Glutamate, Humic Acids and Their Combination Modulate the Phenolic Profile, Antioxidant Traits, and Enzyme-Inhibition Properties in Lettuce
Abstract
1. Introduction
2. Results and Discussion
2.1. Total Bioactive Compounds
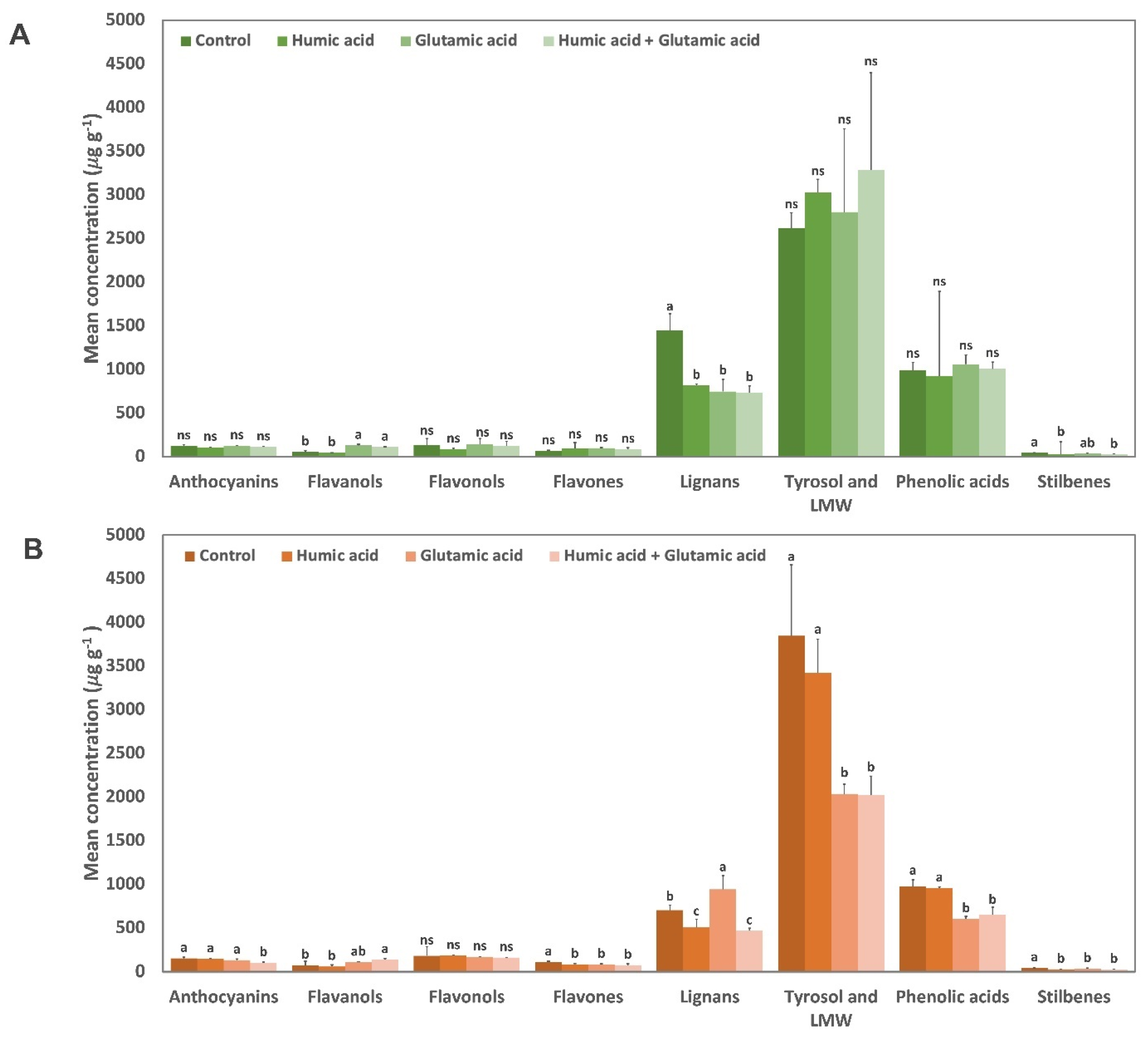
2.2. Metabolomic Profiling of Lettuce Treated with Glutamic Acid, Humic Acid, and Their Combination
2.3. Multivariate Discrimination Analysis of Lettuce Treated with Glutamic Acid, Humic Acid, and Their Combination
2.4. Antioxidant Properties
2.5. Enzyme Inhibitory Effects
2.6. Pearson’s Correlation
3. Materials and Methods
3.1. Plant Material and Experimental Design
3.2. Untargeted Phenolic Compounds Profiling Using UHPLC QTOF-MS Spectrometry
3.3. Profile of Bioactive Compounds
3.4. Determination of Antioxidant and Enzyme Inhibitory Effects
3.5. Statistical Analysis
4. Conclusions
Supplementary Materials
Author Contributions
Funding
Data Availability Statement
Conflicts of Interest
References
- Han, Y.; Zhao, C.; He, X.; Sheng, Y.; Ma, T.; Sun, Z.; Liu, X.; Liu, C.; Fan, S.; Xu, W. Purple lettuce (Lactuca sativa L.) attenuates metabolic disorders in diet induced obesity. J. Funct. Foods 2018, 45, 462–470. [Google Scholar] [CrossRef]
- Kang, S.-M.; Adhikari, A.; Bhatta, D.; Gam, H.-J.; Gim, M.-J.; Son, J.-I.; Shin, J.Y.; Lee, I.-J. Comparison of effects of chemical and food waste-derived fertilizers on the growth and nutrient content of lettuce (Lactuca sativa L.). Resources 2022, 11, 21. [Google Scholar] [CrossRef]
- Wu, E.; Ni, J.; Zhou, W.; You, L.; Tao, L.; Xie, T. Consumption of fruits, vegetables, and legumes are associated with overweight/obesity in the middle-and old-aged Chongqing residents: A case-control study. Medicine 2022, 101, e29749. [Google Scholar] [CrossRef] [PubMed]
- Santander, C.; Vidal, G.; Ruiz, A.; Vidal, C.; Cornejo, P. Salinity eustress increases the biosynthesis and accumulation of phenolic compounds that improve the functional and antioxidant quality of red lettuce. Agronomy 2022, 12, 598. [Google Scholar] [CrossRef]
- Sun, J.; Chu, Y.-F.; Wu, X.; Liu, R.H. Antioxidant and antiproliferative activities of common fruits. J. Agric. Food Chem. 2002, 50, 7449–7454. [Google Scholar] [CrossRef]
- Santander, C.; Ruiz, A.; García, S.; Aroca, R.; Cumming, J.; Cornejo, P. Efficiency of two arbuscular mycorrhizal fungal inocula to improve saline stress tolerance in lettuce plants by changes of antioxidant defense mechanisms. J. Sci. Food Agric. 2020, 100, 1577–1587. [Google Scholar] [CrossRef]
- Zapata-Vahos, I.C.; Rojas-Rodas, F.; David, D.; Gutierrez-Monsalve, J.A.; Castro-Restrepo, D. Comparison of antioxidant contents of green and red leaf lettuce cultivated in hydroponic systems in greenhouses and conventional soil cultivation. Rev. Fac. Nac. Agron. Medellín 2020, 73, 9077–9088. [Google Scholar] [CrossRef]
- Boretti, A.; Rosa, L. Reassessing the projections of the world water development report. NPJ Clean Water 2019, 2, 15. [Google Scholar] [CrossRef]
- Van Meijl, H.; Havlik, P.; Lotze-Campen, H.; Stehfest, E.; Witzke, P.; Domínguez, I.P.; Bodirsky, B.L.; van Dijk, M.; Doelman, J.; Fellmann, T. Comparing impacts of climate change and mitigation on global agriculture by 2050. Environ. Res. Lett. 2018, 13, 064021. [Google Scholar] [CrossRef]
- Hernández, T.; Chocano, C.; Moreno, J.-L.; García, C. Use of compost as an alternative to conventional inorganic fertilizers in intensive lettuce (Lactuca sativa L.) crops—Effects on soil and plant. Soil Tillage Res. 2016, 160, 14–22. [Google Scholar] [CrossRef]
- Prashar, P.; Shah, S. Impact of fertilizers and pesticides on soil microflora in agriculture. Sustain. Agric. Rev. 2016, 19, 331–361. [Google Scholar]
- Canellas, L.P.; Olivares, F.L. Physiological responses to humic substances as plant growth promoter. Chem. Biol. Technol. Agric. 2014, 1, 3. [Google Scholar] [CrossRef]
- Gholami, H.; Saharkhiz, M.J.; Fard, F.R.; Ghani, A.; Nadaf, F. Humic acid and vermicompost increased bioactive components, antioxidant activity and herb yield of Chicory (Cichorium intybus L.). Biocatal. Agric. Biotechnol. 2018, 14, 286–292. [Google Scholar] [CrossRef]
- Elmongy, M.S.; Zhou, H.; Cao, Y.; Liu, B.; Xia, Y. The effect of humic acid on endogenous hormone levels and antioxidant enzyme activity during in vitro rooting of evergreen azalea. Sci. Hortic. 2018, 227, 234–243. [Google Scholar] [CrossRef]
- Ali, M.; Mindari, W. Effect of Humic acid on Soil Chemical and Physical Characteristics of Embankment. MATEC Web Conf. 2016, 58, 01028. [Google Scholar] [CrossRef]
- Cihangir, H.; Oktem, A. Bazi Organik Besin Kaynaklarinin Cin Misirin (Zea mays L. everta) Tane Verimine Etkisi. J. Agric. Sci. Tarim Bilim. Derg. 2018, 24, 60–71. [Google Scholar] [CrossRef]
- Ferrara, G.; Brunetti, G. Influence of foliar applications of humic acids on yield and fruit quality of table grape cv. Italia. J. Int. Sci. Vigne Vin 2008, 42, 79–87. [Google Scholar] [CrossRef]
- Tarhan, M.; Karademir, E. Effect of Different Application Methods of Humic Acid on Cotton Yield, Plant Growth and Fiber Quality. KSÜ Tarim Doga Derg. 2019, 22, 537–546. [Google Scholar]
- Nunez, G.H.; Buzzi, G.; Heller, C.R. Southern highbush blueberry responses to humic acid application in soilless substrates. Sci. Hortic. 2023, 308, 111541. [Google Scholar] [CrossRef]
- Rostami, M.; Shokouhian, A.; Mohebodini, M. Effect of humic Acid, nitrogen concentrations and application method on the morphological, yield and biochemical characteristics of Strawberry ‘Paros’. Int. J. Fruit Sci. 2022, 22, 203–214. [Google Scholar] [CrossRef]
- Wang, D.F.; Chen, X.G.; Tang, Z.H.; Liu, M.; Jin, R.; Zhang, A.J.; Zhao, P. Application of humic acid compound fertilizer for increasing sweet potato yield and improving the soil fertility. J. Plant Nutr. 2022, 45, 1933–1941. [Google Scholar] [CrossRef]
- Alfosea-Simón, M.; Simón-Grao, S.; Zavala-Gonzalez, E.A.; Navarro-Morillo, I.; Martínez-Nicolás, J.J.; Alfosea-Simón, F.J.; Simón, I.; García-Sánchez, F. Ionomic, metabolic and hormonal characterization of the phenological phases of different tomato genotypes using omics tools. Sci. Hortic. 2022, 293, 110697. [Google Scholar] [CrossRef]
- Teixeira, W.F.; Fagan, E.B.; Soares, L.H.; Umburanas, R.C.; Reichardt, K.; Neto, D.D. Foliar and seed application of amino acids affects the antioxidant metabolism of the soybean crop. Front. Plant Sci. 2017, 8, 327. [Google Scholar] [CrossRef] [PubMed]
- Toyota, M.; Spencer, D.; Sawai-Toyota, S.; Jiaqi, W.; Zhang, T.; Koo, A.J.; Howe, G.A.; Gilroy, S. Glutamate triggers long-distance, calcium-based plant defense signaling. Science 2018, 361, 1112–1115. [Google Scholar] [CrossRef] [PubMed]
- Qiu, X.-M.; Sun, Y.-Y.; Ye, X.-Y.; Li, Z.-G. Signaling role of glutamate in plants. Front. Plant Sci. 2020, 10, 1743. [Google Scholar] [CrossRef]
- Asgher, M.; Sehar, Z.; Rehaman, A.; Rashid, S.; Ahmed, S.; Per, T.S.; Alyemeni, M.N.; Khan, N.A. Exogenously-applied L-glutamic acid protects photosynthetic functions and enhances arsenic tolerance through increased nitrogen assimilation and antioxidant capacity in rice (Oryza sativa L.). Environ. Pollut. 2022, 301, 119008. [Google Scholar] [CrossRef]
- Lv, D.; Yu, C.; Yang, L.; Qin, S.; Ma, H.; Du, G.; Liu, G.; Khanizadeh, S. Effects of foliar-applied L-glutamic acid on the diurnal variations of leaf gas exchange and chlorophyll fluorescence parameters in hawthorn (Crataegus pinnatifida Bge.). Eur. J. Hortic. Sci. 2009, 74, 204. [Google Scholar]
- Dinu, C.A.; Moraru, D.; Paraschiv, N.L. The physiology of glutamic acid. Agron. Ser. Sci. Res. Lucr. Stiintifice Ser. 2011, 54, 53–55. [Google Scholar]
- Forde, B.G.; Lea, P.J. Glutamate in plants: Metabolism, regulation, and signalling. J. Exp. Bot. 2007, 58, 2339–2358. [Google Scholar] [CrossRef]
- Forotaghe, Z.A.; Souri, M.K.; Jahromi, M.G.; Torkashvand, A.M. Physiological and biochemical responses of onion plants to deficit irrigation and humic acid application. Open Agric. 2021, 6, 728–737. [Google Scholar] [CrossRef]
- Haghighi, M.; Teixeira Da Silva, J.A. Amendment of hydroponic nutrient solution with humic acid and glutamic acid in tomato (Lycopersicon esculentum Mill.) culture. Soil Sci. Plant Nutr. 2013, 59, 642–648. [Google Scholar] [CrossRef]
- Ozfidan-Konakci, C.; Yildiztugay, E.; Bahtiyar, M.; Kucukoduk, M. The humic acid-induced changes in the water status, chlorophyll fluorescence and antioxidant defense systems of wheat leaves with cadmium stress. Ecotoxicol. Environ. Saf. 2018, 155, 66–75. [Google Scholar] [CrossRef]
- Muscolo, A.; Pizzeghello, D.; Francioso, O.; Sanchez Cortes, S.; Nardi, S. Effectiveness of humic substances and phenolic compounds in regulating plant-biological functionality. Agronomy 2020, 10, 1553. [Google Scholar] [CrossRef]
- Ghaderimokri, L.; Rezaei-Chiyaneh, E.; Ghiyasi, M.; Gheshlaghi, M.; Battaglia, M.L.; Siddique, K.H. Application of humic acid and biofertilizers changes oil and phenolic compounds of fennel and fenugreek in intercropping systems. Sci. Rep. 2022, 12, 5946. [Google Scholar] [CrossRef]
- Mirzapour, M.; Rahİmİ, A.; Heydarzadeh, S. Evaluation of Antioxidant Activity of Garden Thyme (Thymus vulgaris L.) Affected by Humic Acid Under Urmia-Iran Condition. Türkiye Tarımsal Araştırmalar Derg. 2022, 9, 15–23. [Google Scholar]
- Sánchez-Rangel, J.C.; Benavides, J.; Heredia, J.B.; Cisneros-Zevallos, L.; Jacobo-Velázquez, D.A. The Folin–Ciocalteu assay revisited: Improvement of its specificity for total phenolic content determination. Anal. Methods 2013, 5, 5990–5999. [Google Scholar] [CrossRef]
- Liao, H.-S.; Chung, Y.-H.; Hsieh, M.-H. Glutamate: A multifunctional amino acid in plants. Plant Sci. 2022, 318, 111238. [Google Scholar] [CrossRef]
- Hodges, M. Enzyme redundancy and the importance of 2-oxoglutarate in plant ammonium assimilation. J. Exp. Bot. 2002, 53, 905–916. [Google Scholar] [CrossRef]
- Franzoni, G.; Cocetta, G.; Ferrante, A. Effect of glutamic acid foliar applications on lettuce under water stress. Physiol. Mol. Biol. Plants 2021, 27, 1059–1072. [Google Scholar] [CrossRef]
- Haghighi, M.; Kafi, M.; Fang, P. Photosynthetic activity and N metabolism of lettuce as affected by humic acid. Int. J. Veg. Sci. 2012, 18, 182–189. [Google Scholar] [CrossRef]
- Lucini, L.; Rouphael, Y.; Cardarelli, M.; Canaguier, R.; Kumar, P.; Colla, G. The effect of a plant-derived biostimulant on metabolic profiling and crop performance of lettuce grown under saline conditions. Sci. Hortic. 2015, 182, 124–133. [Google Scholar] [CrossRef]
- Shahrajabian, M.H.; Cheng, Q.; Sun, W. The Effects of Amino Acids, Phenols and Protein Hydrolysates as Biostimulants on Sustainable Crop Production and Alleviated Stress. Recent Pat. Biotechnol. 2022, 16, 319–328. [Google Scholar] [PubMed]
- Savarese, C.; Cozzolino, V.; Verrillo, M.; Vinci, G.; De Martino, A.; Scopa, A.; Piccolo, A. Combination of humic biostimulants with a microbial inoculum improves lettuce productivity, nutrient uptake, and primary and secondary metabolism. Plant Soil 2022, 481, 285–314. [Google Scholar] [CrossRef]
- Haghighi, M. The effect of humic and glutamic acids in nutrient solution on the N metabolism in lettuce. J. Sci. Food Agric. 2012, 92, 3023–3028. [Google Scholar] [CrossRef] [PubMed]
- Bensky, D.; Clavey, S.; Stõger, E. Materia Medica. In Chinese Herbal Medicine; Eastland Press: Seattle, WA, USA, 2004; pp. 3–6. [Google Scholar]
- Zhang, C.; Bousquet, A.; Harris, J.M. Abscisic acid and lateral root organ defective/numerous infections and polyphenolics modulate root elongation via reactive oxygen species in Medicago truncatula. Plant Physiol. 2014, 166, 644–658. [Google Scholar] [CrossRef] [PubMed]
- Munakata, R.; Larbat, R.; Duriot, L.; Olry, A.; Gavira, C.; Mignard, B.; Hehn, A.; Bourgaud, F. Polyphenols from plant roots: An expanding biological frontier. Recent Adv. Polyphen. Res. 2019, 6, 207–236. [Google Scholar]
- Ali, A.Y.A.; Ibrahim, M.E.H.; Zhou, G.; Nimir, N.E.A.; Jiao, X.; Zhu, G.; Elsiddig, A.M.I.; Suliman, M.S.E.; Elradi, S.B.M.; Yue, W. Exogenous jasmonic acid and humic acid increased salinity tolerance of sorghum. Agron. J. 2020, 112, 871–884. [Google Scholar] [CrossRef]
- Cheng, F.; Cheng, Z. Research progress on the use of plant allelopathy in agriculture and the physiological and ecological mechanisms of allelopathy. Front. Plant Sci. 2015, 6, 1020. [Google Scholar] [CrossRef]
- Loffredo, E.; Monaci, L.; Senesi, N. Humic substances can modulate the allelopathic potential of caffeic, ferulic, and salicylic acids for seedlings of lettuce (Lactuca sativa L.) and tomato (Lycopersicon esculentum Mill.). J. Agric. Food Chem. 2005, 53, 9424–9430. [Google Scholar] [CrossRef]
- Zhao, M.; Chen, X.; Ma, N.; Zhang, Q.; Qu, D.; Li, M. Overvalued allelopathy and overlooked effects of humic acid-like substances on Microcystis aeruginosa and Scenedesmus obliquus competition. Harmful Algae 2018, 78, 18–26. [Google Scholar] [CrossRef]
- Bibi Sadeer, N.; Montesano, D.; Albrizio, S.; Zengin, G.; Mahomoodally, M.F. The versatility of antioxidant assays in food science and safety—Chemistry, applications, strengths, and limitations. Antioxidants 2020, 9, 709. [Google Scholar] [CrossRef]
- Akıncioglu, H.; Gülçin, I.; Alwasel, S.H. Investigation of inhibitory effect of humic acid on acetylcholinesterase and butyrylcholinesterase enzymes. Fresenius Environ. Bull. 2017, 26, 3733–3739. [Google Scholar]
- Zhang, L.; Martinelli, E.; Senizza, B.; Miras-Moreno, B.; Yildiztugay, E.; Arikan, B.; Elbasan, F.; Ak, G.; Balci, M.; Zengin, G. The combination of mild salinity conditions and exogenously applied phenolics modulates functional traits in lettuce. Plants 2021, 10, 1457. [Google Scholar] [CrossRef]
- Senizza, B.; Zhang, L.; Miras-Moreno, B.; Righetti, L.; Zengin, G.; Ak, G.; Bruni, R.; Lucini, L.; Sifola, M.I.; El-Nakhel, C. The strength of the nutrient solution modulates the functional profile of hydroponically grown lettuce in a genotype-dependent manner. Foods 2020, 9, 1156. [Google Scholar] [CrossRef]
- Zhang, L.; Miras-Moreno, B.; Yildiztugay, E.; Ozfidan-Konakci, C.; Arikan, B.; Elbasan, F.; Ak, G.; Rouphael, Y.; Zengin, G.; Lucini, L. Metabolomics and physiological insights into the ability of exogenously applied chlorogenic acid and hesperidin to modulate salt stress in lettuce distinctively. Molecules 2021, 26, 6291. [Google Scholar] [CrossRef]
- Eklund, P.C.; Långvik, O.K.; Wärnå, J.P.; Salmi, T.O.; Willför, S.M.; Sjöholm, R.E. Chemical studies on antioxidant mechanisms and free radical scavenging properties of lignans. Org. Biomol. Chem. 2005, 3, 3336–3347. [Google Scholar] [CrossRef]
- Deng, J.; Cheng, W.; Yang, G. A novel antioxidant activity index (AAU) for natural products using the DPPH assay. Food Chem. 2011, 125, 1430–1435. [Google Scholar] [CrossRef]
- Polat Kose, L.; Gulcin, İ. Evaluation of the antioxidant and antiradical properties of some phyto and mammalian lignans. Molecules 2021, 26, 7099. [Google Scholar] [CrossRef]
- Soleymani, S.; Habtemariam, S.; Rahimi, R.; Nabavi, S.M. The what and who of dietary lignans in human health: Special focus on prooxidant and antioxidant effects. Trends Food Sci. Technol. 2020, 106, 382–390. [Google Scholar] [CrossRef]
- MacRae, W.D.; Towers, G.N. Biological activities of lignans. Phytochemistry 1984, 23, 1207–1220. [Google Scholar] [CrossRef]
- Lei, X.Y.; Liu, S.H.; Zhao, Y.X.; Guo, M.J.; Tao, L.; Shen, X.C.; Zhang, N.L. Lignans and Flavonoids from Cajanus cajan (L.) Millsp. and Their α-Glucosidase Inhibitory Activities. Chem. Biodivers. 2022, 19, e202200414. [Google Scholar] [CrossRef] [PubMed]
- Li, W.; Liu, J.; Ashraf, U.; Li, G.; Li, Y.; Lu, W.; Gao, L.; Han, F.; Hu, J. Exogenous γ-aminobutyric acid (GABA) application improved early growth, net photosynthesis, and associated physio-biochemical events in maize. Front. Plant Sci. 2016, 7, 919. [Google Scholar] [CrossRef] [PubMed]
- Kaya, C.; Akram, N.; Ashraf, M.; Sonmez, O. Exogenous application of humic acid mitigates salinity stress in maize (Zea mays L.) plants by improving some key physico-biochemical attributes. Cereal Res. Commun. 2018, 46, 67–78. [Google Scholar] [CrossRef]
- Arriola, N.D.A.; Chater, P.I.; Wilcox, M.; Lucini, L.; Rocchetti, G.; Dalmina, M.; Pearson, J.P.; Amboni, R.D.D.M.C. Encapsulation of Stevia rebaudiana Bertoni aqueous crude extracts by ionic gelation–Effects of alginate blends and gelling solutions on the polyphenolic profile. Food Chem. 2019, 275, 123–134. [Google Scholar] [CrossRef] [PubMed]
- Rothwell, J.A.; Perez-Jimenez, J.; Neveu, V.; Medina-Remon, A.; M’hiri, N.; García-Lobato, P.; Manach, C.; Knox, C.; Eisner, R.; Wishart, D.S. Phenol-Explorer 3.0: A major update of the Phenol-Explorer database to incorporate data on the effects of food processing on polyphenol content. Database 2013, 2013, bat070. [Google Scholar] [CrossRef]
- Salek, R.M.; Steinbeck, C.; Viant, M.R.; Goodacre, R.; Dunn, W.B. The role of reporting standards for metabolite annotation and identification in metabolomic studies. GigaScience 2013, 2, 2047–217X. [Google Scholar] [CrossRef]
- Zengin, G.; Aktumsek, A. Investigation of antioxidant potentials of solvent extracts from different anatomical parts of Asphodeline anatolica E. Tuzlaci: An endemic plant to Turkey. Afr. J. Tradit. Complement. Altern. Med. 2014, 11, 481–488. [Google Scholar] [CrossRef]
- Uysal, S.; Zengin, G.; Locatelli, M.; Bahadori, M.B.; Mocan, A.; Bellagamba, G.; De Luca, E.; Mollica, A.; Aktumsek, A. Cytotoxic and enzyme inhibitory potential of two Potentilla species (P. speciosa L. and P. reptans Willd.) and their chemical composition. Front. Pharmacol. 2017, 8, 290. [Google Scholar] [CrossRef]
- Grochowski, D.M.; Uysal, S.; Aktumsek, A.; Granica, S.; Zengin, G.; Ceylan, R.; Locatelli, M.; Tomczyk, M. In vitro enzyme inhibitory properties, antioxidant activities, and phytochemical profile of Potentilla thuringiaca. Phytochem. Lett. 2017, 20, 365–372. [Google Scholar] [CrossRef]
- Zhang, L.; Rocchetti, G.; Zengin, G.; Ak, G.; Saber, F.R.; Montesano, D.; Lucini, L. The UHPLC-QTOF-MS phenolic profiling and activity of Cydonia oblonga Mill. reveals a promising nutraceutical potential. Foods 2021, 10, 1230. [Google Scholar] [CrossRef]



| Part; Treatment | TPC (mg GAE/g) | TFC (mg RE/g) | DPPH (mg TE/g) | ABTS (mg TE/g) | CUPRAC (mg TE/g) | FRAP (mg TE/g) | PBD (mmol TE/g) | MCA (mg EDTAE/g) |
|---|---|---|---|---|---|---|---|---|
| Leaves; Control | 23.68 ± 0.75 a | 49.33 ± 1.95 ab | 9.97 ± 0.54 a | 35.59 ± 1.88 a | 71.59 ± 0.35 a | 29.52 ± 0.47 a | 0.66 ± 0.01 a | 16.60 ± 3.39 a |
| Leaves; Humic acid | 22.48 ± 0.43 b | 52.44 ± 1.42 a | 2.67 ± 0.26 b | 24.18 ± 1.85 bc | 65.71 ± 1.01 b | 30.55 ± 0.42 a | 0.61 ± 0.02 b | 14.87 ± 3.40 a |
| Leaves; Glutamic acid | 20.32 ± 0.40 c | 47.50 ± 0.15 bc | 1.35 ± 0.20 c | 20.33 ± 1.05 c | 55.58 ± 0.97 d | 23.54 ± 0.21 c | 0.56 ± 0.01 bc | 13.09 ± 2.94 a |
| Leaves; Humic acid + glutamic acid | 20.58 ± 0.35 c | 45.03 ± 0.88 c | 1.42 ± 0.09 c | 26.57 ± 0.82 b | 58.55 ± 1.14 c | 26.06 ± 1.15 b | 0.55 ± 0.03 c | 13.68 ± 0.32 a |
| Roots; Control | 52.43 ± 0.47 a | 7.13 ± 0.47 a | 66.38 ± 0.50 a | 85.03 ± 3.32 a | 188.20 ± 1.36 a | 74.91 ± 0.97 a | 1.02 ± 0.05 a | 50.39 ± 3.78 b |
| Roots; Humic acid | 39.70 ± 0.29 d | 4.41 ± 0.36 b | 46.36 ± 1.00 c | 62.86 ± 1.84 c | 138.94 ± 0.23 c | 58.29 ± 1.78 b | 0.90 ± 0.05 bc | 63.63 ± 5.33 a |
| Roots; Glutamic acid | 44.52 ± 0.56 c | 5.26 ± 0.36 b | 47.07 ± 0.81 c | 68.05 ± 2.77 c | 142.39 ± 2.46 c | 59.99 ± 0.70 b | 0.80 ± 0.03 c | 55.04 ± 0.23 ab |
| Roots; Humic acid + glutamic acid | 48.96 ± 0.26 b | 7.39 ± 0.39 a | 62.08 ± 2.05 b | 77.06 ± 0.50 b | 174.83 ± 2.41 b | 72.59 ± 0.34 a | 0.93 ± 0.04 ab | 56.26 ± 2.90 ab |
| Primary ID | Class | Sub Class | VIP Score ± SE | Log FC [GA] vs. [C] | Log FC [HA] vs. [C] | Log FC [GA + HA] vs. [C] |
|---|---|---|---|---|---|---|
| Malvidin 3-O-galactoside | Flavonoids | Anthocyanins | 1.30 ± 0.34 | 1.08 | 0.81 | −0.57 |
| Cyanidin 3-O-arabinoside | 1.29 ± 0.42 | −4.00 | 1.09 | −4.00 | ||
| Malvidin 3,5-O-diglucoside | 1.26 ± 0.28 | −4.00 | −1.68 | −0.47 | ||
| Phloridzin | Dihydrochalcones | 1.23 ± 0.29 | −0.4 | 0.06 | −0.18 | |
| (+)-Catechin | Flavanols | 1.25 ± 0.20 | 1.44 | −0.21 | 1.30 | |
| Hesperetin | Flavanones | 1.30 ± 0.38 | −1.62 | 0.67 | −1.34 | |
| Jaceosidin | Flavones | 1.29 ± 0.29 | 0.54 | 0.40 | −0.22 | |
| Luteolin 7-O-glucuronide | 1.25 ± 0.49 | 1.28 | 0.71 | −0.89 | ||
| Nobiletin | 1.22 ± 0.30 | −0.61 | 4.88 | 3.71 | ||
| Quercetin 3-O-(6″-malonyl-glucoside) | Flavonols | 1.30 ± 0.35 | 1.13 | 0.82 | −0.58 | |
| Quercetin 3-O-glucuronide | 1.28 ± 0.40 | 1.03 | 0.66 | −0.33 | ||
| Quercetin 3-O-glucoside | 1.26 ± 0.46 | 0.07 | −0.1 | −1.18 | ||
| Quercetin 3-O-arabinoside | 1.25 ± 0.28 | 0.96 | −4.00 | 1.16 | ||
| 6″-O-Malonyldaidzin | Isoflavonoids | 1.21 ± 0.48 | 4.00 | - | - | |
| 7-Oxomatairesinol | Lignans | Lignans | 1.28 ± 0.40 | 0.66 | 2.70 | 1.12 |
| 4-Vinylsyringol | Other polyphenols | Alkylmethoxyphenols | 1.25 ± 0.30 | 2.57 | 2.59 | 5.06 |
| 5-Pentadecylresorcinol | Alkylphenols | 1.25 ± 0.30 | −1.03 | −1.05 | 1.31 | |
| 5-Nonadecylresorcinol | 1.22 ± 0.49 | −0.54 | −1.48 | −0.47 | ||
| Demethoxycurcumin | Curcuminoids | 1.26 ± 0.18 | 0.68 | −0.33 | 0.46 | |
| Isopimpinellin | Furanocoumarins | 1.23 ± 0.30 | 1.93 | 0.05 | 1.79 | |
| 4-Hydroxycoumarin | Hydroxycoumarins | 1.21 ± 0.54 | 2.25 | 1.35 | 0.08 | |
| Phlorin | Other polyphenols | 1.28 ± 0.33 | −0.28 | −0.39 | 3.10 | |
| Ellagic acid acetyl-xyloside | Phenolic acids | Hydroxybenzoic acids | 1.31 ± 0.29 | 2.59 | 2.21 | −4.00 |
| 4-Hydroxybenzoic acid 4-O-glucoside | 1.26 ± 0.42 | - | 0.93 | −0.18 | ||
| 3,4-Diferuloylquinic acid | Hydroxycinnamic acids | 1.33 ± 0.22 | 3.33 | 3.81 | −0.35 | |
| Chicoric acid | 1.29 ± 0.28 | 3.7 | 2.99 | 0.26 | ||
| 3,4-Dicaffeoylquinic acid | 1.25 ± 0.4 | −0.95 | 2.34 | 0.22 | ||
| 3-Caffeoylquinic acid | 1.23 ± 0.33 | 2.49 | 0.40 | 0.93 | ||
| Sinapic acid | 1.22 ± 0.33 | 1.80 | −0.05 | 1.66 | ||
| Avenanthramide 2p | 1.21 ± 0.30 | 0.09 | −0.81 | −0.27 |
| Primary ID | Class | Sub-Class | VIP Score ± SE | Log FC [GA] vs. [C] | Log FC [HA] vs. [C] | Log FC [GA + HA] vs. [C] |
|---|---|---|---|---|---|---|
| Petunidin 3-O-(6″-acetyl-glucoside) | Flavonoids | Anthocyanins | 1.28 ± 0.57 | - | 4.00 | 4.75 |
| Pelargonidin 3-O-arabinoside | 1.21 ± 0.38 | 2.90 | −0.01 | 0.51 | ||
| Hesperidin | Flavanones | 1.30 ± 0.44 | −0.13 | −1.96 | 1.60 | |
| Naringin | 1.26 ± 0.32 | −1.72 | −1.00 | 0.69 | ||
| Myricetin | Flavonols | 1.20 ± 0.33 | 5.96 | 2.70 | −1.41 | |
| Glycitin | Isoflavonoids | 1.23 ± 0.39 | −0.68 | −0.95 | −0.45 | |
| Medioresinol | Lignans | Lignans | 1.35 ± 0.43 | 1.72 | −0.43 | 4.00 |
| 5-Tricosylresorcinol | Other polyphenols | Alkylphenols | 1.21 ± 0.28 | −0.67 | 1.41 | −0.05 |
| Eugenol | Hydroxyphenylpropenes | 1.28 ± 0.71 | 5.84 | 1.04 | 0.44 | |
| 3,4-DHPEA-EA | Tyrosols | 1.27 ± 0.46 | −2.07 | −0.78 | −0.09 | |
| p-HPEA-EA | 1.20 ± 0.34 | −0.87 | 0.21 | 1.08 | ||
| Ellagic acid acetyl-xyloside | Phenolic acids | Hydroxybenzoic acids | 1.28 ± 0.47 | 4.00 | 4.00 | −0.75 |
| Protocatechuic acid 4-O-glucoside | 1.23 ± 0.33 | −1.58 | −1.92 | 0.35 | ||
| p-Coumaroylquinic acid | Hydroxycinnamic acids | 1.27 ± 0.20 | −0.58 | −0.26 | −0.13 | |
| 1,2-Disinapoylgentiobiose | 1.26 ± 0.34 | 1.14 | 1.52 | −0.68 | ||
| Caffeic acid | 1.26 ± 0.18 | −0.23 | −0.19 | 0.94 | ||
| 5-5′-Dehydrodiferulic acid | 1.25 ± 0.31 | −4.16 | −0.45 | −0.02 | ||
| 3-Sinapoylquinic acid | 1.23 ± 0.30 | −1.29 | −2.21 | 4.00 | ||
| p-Coumaroyl tyrosine | 1.22 ± 0.54 | −4.00 | −1.71 | 0.6 | ||
| Dihydrocaffeic acid | Hydroxyphenylpropanoic acids | 1.20 ± 0.28 | −1.93 | 1.69 | 1.61 |
| Part; Treatment | AChE (mg GALAE/g) | BChE (mg GALAE/g) | Tyrosinase (mg KAE/g) | Amylase (mmol ACAE/g) | Glucosidase (mmol ACAE/g) |
|---|---|---|---|---|---|
| Leaves; Control | 3.45 ± 0.30 a | 2.59 ± 0.41 b | 38.07 ± 2.73 b | 0.71 ± 0.02 a | 18.93 ± 1.49 b |
| Leaves; Humic acid | 4.00 ± 0.20 a | 1.42 ± 0.12 c | 55.44 ± 5.56 a | 0.68 ± 0.02 ab | 22.41 ± 0.23 a |
| Leaves; Glutamic acid | 3.87 ± 0.14 a | 2.60 ± 0.23 b | 56.88 ± 4.14 a | 0.68 ± 0.01 ab | 22.85 ± 0.21 a |
| Leaves; Humic acid + glutamic acid | 3.98 ± 0.34 a | 3.37 ± 0.07 a | 61.06 ± 3.60 a | 0.64 ± 0.01 b | 22.82 ± 0.11 a |
| Roots; Control | 3.76 ± 0.24 ab | 2.54 ± 0.43 c | 75.73 ± 4.67 a | 0.75 ± 0.01 a | 21.60 ± 0.18 a |
| Roots; Humic acid | 3.72 ± 0.04 b | 3.98 ± 0.22 a | 73.86 ± 2.95 a | 0.74 ± 0.02 a | 17.03 ± 0.07 b |
| Roots; Glutamic acid | 3.64 ± 0.03 b | 3.73 ± 0.39 ab | 81.11 ± 5.68 a | 0.72 ± 0.01 ab | 21.76 ± 0.33 a |
| Roots-; Humic acid + glutamic acid | 4.06 ± 0.06 a | 3.09 ± 0.29 bc | 78.97 ± 6.98 a | 0.70 ± 0.01 b | 22.00 ± 0.02 a |
Disclaimer/Publisher’s Note: The statements, opinions and data contained in all publications are solely those of the individual author(s) and contributor(s) and not of MDPI and/or the editor(s). MDPI and/or the editor(s) disclaim responsibility for any injury to people or property resulting from any ideas, methods, instructions or products referred to in the content. |
© 2023 by the authors. Licensee MDPI, Basel, Switzerland. This article is an open access article distributed under the terms and conditions of the Creative Commons Attribution (CC BY) license (https://creativecommons.org/licenses/by/4.0/).
Share and Cite
De Gregorio, M.A.; Zengin, G.; Alp-Turgut, F.N.; Elbasan, F.; Ozfidan-Konakci, C.; Arikan, B.; Yildiztugay, E.; Zhang, L.; Lucini, L. Glutamate, Humic Acids and Their Combination Modulate the Phenolic Profile, Antioxidant Traits, and Enzyme-Inhibition Properties in Lettuce. Plants 2023, 12, 1822. https://doi.org/10.3390/plants12091822
De Gregorio MA, Zengin G, Alp-Turgut FN, Elbasan F, Ozfidan-Konakci C, Arikan B, Yildiztugay E, Zhang L, Lucini L. Glutamate, Humic Acids and Their Combination Modulate the Phenolic Profile, Antioxidant Traits, and Enzyme-Inhibition Properties in Lettuce. Plants. 2023; 12(9):1822. https://doi.org/10.3390/plants12091822
Chicago/Turabian StyleDe Gregorio, Marco Armando, Gökhan Zengin, Fatma Nur Alp-Turgut, Fevzi Elbasan, Ceyda Ozfidan-Konakci, Busra Arikan, Evren Yildiztugay, Leilei Zhang, and Luigi Lucini. 2023. "Glutamate, Humic Acids and Their Combination Modulate the Phenolic Profile, Antioxidant Traits, and Enzyme-Inhibition Properties in Lettuce" Plants 12, no. 9: 1822. https://doi.org/10.3390/plants12091822
APA StyleDe Gregorio, M. A., Zengin, G., Alp-Turgut, F. N., Elbasan, F., Ozfidan-Konakci, C., Arikan, B., Yildiztugay, E., Zhang, L., & Lucini, L. (2023). Glutamate, Humic Acids and Their Combination Modulate the Phenolic Profile, Antioxidant Traits, and Enzyme-Inhibition Properties in Lettuce. Plants, 12(9), 1822. https://doi.org/10.3390/plants12091822

