Effects of Phloretin on Seedling Growth and Histochemical Distribution of Phenols, Polysaccharides and Lipids in Capsella bursa-pastoris (L.) Medik.
Abstract
1. Introduction
2. Results
2.1. The Effect of Phloretin on the Weed Species Capsella bursa-pastoris L. In Vitro Growth
2.1.1. Germination of C. bursa-pastoris Seeds Grown on a Medium with Different Concentrations of Phloretin
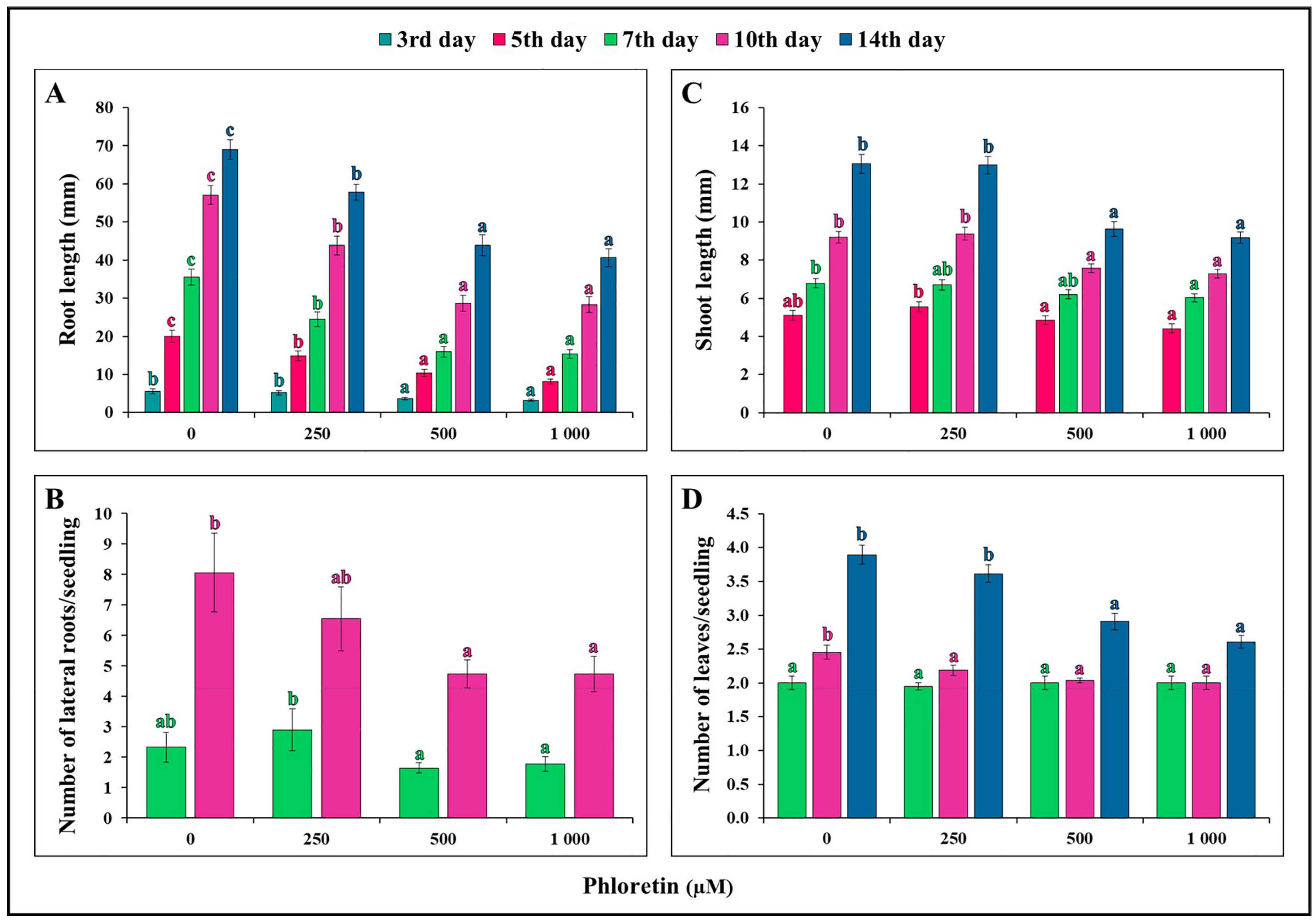
2.1.2. Morphological Characteristics of C. bursa-pastoris Seedlings
2.2. Photosynthetic Pigment Content in Shoots of C. bursa-pastoris
2.3. Histochemical Examination of C. bursa-pastoris Roots
2.3.1. Detection of Phenols
2.3.2. Detection of Starch
2.3.3. Detection of Pectin
2.3.4. Detection of Lipids
3. Discussion
3.1. The Effect of Phloretin on Seed Germination and Seedling Growth in C. bursa-pastoris
3.2. Effects of Phloretin on the Content of Photosynthetic Pigments in Seedling Shoots
3.3. Histochemical Analysis of Seedling Roots
4. Materials and Methods
4.1. Plant Materials and Experimental Design
4.2. Germination Rate and Morphological Observations
4.3. Photosynthetic Pigment Content Assessment
4.4. Statistical Analyses
4.5. Histochemical Analysis of C. bursa-pastoris
4.5.1. Staining of Phenols
4.5.2. Detection of Starch
4.5.3. Detection of Pectin
4.5.4. Staining of Lipids
5. Conclusions
Supplementary Materials
Author Contributions
Funding
Data Availability Statement
Conflicts of Interest
References
- Khamare, Y.; Chen, J.; Marble, S.C. Allelopathy and its application as a weed management tool: A Review. Front. Plant Sci. 2022, 13, 1034649. [Google Scholar] [CrossRef] [PubMed]
- Kostina-Bednarz, M.; Płonka, J.; Barchanska, H. Allelopathy as a source of bioherbicides: Challenges and prospects for sustainable agriculture. Rev. Environ. Sci. Biotechnol. 2023, 22, 471–504. [Google Scholar] [CrossRef]
- Gosch, C.; Halbwirth, H.; Stich, K. Phloridzin: Biosynthesis, distribution and physiological relevance in plants. Phytochemistry 2010, 71, 838–843. [Google Scholar] [CrossRef] [PubMed]
- Pontais, I.; Treutter, D.; Paulin, J.P.; Brisset, M.N. Erwinia amylovora modifies phenolic profiles of susceptible and resistant apple through its type III secretion system. Physiol. Plant 2008, 132, 262–271. [Google Scholar] [CrossRef] [PubMed]
- Dugé de Bernoville, T.; Gaucher, M.; Guyot, S.; Durel, C.E.; Dat, J.F.; Brisset, M.N. The constitutive phenolic composition of two Malus × domestica genotypes is not responsible for their contrasted susceptibilities to fire blight. Environ. Exp. Bot. 2011, 74, 65–73. [Google Scholar] [CrossRef]
- Behzad, S.; Sureda, A.; Barreca, D.; Nabavi, S.F.; Rastelli, L.; Nabavi, S.M. Health effects of phloretin: From chemistry to medicine. Phytochem. Rev. 2017, 16, 527–533. [Google Scholar] [CrossRef]
- Mariadoss, A.V.; Vinyagam, R.; Rajamanickam, V.; Sankaran, V.; Venkatesan, S.; David, E. Pharmacological aspects and potential use of phloretin: A systemic review. Mini Rev. Med. Chem. 2019, 19, 1060–1067. [Google Scholar] [CrossRef] [PubMed]
- Sampath, C.; Rashid, M.R.; Sang, S.; Ahmedna, M. Specific bioactive compounds in ginger and apple alleviate hyperglycemia in mice with high fat diet-induced obesity via Nrf2 mediated pathway. Food Chem. 2017, 226, 79–88. [Google Scholar] [CrossRef] [PubMed]
- Choi, B.Y. Biochemical basis of anti-cancer-effects of phloretin—A natural dihydrochalcone. Molecules 2019, 24, 278. [Google Scholar] [CrossRef] [PubMed]
- Chang, W.T.; Huang, W.C.; Liou, C.J. Evaluation of the anti-inflammatory effects of phloretin and phlorizin in lipopolysaccharide-stimulated mouse macrophages. Food Chem. 2012, 134, 972–979. [Google Scholar] [CrossRef] [PubMed]
- De Oliveira, M.R. Phloretin-induced cytoprotective effects on mammalian cells: A mechanistic view and future directions. Biofactors 2016, 42, 13–40. [Google Scholar] [CrossRef] [PubMed]
- Boccia, M.M.; Kopf, S.R.; Baratti, C.M. Phlorizin, a competitive inhibitor of glucose transport, facilitates memory storage in mice. Neurobiol. Learn. Mem. 1999, 71, 104–112. [Google Scholar] [CrossRef] [PubMed]
- Rezk, B.M.; Haenen, G.R.; Van der Vijgh, W.J.; Bast, A. The antioxidant activity of phloretin: The disclosure of a new antioxidant pharmacophore in flavonoids. Biochem. Biophys. Res. Commun. 2002, 295, 9–13. [Google Scholar] [CrossRef]
- Puel, C.; Quintin, A.; Mathey, J.; Obled, C.; Davicco, M.J.; Lebecque, P.; Coxam, V. Prevention of bone loss by phloridzin, an apple polyphenol, in ovariectomized rats under inflammation conditions. Calcif. Tissue Int. 2005, 77, 311–318. [Google Scholar] [CrossRef] [PubMed]
- Gaucher, M.; de Bernonville, T.D.; Lohou, D.; Guyot, S.; Guillemette, T.; Brisset, M.N.; Dat, J.F. Histolocalization and physico-chemical characterization of dihydrochalcones: Insight into the role of apple major flavonoids. Phytochemistry 2013, 90, 78–89. [Google Scholar] [CrossRef] [PubMed]
- Börner, H. Liberation of organic substances from higher plants and their role in the soil sickness problem. Bot. Rev. 1960, 26, 393–424. [Google Scholar] [CrossRef]
- Jianghong, Z.; Zhiquan, M.; Liqin, W. Effect of phloridzin on physiological characteristics of Malus hupehensis Rehd. Seedlings. Sci. Agric. Sin. 2007, 40, 492–498. [Google Scholar]
- Bai, R.; Zhao, X.; Ma, F.; Li, C. Identification and bioassay of allelopathic substances from the root exudates of Malus prunifolia. Allelopath. J. 2009, 23, 477–484. [Google Scholar]
- Yin, C.; Xiang, L.; Wang, G.; Wang, Y.; Shen, X.; Chen, X.; Mao, Z. How to plant apple trees to reduce replant disease in apple orchard: A study on the phenolic acid of the replanted apple orchard. PLoS ONE 2016, 11, e0167347. [Google Scholar] [CrossRef] [PubMed]
- Nicola, L.; Vrhovsek, U.; Evelyn, S.; Insam, H.; Pertot, I. Phlorizin released by apple root debris is related to apple replant disease. Phytopathol. Mediterr. 2017, 55, 432–442. [Google Scholar]
- Yin, C.; Duan, Y.N.; Xiang, L.; Wang, L.; Zhang, X.; Shen, X.; Mao, Z. Effects of phloridzin, phloretin and benzoic acid at the concentrations measured in soil on the root proteome of Malus hupehensis Rehd seedlings. Sci. Hortic. 2018, 228, 10–17. [Google Scholar] [CrossRef]
- Stanišić, M.; Ćosić, T.; Savić, J.; Krstić-Milošević, D.; Mišić, D.; Smigocki, A.; Banjac, N. Hairy root culture as a valuable tool for allelopathic studies in apple. Tree Physiol. 2019, 39, 888–905. [Google Scholar] [CrossRef] [PubMed]
- Smailagić, D.; Banjac, N.; Pěnčík, A.; Stanišić, M. New insights into the activity of apple dihydrochalcone phloretin: Disturbance of auxin homeostasis as physiological basis of phloretin phytotoxic action. Front. Plant Sci. 2022, 13, 875528. [Google Scholar] [CrossRef] [PubMed]
- Wesse, C.; Welk, E.; Hurka, H.; Neuffer, B. Geographical pattern of genetic diversity in Capsella bursa-pastoris (Brassicaceae)—A global perspective. Ecol. Evol. 2021, 11, 199–213. [Google Scholar] [CrossRef] [PubMed]
- Western, T.L.; Skinner, D.J.; Haughn, G.W. Differentiation of mucilage secretory cells of the Arabidopsis seed coat. Plant Physiol. 2000, 122, 345–356. [Google Scholar] [CrossRef] [PubMed]
- Windsor, J.B.; Vaughan-Symonds, V.; Mendenhall, J.; Lloyd, A.M. Arabidopsis seed coat development: Morphological differentiation of the outer integument. Plant J. 2000, 22, 483–493. [Google Scholar] [CrossRef] [PubMed]
- Yang, X.; Dong, M.; Huang, Z. Role of mucilage in the germination of Artemisia sphaerocephala (Asteraceae) achenes exposed to osmotic stress and salinity. Plant Physiol. Biochem. 2010, 48, 131–135. [Google Scholar] [CrossRef] [PubMed]
- Grubert, M. Studies on the distribution of myxospermy among seeds and fruits of angiospermae and its ecological importance. Acta Biol. Venez. 1974, 8, 315–551. [Google Scholar]
- Ribeiro, V.C.; Leitão, C.A. Utilisation of toluidine blue O ph 4.0 and histochemical inferences in plant sections obtained by free-hand. Protoplasma 2019, 257, 993–1008. [Google Scholar] [CrossRef] [PubMed]
- Preston, C.D.; Pearman, D.A.; Dines, T.D. New Atlas of the British and Irish Flora, 1st ed.; Oxford University Press: Oxford, UK, 2002. [Google Scholar]
- Oyerinde, R.O.; Otusanya, O.O.; Akpor, O.B. Allelopathic effect of Tithonia diversifolia on the germination, growth and chlorophyll contents of maize (Zea mays L.). Sci. Res. Essays 2009, 4, 1553–1558. [Google Scholar]
- Díaz-Tielas, C.; Grana, E.; Sotelo, T.; Reigosa, M.J.; Sanchez-Moreiras, A.M. The natural compound trans-chalcone induces programmed cell death in Arabidopsis thaliana roots. Plant Cell Environ. 2012, 35, 1500–1517. [Google Scholar] [CrossRef] [PubMed]
- Stanišić, M. Allelopathic Potential of Apple Hairy Root Secondary Metabolites—The Effect of Phloretin and Phloridzin in In Vitro Culture. Ph.D. Thesis, University of Belgrade—Faculty of Biology, Belgrade, Serbia, 2019. [Google Scholar]
- Nishida, N.; Tamotsu, S.; Nagata, N.; Saito, C.; Sakai, A. Allelopathic efects of volatile monoterpenoids produced by Salvia leucophylla: Inhibition of cell proliferation and DNA synthesis in the root apical meristem of Brassica campestris seedlings. J. Chem. Ecol. 2005, 31, 1187–1203. [Google Scholar] [CrossRef] [PubMed]
- Abu-Romman, S.; Ammari, T. Allelopathic effect of Arundo donax, a mediterranean invasive grass. Plant Omics 2015, 8, 287–291. [Google Scholar]
- Abd El-Gawad, A.M. Chemical constituents, antioxidant and potential allelopathic effect of the essential oil from the aerial parts of Cullen plicata. Ind. Crops Prod. 2016, 80, 36–41. [Google Scholar] [CrossRef]
- Mitić, N.; Stanišić, M.; Savić, J.; Ćosić, T.; Stanisavljević, N.; Miljuš-Đukić, J.; Marin, M.; Radović, S.; Ninković, S. Physiological and cell ultrastructure disturbances in wheat seedlings generated by Chenopodium murale hairy root exudate. Protoplasma 2018, 255, 1683–1692. [Google Scholar] [CrossRef] [PubMed]
- Khan, M.S.I.; Kato-Noguchi, H. Assessment of allelopathic potential of Couroupita guianensis Aubl. Plant Omics 2016, 9, 115–120. [Google Scholar] [CrossRef]
- Ghani, M.U.; Yuan, H.; Tian, M.; Kamran, M.; Hou, F. Aqueous litter extracts of native grass species suppress exotic plant species under allelopathic conditions. J. Plant Growth Regul. 2023, 42, 1665–1680. [Google Scholar] [CrossRef]
- Yan, Z.Q.; Wang, D.D.; Ding, L.; Cui, H.Y.; Jin, H.; Yang, X.Y.; Yang, J.S.; Qin, B. Mechanism of artemisinin phytotoxicity action: Induction of reactive oxygen species and cell death in lettuce seedlings. Plant Physiol. Biochem. 2015, 88, 53–59. [Google Scholar] [CrossRef] [PubMed]
- Cheng, F.; Cheng, Z. Research progress on the use of plant allelopathy in agriculture and the physiological and ecological mechanisms of allelopathy. Front. Plant Sci. 2015, 6, 1020. [Google Scholar] [CrossRef] [PubMed]
- Dayan, F.E.; Hernández, A.; Allen, S.N.; Moraes, R.M.; Vroman, J.A.; Avery, M.A. Comparative phytotoxicity of artemisinin and several sesquiterpene analogues. Phytochemistry 1999, 50, 607–614. [Google Scholar] [CrossRef]
- Li, J.; Zhao, T.; Chen, L.; Chen, H.; Luo, D.; Chen, C.; Lui, D. Artemisia argyi allelopathy: A generalist compromises hormone balance, element absorption, and photosynthesis of receptor plants. BMC Plant Biol. 2022, 22, 368. [Google Scholar] [CrossRef] [PubMed]
- Ito, H.; Ohtsuka, T.; Tanaka, A. Conversion of chlorophyll b to chlorophyll a via 7-hydroxymethyl chlorophyll. J. Biol. Chem. 1996, 271, 1475–1479. [Google Scholar] [CrossRef] [PubMed]
- Ohtsuka, T.; Ito, H.; Tanaka, A. Conversion of chlorophyll b to chlorophyll a and the assembly of chlorophyll with apoproteins by isolated chloroplasts. Plant Physiol. 1997, 113, 137–147. [Google Scholar] [CrossRef] [PubMed]
- Lichtenthaler, H.K.; Buschmann, C. Chlorophylls and carotenoids: Measurement and characterization by UV-VIS spectroscopy. In Current Protocols in Food Analytical Chemistry; Wrolstad, R.E., Acree, T.E., An, H., Decker, E.A., Penner, M.H., Reid, D.S., Schwartz, S.J., Shoemaker, C.F., Sporns, P., Eds.; John Wiley and Sons: New York, NY, USA, 2001; Volume 1, pp. F4.3.1–F4.3.8. [Google Scholar]
- Díaz-Tielas, C.; Sotelo, T.; Graña, E.; Reigosa, M.J.; Sánchez-Moreiras, A.M. Phytotoxic potential of trans-chalcone on crop plants and model species. J. Plant Growth Regul. 2014, 33, 181–194. [Google Scholar] [CrossRef]
- Terzi, I.; Kocaçalişkan, I.; Benlioğlu, O.; Solak, K. Effects of juglone on growth of cucumber seedlings with respect to physiological and anatomical parameters. Acta Physiol. Plant 2003, 25, 353–356. [Google Scholar] [CrossRef]
- Poonpaiboonpipat, T.; Pangnakorn, U.; Suvunnamek, U.; Teerarak, M.; Charoenying, P.; Laosinwattana, C. Phytotoxic effects of essential oil from Cymbopogon citratus and its physiological mechanisms on barnyardgrass (Echinochloa crus-galli). Ind. Crop Prod. 2013, 41, 403–407. [Google Scholar] [CrossRef]
- Soltys, D.; Krasuska, U.; Bogatek, R.; Gniazdowska, A. Allelochemicals as bioherbicides—Present and perspectives. In Herbicides—Current Research and Case Studies in Use; Price, A., Kelton, J., Eds.; InTech Open: London, UK, 2013; pp. 517–542. [Google Scholar]
- Wang, Q.; Xu, Z.; Hu, T.; Rehman, H.U.; Chen, H.; Li, Z.; Hu, H. Allelopathic activity and chemical constituents of walnut (Juglans regia) leaf litter in walnut–winter vegetable agroforestry system. Nat. Prod. Res. 2014, 28, 2017–2020. [Google Scholar] [CrossRef]
- Jones, P.; Vogt, T. Glycosyltransferases in secondary plant metabolism: Tranquilizers and stimulant controllers. Planta 2001, 213, 164–174. [Google Scholar] [CrossRef]
- Klein, M.; Burla, B.; Martinoia, E. The multidrug resistance associated protein (MRP/ABCC) subfamily of ATP-binding cassette transporters in plants. FEBS Lett. 2006, 580, 1112–1122. [Google Scholar] [CrossRef] [PubMed]
- Baldwin, K.L.; Strohm, A.K.; Masson, P.H. Gravity sensing and signal transduction in vascular plant primary roots. Am. J. Bot. 2013, 100, 126–142. [Google Scholar] [CrossRef]
- Zhang, Y.; He, P.; Ma, X.; Yang, Z.; Pang, C.; Yu, J.; Wang, G.; Friml, J.; Xiao, G. Auxin-mediated statolith production for root gravitropism. New Phytol. 2019, 224, 761–774. [Google Scholar] [CrossRef] [PubMed]
- Yan, Z.; Wang, D.; Cui, H.; Sun, Y.; Yang, X.; Jin, H.; Qin, B. Effects of artemisinin on root gravitropic response and root system development in Arabidopsis thaliana. Plant Growth Regul. 2018, 85, 211–220. [Google Scholar] [CrossRef]
- Na, X.; Hu, Y.; Yue, K.; Lu, H.; Jia, P.; Wang, H.; Wang, X.; Bi, Y. Narciclasine modulates polar auxin transport in Arabidopsis roots. J. Plant Physiol. 2011, 168, 1149–1156. [Google Scholar] [CrossRef] [PubMed]
- Johansen, D.A. Plant Microtechnique; McGraw-Hill Book Company, Inc.: New York, NY, USA; London, UK, 1940; Volume 147, pp. 182–203. [Google Scholar]
- Nagayama, T.; Nakamura, A.; Yamaji, N.; Satoh, S.; Furukawa, J.; Iwai, H. Changes in the distribution of pectin in root border cells under aluminum stress. Front. Plant Sci. 2019, 10, 1216. [Google Scholar] [CrossRef] [PubMed]
- Schmohl, N.; Horst, W.J. Cell wall pectin content modulates aluminium sensitivity of Zea mays (L.) cells grown in suspension culture. Plant Cell Environ. 2000, 23, 735–742. [Google Scholar] [CrossRef]
- Sun, C.; Lu, L.; Yu, Y.; Liu, L.; Hu, Y.; Ye, Y.; Jin, C.; Lin, X. Decreasing methylation of pectin caused by nitric oxide leads to higher aluminium binding in cell walls and greater aluminium sensitivity of wheat roots. J. Exp. Bot. 2016, 67, 979–989. [Google Scholar] [CrossRef] [PubMed]
- Fry, S.C. Feruloylated pectins from the primary cell wall: Their structure and possible functions. Planta 1983, 157, 111–123. [Google Scholar] [CrossRef] [PubMed]
- Rombouts, F.M.; Thibault, J.F. Feruloylated pectic substances from sugarbeet pulp. Carbohydr. Res. 1986, 154, 177–187. [Google Scholar] [CrossRef]
- Ishii, T. Isolation and characterization of a diferuloyl arabinoxylan hexasaccharide from bamboo shoot cell-walls. Carbohydr. Res. 1991, 219, 15–22. [Google Scholar] [CrossRef] [PubMed]
- Renard, C.M.G.C.; Baron, A.; Guyot, S.; Drilleau, J.F. Interactions between apple cell walls and native apple polyphenols: Quantification and some consequences. Int. J. Bio Macromol. 2001, 29, 115–125. [Google Scholar] [CrossRef] [PubMed]
- Bindon, K.A.; Bacic, A.; Kennedy, J.A. Tissue-specific and developmental modifications of grape cell walls influence the adsorption of proanthocyanidins. J. Agric. Food Chem. 2012, 60, 9249–9260. [Google Scholar] [CrossRef] [PubMed]
- Fernandes, P.A.R.; Le Bourvellec, C.; Renard, C.M.G.C.; Wessel, D.F.; Cardoso, S.M.; Coimbra, M.A. Interactions of arabinan-rich pectic polysaccharides with polyphenols. Carbohydr. Polym. 2019, 30, 115644. [Google Scholar] [CrossRef] [PubMed]
- Saura-Calixto, F. Dietary fiber as a carrier of dietary antioxidants: An essential physiological function. J. Agri Food Chem. 2011, 59, 43–49. [Google Scholar] [CrossRef] [PubMed]
- Graña, E.; Sotelo, T.; Díaz-Tielas, C.; Araniti, F.; Krasuska, U.; Bogatek, R.; Reigosa, M.J.; Sánchez-Moreiras, A.M. Citral induces auxin and ethylene mediated malformations and arrests cell division in A. thaliana roots. J. Chem. Ecol. 2013, 39, 271–282. [Google Scholar] [CrossRef]
- Singer, S.D.; Zou, J.; Weselake, R.J. Abiotic factors influence plant storage lipid accumulation and composition. Plant Sci. 2016, 243, 1–9. [Google Scholar] [CrossRef] [PubMed]
- Zienkiewicz, K.; Du, Z.Y.; Ma, W.; Vollheyde, K.; Benning, C. Stress-induced neutral lipid biosynthesis in microalgae—Molecular, cellular and physiological insights. Biochim. Biophys. Acta Mol. Cell Biol. Lipids 2016, 1861, 1269–1281. [Google Scholar] [CrossRef] [PubMed]
- Córdoba, A.; Seffino, L.G.; Moreno, H.; Arias, C.; Grunberg, K.; Zenoff, A.; Taleisnik, E. Characterization of the effect of high salinity on roots of Chloris gayana Kunth: Carbohydrate and lipid accumulation and growth. Grass Forage Sci. 2001, 56, 162–168. [Google Scholar] [CrossRef]
- Burgos, N.R.; Talbert, R.E.; Kim, K.S.; Kuk, Y.I. Growth inhibition and root ultrastructure of cucumber seedlings exposed to allelochemicals from rye (Secale cereale). J. Chem. Ecol. 2004, 30, 671–689. [Google Scholar] [CrossRef] [PubMed]
- Olsson, M.; Nilsson, K.; Liljenberg, C.; Hendry, G.A. Drought stress in seedlings: Lipid metabolism and lipid peroxidation during recovery from drought in Lotus corniculatus and Cerastium fontanum. Physiol. Plant 1996, 96, 577–584. [Google Scholar] [CrossRef]
- Liu, D.L.; Lovett, J.V. Biologically active secondary metabolites of barley. I. Developing techniques and assessing allelopathy in barley. J. Chem. Ecol. 1993, 19, 2217–2230. [Google Scholar] [CrossRef] [PubMed]
- Murashige, T.; Skoog, F. A revised medium for rapid growth and bio assays with tobacco tissue cultures. Physiol. Plant 1962, 15, 473–497. [Google Scholar] [CrossRef]
- Linsmaier, E.M.; Skoog, F. Organic growth factor requirements of tobacco tissue cultures. Physiol. Plant 1965, 18, 100–127. [Google Scholar] [CrossRef]
- Lekhak, B.; Dubey, A.; Verma, A.K. Molecular docking of compounds present in pyrolyzed biomass products with the karrikin receptor and its impact on seed germination in Triticum aestivum. J. Plant Growth Regul. 2022, 42, 465–480. [Google Scholar] [CrossRef]
- Lichtenthaler, H.K. Chlorophylls and carotenoids: Pigments of photosynthetic biomembranes. In Methods in Enzymology; Douc, R., Packer, L., Eds.; Elsevier: Amsterdam, The Netherlands, 1987; Volume 148, pp. 350–382. [Google Scholar]
- O’Brien, T.P.; Feder, N.; McCully, M.E. Polychromatic staining of plant cell walls by toluidine blue O. Protoplasma 1964, 59, 368–373. [Google Scholar] [CrossRef]
- Jensen, W.A. Botanical Histochemistry: Principles and Practice; W. H. Freeman: San Francisco, CA, USA, 1962; pp. 256–269. [Google Scholar]








Disclaimer/Publisher’s Note: The statements, opinions and data contained in all publications are solely those of the individual author(s) and contributor(s) and not of MDPI and/or the editor(s). MDPI and/or the editor(s) disclaim responsibility for any injury to people or property resulting from any ideas, methods, instructions or products referred to in the content. |
© 2024 by the authors. Licensee MDPI, Basel, Switzerland. This article is an open access article distributed under the terms and conditions of the Creative Commons Attribution (CC BY) license (https://creativecommons.org/licenses/by/4.0/).
Share and Cite
Đorđić, M.; Janošević, D.; Smailagić, D.; Banjac, N.; Ninković, S.; Stanišić, M.; Trajković, M. Effects of Phloretin on Seedling Growth and Histochemical Distribution of Phenols, Polysaccharides and Lipids in Capsella bursa-pastoris (L.) Medik. Plants 2024, 13, 1890. https://doi.org/10.3390/plants13141890
Đorđić M, Janošević D, Smailagić D, Banjac N, Ninković S, Stanišić M, Trajković M. Effects of Phloretin on Seedling Growth and Histochemical Distribution of Phenols, Polysaccharides and Lipids in Capsella bursa-pastoris (L.) Medik. Plants. 2024; 13(14):1890. https://doi.org/10.3390/plants13141890
Chicago/Turabian StyleĐorđić, Milica, Dušica Janošević, Dijana Smailagić, Nevena Banjac, Slavica Ninković, Mariana Stanišić, and Milena Trajković. 2024. "Effects of Phloretin on Seedling Growth and Histochemical Distribution of Phenols, Polysaccharides and Lipids in Capsella bursa-pastoris (L.) Medik." Plants 13, no. 14: 1890. https://doi.org/10.3390/plants13141890
APA StyleĐorđić, M., Janošević, D., Smailagić, D., Banjac, N., Ninković, S., Stanišić, M., & Trajković, M. (2024). Effects of Phloretin on Seedling Growth and Histochemical Distribution of Phenols, Polysaccharides and Lipids in Capsella bursa-pastoris (L.) Medik. Plants, 13(14), 1890. https://doi.org/10.3390/plants13141890

