Artificial Vegetation for Sand Stabilization May Impact Sand Lake Dynamics in Dune Regions
Abstract
1. Introduction
2. Materials and Methods
2.1. Study Area
2.2. Research Methods
2.2.1. Research Methods on the Multi-Year Scale
The Method of Plot Setting
Methods for Determining the Watershed Area and Its Composition
Methods for Determining the Dune Vegetation Coverage of the Watershed
2.2.2. Research Methods on the One-Year Scale
The Method for Categorizing Plots
Method for Determining the Watershed Area and Its Compositions
Method for Determining the Lake Water Variation
The Acquisition Method for the Vegetation Coverage of Dunes
The Calculation Method for the Water Recharge from the Dune to the Lake
Statistical Analysis
3. Results
3.1. The Long-Term Impacts of Sand-Fixing Vegetation on Sand Lakes
3.1.1. The Variation Dynamic of Sand Lake Areas on a Multi-Year Scale
3.1.2. The Variation Characteristics of Dunes’ Vegetation Coverage during 2000–2020
3.1.3. An Analysis of Factors Influencing the Change in Sand Lake Area on the Multi-Year Scale
3.2. The Relationship between Lake Water Variation and Dune Vegetation Coverage on a One-Year Scale
3.2.1. The Variation Characteristics of Lake Areas during the Growing Season
3.2.2. The Dynamic of Dune Vegetation Coverage during the Growing Season
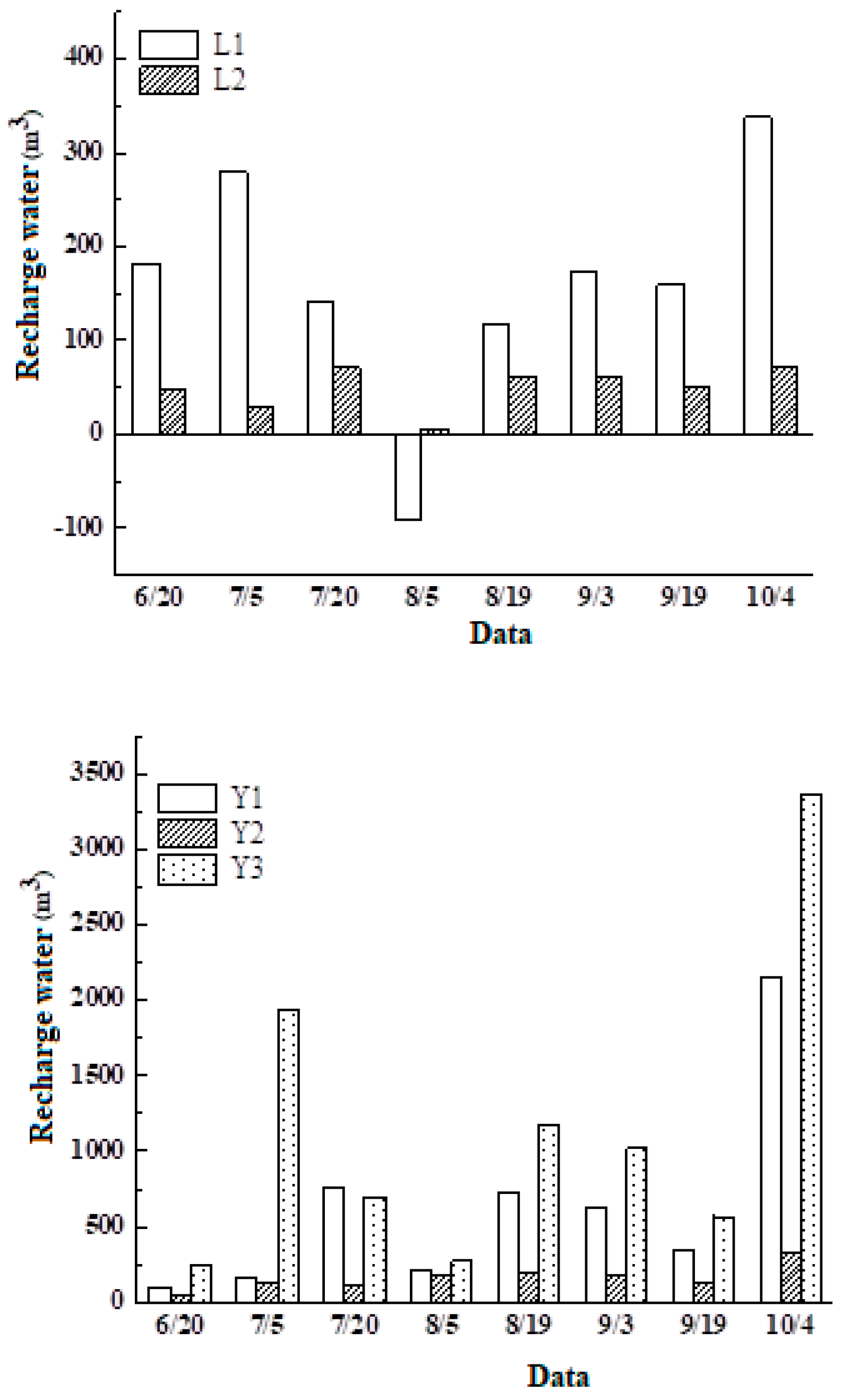
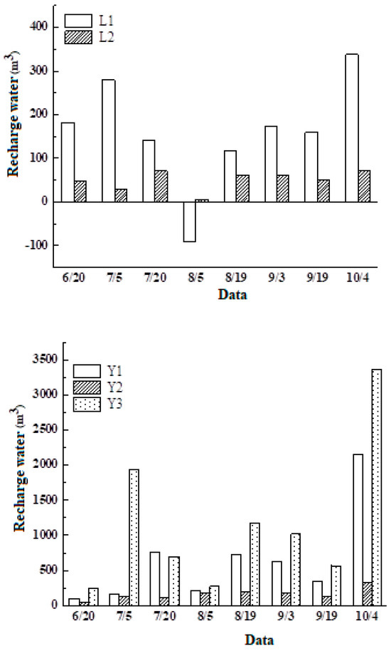
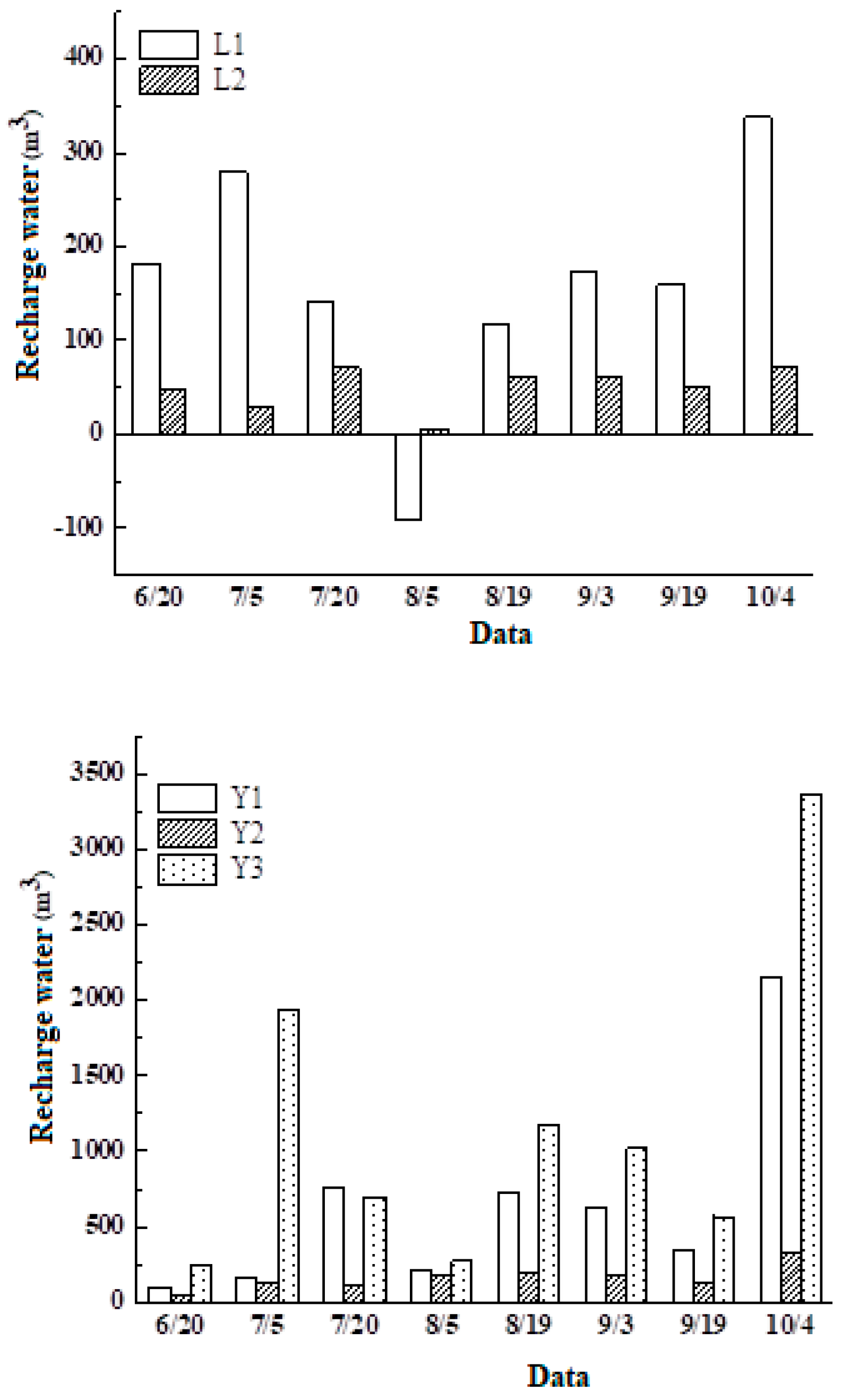
3.2.3. The Effect of Dune Vegetation Coverage on the Water Recharge from Dune to Lake
3.2.4. Influencing Factors of the External Water Recharge Capacity of Dunes to Lakes
4. Discussion
4.1. The Effect of Sand-Fixing Vegetation on Lake Water Variation
4.2. The Practical Significance of the Effect of Sand-Fixing Vegetation on Lakes
5. Conclusions
Author Contributions
Funding
Data Availability Statement
Conflicts of Interest
References
- Alamusa; Su, Y.H.; Yin, J.W.; Zhou, Q.L.; Wang, Y.C. Effect of sand-fixing vegetation on the hydrological regulation function of sand dunes and its practical significance. J. Arid Land 2023, 15, 52–62. [Google Scholar] [CrossRef]
- Yin, J.W.; Alamusa; Su, Y.H. Effects of dune vegetation on water dynamics in inter-dune lowland in the Horqin Sandy Land. J. Desert Res. 2022, 42, 194–203. (In Chinese) [Google Scholar]
- Cao, J.; Alamusa; Zhang, Y.H. Deep Percolation and Lateral Migration of Water in Sandy Dune in the Horqin Sandy Land. J. Desert Res. 2019, 39, 41–47. (In Chinese) [Google Scholar]
- Yue, D.P.; Zhao, J.B.; Ma, Y.D. Relationship between landform development and lake water recharge in the Badain Jaran Desert, China. Water 2019, 11, 1999. [Google Scholar] [CrossRef]
- Shao, R.; Zhang, B.Q.; Su, T.X.; Biao, L.; Cheng, L.Y.; Xue, Y.Y.; Yang, W.J. Estimating the increase in regional evaporative water consumption as a result of vegetation restoration over the Loess Plateau, China. J. Geophys. Res.-Atmos. 2019, 124, 11783–11802. [Google Scholar] [CrossRef]
- Yang, W.B.; Tang, J.N.; Liang, H.R.; Dang, H.Z.; Li, W. Deep soil water infiltration and its dynamic variation in the shifting sandy land of typical deserts in China. Sci. China Earth Sci. 2014, 44, 2052–2061. (In Chinese) [Google Scholar] [CrossRef]
- Zhao, W.Z.; Zhou, H.; Liu, H. Advances in moisture migration in vadose zone of dry land and recharge effects on groundwater dynamics. Adv. Earth Sci. 2017, 32, 908–918. (In Chinese) [Google Scholar]
- Li, X.R.; Xiao, H.L.; Zhang, J.G. Long-term ecosystem effects of sand-binding vegetation in the Tengger desert, Northern China. Restor. Ecol. 2004, 12, 376–390. [Google Scholar] [CrossRef]
- Kizito, F.; Dragila, M.I.; Senè, M.; Brooks, J.R.; Cuenca, R. Hydraulic redistribution by two semi-arid shrub species: Implications for Sahelian agro-ecosystems. J. Arid Environ. 2012, 83, 69–77. [Google Scholar] [CrossRef]
- Gao, J.; Kennedy, D.M.; Konlechner, T.M. Coastal dune mobility over the past century: A global review. Prog. Phys. Geogr. Earth Environ. 2020, 44, 814–836. [Google Scholar] [CrossRef]
- Taminskas, J.; Šimanauskienė, R.; Linkevičienė, R.; Volungevičius, J.; Slavinskienė, G.; Povilanskas, R.; Satkūnas, J. Impact of Hydro-Climatic Changes on Coastal Dunes Landscape According to Normalized Difference Vegetation Index (The Case Study of Curonian Spit). Water 2020, 12, 3234. [Google Scholar] [CrossRef]
- Lichner, L.; Hallett, P.D.; Orfanus, T.; Czarchor, H.; Rajkai, K.; Sir, M.; Tesar, M. Vegetation impact on the hydrology of an aeolian sandy soil in a continental climate. Ecohydrology 2010, 3, 413–420. [Google Scholar] [CrossRef]
- Martínez, M.L.; Pérez-Maqueo, O.; Vázquez, G.; Landgrave, R. Warmer Temperature and Spatiotemporal Dynamics during Primary Succession on Tropical Coastal Dunes. Plants 2022, 11, 3029. [Google Scholar] [CrossRef]
- Yang, W.B.; Feng, W.; Li, W. Principle and mode of combating desertification with low-coverage. Prot. For. Sci. Technol. 2016, 4, 1–5. (In Chinese) [Google Scholar]
- Liu, X.P.; He, Y.L.; Zhang, T.H. The response of infiltration depth; evaporation, and soil water replenishment to rainfall in mobile dunes in the Horqin Sandy Land, Northern China. Environ. Earth Sci. 2015, 73, 8699–8708. [Google Scholar] [CrossRef]
- Awotwi, A.; Yeboah, F.; Kumi, M. Assessing the impact of land cover changes on water balance components of White Volta Basin in West Africa. Water Environ. J. 2015, 29, 259–267. [Google Scholar] [CrossRef]
- Hou, L.; Wang, X.S.; Hu, B.X.; Shang, J.; Wan, L. Experimental and numerical investigations of soil water balance at the hinterland of the Badain Jaran Desert for groundwater recharge estimation. J. Hydrol. 2016, 540, 386–396. [Google Scholar] [CrossRef]
- Feng, W.; Yang, W.B.; Tang, J.N.; Li, W.; Dang, H.Z.; Liang, H.R.; Zhang, Z.S. Deep soil water infiltration and its dynamic characteristics in Chinese deserts. J. Desert Res. 2015, 35, 1362–1370. (In Chinese) [Google Scholar]
- Chang, X.L.; Zhao, X.Y.; Wang, W.; Liu, L.X. Response of lake fluctuation to climate change in Horqin Sandy Land. Acta Ecol. Sin. 2013, 33, 7002–7012. (In Chinese) [Google Scholar] [CrossRef]
- Carlson Mazur, M.L.; Wiley, M.J.; Wilcox, D.A. Estimating evapotranspiration and groundwater flow from water-table fluctuations for a general wetland scenario. Ecohydrology 2014, 7, 378–390. [Google Scholar] [CrossRef]
- Alamusa; Pei, T.F.; Jiang, D.M. A study on soil moisture content and plantation fitness for artificial sand-fixation forest in Horqin sandy land. Adv. Water Sci. 2005, 16, 426–431. (In Chinese) [Google Scholar]
- Huang, Z.; Liu, Y.; Qiu, K.Y.; López-Vicente, M.; Shen, W.B.; Wu, G.L. Soil-water deficit in deep soil layers results from the planted forest in a semi-arid sandy land: Implications for sustainable agroforestry water management. Agric. Water Manag. 2021, 254, 106985. [Google Scholar] [CrossRef]
- Kundu, S.; Khare, D.; Mondal, A. Past, present and future land use changes and their impact on water balance. J. Environ. Manag. 2017, 197, 582–596. [Google Scholar] [CrossRef] [PubMed]
- Zhou, G.Y.; Wei, X.H.; Chen, X.Z.; Zhou, P.; Liu, X.D.; Xiao, Y.; Sun, G.; Scott, D.F.; Zhou, S.Y.; Han, L.S.; et al. Global pattern for the effect of climate and land cover on water yield. Nat. Commun. 2015, 6, 5918. [Google Scholar] [CrossRef]
- Bar, P.; Katz, O.; Dorman, M. Spatial Heterogeneity Effects on Meta-Community Stability of Annual Plants from a Coastal Dune Ecosystem. Plants 2023, 12, 2151. [Google Scholar]
- Descroix, L.; Laurent, J.P.; Vauclin, M.; Amogu, O.; Boubkraoui, S.; Ibrahim, B.; Galle, S.; Cappelaere, B.; Bousquet, S.; Mamadou, I.; et al. Experimental evidence of deep infiltration under sandy flats and gullies in the sahel. J. Hydrol. 2012, 424, 1–15. [Google Scholar] [CrossRef]
- Ekness, P.; Randhir, T.O. Effect of climate and land cover changes on watershed runoff: A multivariate assessment for storm water management. J. Geophys. Res. Biogeosci. 2015, 120, 1785–1796. [Google Scholar] [CrossRef]
- Shrestha, N.; Mittelstet, A.R.; Gilmore, T.E.; Zlotnik, V.; Neale, C.M. Effects of drought on groundwater-fed lake areas in the Nebraska Sand Hills. J. Hydrol. Reg. Stud. 2021, 36, 100877. [Google Scholar] [CrossRef]
- Che, X.H.; Feng, M.; Sun, Q.; Sexton, J.O.; Channan, S.; Liu, J.P. The decrease in lake numbers and areas in central asia investigated using a landsat-derived water dataset. Remote Sens. 2021, 13, 1032. [Google Scholar] [CrossRef]
- Zhao, Z.L.; Liu, F.G.; Zhang, Y.L. The dynamic response of lakes in the Tuohepingco Basin of the Tibetan Plateau to climate change. Environ. Earth Sci. 2017, 76, 137–147. [Google Scholar] [CrossRef]
- Tao, S.L.; Fang, J.Y.; Zhao, X.; Shu, Q.; Shen, H.H.; Hu, H.F.; Tang, Z.Y.; Wang, Z.H.; Guo, Q.H. Rapid loss of lakes on the Mongolian Plateau. Proc. Natl. Acad. Sci. USA 2015, 112, 2281–2286. [Google Scholar] [CrossRef] [PubMed]
- Yan, D.R. Causes and prevention and control of land desertification in Inner Mongolia. Inn. Mong. Environ. Prot. 2001, 13, 35–38. (In Chinese) [Google Scholar]








| Composition Area | Huituntala | Xigaorisu |
|---|---|---|
| Watershed area | 508.41 | 887.21 |
| Inter-dune lowland area | 45.50 | 81.74 |
| Dune area | 462.92 | 805.42 |
| Lake area | 8.84 | 22.54 |
| Study Plots | T1 | T2 | T3 | L1 | L2 | Y1 | Y2 | Y3 |
|---|---|---|---|---|---|---|---|---|
| Watershed area | 21.02 | 6.71 | 64.77 | 5.99 | 2.31 | 13.19 | 4.47 | 26.45 |
| Dune area | 18.71 | 4.74 | 6.09 | 4.98 | 1.71 | 9.18 | 1.76 | 19.95 |
| Water area | 0.58 | 0.11 | 0.19 | 0.36 | 0.14 | 1.12 | 0.31 | 1.62 |
| Plot Types | Stabilized Dune | Semi-Active Dune | Active Dune | ||||||||
|---|---|---|---|---|---|---|---|---|---|---|---|
| Plots | T1 | T2 | T3 | Mean | L1 | L2 | Mean | Y1 | Y2 | Y3 | Mean |
| Replenishment capacity per unit area (mm/m2) | 15.27 | 12.57 | 16.78 | 14.87 | 26.17 | 23.32 | 24.75 | 55.70 | 72.53 | 46.52 | 58.25 |
| Ratio of replenishment to precipitation (%) | 5.61 | 4.61 | 6.16 | 5.46 | 9.61 | 8.56 | 9.09 | 20.45 | 26.63 | 17.08 | 21.39 |
| Temperature | Vegetation Coverage | Precipitation Supply | |
|---|---|---|---|
| Correlation coefficient | −0.313 * | −0.326 ** | 0.724 ** |
| Sample size | 64 | 64 | 64 |
| R2 = 0.641 | Unnormalized Coefficient | SE | Normalization Coefficient | p Value | VIF |
|---|---|---|---|---|---|
| Constant | 1052.737 | 275.355 | <0.001 | ||
| Precipitation | 0.100 | 0.012 | 0.661 | <0.001 | 1.031 |
| Vegetation coverage | −11.459 | 2.908 | −0.302 | <0.001 | 1.029 |
| Temperature | −37.585 | 11.049 | −0.262 | 0.001 | 1.041 |
Disclaimer/Publisher’s Note: The statements, opinions and data contained in all publications are solely those of the individual author(s) and contributor(s) and not of MDPI and/or the editor(s). MDPI and/or the editor(s) disclaim responsibility for any injury to people or property resulting from any ideas, methods, instructions or products referred to in the content. |
© 2024 by the authors. Licensee MDPI, Basel, Switzerland. This article is an open access article distributed under the terms and conditions of the Creative Commons Attribution (CC BY) license (https://creativecommons.org/licenses/by/4.0/).
Share and Cite
Alamusa; Su, Y.; Zhou, Q.; Liu, Z.; Wang, Y.; Zheng, X. Artificial Vegetation for Sand Stabilization May Impact Sand Lake Dynamics in Dune Regions. Plants 2024, 13, 255. https://doi.org/10.3390/plants13020255
Alamusa, Su Y, Zhou Q, Liu Z, Wang Y, Zheng X. Artificial Vegetation for Sand Stabilization May Impact Sand Lake Dynamics in Dune Regions. Plants. 2024; 13(2):255. https://doi.org/10.3390/plants13020255
Chicago/Turabian StyleAlamusa, Yuhang Su, Quanlai Zhou, Zhiyu Liu, Yongcui Wang, and Xiao Zheng. 2024. "Artificial Vegetation for Sand Stabilization May Impact Sand Lake Dynamics in Dune Regions" Plants 13, no. 2: 255. https://doi.org/10.3390/plants13020255
APA StyleAlamusa, Su, Y., Zhou, Q., Liu, Z., Wang, Y., & Zheng, X. (2024). Artificial Vegetation for Sand Stabilization May Impact Sand Lake Dynamics in Dune Regions. Plants, 13(2), 255. https://doi.org/10.3390/plants13020255

