. [Google Scholar] [CrossRef]
- Rosenthal, J.J.C.; Gilly, W.F. Identified ion channels in the squid nervous system. Neurosignals 2003, 12, 126–141. [Google Scholar] [CrossRef]
- Lambert, I.H.; Hoffmann, E.K.; Pedersen, S.F. Cell volume regulation: Physiology and pathophysiology. Acta Physiol. 2008, 194, 255–282. [Google Scholar] [CrossRef]
- Costa, F.; Lures, B.M.; Saraiva, D.; Verissimo, M.T.; Ramos, F. Evolution of mineral contents in tomato fruits during the ripening process after harvest. Food Anal. Methods 2011, 4, 410–415. [Google Scholar] [CrossRef]
- Paunovic, V.; Nikolic, M.; Miletić, R.; Mašković, P. Vitamin and mineral content in black currant (Ribes nigrum L.) fruits as affected by soil management system. Acta Sci. Polonorum. Hortorum Cultus 2017, 16, 135–144. [Google Scholar] [CrossRef]
- Szefer, P.; Grembecka, M. Mineral components in food crops, beverages, luxury food, spices, and dietary food. Miner. Compon. Foods 2006, 7, 231–322. [Google Scholar]
- EU Regulation. No 1169/2011 of the European Parliament and of the Council of 25 October 2011 on the provision of food information to consumers, amending Regulations (EC) No 1924/2006 and (EC) No 1925/2006 of the European Parliament and of the Council, and repealing Commission Directive 87/250/EEC, Council Directive 90/496/EEC, Commission Directive 1999/10/EC, Directive 2000/13/EC of the European Parliament and of the Council, Commission Directives 2002/67/EC and 2008/5/EC and Commission Regulation (EC) No 608/2004. Off. J. Eur. Union 2011, 304, 18–63. [Google Scholar]
- Akubugwo, I.E.; Obasi, N.A.; Chinyere, G.C.; Ugbogu, A.E. Mineral and phytochemical contents in leaves of Amaranthus hybridus L and Solanum nigrum L. subjected to different processing methods. Afr. J. Biochem. Res. 2008, 2, 40–44. [Google Scholar]
- Sivakumar, D.; Phan, A.D.T.; Slabbert, R.M.; Sultanbawa, Y.; Remize, F. Phytochemical and nutritional quality changes during irrigation and postharvest processing of the underutilized vegetable African nightshade. Front. Nutr. 2020, 7, 532–576. [Google Scholar] [CrossRef] [PubMed]
- Martínez, B.M.C.; Dominguez, P.R.; Moreno, D.A.; Muries, B.; Alcaraz, L.C.; Bastías, E.; García-Viguera, C.; Carvajal, M. Minerals in plant food: Effect of agricultural practices and role in human health. A review. Agron. Sustain. Dev. 2010, 30, 295–309. [Google Scholar] [CrossRef]
- Theobald, H.E. Dietary calcium and health. Nutr. Bull. 2005, 30, 237–277. [Google Scholar] [CrossRef]
- Huskisson, E.; Maggini, S.; Ruf, M. The role of vitamins and minerals in energy metabolism and well-being. J. Int. Med. Res. 2007, 35, 277–289. [Google Scholar] [CrossRef] [PubMed]
- Morgan, K.T. Nutritional determinants of bone health. J. Nutr. Elder. 2008, 27, 3–27. [Google Scholar] [CrossRef] [PubMed]
- Hänsch, R.; Mendel, R.R. Physiological functions of mineral micronutrients (Cu, Zn, Mn, Fe, Ni, Mo, B, Cl). Curr. Opin. Plant Biol. 2009, 12, 259–266. [Google Scholar] [CrossRef]
- Subbarao, G.V.; Ito, O.; Berry, W.L.; Wheeler, R.M. Sodium a functional plant nutrient. Crit. Rev. Plant Sci. 2003, 22, 391–416. [Google Scholar]
- Nieder, R.; Benbi, D.K.; Reichl, F.X.; Nieder, R.; Benbi, D.K.; Reichl, F.X. Microelements and their role in human health. Soil Compon. Hum. Health 2018, 47, 317–374. [Google Scholar]
- Rop, O.; Sochor, J.; Jurikova, T.; Zitka, O.; Skutkova, H.; Mlcek, J.; Kizek, R. Effect of five different stages of ripening on chemical compounds in medlar (Mespilus germanica L.). Molecules 2010, 16, 74–91. [Google Scholar] [CrossRef] [PubMed]
- Ramesh, K.V.; Paul, V.; Pandey, R. Dynamics of mineral nutrients in tomato (Solanum lycopersicum L.) fruits during ripening. Plant Physiol. Rep. 2021, 26, 23–37. [Google Scholar] [CrossRef]
- Shenkin, A. Basics in clinical nutrition: Physiological function and deficiency states of trace elements. Eur. e-J. Clin. Nutr. Metab. 2008, 3, 255–258. [Google Scholar] [CrossRef]
- Davey, M.W.; Van Montagu, M.; Inze´, D.; Sanmartin, M.; Kanellis, A.; Smirnoff, N. Plant L-ascorbic acid: Chemistry, function, metabolism, bioavailability and effects of processing. J. Sci. Food Agric. 2000, 80, 825–860. [Google Scholar] [CrossRef]
- Kabasakalis, V.; Siopidou, D.; Moshatou, E. Ascorbic acid content of commercial fruit juices and its rate of loss upon storage. Food Chem. 2000, 70, 325–328. [Google Scholar] [CrossRef]
- Yang, X.Y.; Xie, J.X.; Wang, F.F.; Zhong, J.; Liu, Y.Z.; Li, G.H.; Peng, S.A. Comparison of ascorbate metabolism in fruits of two citrus species with obvious difference in ascorbate content in pulp. J. Plant Physiol. 2011, 168, 2196–2205. [Google Scholar] [CrossRef]
- Mamboleo, T.F.; Msuya, J.M.; Mwanri, A.W. Vitamin C, iron and zinc levels of selected African green leafy vegetables at different stages of maturity. Afr. J. Biotechnol. 2018, 17, 567–573. [Google Scholar]
- Martinez, S.; López, M.; González, R.M.; Bernardo, A.A. The effects of ripening stage and processing systems on vitamin C content in sweet peppers (Capsicum annuum L.). Int. J. Food Sci. Nutr. 2005, 56, 45–51. [Google Scholar] [CrossRef]
- Park, M.H.; Sangwanangkul, P.; Baek, D.R. Changes in carotenoid and chlorophyll content of black tomatoes (Lycopersicon esculentum L.) during storage at various temperatures. Saudi J. Biol. Sci. 2018, 25, 57–65. [Google Scholar] [CrossRef]
- Coyago-Cruz, E.; Corell, M.; Moriana, A.; Hernanz, D.; Stinco, C.M.; Mapelli-Brahm, P.; Meléndez-Martínez, A.J. Effect of regulated deficit irrigation on commercial quality parameters, carotenoids, phenolics and sugars of the black cherry tomato (Solanum lycopersicum L.) ‘Sunchocola’. J. Food Compos. Anal. 2022, 105, 1–9. [Google Scholar] [CrossRef]
- Kliszcz, A. Phenological growth stages and BBCH-identification keys of Jerusalem artichoke (Helianthus tuberosus L.). Ann. Univ. Paedagog. Cracoviensis Stud. Naturae 2021, 6, 203–225. [Google Scholar] [CrossRef]
- LST ISO 10390:2005; Soil Quality—Determination of pH. Lithuanian Organization for Standardization: Vilnius, Lithuania, 2005.
- Oreshkin, N. Extraction of mobile forms of phosphorus and potassium by the Egner–Riehm–Domingo method. Agrokhimiia 1980, 8, 135–138. [Google Scholar]
- Janghel, E.K.; Gupta, V.K.; Rai, M.K.; Rai, J.K. Micro determination of ascorbic acid using methyl viologen. Talanta 2007, 72, 1013–1016. [Google Scholar] [CrossRef] [PubMed]
Disclaimer/Publisher’s Note: The statements, opinions and data contained in all publications are solely those of the individual author(s) and contributor(s) and not of MDPI and/or the editor(s). MDPI and/or the editor(s) disclaim responsibility for any injury to people or property resulting from any ideas, methods, instructions or products referred to in the content. |
© 2024 by the authors. Licensee MDPI, Basel, Switzerland. This article is an open access article distributed under the terms and conditions of the Creative Commons Attribution (CC BY) license (https://creativecommons.org/licenses/by/4.0/).









