Chemical Analysis of the Essential Oils from Three Populations of Lippia dulcis Trevir. Grown at Different Locations in Southern Ecuador
Abstract
1. Introduction
2. Results
2.1. Physical Properties of the EOs
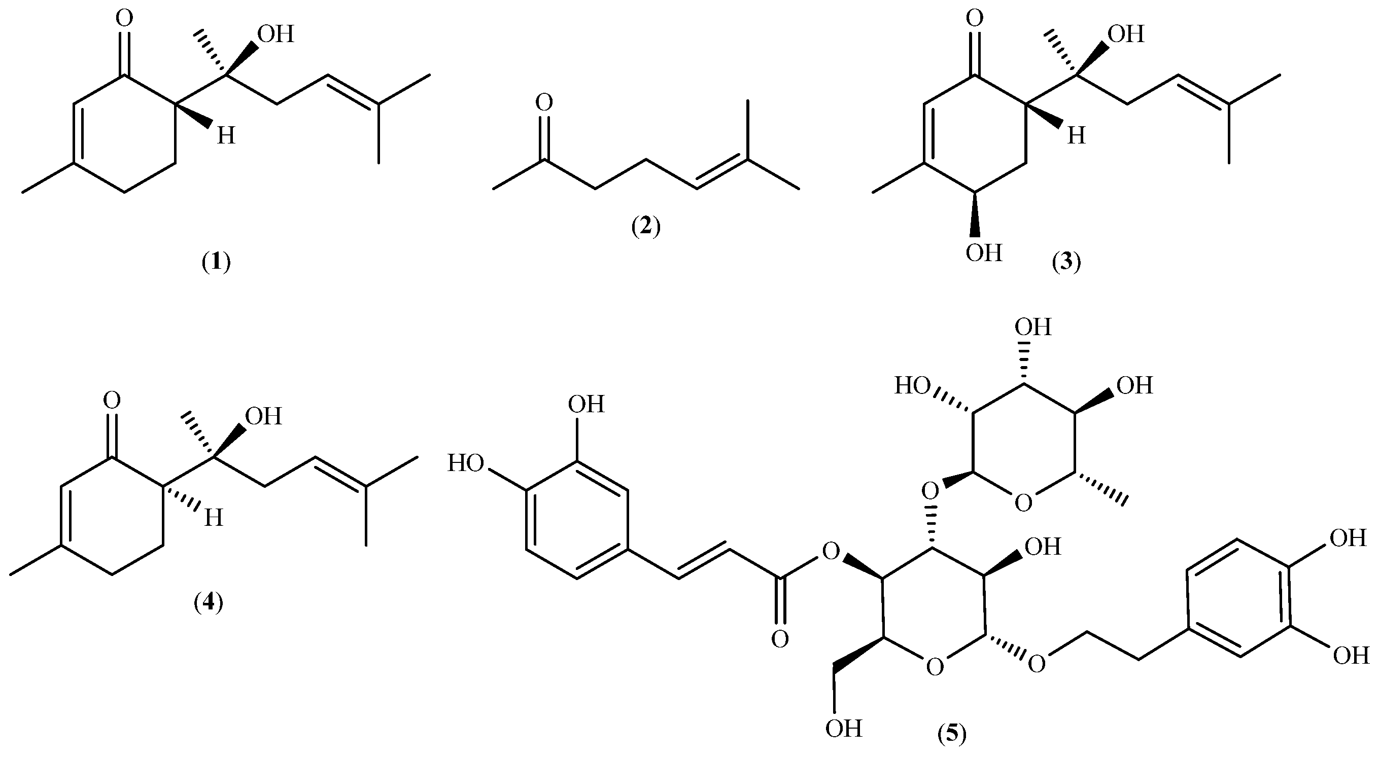
2.2. Chemical Composition of the EOs
3. Discussion
4. Materials and Methods
4.1. Collection of Plant Material
4.2. Essential Oil Isolation
4.3. Physical Properties
4.4. Chemical Composition of Essential Oils
4.4.1. Gas Chromatography Coupled to Mass Spectrometry (GC-MS)
4.4.2. Gas Chromatography Coupled to a Flame Ionization Detector (GC-FID)
5. Conclusions
Author Contributions
Funding
Institutional Review Board Statement
Informed Consent Statement
Data Availability Statement
Acknowledgments
Conflicts of Interest
References
- Cardoso, P.H.; Menini Neto, L.; Trovó, M.; Salimena, F.R.G. Checklist and a new species of Lippia (Verbenaceae) from the Diamantina Plateau, Minas Gerais, Brazil. Eur. J. Taxon 2021, 733, 42–55. [Google Scholar] [CrossRef]
- Cardoso, P.H.; O’Leary, N.; Olmstead, R.G.; Moroni, P.; Thode, V.A. An update of the Verbenaceae genera and species number. Plant Ecol. Evol. 2021, 154, 80–86. [Google Scholar] [CrossRef]
- Atkins, S. Verbenaceae. Flowering Plants·Dicotyledons: Lamiales (Except Acanthaceae Including Avicenniaceae); Springer: Berlin/Heidelberg, Germany, 2004; pp. 449–468. [Google Scholar] [CrossRef]
- Wagstaff, S.J.; Olmstead, R.G. Phylogeny of Labiatae and Verbenaceae inferred from rbcL sequences. Sys. Bot. 1997, 22, 165–179. [Google Scholar] [CrossRef]
- Marx, H.E.; O’Leary, N.; Yuan, Y.W.; Lu-Irving, P.; Tank, D.C.; Múlgura, M.E.; Olmstead, R.G. A molecular phylogeny and classification of Verbenaceae. Am. J. Bot. 2010, 97, 1647–1663. [Google Scholar] [CrossRef] [PubMed]
- Rotman, A.D.; Mulgura de Romero, M.E.; Novara, L. Verbenaceae. Aportes Botánicos Salta-Ser. Flora 1999, 5, 1–83. [Google Scholar]
- León-Yánez, S.; Valencia, R.; Pitman, N.; Endara, L.; Ulloa, C.; Navarrete, H. Libro rojo de las Plantas Endémicas del Ecuador; Publicaciones del Herbario QCA, Pontificia Universidad Católica del Ecuador: Quito, Ecuador, 2019. [Google Scholar]
- Morton, J.F. Atlas of Medicinal Plants of Middle America; Charles C. Thomas: Springfield, IL, USA, 1981; Volume I, pp. 745–750. [Google Scholar]
- Rahmatullah, M.; Jahan, R.; Azam, F.M.; Hossan, S.; Mollik, M.A.; Rahman, T. Folk medicinal uses of Verbenaceae family plants in Bangladesh. Afr. J. Tradit. Complement. Altern. Med. 2011, 8, 53–65. [Google Scholar] [CrossRef] [PubMed]
- Pascual, M.E.; Slowing, K.; Carretero, E.; Mata, D.S.; Villar, A. Lippia: Traditional uses, chemistry and pharmacology: A review. J. Ethnopharmacol. 2001, 76, 201–214. [Google Scholar] [CrossRef]
- Pérez Zamora, C.M.; Torres, C.A.; Nuñez, M.B. Antimicrobial activity and chemical composition of essential oils from Verbenaceae species growing in South America. Molecules 2018, 23, 544. [Google Scholar] [CrossRef]
- De la Torre, L.; Navarrete, H.; Muriel, P.; Macía, M.J.; Balslev, H. Enciclopedia de las Plantas Útiles del Ecuador (Con Extracto de Datos); Herbario QCA de la Escuela de Ciencias Biológicas de la Pontificia Universidad Católica del Ecuador: Quito, Ecuador; Herbario AAU del Departamento de Ciencias Biológicas de la Universidad de Aarhus: Aarhus, Denmark, 2008. [Google Scholar]
- Bassols, G.B.; Gurni, A.A. Especies del género Lippia utilizadas en medicina popular latinoamericana. Dominguezia 1996, 13, 7–25. Available online: http://www.dominguezia.org/volumen/articulos/1311.pdf (accessed on 1 September 2023).
- Compadre, C.M.; Hussain, R.A.; Lopez de Compadre, R.L.; Pezzuto, J.M.; Kinghorn, A.D. The intensely sweet sesquiterpene hernandulcin: Isolation, synthesis, characterization and preliminary safety evaluation. J. Agric. Food. Chem. 1987, 35, 273–279. [Google Scholar] [CrossRef]
- Compadre, C.M.; Robbins, E.F.; Kinghorn, A.D. The intensely sweet herb, Lippia dulcis Trev.: Historical uses, field inquiries, and constituents. J. Ethnopharmacol. 1986, 15, 89–106. [Google Scholar] [CrossRef] [PubMed]
- Plants of the World Online/Kew Science. Available online: https://powo.science.kew.org (accessed on 1 October 2023).
- Compadre, C.M.; Pezzuto, J.M.; Kinghorn, A.D.; Kamath, S.K. Hernandulcin: An intensely sweet compound discovered by review of ancient literature. Science 1985, 227, 417–419. [Google Scholar] [CrossRef] [PubMed]
- Kaneda, N.; Lee, I.S.; Gupta, M.P.; Soejarto, D.D.; Kinghorn, D. (+)-4β-Hydroxyhernandulcin, a new sweet sesquiterpene from the leaves and flowers of Lippia dulcis. J. Nat. Prod. 1992, 55, 1136–1141. [Google Scholar] [CrossRef] [PubMed]
- De Oliveira, P.F.; Machado, R.A.F.; Bolzan, A.; Barth, D. Seasonal variation on the yield of Lippia dulcis Trev. extract obtained by supercritical CO2. J. Supercrit. Fluids 2012, 63, 161–168. [Google Scholar] [CrossRef]
- Görnemann, T.; Nayal, R.; Pertz, H.H.; Melzig, M.F. Antispasmodic activity of essential oil from Lippia dulcis Trev. J. Ethnopharmacol. 2008, 117, 166–169. [Google Scholar] [CrossRef] [PubMed]
- Pérez, S.; Meckes, M.; Pérez, C.; Susunaga, A.; Zavala, M.A. Anti-inflammatory activity of Lippia dulcis. J. Ethnopharmacol. 2005, 102, 1–4. [Google Scholar] [CrossRef] [PubMed]
- Contreras-Puentes, N.; Salas-Moreno, M.; Mosquera-Chaverra, L.; Córdoba-Tovar, L.; Alviz-Amado, A. Volatile compounds from Phyla scaberrima (Juss. ex Pers.) Moldenke and Dysphania ambrosioides (L.) Mosyakin & Clemants as possible SARS-CoV-2 protease inhibitors: Identification and in-silico study. J. Pharm. Pharmacogn. Res. 2022, 10, 469–485. [Google Scholar]
- Souto-Bachiller, F.A.; De Jesus-Echevarría, M.; Cárdenas-González, O.E.; Acuña-Rodríguez, M.F.; Meléndez, P.A.; Romero-Ramsey, L. Terpenoid composition of Lippia dulcis. Phytochemistry 1997, 44, 1077–1086. [Google Scholar] [CrossRef]
- Moreno-Murilloa, B.; Quijano-Célisb, C.; Romero, A.R.; Pino, J.A. Essential oil from leaves of Lippia dulcis grown in Colombia. Nat. Prod. Commun. 2010, 5, 613–614. [Google Scholar] [CrossRef]
- Adams, R.P.; Oliveira, P.F. Comparison of intensely sweet volatile leaf oils of Lippia dulcis (Verbenaceae) with low and high camphor from Brazil and Mexico. Phytologia 2016, 98, 207–212. [Google Scholar]
- Mesquita Germano, C.; Ritter Ruas, N.; Alves Lameira, O.; Santos Ribeiro, F.N.; Teixeira Rocha, T.; Alves de Carvalho, A.; Miranda Rocha, J.P.; Brasil Pereira Pinto, J.E.; Vilela Bertolucci, S.K. Seasonal variations during two years in the essential oil of Lippia dulcis Trevir., an exotic aromatic of the Amazon. J. Essent. Oil Res. 2022, 34, 352–360. [Google Scholar] [CrossRef]
- Adams, R.P. Identification of Essential Oil Components by Gas Chromatography/Mass Spectrometry, 4th ed.; Allured Publishing Corporation: Carol Stream, IL, USA, 2007. [Google Scholar]
- NIST 08; Mass Spectral Library (NIST/EPA/NIH). National Institute of Standards and Technology: Gaithersburg, MD, USA, 2008.
- Babushok, V.I.; Linstrom, P.J.; Zenkevich, I.G. Retention indices for frequently reported compounds of plant essential oils. J. Phys. Chem. Ref. Data 2011, 40, 043101. [Google Scholar] [CrossRef]
- Van Den Dool, H.; Kratz, P.D. A generalization of the retention index system including linear temperature programmed gas—Liquid partition chromatography. J. Chromatogr. 1963, 11, 463–471. [Google Scholar] [CrossRef] [PubMed]
- Da Silva, J.M.S.; Rabelo, M.d.S.; Lima, S.X.; Rocha, A.L.F.; da Fonseca Filho, H.D.; de Oliveira, A.C.; Tadei, W.P.; Chaves, F.C.M.; de A. Bezerra, J.; Biondo, M.M.; et al. Biodegradable nanoparticles loaded with Lippia alba essential oil: A sustainable alternative for Aedes aegypti larvae control. Eur. Acad. Res. 2020, 7, 6237–6258. [Google Scholar]
- ISO 279:1998; Essential Oils. Determination of Relative Density at 20 °C—Reference Method. ISO: Geneva, Switzerland, 1998.
- ISO 280:1998; Essential Oils. Determination of Refractive Index. ISO: Geneva, Switzerland, 1998.
- ISO 592:1998; Essential Oils. Determination of Optical Rotation. ISO: Geneva, Switzerland, 1998.




| Collection Location | Yield % (v/w) | Relative Density g/mL | ||
|---|---|---|---|---|
| Catacocha | 0.20 | 0.91 ± 0.02 | 1.4895 | +11.38 |
| Vilcabamba | 0.08 | 0.86 ± 0.02 | 1.4993 | +9.70 |
| Chuquiribamba | 0.17 | 0.84 ± 0.02 | 1.5005 | +18.14 |
| Compound | RT (min) | LRIcalc a | LRIlit b | Collection Location | ||
|---|---|---|---|---|---|---|
| Catacocha | Vilcabamba | Chuquiribamba | ||||
| % ± SD | % ± SD | % ± SD | ||||
| 6-Methyl-5-hepten-2-one | 17.1 | 994 | 986 | 1.58 ± 0.12 | 0.97 ± 0.19 | 1.06 ± 0.00 |
| 1,8-Cineole | 19.45 | 1038 | 1032 | 0.15 ± 0.03 | - | - |
| 3-Methyl-2-cyclohexen-1-one | 21.17 | 1070 | 1039 | 0.48 ± 0.1 | 0.71 ± 0.17 | 0.74 ± 0.12 |
| Unknown A, MW 168 * | 22.49 | 1209 | - | 0.15 ± 0.01 | 0.11 ± 0.00 | - |
| trans-Sabinene hydrate | 22.66 | 1107 | 1098 | 1.52 ± 0.16 | 0.28 ± 0.00 | 0.27 ± 0.01 |
| n-Nonanal | 22.95 | 1114 | 1103 | 0.12 ± 0.01 | - | 0.14 ± 0.00 |
| Isoamyl tiglate | 27.14 | 1202 | 1196 | 0.14 ± 0.01 | 0.44 ± 0.00 | 0.15 ± 0.01 |
| Neral | 28.73 | 1250 | 1242 | 0.18 ± 0.00 | 0.18 ± 0.02 | - |
| Geranial | 29.47 | 1280 | 1270 | 0.33 ± 0.01 | 0.28 ± 0.01 | - |
| α-Longipinene | 33.98 | 1351 | 1352 | 0.28 ± 0.01 | 0.23 ± 0.00 | 0.23 ± 0.00 |
| Isoledene | 35.16 | 1372 | 1377 | - | - | 0.06 ± 0.01 |
| γ-Amorphene | 35.24 | 1495 | 1495 | - | - | 0.05 ± 0.01 |
| β-Cubebene | 35.35 | 1389 | 1387 | 12.09 ± 0.34 | 9.96 ± 0.06 | 10.51 ± 0.22 |
| β-Bourbonene | 35.74 | 1381 | 1384 | 2.00 ± 0.02 | 2.13 ± 0.01 | 2.04 ± 0.00 |
| Sibirene | 35.87 | 1393 | 1394 | 0.34 ± 0.01 | 0.03 ± 0.00 | 0.28 ± 0.01 |
| β-Funebrene | 36.71 | 1413 | 1415 | 0.32 ± 0.00 | 0.27 ± 0.00 | - |
| β-Cedrene | 37.35 | 1427 | 1422 | 16.75 ± 0.02 | 17.90 ± 0.01 | 18.89 ± 0.20 |
| α-Guaiene | 37.61 | 1438 | 1440 | 0.92 ± 0.01 | 0.78 ±0.00 | 0.70 ± 0.02 |
| Aromadendrene | 37.74 | 1446 | 1441 | 0.21 ± 0.03 | 0.21 ± 0.00 | 0.37 ± 0.01 |
| Allo-aromadendrene | 37.94 | 1452 | 1458 | 0.47 ± 0.00 | 0.44 ± 0.00 | 2.42 ± 0.00 |
| (E)-β-Farnesene | 38.26 | 1457 | 1456 | 3.65 ± 0.24 | 3.11 ± 0.01 | 0.20 ± 0.01 |
| Sesquisabinene | 38.45 | 1459 | 1457 | 3.21 ± 0.02 | 2.79 ± 0.02 | 2.85 ± 0.07 |
| Cumacrene c | 38.95 | 1461 | 1490 | - | - | 0.84 ± 0.01 |
| β-Acoradiene | 39.05 | 1468 | 1469 | 1.82 ± 0.01 | 0.83 ± 0.01 | 1.65 ± 0.02 |
| 7-epi-1,2-Dehydrosesquicineole | 39.41 | 1475 | 1473 | 0.16 ± 0.12 | 1.76 ± 0.02 | 0.14 ± 0.00 |
| γ-Muurolene | 39.51 | 1477 | 1477 | - | 0.17 ± 0.01 | - |
| Germacrene D | 39.53 | 1483 | 1481 | 1.42 ± 0.05 | 1.39 ± 0.01 | 1.37 ± 0.02 |
| δ-Selinene | 39.89 | 1490 | 1492 | 11.04 ± 0.7 | 12.52 ± 0.05 | 11.78 ± 0.3 |
| γ-Patchoulene c | 40.25 | 1498 | 1474 | - | 0.14 ± 0.02 | - |
| n-Pentadecane | 40.3 | 1498 | 1500 | - | - | 0.11 ± 0.00 |
| Bicyclogermacrene | 40.48 | 1505 | 1504 | 10.77 ± 1.24 | 11.34 ± 0.02 | 8.14 ± 0.24 |
| β-Bazzanene c | 40.68 | 1515 | 1528 | 3.14 ± 0.12 | 2.77 ± 0.02 | 2.94 ± 0.09 |
| δ-Cadinene | 41.25 | 1527 | 1524 | 11.25 ± 0.73 | 11.14 ± 0.1 | 11.07 ± 0.32 |
| γ-Cuprenene | 41.52 | 1533 | 1532 | 0.09 ± 0.02 | 0.07 ± 0.01 | 0.12 ± 0.00 |
| 10-epi-Cubebol | 41.85 | 1539 | 1535 | - | - | 0.60 ± 0.00 |
| cis-Dracunculifoliol | 41.94 | 1545 | 1542 | 0.73 ± 0.04 | - | 0.41 ± 0.04 |
| cis-Sesquisabinene hydrate | 42.25 | 1543 | 1542 | 0.16 ± 0.14 | 0.64 ± 0.00 | 0.18 ± 0.00 |
| cis-Cadinene ether | 42.37 | 1548 | 1552 | - | 0.06 ± 0.01 | - |
| trans-Cadinene ether | 42.4 | 1554 | 1557 | - | 0.24 ± 0.00 | - |
| Unknown B, MW 204 * | 42.52 | 1561 | - | 0.76 ± 0.02 | - | - |
| Unknown C, MW220 * | 42.64 | 1564 | - | 0.12 ± 0.02 | - | - |
| Silphiperfol-5-en-3-ol A | 42.65 | 1564 | 1547 | - | 0.06 ± 0.00 | - |
| (E)-Nerolidol | 42.74 | 1569 | 1561 | 0.78 ± 0.12 | 0.88 ± 0.02 | 0.94 ± 0.02 |
| Dodecanoic acid | 42.91 | 1572 | 1569 | - | - | 0.06 ± 0.00 |
| trans-Sesquisabinene hydrate | 43.24 | 1578 | 1580 | - | - | 0.07 ± 0.00 |
| Unknown D, MW 268 * | 43.71 | 1588 | - | - | 0.20 ± 0.00 | - |
| Dihydromayurone | 43.91 | 1588 | 1595 | - | - | 1.07 ± 0.04 |
| Spathulenol | 43.89 | 1591 | 1578 | 1.06 ± 0.11 | 0.36 ± 0.00 | - |
| Widdrol | 44.14 | 1593 | 1597 | - | - | 1.55 ± 0.07 |
| Caryophyllene oxide c | 44.12 | 1596 | 1581 | 1.26 ± 0.08 | 0.64 ± 0.01 | - |
| Salvial-4(14)-en-1-one | 44.57 | 1600 | 1595 | 0.06 ± 0.12 | - | - |
| Unknown E, MW 222 * | 44.58 | 1601 | - | - | 0.95 ± 0.00 | 0.05 ± 0.01 |
| Viridiflorol c | 44.61 | 1620 | 1592 | - | 0.05 ± 0.00 | 0.04 ± 0.01 |
| β-Biotol | 44.92 | 1626 | 1616 | 1.04 ± 0.2 | 1.21 ± 0.02 | 1.28 ± 0.03 |
| Unknown F, MW 220 * | 45.20 | 1628 | - | - | 0.50 ± 0.02 | - |
| α-Acorenol | 45.21 | 1632 | 1630 | 0.52 ± 0.03 | 0.28 ± 0.04 | 0.43 ± 0.01 |
| 4(15),5,10(14)-Germacratrien-1α-ol c | 45.37 | 1637 | 1686 | - | - | 0.1 ± 0.01 |
| Aromadendrene epoxide | 45.66 | 1641 | 1639 | 0.40 ± 0.04 | 0.11 ± 0.01 | 0.66 ± 0.01 |
| 14-Hydroxy-9-epi-(E)-caryophyllene c | 45.96 | 1648 | 1664 | 0.17 ± 0.02 | 0.07 ± 0.01 | 0.51 ± 0.02 |
| Khusilal | 45.97 | 1650 | 1648 | - | - | 0.14 ± 0.05 |
| α-Muurolol | 46.24 | 1662 | 1646 | 0.24 ± 0.02 | 0.14 ± 0.01 | 0.32 ± 0.07 |
| Neointermedeol | 46.44 | 1672 | 1660 | 0.24 ± 0.03 | 0.18 ± 0.01 | 0.19 ± 0.01 |
| epi-α-Bisabolol | 46.88 | 1676 | 1683 | 0.41 ± 0.03 | 0.19 ± 0.01 | 0.25 ± 0.01 |
| (Z)-γ-Atlantone c | 47.08 | 1682 | 1698 | 0.52 ± 0.05 | 0.48 ± 0.02 | 0.67 ± 0.01 |
| 2,3-Dihydrofarnesol | 47.24 | 1685 | 1688 | - | - | 0.13 ± 0.00 |
| Unknown G, MW 220 * | 47.50 | 1699 | - | 0.64 ± 0.02 | 0.66 ± 0.01 | 0.51 ± 0.01 |
| α-Bisabolol | 47.77 | 1701 | 1690 | 4.52 ± 0.46 | 6.14 ± 0.06 | 8.68 ± 0.05 |
| (Z)-epi-β-Santalol | 47.96 | 1706 | 1704 | - | 0.73 ± 0.00 | 0.11 ± 0.01 |
| (Z)-Apritone c | 48.46 | 1712 | 1689 | - | 0.29 ± 0.00 | - |
| Drim-8-en-7-one c | 48.93 | 1807 | 1792 | 0.10 ± 0.04 | - | 0.13 ± 0.01 |
| (E)-Tridec-2-en-1-yl acetate | 48.94 | 1725 | 1703 | - | 0.07 ± 0.01 | - |
| Flourensadiol | 49.33 | 1869 | 1864 | 0.06 ± 0.28 | 1.00 ± 0.20 | 1.30 ± 0.02 |
| Melaleucol c | 49.41 | 1729 | 1706 | - | - | 0.07 ± 0.01 |
| Methyl linoleate | 50.13 | 2102 | 2097 | 0.41 ± 0.76 | 0.04 ± 0.07 | - |
| (E)-2-Hexyl-cinnamaldehyde | 50.14 | 1745 | 1748 | - | 0.53 ± 0.01 | 0.42 ± 0.01 |
| β-Bisabolenal | 50.58 | 1767 | 1768 | 0.26 ± 0.03 | 0.06 ± 0.01 | 0.12 ± 0.01 |
| Hinesol acetate | 50.92 | 1778 | 1798 | - | - | 0.09 ± 0.05 |
| Methyl hexadecanoate | 51.58 | 1934 | 1927 | 0.08 ± 0.29 | - | - |
| (E)-α-Atlantone | 51.65 | 1786 | 1777 | - | - | 0.2 ± 0.01 |
| α-Eudesmol acetate | 51.79 | 1791 | 1795 | - | 0.1 ± 0.00 | - |
| Cyclopentadecanolide | 52.83 | 1844 | 1834 | - | - | 0.05 ± 0.01 |
| 1-Octadecanol | 53.66 | 2109 | 2089 | 0.72 ± 1.63 | - | - |
| Methyl octadecanoate | 54.05 | 2135 | 2128 | 0.06 ± 0.21 | - | - |
| Monoterpene hydrocarbons (%) | 0.00 | 0.00 | 0.00 | |||
| Oxygenated monoterpenoids (%) | 2.18 | 0.74 | 0.27 | |||
| Sesquiterpene hydrocarbons (%) | 79.77 | 78.22 | 76.51 | |||
| Oxygenated sesquiterpenoids (%) | 12.69 | 15.67 | 20.38 | |||
| Other identified compounds (%) | 3.59 | 2.76 | 2.73 | |||
| Total identified compounds (%) | 98.23 | 97.39 | 99.89 | |||
| Compound | Collection Location | ||
|---|---|---|---|
| Catacocha (%) | Vilcabamba (%) | Chuquiribamba (%) | |
| β-Cedrene (6) | 16.75 ± 0.02 | 17.90 ± 0.01 | 18.89 ± 0.2 |
| δ-Selinene (7) | 11.04 ± 0.66 | 12.52 ± 0.05 | 11.78 ± 0.3 |
| δ-Cadinene (8) | 11.25 ± 0.73 | 11.14 ± 0.1 | 11.07 ± 0.32 |
| β-Cubebene (9) | 12.09 ± 0.34 | 9.96 ± 0.06 | 10.51 ± 0.22 |
| Bicyclogermacrene (10) | 10.77 ± 1.24 | 11.34 ± 0.02 | 8.14 ± 0.24 |
| α-Bisabolol (11) | 4.52 ± 0.46 | 6.14 ± 0.06 | 8.68 ± 0.05 |
| (Z)-β-Farnesene (12) | 3.65 ± 0.24 | 3.11 ± 0.01 | 0.20 ± 0.01 |
| Sesquisabinene (13) | 3.21 ± 0.02 | 2.79 ± 0.02 | 2.85 ± 0.07 |
| β-Bazzanene (14) | 3.14 ± 0.12 | 2.77 ± 0.02 | 2.94 ± 0.09 |
Disclaimer/Publisher’s Note: The statements, opinions and data contained in all publications are solely those of the individual author(s) and contributor(s) and not of MDPI and/or the editor(s). MDPI and/or the editor(s) disclaim responsibility for any injury to people or property resulting from any ideas, methods, instructions or products referred to in the content. |
© 2024 by the authors. Licensee MDPI, Basel, Switzerland. This article is an open access article distributed under the terms and conditions of the Creative Commons Attribution (CC BY) license (https://creativecommons.org/licenses/by/4.0/).
Share and Cite
Castillo, L.N.; Calva, J.; Ramírez, J.; Vidari, G.; Armijos, C. Chemical Analysis of the Essential Oils from Three Populations of Lippia dulcis Trevir. Grown at Different Locations in Southern Ecuador. Plants 2024, 13, 253. https://doi.org/10.3390/plants13020253
Castillo LN, Calva J, Ramírez J, Vidari G, Armijos C. Chemical Analysis of the Essential Oils from Three Populations of Lippia dulcis Trevir. Grown at Different Locations in Southern Ecuador. Plants. 2024; 13(2):253. https://doi.org/10.3390/plants13020253
Chicago/Turabian StyleCastillo, Leydy Nathaly, James Calva, Jorge Ramírez, Giovanni Vidari, and Chabaco Armijos. 2024. "Chemical Analysis of the Essential Oils from Three Populations of Lippia dulcis Trevir. Grown at Different Locations in Southern Ecuador" Plants 13, no. 2: 253. https://doi.org/10.3390/plants13020253
APA StyleCastillo, L. N., Calva, J., Ramírez, J., Vidari, G., & Armijos, C. (2024). Chemical Analysis of the Essential Oils from Three Populations of Lippia dulcis Trevir. Grown at Different Locations in Southern Ecuador. Plants, 13(2), 253. https://doi.org/10.3390/plants13020253

