Acylphenols and Dimeric Acylphenols from the Genus Myristica: A Review of Their Phytochemistry and Pharmacology
Abstract
1. Introduction
2. Methodology
3. Results
| Myristica spp. | Part of the Species Investigated | Acylphenols | Dimeric Acylphenols | Reference |
|---|---|---|---|---|
| Myristica beddomei subsp. sphaerocarpa W.J. de Wilde | Rind Seeds Bark | Malabaricone A (1) Malabaricone B (2) Malabaricone C (3) Malabaricone D (4) Promalabaricone B (7) 1-(2,6-dihydroxyphenyl)tetradecan-1-one (9) Malabaricone A (1) Malabaricone B (2) Malabaricone C (3) Malabaricone D (4) 1-(2,6-dihydroxyphenyl)tetradecan-1-one (9) Malabaricone A (1) Malabaricone B (2) 1-(2,6-dihydroxyphenyl)tetradecan-1-one (9) | [35] | |
| Myristica cinnamomea King | Bark | Malabaricone A (1) Malabaricone B (2) Malabaricone C (3) Cinnamomeone A (11) | Giganteone A (20) Giganteone D (21) | [36,37] |
| Myristica cinnamomea King | Fruits | Malabaricone A (1) Malabaricone B (2) Malabaricone C (3) Malabaricone E (5) | Maingayone A (24) Maingayone B (25) | [38] |
| Myristica fatua Houtt. | Bark | Malabaricone B (2) Malabaricone C (3) | [39] | |
| Myristica fatua Houtt. | Seeds | Malabaricone A (1) Malabaricone B (2) Malabaricone C (3) Promalabaricone B (7) 1-(2,6-dihydroxyphenyl)tetradecan-1-one (9) | [40] | |
| Myristica fatua Houtt. var. magnifica (Bedd.) Sinclair | Bark | Malabaricone A (1) Malabaricone B (2) Malabaricone C (3) 1-(2-hydroxy-6-methoxyphenyl)-9-(4-hydroxyphenyl)nonan-1-one (6) 1-(2,6-dihydroxyphenyl)tetradecan-1-one (9) 1-(2-hydroxy-6-methoxyphenyl)tetradecan-1-one (10) | [41] | |
| Myristica fragrans Houtt. | Seeds | Malabaricone C (3) | [42] | |
| Myristica fragrans Houtt. | Seeds | Malabaricone C (3) | [14] | |
| Myristica fragrans Houtt. | Kernel | Malabaricone B (2) Malabaricone C (3) | [12] | |
| Myristica fragrans Houtt. | Aril | Malabaricone C (3) | [7] | |
| Myristica fragrans Houtt. | Seeds | Malabaricone B (2) Malabaricone C (3) | [43] | |
| Myristica fragrans Houtt. | Kernel | Malabaricone C (3) | [11] | |
| Myristica fragrans Houtt. | Seeds | Malabaricone B (2) Malabaricone C (3) | [10] | |
| Myristica fragrans Houtt. | Aril | Malabaricone C (3) | [44] | |
| Myristica fragrans Houtt. | Fruits | Malabaricone C (3) | [45] | |
| Myristica fragrans Houtt. | Aril | Malabaricone A (1) Malabaricone C (3) | [46] | |
| Myristica fragrans Houtt. | Seeds | Malabaricone A (1) Myrifratin A (12) Myrifratin B (13) Myrifratin C (14) Myrifratin D (15) Myrifratin E (16) Myrifratin F (17) Myrifratin G (18) (−)-1-(2,6-dihydrox- yphenyl)-9-[4-hydroxy-3-(p-menth-1-en-8-oxy)-phenyl]-1-nonanone (19) | [47] | |
| Myristica malabarica Lam. | Rind | Malabaricone A (1) Malabaricone B (2) Malabaricone C (3) Malabaricone D (4) | [13,48] | |
| Myristica malabarica Lam. | Rind | Malabaricone A (1) Malabaricone B (2) Malabaricone C (3) Malabaricone D (4) | [49,50,51] | |
| Myristica malabarica Lam. | Rind | Malabaricone C (3) | [52] | |
| Myristica malabarica Lam. | Rind | Malabaricone C (3) | [53] | |
| Myristica malabarica Lam. | Seeds | Malabaricone C (3) | [54] | |
| Myristica malabarica Lam. | Rind | Malabaricone A (1) Malabaricone B (2) Malabaricone C (3) Malabaricone D (4) Promalabaricone B (7) Promalabaricone C (8) 1-(2,6-dihydroxyphenyl)tetradecan-1-one (9) | [55] | |
| Myristica maxima Warb. | Bark | Malabaricone A (1) Malabaricone B (2) Malabaricone C (3) | Giganteone A (20) Giganteone C (22) Giganteone E (23) Maingayone A (24) Maingayone B (25) | [56] |
| Myristica philippensis Lam. | Leaves | Malabaricone B (2) Malabaricone C (3) | [57] |
4. Discussion
4.1. Phytochemical Investigation
| Species | Part of the Species Investigated | Method of Extraction | Method of Isolation | Method of Characterization | Name of Acylphenols | Name of Dimeric Acylphenols | Reference |
|---|---|---|---|---|---|---|---|
| M. beddomei subsp. sphaerocarpa W.J. de Wilde | Rind Seeds Bark | Extracted sequentially with hexane, dichloromethane, acetone, ethanol, and water at room temperature. Acetone extract was subjected to further analysis. Extracted sequentially with hexane, dichloromethane, acetone, ethanol and water at room temperature. Dichloromethane extract was subjected to further analysis. Extracted sequentially with hexane, dichloromethane, acetone, ethanol, and water at room temperature. Acetone extract was subjected to further analysis. | Column chromatography (silica gel) Column chromatography (silica gel) Column chromatography (silica gel) | IR, UV, ESI/HRMS, NMR IR, UV, ESI/HRMS, NMR IR, UV, ESI/HRMS, NMR | Malabaricone A (1) Malabaricone B (2) Malabaricone C (3) Malabaricone D (4) Promalabaricone B (7) 1-(2,6-dihydroxyphenyl)tetradecan-1-one (9) Malabaricone A (1) Malabaricone B (2) Malabaricone C (3) Malabaricone D (4) 1-(2,6-dihydroxyphenyl)tetradecan-1-one (9) Malabaricone A (1) Malabaricone B (2) 1-(2,6-dihydroxyphenyl)tetradecan-1-one (9) | [35] | |
| M. cinnamomea King | Bark | Extracted sequentially with hexane and acetone at room temperature. Hexane extract was subjected to further analysis. | Column chromatography (silica gel) | IR, UV, LCMS-IT-TOF, NMR | Cinnamomeone A (11) | Giganteone D (21) | [36] |
| M. cinnamomea King | Bark | Extracted sequentially with hexane and acetone at room temperature. Acetone extract was re-extracted with ethyl acetate. Ethyl acetate fraction was subjected to further analysis. | Column chromatography (silica gel) | IR, UV, LCMS-IT-TOF, NMR | Malabaricone A (1) Malabaricone B (2) Malabaricone C (3) | Giganteone A (20) | [37] |
| M. cinnamomea King | Fruits | Extracted with ethyl acetate at room temperature. | Column chromatography (silica gel/Sephadex LH 20) Preparative TLC | IR, UV, LCMS-IT-TOF, NMR | Malabaricone A (1) Malabaricone B (2) Malabaricone C (3) Malabaricone E (5) | Maingayone A (24) Maingayone B (25) | [38] |
| M. fatua Houtt. | Bark | Extracted with methanol at room temperature. | Column chromatography (silica gel) | ESIMS, NMR | Malabaricone B (2) Malabaricone C (3) | [39] | |
| M. fatua Houtt. | Seeds | Extracted with dichloromethane at room temperature. | Column chromatography (silica gel) | HRESIMS, NMR | Malabaricone A (1) Malabaricone B (2) Malabaricone C (3) Promalabaricone B (7) 1-(2,6-dihydroxyphenyl)tetradecan-1-one (9) | [40] | |
| M. fatua Houtt. var. magnifica (Bedd.) Sinclair | Bark | Extracted with dichloromethane at room temperature. | Column chromatography (silica gel) | IR, HRESIMS, NMR | Malabaricone A (1) Malabaricone B (2) Malabaricone C (3) 1-(2-hydroxy-6-methoxyphenyl)-9-(4-hydroxyphenyl)nonan-1-one (6) 1-(2,6-dihydroxyphenyl)tetradecan-1-one (9) 1-(2-hydroxy-6-methoxyphenyl)tetradecan-1-one (10) | [41] | |
| M. fragrans Houtt. | Seeds | Refluxed with methanol. Methanolic extract was partitioned with hexane, ethyl acetate, and butanol. Ethyl acetate fraction was subjected to further analysis. | Column chromatography (silica gel) Reversed phase column chromatography (ODS-A) Semipreparative HPLC (ODS-A) | NA | Malabaricone C (3) | [42] | |
| M. fragrans Houtt. | Kernel | Extracted with methanol at room temperature. Solid phase extraction of the methanol extract with hexane, ethyl acetate, and methanol at room temperature. Ethyl acetate extract was subjected to further analysis. | Flash MPLC (silica HP 50) Preparative HPLC | HRMS and NMR | Malabaricone B (2) Malabaricone C (3) | [12] | |
| M. fragrans Houtt. | Seeds | Extracted with ethanol at room temperature. Ethanolic extract was partitioned with hexane and ethyl acetate. Hexane fraction was subjected to further analysis. | Column chromatography (silica gel/RP C-18/Sephadex LH-20) Recycling HPLC | HREIMS, NMR | Malabaricone B (2) Malabaricone C (3) | [43] | |
| M. fragrans Houtt | Aril | Refluxed with methanol. | Preparative HPLC | IR, UV, ESIMS. HREIMS, NMR | Malabaricone C (3) | [7] | |
| M. fragrans Houtt. | Kernel | Extracted with methanol at room temperature using a sonicator. Solid phase extraction of the methanol extract with hexane, ethyl acetate and methanol at room temperature. Ethyl acetate extract was subjected to further analysis. | Flash column chromatography (silica gel) Semipreparative HPLC | NA | Malabaricone C (3) | [11] | |
| M. fragrans Houtt. | Seeds | Extracted with methanol at room temperature. | Column chromatography (silica gel) Preparative TLC | NA | Malabaricone B (2) Malabaricone C (3) | [10] | |
| M. fragrans Houtt. | Aril | Extracted sequentially with hexane, dichloromethane, ethyl acetate, and methanol at room temperature using a sonicator. The ethyl acetate and methanol extracts were combined for further analysis. | Column chromatography (silica gel) Preparative TLC | ESIMS. NMR | Malabaricone C (3) | [44] | |
| M. fragrans Houtt. | Fruits | Extracted with 50% ethanol. | Preparative HPLC | UV, HRMS, NMR | Malabaricone C (3) | [45] | |
| M. fragrans Houtt. | Aril | Macerated with methanol: water (80:20) at room temperature, Aqueous methanolic extract was partitioned with hexane, chloroform, and ethyl acetate. Ethyl acetate extract was subjected to further analysis. | Column chromatography (silica gel/Sephadex LH-20) | MS, NMR | Malabaricone A (1) Malabaricone C (3) | [46] | |
| M. fragrans Houtt. | Seeds | Percolated with 80% ethanol at room temperature. Aqueous ethanolic extract was partitioned with petroleum ether and methanol. Methanolic extract was further partitioned with ethyl acetate. Petroleum ether and ethyl acetate extracts were subjected to further analysis. | Column chromatography (silica gel/RP C-18) Semipreparative HPLC | IR, UV, HREIMS, NMR | Malabaricone A (1) Myrifratin A (12) Myrifratin B (13) Myrifratin C (14) Myrifratin D (15) Myrifratin E (16) Myrifratin F (17) Myrifratin G (18) (−)-1-(2,6-dihydrox- yphenyl)-9-[4-hydroxy-3-(p-menth-1-en-8-oxy)-phenyl]-1-nonanone (19) | [47] | |
| M. malabarica Lam. | Rind | Extracted with methanol at room temperature. | Column chromatography (silica gel) | NMR | Malabaricone C (3) | [53] | |
| M. malabarica Lam. | Seeds | Defatted with dichloromethane and subsequently extracted with acetone at room temperature. Acetone extract was subjected to further analysis | Column chromatography (silica gel) | MS, NMR | Malabaricone C (3) | [54] | |
| M. malabarica Lam. | Rind | Extracted with methanol at room temperature. | Column chromatography (silica gel/Sephadex LH-20) | IR, UV, ESIMS. EIMS, NMR | Malabaricone A (1) Malabaricone B (2) Malabaricone C (3) Malabaricone D (4) Promalabaricone B (7) Promalabaricone C (8) 1-(2,6-dihydroxyphenyl)tetradecan-1-one (9) | [55] | |
| M. maxima Warb. | Bark | Extracted with dichloromethane and ethyl acetate at room temperature. Dichloromethane extract was subjected to further analysis | Column chromatography (silica gel/Sephadex LH 20) Preparative TLC Preparative HPLC | IR, UV, LCMS-IT-TOF, NMR | Malabaricone A (1) Malabaricone B (2) Malabaricone C (3) | Giganteone A (20) Giganteone C (22) Giganteone E (23) Maingayone A (24) Maingayone B (25) | [56] |
| M. philippensis Lam. | Leaves | Extracted with dichloromethane at room temperature. | Column chromatography (silica gel) | NMR | Malabaricone B (2) Malabaricone C (3) | [57] |
4.1.1. Distribution of the Acylphenols and Dimeric Acylphenols within the Genus Myristica
4.1.2. Extraction, Isolation, and Characterization of the Acylphenols and Dimeric Acylphenols
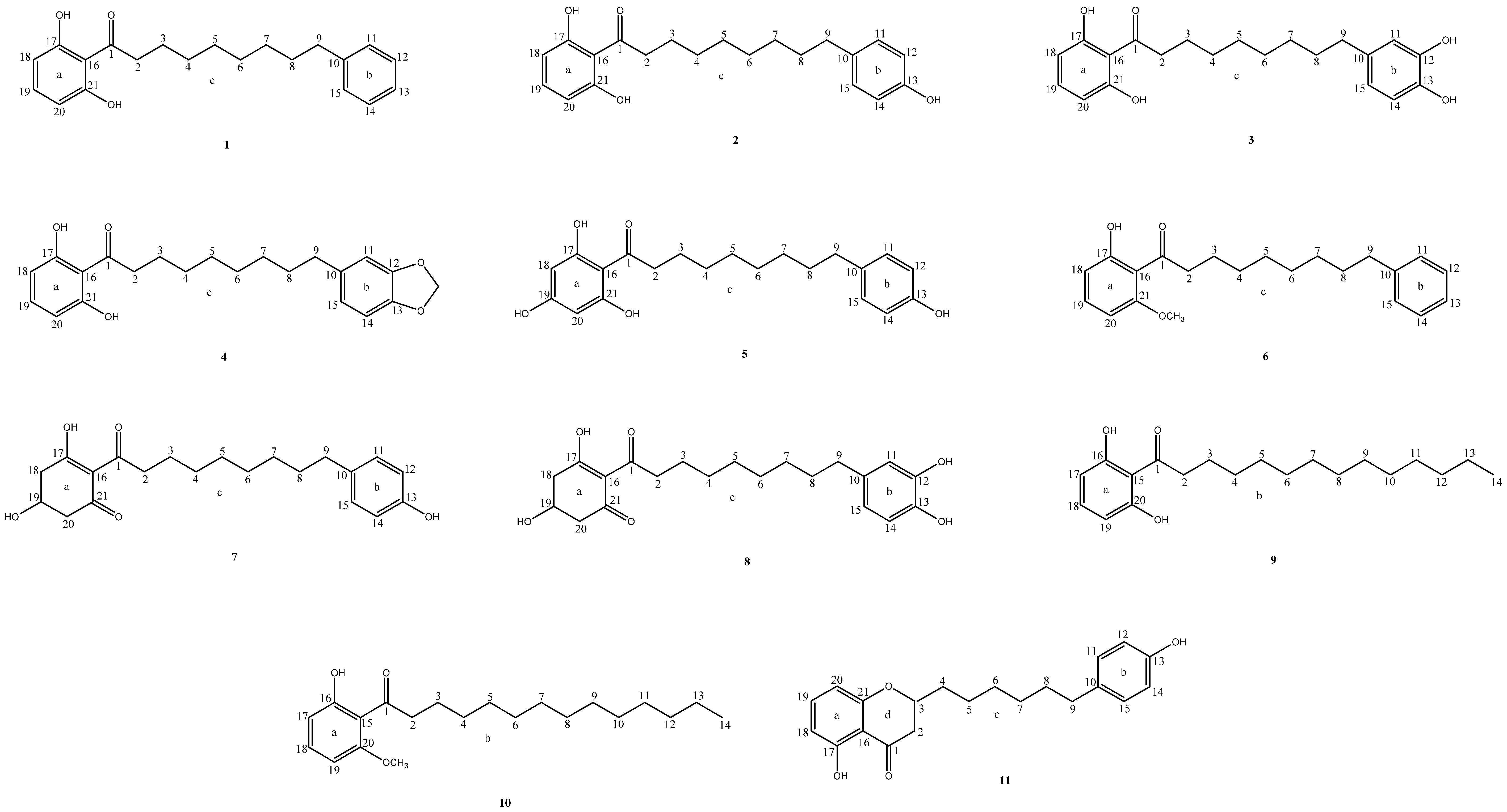
4.1.3. Structures of the Acylphenols and Dimeric Acylphenols
Acylpenols
- Type 1 Acylphenols
- Compounds 1–4
- Compound 5
- Compound 6
- Type 2 Acylphenols
- Type 3 Acylphenols
- Type 4 Acylphenols
- Type 5 Acylphenols
- Group 1
- Group 2
- Group 3
Dimeric Acylpenols
- Type 1 Dimeric Acylphenols
- Type 2 Dimeric Acylphenols
4.2. Pharmacological Activities of Myristica spp.
4.2.1. Antioxidant Activity
| Myristica spp. | Part of the Plant Investigated | Acylphenols/Dimeric Acylphenols | Main Findings | Reference |
|---|---|---|---|---|
| M. fragrans Houtt. | Aril | Malabaricone C (3) | Antioxidant activity: In vitro DPPH free radical scavenging activity 3: IC50 = 6.56 ± 0.02 μg/mL Ascorbic acid (positive control): IC50 = 5.76 ± 0.01 μg/mL | [44] |
| M. fragrans Houtt. | Seeds | Malabaricone B (2) Malabaricone C (3) | Antioxidant activity: In vitro DPPH free radical scavenging activity 2: IC50 = >200 μg/mL 3: IC50 = 8.35 ± 2.20 μg/mL BHT (positive control): IC50 = 34.28 ± 1.40 μg/mL Antioxidant activity: In vitro ABTS radical scavenging activity 2: IC50 = 7.05 ± 0.72 μg/mL 3: IC50 = 5.36 ± 0.19 μg/mL BHT (positive control): IC50 = 10.67 ± 0.41 μg/mL Antioxidant activity: In vitro Hydroxyl radical scavenging activity 2: IC50 = 95.22 ± 4.20 μg/mL 3: IC50 = 72.81 ± 2.58 μg/mL BHT (positive control): IC50 = 69.96 ± 4.66 μg/mL Antioxidant activity: In vitro Superoxide radical scavenging activity 2 and 3: No significant effect. BHT (positive control): No available data. | [10] |
| M. maxima warb. | Bark | Malabaricone A (1) Malabaricone B (2) Malabaricone C (3) Giganteone A (20) Giganteone E (22) Maingayone A (24) Maingayone B (25) | Antioxidant activity: In vitro free radical scavenging activity 1: IC50 = 522.76 ± 1.45 μM 2: IC50 = 340.93 ± 1.19 μM 3: IC50 = 5.28 ± 0.05 μM 20: IC50 = 3.17 ± 0.07 μM 22: IC50 = 2.92 ± 0.10 μM 24: IC50 = 2.90 ± 0.01 μM 25: IC50 = 6.08 ± 0.20 μM Ascorbic acid (positive control): IC50 = 26.25 ± 0.34 μM. | [56] |
4.2.2. Anti-Inflammatory Activity
| Myristica spp. | Part of the Plant Investigated | Acylphenols | Main Findings | Reference |
|---|---|---|---|---|
| M. fragrans Houtt. | Fruits | Malabaricone C (3) | Anti-Inflammatory activity: In vitro Inhibition of the 5-lipoxygenase enzyme 3: IC50 = 0.2 μM In vivo imiquimod-induced psoriasis-like skin lesion Topical application with 2 mM of compound 3 significantly ameliorated hyperplasia and inflammatory cell infiltration. Compound 3 markedly decreased the level of LTB4 but did not significantly increase the level of other pro-inflammatory lipid mediators. | [45] |
| M. malabarica Lam. | Rind | Malabaricone C (3) | Anti-inflammatory activity: Histological inflammatory scores against indomethacin-induced stomach ulceration in mice (n = 10) Day 1 Control: 1.9 Indomethacin + 3 (2 mg/kg): 1.7 Indomethacin + 3 (5 mg/kg): 1.5 Indomethacin + 3 (10 mg/kg): 1.1 Indomethacin + 3 (15 mg/kg): 0.9 Indomethacin + 3 (20 mg/kg): 0.8 Day 3 Control: 2.7 Indomethacin + 3 (2 mg/kg): 1.7 Indomethacin + 3 (5 mg/kg): 0.9 Indomethacin + 3 (10 mg/kg): 1.0 Indomethacin + 3 (15 mg/kg): 0.7 Indomethacin + 3 (20 mg/kg): 0.6 Day 5 Control 1.3 Indomethacin + 3 (2 mg/kg): 1.1 Indomethacin + 3 (5 mg/kg): 0.8 Indomethacin + 3 (10 mg/kg): <0.5 Indomethacin + 3 (15 mg/kg): <0.5 Indomethacin + 3 (20 mg/kg): <0.5 Day 7 Control: 0.9 Indomethacin + 3 (2 mg/kg): 0.5 Indomethacin + 3 (5 mg/kg): <0.5 Indomethacin + 3 (10 mg/kg): <0.5 Indomethacin + 3 (15 mg/kg): <0.5 Indomethacin + 3 (20 mg/kg): <0.5 Compound 3 decreases gastric inflammation following indomethacin exposure with improved efficacy over omeprazole. Compound 3 protects against oxidative stress induced by indomethacin in the stomach. Compound 3 ameliorates indomethacin-induced cell death and inflammation by decreasing oxidative and nitrative stress. Indomethacin-induced, NF-κβ-mediated MMP-9 activation, and inflammatory cytokine production are decreased by compound 3. Indomethacin-dependent increases in endostatin and decreases in VEGF levels are reversed by compound 3. Compound 3 improves stomach ulceration following indomethacin exposure without impacting the anti-inflammatory properties of the drug. | [53] |
4.2.3. Antiproliferative and Cytotoxic Activities
| Myristica spp. | Part of the Plant Investigated | Acylphenols/Dimeric Acylphenols | Main Findings | Reference |
|---|---|---|---|---|
| M. beddomei subsp. sphaerocarpa W.J. de Wilde | Rind/Seeds/Bark | Malabaricone A (1) Malabaricone B (2) Malabaricone C (3) Malabaricone D (4) Promalabaricone B (7) | Cytotoxic activity: In vitro cytotoxic activity against human breast adenocarcinoma cancer cell lines (MCF-7 and MDA-MB-231) and normal cell line (WI 38) MCF-7 1: IC50 = 15.4 μg/mL 2: IC50 = 22.92 μg/mL 3: IC50 = 36.25 μg/mL 4: IC50 = 20.58 μg/mL 7: IC50 = 74.41 μg/mL Doxorubicin (positive control): IC50 = >100 μg/mL MD-AMB-231 1: IC50 = 28.58 μg/mL 2: IC50 = 14.67 μg/mL 3: IC50 = 31.25 μg/mL 4: IC50 = 32.87 μg/mL 7: IC50 = 86.12 μg/mL Doxorubicin (positive control): IC50 = 31.90 μg/mL WI 38 1: IC50 = 25.37 μg/mL 2: IC50 = 35.13 μg/mL 3: IC50 = >100 μg/mL 4: IC50 = 31.80 μg/mL 7: IC50 = >100 μg/mL Doxorubicin (positive control): IC50 = No data available | [35] |
| M. fatua Houtt. | Bark | Malabaricone B (2) Malabaricone C (3) | Cytotoxic Activity: In vitro cytotoxic activity against human breast adenocarcinoma cancer cell line (MCF-7) 2: IC50 = 0.71 μg/mL 3: IC50 = 2.38 μg/mL | [39] |
| M. fragrans Houtt. | Seeds | Malabaricone C (3) | Cytotoxic activity: In vitro cytotoxic activity against human gastric cancer cell lines (NCIN87 and MGC803) NCIN87 2: IC50 = 19.80 ± 1.70 μg/mL 3: IC50 = 42.62 ± 3.10 μg/mL Vinorelbine (positive control): 20.06 ± 1.91 μg/mL MGC803 2: IC50 = 19.60 ± 2.21 μg/mL 3: IC50 = 22.94 ± 1.33 μg/mL Vinorelbine (positive control): 18.65 ± 2.23 μg/mL | [14] |
| M. fragrans Houtt. | Seeds | Malabaricone A (1) Myrifratin A (12) Myrifratin B (13) Myrifratin C (14) Myrifratin D (15) Myrifratin E (16) Myrifratin F (17) Myrifratin G (18) (−)-1-(2,6-dihydrox- yphenyl)-9-[4-hydroxy-3-(p-menth-1-en-8-oxy)-phenyl]-1-nonanone (19) | Autophagy modulating activities Compounds 1, 15−17 and 19 accumulated GFP-LC3 puncta in HEK293 cells. Compounds 15 and 16 induced GFP-LC3 puncta and upregulated the protein expressions of autophagy markers (LC3-II and p62). | [47] |
| M. malabarica Lam. | Rind | Malabaricone C (3) | Cytotoxic activity: In vitro cytotoxic activity against human breast cancer cell line (MCF-7) After 48 h of treatment: 3: IC50 = 7.0 ± 1.8 μM Curcumin (positive control): IC50 = 19.7 ± 2.5 μM Compound 3 induces ΔΨm loss to release the mitochondrial nucleases in MCF-7 cells. Compound 3 increases intracellular Ca2+ levels and activates calpain in MCF-7 cells. Compound 3 induces LMP to release cathepsin B and activate Bid in MCF-7 cells. Compound 3 arrests the S and G2-M phases in MCF-7 cells. | [48] |
| M. malabarica Lam. | Rind | Malabaricone A (1) Malabaricone B (2) Malabaricone C (3) Malabaricone D (4) | Cytotoxic activity: In vitro cytotoxic activity against lung carcinoma cell lines (A549, NCI-H460, NCI-H23 and NCI-H522) A549 after 48 h of treatment: 1: IC50 = 19.2 ± 4.2 μM 2: IC50 = 8.4 ± 2.5 μM 3: IC50 = 7.0 ± 1.8 μM 4: IC50 = 20.3 ± 5.1 μM Curcumin (positive control): IC50 = 41.7 ± 6.2 μM NCI-H460 after 48 h of treatment: 3: IC50 = 7.7 ± 2.1 μM Curcumin (positive control): IC50 = 27.3 ± 4.2 μM NCI-H23 after 48 h of treatment: 3: IC50 = 9.9 ± 2.7 μM Curcumin (positive control): IC50 = 22.8 ± 4.0 μM NCI-H522 after 48 h of treatment: 3: IC50 = 12.4 ± 3.4 μM Curcumin (positive control): IC50 = 26.2 ± 3.6 μM Compound 3 perturbs mitochondrial function through BAX/BCL-2 imbalance. Compound 3 binds to DNA and induces DSBs. Compound 3 induces ATM/ATR-mediated DNA damage response and p38 MAPK activation. | [13] |
| M. malabarica Lam. | Rind | Malabaricone A (1) | Cytotoxic activity: In vitro cytotoxic activity against leukemic cancer cell lines (MOLT3, K562 and HL-60) and solid tumor cell lines (MCF7, A549 and HepG2) MOLT3 after 48 h of treatment: 1: IC50 = 17.20 ± 2.22 μg/mL K562 after 48 h of treatment: 1: IC50 = 18.10 ± 0.95 μg/mL HL-60 after 48 h of treatment: 1: IC50 = 12.70 ± 0.46 μg/mL MCF7 after 48 h of treatment: 1: IC50 = 32.95 ± 1.63 μg/mL A549 after 48 h of treatment: 1: IC50 = 55.26 ± 5.90 μg/mL HepG2 after 48 h of treatment: 1: IC50 = 28.10 ± 0.58 μg/mL Compound 1 mediated cytotoxicity in leukemic cell lines via generation of a redox imbalance. Compound-1-induced mitochondrial apoptotic events were higher in MOLT3 than in MCF7 and A549. Compound 1 down regulated Nrf2 signaling pathway. | [49] |
| M. malabarica Lam. | Rind | Malabaricone A (1) | Cytotoxic activity: In vitro cytotoxic activity against T-lymphoblastic leukemic cell line, CCRF CEM and its multidrug resistance (MDR) counterpart, CEM/ADR5000) CCRF CEM after 48 h of treatment: 1: IC50 = 9.72 ± 1.08 μg/mL CEM/ADR5000 after 48 h of treatment: 1: IC50 = 5.40 ± 1.41 μg/mL Compound-1-mediated cytotoxicity was via generation of ROS. Compound 1 induced depletion of the antioxidant component. Compound 1 caused comparable caspase-3 activity. | [50] |
| M. malabarica Lam. | Rind | Malabaricone A (1) | Cytotoxic activity: In vitro cytotoxic activity against hematopoietic U937 and MOLT3 cell lines U937 after 48 h of treatment: 1: IC50 = 15.38 ± 1.91 μg/mL MOLT3 after 48 h of treatment: 1: IC50 = 17.42 ± 0.47 μg/mL Compound 1 caused a minimal increase in the phosphorylation of PTEN, and a substantial time-dependent dephosphorylation of AKT and mTOR. Compound-1-induced generation of ROS was mediated via activation of the MAPK (p38 and JNK) pathway, along with inhibition of the PI3K/AKT pathway. | [51] |
| M. malabarica Lam. | Rind | Malabaricone B (2) | Cytotoxic activity: In vitro cytotoxic activity against human cancer cell lines A549, human lung cancer 2: IC50 = 8.1 ± 1.0 μM Curcumin (positive control): IC50 = 26.7 ± 3.1 μM A375, malignant melanoma 2: IC50 = 26.7 ± 2.9 μM Jurkat, T cell leukemia 2: IC50 = 27.4 ± 3.1 μM A431, epidermoid carcinoma 2: IC50 = 9.5 ± 3.2 μM NCI-H23, lung adenocarcinoma 2: IC50 = 9.6 ± 1.2 μM K562, chronic myelogenous leukemia 2: IC50 = 47.0 ± 3.9 μM U937, leukemic monocyte lymphoma 2: IC50 = 27.5 ± 1.4 μM MCF-7, breast carcinoma 2: IC50 = 9.3 ± 2.1 μM Compound 2 activates caspases-9 and 3, but not caspase-8. Compound 2 induces mitochondrial ΔΨm and triggers intracellular ROS generation to induce apoptosis. Compound-2-induced cytotoxicity is regulated by BAX/BCL-2. Compound 2 reduces lung tumor (xenograft) burden in mice. | [59] |
| M. malabarica Lam. | Rind | Malabaricone C (3) | Cytotoxic activity 3: Increasing time (1.5 h, 3 h, and 6 h) and concentration (0 μM, 4 μM, 6 μM, and 8 μM) dependent on ROS generation. 3 (6 μM): Pretreatment of the cells with intracellular ROS scavengers such as NAC, PEG-SOD, PEGCAT, Na-pyurvate, tocopherol, Trolox®, ascorbate, and cell permeable SOD-mimetic (Mn-TBAP) attenuated the ROS level by 81%, ~34%, 25%, 20%, 39%, 46%, 53%, and 50%. 3 (6 and 8 μM): Decreased free GSH content of the cells by ~45% and 53%. NEM (0.5 mM): Decreased free GSH by 88.7%. NAC augments compound-3-induced DNA damage and oxidative stress. Thiol antioxidants modulate pro-survival signaling in compound-3-induced death process. NAC enhances S-glutathionylation of p65 and p53 proteins in response to treatment with compound 3. In vivo tumor growth in mice Compound 3 reduces the growth of lung tumor in a xenograft model and the growth of a highly metastatic melanoma tumor in a syngeneic mouse model. Compound 3 with (NAC) combination may effectively manage secondary lung tumors arising from melanoma metastasis. | [60] |
| M. malabarica Lam. | Rind | Malabaricone A (1) Malabaricone B (2) Malabaricone C (3) Malabaricone D (4) Promalabaricone B (7) Promalabaricone C (8) 1-(2,6-dihydroxyphenyl)tetradecan-1-one (9) | Anti-proliferative activity: In vitro cytotoxic activity against human ovarian cancer cell line (A2780) 1: IC50 = 2.5 ± 0.2 μM 2: IC50 = 5.5 ± 0.5 μM 3: IC50 = 2.3 ± 0.2 μM 4: IC50 = 8.1 ± 0.5 μM 7: IC50 = 2.2 ± 0.2 μM 8: IC50 = 2.0 ± 0.5 μM 9: IC50 = 2.0 ± 0.2 μM Paclitaxel (positive control): IC50 = 0.037 μM | [55] |
| M. maxima Warb. | Bark | Malabaricone A (1) Malabaricone B (2) Malabaricone C (3) Giganteone A (20) Giganteone E (23) Maingayone A (24) Maingayone B (25) | Cytotoxic activity: In vitro cytotoxic activity against human prostate cancer cell line (PC3). After 24 h of treatment: 1: IC50 = 26.0 ± 3.3 μM 2: IC50 = 73.4 ± 3.9 μM 3: IC50 = 143.1 ± 2.8 μM 20: IC50 = 17.5 ± 1.7 μM 23: IC50 = >200 μM 24: IC50 = 31.6 ± 5.3 μM 25: IC50 = 124.7 ± 5.2 μM Doxorubicin (positive control): IC50 = 9.7 ± 2.2 μM After 48 h of treatment: 1: IC50 = 9.2 ± 2.4 μM 2: IC50 = 31.8 ± 3.2 μM 3: IC50 = 50.5 ± 2.1 μM 20: IC50 = 6.3 ± 1.2 μM 23: IC50 = 151.1 ± 4.5 μM 24: IC50 = 13.4 ± 4.6 μM 25: IC50 = 80.6 ± 8.0 μM Doxorubicin (positive control): IC50 = 2.3 ± 1.2 μM | [56] |
4.2.4. Antibacterial and Anti-Quorum Sensing Activities
| Myristica spp. | Part of the Plant Investigated | Acylphenols/Dimeric Acylphenols | Main Findings | Reference |
|---|---|---|---|---|
| M. cinnamomea King | Bark | Malabaricone A (1) Malabaricone B (2) Malabaricone C (3) Giganteone A (20) | Anti-quorum sensing inhibitory activity against E. coli (pSB401) and E. coli (pSB1075) biosensors. E. coli (pSB401) 1–3: No significant bioluminescence inhibition 20: Increase in concentration from 95 μg/mL to 380 μg/mL Showed significant inhibition of the bioluminescence E. coli (pSB1075) 1–3: No significant bioluminescence inhibition 20: Increase in concentration from 285 μg/mL to 380 μg/mL Showed significant inhibition of the bioluminescence | [36] |
| M. fragrans Houtt. | Seeds | Malabaricone B (2) Malabaricone C (3) | Antibacterial activity: In vitro inhibitory activity against Streptococcus pneumoniae sialidases NanA, NanB and NanC. NanA 2: IC50 = 0.4 μM 3: IC50 = 0.3 μM DANA (Neu5Ac2en) (positive control): IC50 = 4.8 ± 1.1 μM Inhibition mode (Ki, μM) 2: Competitive (0.5 ± 0.03 μM) 3: Competitive (0.1 ± 0.01 μM) NanB 2: IC50 = 5.7 μM 3: IC50 = 3.6 μM DANA (Neu5Ac2en) (positive control): IC50 = 45.1 ± 2.5 μM Inhibition mode (Ki, μM) 2: Noncompetitive (5.6 ± 1.7 μM) 3: Noncompetitive (3.0 ± 0.2 μM) NanC 2: IC50 = 14.3 μM 3: IC50 = 2.9 μM Inhibition mode (Ki, μM) 2: Noncompetitive (5.8 ± 0.2 μM) 3: Noncompetitive (2.1 ± 0.05 μM) | [43] |
| M. malabarica Lam. | Seeds | Malabaricone C (3) | Antibacterial activity: In vitro inhibitory activity against Gram-positive (S. aureus) and Gram-negative (P. aeruginosa) bacteria. Test plate (1:2) ratio of smart multifunctional epoxy coating incorporated with bio-nanocomposites of 3: No microbial colonies after 1 h incubation in saline meaning 99.99% killing Test plate with 0×, 10×, 100× dilution (1:2) ratio of smart multifunctional epoxy coating incorporated with bio-nanocomposites of 3: No colonies present | [54] |
4.2.5. Antidiabetic and Antiglycation Activities
| Myristica spp. | Part of the Plant Investigated | Acylphenols/Dimeric Acylphenols | Main Findings | Reference |
|---|---|---|---|---|
| M. cinnamomea King | Bark | Cinnamomeone A (11) Giganteone D (21) | Antidiabetic activity: In vitro α-Glucosidase enzyme inhibitory activity 11: IC50 = 358.80 μM 21: IC50 = 5.05 μM Acarbose (positive control): IC50 = 1449.67 μM Lineweaver–Burk plot analysis for 21: Mode of inhibition: mixed-type Ki1: 22.16 μM Ki2: 72.49 μM | [37] |
| M. cinnamomea King | Bark | Malabaricone A (1) Malabaricone B (2) Malabaricone C (3) Malabaricone E (5) Giganteone A (20) | Antidiabetic activity: In vitro α-Glucosidase enzyme inhibitory activity 1: IC50 = 236.03 μM 2: IC50 = 210.63 μM 3: IC50 = 59.61 μM 5: IC50 = 35.86 μM 20: IC50 = 39.52 μM Acarbose (positive control): IC50 = 1449.67 μM | [61] |
| M. fatua Houtt. | Seeds | Promalabaricone B (7) | Antidiabetic activity: In vitro α-Amylase and α-Glucosidase enzymes inhibitory activities α-amylase enzyme inhibitory activity 7: IC50 = 82.00 ± 1.23 μM Acarbose (positive control): IC50 = 8.20 ± 1.23 μM (p < 0.01). α-glucosidase enzyme inhibitory activity 7: IC50 = 32.70 ± 0.47 μM (p < 0.01) Acarbose (positive control): IC50 = 52.04 ± 0.9 μM Antiglycation activity 7: IC50 = 227.26 ± 0.80 μM (p < 0.01) Ascorbic acid (positive control): IC50 = 155.38 ± 0.55 μM (p < 0.01) 7: Glucose uptake [46.3% (2.5 μM)] Metformin (positive control): 35.2% of glucose uptake at 100 μM under identical experimental conditions | [40] |
| M. fatua Houtt. var. magnifica (Bedd.) Sinclair | Bark | Malabaricone A (1) Malabaricone B (2) Malabaricone C (3) 1-(2-hydroxy-6-methoxyphenyl)-9-(4-hydroxyphenyl)nonan-1-one (6) 1-(2,6-dihydroxyphenyl)tetradecan-1-one (9) 1-(2-hydroxy-6-methoxyphenyl)tetradecan-1-one (10) | Antidiabetic activity: In vitro α-Amylase and α-Glucosidase enzymes inhibitory activities α-amylase enzyme inhibitory activity 1: IC50 = 19.07 ± 0.517 μM 2: IC50 = 12.89 ± 0.068 μM 3: IC50 = 10.63 ± 0.171 μM 6: IC50 = 32.27 ± 0.500 μM 9: IC50 = 74.12 ± 1.278 μM 10: IC50 = 39.01 ± 1.20 μM Acarbose (positive control): IC50 = 8.93 ± 0.48 μM α-glucosidase enzyme inhibitory activity 1: IC50 = 91.44 ± 1.245 μM 2: IC50 = 63.70 ± 0.546 μM 3: IC50 = 43.61 ± 0.620 μM 6: IC50 = 94.53 ± 0.875 μM 9: IC50 = 171.90 ± 0.890 μM 10: IC50 = 256.71 ± 0.492 μM Acarbose (positive control): IC50 = 66.57 ± 0.982 μM Antiglycation activity AGEs inhibitory activity 1: IC50 = 19.28 ± 0.0454 μM 2: IC50 = 40.34 ± 0.0948 μM 3: IC50 = 14.99 ± 0.114 μM 6: IC50 = 104.27 ± 0.933 μM 9: IC50 = 120.84 ± 0.547 μM 10: IC50 = 192.09 ± 0.915 μM Ascorbic acid (positive control): IC50 = 155.38 ± 0.547 μM 2: Glucose uptake [37.5% (10 μM), 45.8% (25 μM), 52.7% (50 μM)] Metformin (positive control): 36.6% of glucose uptake at 100 μM under identical experimental conditions | [41] |
| M. fragrans Houtt. | Seeds | Malabaricone C (3) | Antidiabetic activity: In vitro α-Glucosidase enzyme inhibitory activity 3: IC50 = 20.97 ± 0.17 μg/mL | [10] |
4.2.6. Anti-Alzheimer’s Disease Activity
| Myristica spp. | Part of the Plant Investigated | Acylphenols/Dimeric Acylphenols | Main Findings | Reference |
|---|---|---|---|---|
| M. cinnamomea King | Fruits | Malabaricone A (1) Malabaricone B (2) Malabaricone C (3) Malabaricone E (5) Maingayone A (24) Maingayone B (25) | Anti-Alzheimer’s Disease activity: In vitro cholinesterase enzymes [(AChE) and (BChE)] inhibitory activities AChE 1: IC50 = 1.31 ± 0.17 μM 2: IC50 = 1.84 ± 0.19 μM 3: IC50 = 1.94 ± 0.27 μM 5: IC50 = 6.44 ± 0.85 μM 24: IC50 = 12.66 ± 1.48 μM 25: IC50 = 30.67 ± 8.14 μM Physostigmine (positive control): IC50 = 0.08 ± 0.02 μM BChE 1: IC50 = 39.21 ± 3.46 μM 2: IC50 = 1.76 ± 0.21 μM 3: IC50 = 2.80 ± 0.49 μM 5: IC50 = 6.65 ± 0.13 μM 24: IC50 = 10.51 ± 2.07 μM 25: IC50 = 12.52 ± 2.86 μM Physostigmine (positive control): IC50 = 0.22 ± 0.02 μM KiAChE and KiBChE 2: 4.33 μM and 0.56 μM 3: 5.86 μM and 11.46 μM | [38] |
| M. fragrans Houtt. | Aril | Malabaricone C (3) | Anti-Alzheimer’s Disease activity: In vitro AChE inhibitory activity 3: IC50 = 2.06 ± 0.04 μg/mL Donepezil HCI (positive control): IC50 = 0.03 ± 0.00 μg/mL | [44] |
| M. fragrans Houtt. | Seeds | Malabaricone C (3) | Anti-Alzheimer’s Disease activity: In vitro AChE inhibitory activity 3: IC50 = 44.0 μM Berberine (positive control): IC50 = 0.1 μM | [42] |
| M. fragrans Houtt. | Aril | Malabaricone A (1) Malabaricone C (3) | Anti-Alzheimer’s Disease activity: In vitro AChE and BChE inhibitory activities AChE 1: IC50 = 67.41 ± 1.52 μM 3: IC50 = 25.02 ± 0.95 μM Donepezil (positive control): IC50 = 0.07 ± 0.00 μM BChE 1: IC50 = 27.16 ± 0.06 μM 3: IC50 = 22.36 ± 0.03 μM Donepezil (positive control): IC50 = 4.73 ± 0.91 μM KiAChE and KiBChE 3: 25.01 μM and 22.36 μM | [46] |
4.2.7. Anti-Allergic Activity
| Myristica spp. | Part of the Plant Investigated | Acylphenols | Main Findings | Reference |
|---|---|---|---|---|
| M. fragrans Houtt. | Aril | Malabaricone C (3) | Anti-allergic activity The in vitro inhibition of the release of β-hexosaminidase in RBL-2H3 cells 3: IC50 = 20.7 μM Tranilast (positive control): IC50 = 282 μM Ketotifen fumalate (positive control): IC50 = 158 μM Inhibition of the production of antigen-stimulated tumor necrosis factor-α 3: IC50= 39.5 μM | [7] |
4.2.8. Anti-Anxiety Activity
| Myristica spp. | Part of the Plant Investigated | Acylphenols | Main Findings | Reference |
|---|---|---|---|---|
| M. fragrans Houtt. | Kernel | Malabaricone B (2) Malabaricone C (3) | Anti-anxiety activity: In vitro inhibitory activity of the endocannabinoid system through the inhibition of the fatty acid amide hydrolase (FAAH) and the monoacylglycerol lipase (MAGL) enzymes FAAH enzyme 2: No inhibition 3: IC50 = 38.29 ± 6.18 μM JZL 195 (positive control): 0.045 ± 0.002 μM MAGL enzyme 2: No inhibition 3: No significant inhibition JZL 195 (positive control): 0.71 ± 0.31 μM | [11] |
4.2.9. Antihypertensive Activity
| Myristica spp. | Part of the Plant Investigated | Acylphenols | Main Findings | Reference |
|---|---|---|---|---|
| M. malabarica Lam. | Rind | Malabaricone C (3) | Anti-hypertensive activity 3: Lowers systolic BP (SBP) of the DOCA-salt hypertensive rats without restoring it to control level, reduces organ hypertrophy, reduces oxidative stress (OS), reduces vasoconstriction, reduces ventricular and vascular collagen deposition and inflammation, improves vascular, endothelial, and smooth muscle dysfunction in DOCA-salt hypertensive rats. | [52] |
4.2.10. Anti-Obesity Activity
| Myristica spp. | Part of the Plant Investigated | Acylphenols | Main Findings | Reference |
|---|---|---|---|---|
| M. cinnamomea King | Fruits | Malabaricone A (1) Malabaricone B (2) Malabaricone C (3) Malabaricone E (5) | Anti-obesity activity: In vitro and in vivo Sphingomyelin Synthases (SMSs) 1 and 2 enzymes inhibitory activities SMS 1 enzyme 1: IC50 = 4 μM 2: IC50 = 3.5 μM 3: IC50 = 3 μM 5: IC50 = 6 μM SMS 2 enzyme 1: IC50 = 4 μM 2: IC50 = 2.5 μM 3: IC50 = 1.5 μM 5: IC50 = 4.5 μM Compound 3 was highly efficacious in preventing oleic acid uptake across the membrane, which, in turn, reduced lipid droplet formation in vitro. Compound 3 was able to reduce body weight gain, improve glucose tolerance, and decrease lipid accumulation in the liver in vivo. | [65] |
4.2.11. Anti-Dengue Activity
| Myristica spp. | Part of the Plant Investigated | Acylphenols | Main Findings | Reference |
|---|---|---|---|---|
| M. cinnamomea King | Fruits | Malabaricone A (1) Malabaricone B (2) Malabaricone C (3) Malabaricone E (5) | Anti-dengue activity: In vitro DENV-2 NS2B/NS3 protease inhibitory activity 1–2: less than 70% inhibition at 200 μg/mL. 3: IC50 = 27.33 ± 5.45 μM 5: IC50 = 7.55 ± 1.64 μM Quercetin (positive control): IC50 = 10.48 ± 2.14 μM | [66] |
5. Conclusions
Author Contributions
Funding
Data Availability Statement
Conflicts of Interest
List of Abbreviations
| ABTS | 2,2′-azino-bis(3-ethylbenzothiazoline-6-sulfonic acid) |
| AChE | Acetylcholinesterase enzyme |
| AGEs | Advanced glycated end products |
| AMPK | AMP-activated protein kinases |
| ASK1 | Apoptosis stimulating kinase 1 |
| BAX | Bcl-2 Associated X-protein |
| BChE | Butrylcholinesterase enzyme |
| BCL-2 | B-cell lymphoma-2 |
| BCL-XL | B-cell lymphoma-extra large |
| BHT | Butylhydroxytoluene |
| BSO | Buthionine sulfoximine |
| CCRF CEM | Human leukemic lymphoblasts |
| CEM/ADR5000 | Multidrug-resistant leukemia cells |
| COX-2 | Cyclooxygenase 2 |
| DAG | Diacylglycerol |
| DANA (Neu5Ac2en) | 2-Deoxy-2,3-dehydro-n-acetyl-neuraminic acid |
| DENV-2 | Dengue virus 2 |
| DNA | Deoxyribonucleic acid |
| DPPH | 2,2-Diphenyl-1-picryl-hydrazyl-hydrate |
| E. coli | Escherichia coli |
| GI | Gastrointestinal |
| GLUT4 | Glucose transporter type 4 |
| HPLC | High performance liquid chromatography |
| IL | Interleukin |
| JNK | c-Jun N-terminal kinase |
| JZL 195 | (4-nitrophenyl) 4-[(3-phenoxyphenyl)methyl]piperazine-1-carboxylate |
| Krt1 | Keratin 1 |
| LDL | Low-density lipoprotein |
| LT | Leukotriene |
| LTB4 | Leukotriene B4 |
| LOX | Lipoxygenase |
| mTOR | Mammalian target of rapamycin |
| MTT | 2,5-diphenyl-2H-tetrazolium bromide |
| NAC | N-acetyl-l-cysteine |
| NO | Nitric oxide |
| RBL | Rat basophilic leukemia |
| PEG-SOD | Superoxide dismutase–polyethylene glycol |
| PGI2 | Prostaglandin I2 |
| ROS | Reactive oxygen species |
| S100A9 | S100 calcium binding protein A9 |
| shRNA | Short hairpin RNA |
| SM | Sphingomyelin |
| TBARS | Thiobarbituric acid reactive substance |
| TLC | Thin-layer chromatography |
References
- Fajriah, S.; Darmawan, A.; Megawati Hudiyono, S.; Kosela, S.; Hanafi, M. New cytotoxic compounds from Myristica fatua Houtt leaves against MCF-7 cell lines. Phytochem. Lett. 2017, 20, 36–39. [Google Scholar] [CrossRef]
- Zhang, Y.; Zhang, J.J.; Kang, W.Y.; Yan, W.Y. Advances of chemical constituents and pharmacological activities of Myristica genus. Zhongguo Zhong Yao Za Zhi 2014, 39, 2438–2449. [Google Scholar]
- Beaman, J.H. [Review of Flora Malesiana Series I: Seed Plants. Volume 14-2000. Myristicaceae, by P.F. Stevens & W.J.J.O. de Wilde]. Kew Bulletin. 2002, 57, 251–253. [Google Scholar] [CrossRef]
- World Scientific. Subclass MAGNOLIIDAE Takhtajan 1966. In Medicinal Plants of the Asia-Pacific; World Scientific: Singapore, 2012; pp. 1–74. [Google Scholar]
- Calliste, C.A.; Kozlowski, D.; Duroux, J.L.; Champavier, Y.; Chulia, A.J.; Trouillas, P. A new antioxidant from wild nutmeg. Food Chem. 2010, 118, 489–496. [Google Scholar] [CrossRef]
- Ongtanasup, T.; Wanmasae, S.; Srisang, S.; Manaspon, C.; Net-anong, S.; Eawsakul, K. In silico investigation of ACE2 and the main protease of SARS-CoV-2 with phytochemicals from Myristica fragrans (Houtt.) for the discovery of a novel COVID-19 drug. Saudi J. Biol. Sci. 2022, 29, 103389. [Google Scholar] [CrossRef] [PubMed]
- Morikawa, T.; Hachiman, I.; Ninomiya, K.; Hata, H.; Sugawara, K.; Muraoka, O.; Matsuda, H. Degranulation inhibitors from the arils of Myristica fragrans in antigen-stimulated rat basophilic leukemia cells. J. Nat. Med. 2018, 72, 464–473. [Google Scholar] [CrossRef] [PubMed]
- Cao, G.-Y.; Yang, X.-W.; Xu, W.; Li, F. New inhibitors of nitric oxide production from the seeds of Myristica fragrans. Food Chem. Toxicol. 2013, 62, 167–171. [Google Scholar] [CrossRef]
- Marulasiddaswamy, K.M.; Nuthan, B.R.; Sunilkumar, C.R.; Bajpe, S.N.; Kumara, K.K.S.; Sekhar, S.; Kini, K.R. HR-LC-MS based profiling of phytochemicals from methanol extracts of leaves and bark of Myristica dactyloides Gaertn. from Western Ghats of Karnataka, India. J. Appl. Biol. Biotechnol. 2021, 9, 124–135. [Google Scholar] [CrossRef]
- Li, C.-W.; Chu, Y.-C.; Huang, C.-Y.; Fu, S.-L.; Chen, J.-J. Evaluation of Antioxidant and Anti-α-glucosidase Activities of Various Solvent Extracts and Major Bioactive Components from the Seeds of Myristica fragrans. Molecules 2020, 25, 5198. [Google Scholar] [CrossRef]
- El-Alfy, A.T.; Abourashed, E.A.; Patel, C.; Mazhari, N.; An, H.; Jeon, A. Phenolic compounds from nutmeg (Myristica fragrans Houtt.) inhibit the endocannabinoid-modulating enzyme fatty acid amide hydrolase. J. Pharm. Pharmacol. 2019, 71, 1879–1889. [Google Scholar] [CrossRef]
- Chiu, S.; Wang, T.; Belski, M.; Abourashed, E.A. HPLC-Guided Isolation, Purification and Characterization of Phenylpropanoid and Phenolic Constituents of Nutmeg Kernel (Myristica fragrans). Nat. Prod. Commun. 2016, 11, 483. [Google Scholar] [CrossRef]
- Tyagi, M.; Bhattacharyya, R.; Bauri, A.K.; Patro, B.S.; Chattopadhyay, S. DNA damage dependent activation of checkpoint kinase-1 and mitogen-activated protein kinase-p38 are required in malabaricone C-induced mitochondrial cell death. Biochim. Biophys. Acta BBA Gen. Subj. 2014, 1840, 1014–1027. [Google Scholar] [CrossRef]
- Wu, N.; Xu, W.; Zhang, Y.; Yang, X. Biotransformation of malabaricone C by rat hepatic microsomes and cytotoxic activities against gastric cancer cells in vitro. J. Chin. Pharm. Sci. 2014, 23, 241. [Google Scholar] [CrossRef]
- Cuong, T.D.; Hung, T.M.; Na, M.; Ha, D.T.; Kim, J.C.; Lee, D.; Ryoo, S.; Lee, J.H.; Choi, J.S.; Min, B.S. Inhibitory effect on NO production of phenolic compounds from Myristica fragrans. Bioorg. Med. Chem. Lett. 2011, 21, 6884–6887. [Google Scholar] [CrossRef]
- Pham, V.C.; Jossang, A.; Sévenet, T.; Bodo, B. Novel cytotoxic acylphenol dimers of Myristica gigantea; enzymatic synthesis of giganteones A and, B. Tetrahedron 2002, 58, 5709–5714. [Google Scholar] [CrossRef]
- Herath, H.M.T.B.; Padmasiri, W. Demethyldactyloidin and Other Constituents in Myristica ceylanica. Nat. Prod. Res. 1999, 14, 141–146. [Google Scholar] [CrossRef]
- Pham, V.C.; Jossang, A.; Sévenet, T.; Bodo, B. Cytotoxic Acylphenols from Myristica maingayi. Tetrahedron 2000, 56, 1707–1713. [Google Scholar] [CrossRef]
- Nguyen, P.H.; Le, T.V.T.; Kang, H.W.; Chae, J.; Kim, S.K.; Kwon, K.I.; Seo, D.B.; Lee, S.J.; Oh, W.K. AMP-activated protein kinase (AMPK) activators from Myristica fragrans (nutmeg) and their anti-obesity effect. Bioorg. Med. Chem. Lett. 2010, 20, 4128–4131. [Google Scholar] [CrossRef] [PubMed]
- Herath, H.M.T.B.; Priyadarshini, A.M.A. Lignans from Myristica dactyloides. Phytochemistry 1997, 44, 699–703. [Google Scholar] [CrossRef]
- Herath, H.M.T.B.; Priyadarshani, A.M.A. Two lignans and an aryl alkanone from Myristica dactyloides. Phytochemistry 1996, 42, 1439–1442. [Google Scholar] [CrossRef]
- Chung, J.Y.; Choo, J.H.; Lee, M.H.; Hwang, J.K. Anticariogenic activity of macelignan isolated from Myristica fragrans (nutmeg) against Streptococcus mutans. Phytomedicine 2006, 13, 261–266. [Google Scholar] [CrossRef] [PubMed]
- Kwon, H.S.; Kim, M.J.; Jeong, H.J.; Yang, M.S.; Park, K.H.; Jeong, T.S.; Lee, W.S. Low-density lipoprotein (LDL)-antioxidant lignans from Myristica fragrans seeds. Bioorg. Med. Chem. Lett. 2008, 18, 194–198. [Google Scholar] [CrossRef] [PubMed]
- Chong, Y.M.; Yin, W.F.; Ho, C.Y.; Mustafa, M.R.; Hadi, A.H.A.; Awang, K.; Narrima, P.; Koh, C.L.; Appleton, D.R.; Chan, K.G. Malabaricone C from Myristica cinnamomea exhibits anti-quorum sensing activity. J. Nat. Prod. 2011, 74, 2261–2264. [Google Scholar] [CrossRef] [PubMed]
- Maia, A.; Schmitz-Afonso, I.; Martin, M.T.; Awang, K.; Laprévote, O.; Guéritte, F.; Litaudon, M. Acylphenols from Myristica crassa as new acetylcholinesterase inhibitors. Planta Med. 2008, 74, 1457–1462. [Google Scholar] [CrossRef] [PubMed]
- Sawadjoon, S.; Kittakoop, P.; Kirtikara, K.; Vichai, V.; Tanticharoen, M.; Thebtaranonth, Y. Atropisomeric myristinins: Selective COX-2 inhibitors and antifungal agents from Myristica cinnamomea. J. Org. Chem. 2002, 67, 5470–5475. [Google Scholar] [CrossRef]
- Filleur, F.; Pouget, C.; Allais, D.P.; Kaouadji, M.; Chulia, A.J. Lignans and neolignans from Myristica argentea1 Warb. Nat. Prod. Lett. 2002, 16, 1–7. [Google Scholar] [CrossRef]
- Kuo, Y.-H.; Lin, S.-T.; Wu, R.-E. Three New Lignans from the Nutmeg of Myristica cagayanesis. Chem. Pharm. Bull. 1989, 37, 2310–2312. [Google Scholar] [CrossRef]
- Herath, H.M.T.B.; Priyadarshani, A.M.A.; Jamie, J. Dactyloidin, a New Diaryl Nonanoid from Myristica dactyloides. Nat. Prod. Res. 1998, 12, 91–95. [Google Scholar] [CrossRef]
- Min, B.S.; Cuong, T.D.; Hung, T.M.; Min, B.K.; Shin, B.S.; Woo, M.H. Inhibitory Effect of Lignans from Myristica fragrans on LPS-induced NO Production in RAW264.7 Cells. Bull. Korean Chem. Soc. 2011, 32, 4059–4062. [Google Scholar] [CrossRef]
- Kang, J.W.; Min, B.S.; Lee, J.H. Anti-platelet Activity of Erythro-(7S,8R)-7-acetoxy-3,4,3′,5′-tetramethoxy-8-O-4′-neolignan from Myristica fragrans. Phytother. Res. 2013, 27, 1694–1699. [Google Scholar] [CrossRef]
- Cao, G.Y.; Xu, W.; Yang, X.W.; Gonzalez, F.J.; Li, F. New neolignans from the seeds of Myristica fragrans that inhibit nitric oxide production. Food Chem. 2015, 173, 231. [Google Scholar] [CrossRef] [PubMed]
- Maity, B.; Banerjee, D.; Bandyopadhyay, S.K.; Chattopadhyay, S. Regulation of arginase/nitric oxide synthesis axis via cytokine balance contributes to the healing action of malabaricone B against indomethacin-induced gastric ulceration in mice. Int. Immunopharmacol. 2009, 9, 491–498. [Google Scholar] [CrossRef]
- Maity, B.; Yadav, S.K.; Patro, B.S.; Tyagi, M.; Bandyopadhyay, S.K.; Chattopadhyay, S. Molecular mechanism of the anti-inflammatory activity of a natural diarylnonanoid, malabaricone C. Free Radic. Biol. Med. 2012, 52, 1680–1691. [Google Scholar] [CrossRef]
- Neethu, S.; Govind, M.G.; Vimalkumar, P.S.; Biji, M.; Sherin, D.R.; Dan, M.; Radhakrishnan, K.V. Novel Flavonoids from the aerial parts of Unexplored and Endangered Wild nutmeg Species Myristica beddomei subsp. spherocarpa W.J. de Wilde. Phytochem. Lett. 2021, 45, 72–76. [Google Scholar] [CrossRef]
- Sivasothy, Y.; Loo, K.Y.; Leong, K.H.; Litaudon, M.; Awang, K. A potent alpha-glucosidase inhibitor from Myristica cinnamomea King. Phytochemistry 2016, 122, 265–269. [Google Scholar] [CrossRef] [PubMed]
- Sivasothy, Y.; Krishnan, T.; Chan, K.G.; Wahab, S.M.A.; Othman, M.A.; Litaudon, M.; Awang, K. Quorum Sensing Inhibitory Activity of Giganteone A from Myristica cinnamomea King against Escherichia coli Biosensors. Molecules 2016, 21, 391. [Google Scholar] [CrossRef]
- Abdul Wahab, S.M.; Sivasothy, Y.; Liew, S.Y.; Litaudon, M.; Mohamad, J.; Awang, K. Natural cholinesterase inhibitors from Myristica cinnamomea King. Bioorg. Med. Chem. Lett. 2016, 26, 3785–3792. [Google Scholar] [CrossRef]
- Megawati, M.; Darmawan, A. Resorcinol Compounds Isolated form the Bark of Myristica fatua Houtt. Indones. J. Pharm. 2017, 28, 82. [Google Scholar] [CrossRef]
- Prabha, B.; Sini, S.; Sherin, D.R.; Neethu, S.; Rameshkumar, K.B.; Manojkumar, T.K.; Jayamurthy, P.; Radhakrishnan, K.V. Promalabaricone B from Myristica fatua Houtt. seeds demonstrate antidiabetic potential by modulating glucose uptake via the upregulation of AMPK in L6 myotubes. Nat. Prod. Res. 2021, 35, 867–872. [Google Scholar] [CrossRef]
- Prabha, B.; Neethu, S.; Krishnan, S.L.; Sherin, D.R.; Madhukrishnan, M.; Ananthakrishnan, R.; Rameshkumar, K.B.; Manojkumar, T.K.; Jayamurthy, P.; Radhakrishnan, K.V. Antidiabetic potential of phytochemicals isolated from the stem bark of Myristica fatua Houtt. var. magnifica (Bedd.) Sinclair. Bioorg. Med. Chem. 2018, 26, 3461–3467. [Google Scholar] [CrossRef]
- Cuong, D.; Hung, T.M.; Han, H.Y.; Roh, H.S.; Seok, J.H.; Lee, J.K.; Jeong, J.Y.; Choi, J.S.; Kim, J.A.; Min, B.S. Potent acetylcholinesterase inhibitory compounds from Myristica fragrans. Nat. Prod. Commun. 2014, 9, 499–502. [Google Scholar] [CrossRef] [PubMed]
- Park, J.Y.; Hwan Lim, S.; Ram Kim, B.; Jae Jeong, H.; Kwon, H.J.; Song, G.Y.; Bae Ryu, Y.; Song Lee, W. Sialidase inhibitory activity of diarylnonanoid and neolignan compounds extracted from the seeds of Myristica fragrans. Bioorg. Med. Chem. Lett. 2017, 27, 3060–3064. [Google Scholar] [CrossRef]
- Sathya, S.; Amarasinghe, N.R.; Jayasinghe, L.; Araya, H.; Fujimoto, Y. Enzyme inhibitors from the aril of Myristica fragrans. S. Afr. J. Bot. 2020, 130, 172–176. [Google Scholar] [CrossRef]
- Tsukayama, I.; Kawakami, Y.; Tamenobu, A.; Toda, K.; Maruoka, S.; Nagasaki, Y.; Mori, Y.; Sawazumi, R.; Okamoto, K.; Kanzaki, K.; et al. Malabaricone C derived from nutmeg inhibits arachidonate 5-lipoxygenase activity and ameliorates psoriasis-like skin inflammation in mice. Free. Radic. Biol. Med. 2022, 193, 1–8. [Google Scholar] [CrossRef] [PubMed]
- Rastegari, A.; Manayi, A.; Rezakazemi, M.; Eftekhari, M.; Khanavi, M.; Akbarzadeh, T.; Saeedi, M. Phytochemical analysis and anticholinesterase activity of aril of Myristica fragrans Houtt. BMC Chem. 2022, 16, 106. [Google Scholar] [CrossRef]
- Shen, R.S.; Cao, D.; Chen, F.L.; Wu, X.J.; Gao, J.; Bai, L.P.; Zhang, W.; Jiang, Z.H.; Zhu, G.Y. New Monoterpene-Conjugated Phenolic Constituents from Nutmeg and Their Autophagy Modulating Activities. J. Agric. Food Chem. 2022, 70, 9684–9693. [Google Scholar] [CrossRef] [PubMed]
- Tyagi, M.; Patro, B.S.; Chattopadhyay, S. Mechanism of the malabaricone C-induced toxicity to the MCF-7 cell line. Free Radic. Res. 2014, 48, 466–477. [Google Scholar] [CrossRef] [PubMed]
- Manna, A.; de Sarkar, S.; De, S.; Bauri, A.K.; Chattopadhyay, S.; Chatterjee, M. The variable chemotherapeutic response of Malabaricone-A in leukemic and solid tumor cell lines depends on the degree of redox imbalance. Phytomedicine 2015, 22, 713–723. [Google Scholar] [CrossRef]
- Manna, A.; Bauri, A.; Chattopadhyay, S.; Chatterjee, M. Generation of Redox Imbalance Mediates the Cytotoxic Effect of Malabaricone-A in a Multidrug Resistant Cell Line. Anti-Cancer Agents Med. Chem. 2015, 15, 1156–1163. [Google Scholar] [CrossRef]
- Manna, A.; de Sarkar, S.; De, S.; Bauri, A.K.; Chattopadhyay, S.; Chatterjee, M. Impact of MAPK and PI3K/AKT signaling pathways on Malabaricone-A induced cytotoxicity in U937, a histiocytic lymphoma cell line. Int. Immunopharmacol. 2016, 39, 34–40. [Google Scholar] [CrossRef]
- Rathee, J.S.; Patro, B.S.; Brown, L.; Chattopadhyay, S. Mechanism of the anti-hypertensive property of the naturally occurring phenolic, malabaricone C in DOCA-salt rats. Free Radic. Res. 2016, 50, 111–121. [Google Scholar] [CrossRef]
- Basak, M.; Mahata, T.; Chakraborti, S.; Kumar, P.; Bhattacharya, B.; Bandyopadhyay, S.K.; Das, M.; Stewart, A.; Saha, S.; Maity, B. Malabaricone C attenuates nonsteroidal anti-inflammatory drug-induced gastric ulceration by decreasing oxidative/nitrative stress and inflammation and promoting angiogenic autohealing. Antioxid. Redox Signal. 2020, 32, 766–784. [Google Scholar] [CrossRef]
- Rajimol, P.R.; Ulaeto, S.B.; Puthiyamadam, A.; Neethu, S.; Rajan, T.P.D.; Radhakrishnan, K.V.; Sukumaran, R.K. Smart anticorrosive and antimicrobial multifunctional epoxy coating using bergenin and malabaricone C bio-nanocomposite dispersoids on mild steel and aluminium-6061 alloy. Prog. Org. Coat. 2022, 169, 106924. [Google Scholar] [CrossRef]
- Bauri, A.K.; Du, Y.; Brodie, P.J.; Foro, S.; Kingston, D.G.I. Anti-Proliferative Acyl Phenols and Arylnonanoids from the Fruit Rind of Myristica malabarica Lam. Chem. Biodivers. 2022, 19, e202200343. [Google Scholar] [CrossRef]
- Othman, M.A.; Sivasothy, Y.; Looi, C.Y.; Ablat, A.; Mohamad, J.; Litaudon, M.; Awang, K. Acylphenols and dimeric acylphenols from Myristica maxima Warb. Fitoterapia 2016, 111, 12–17. [Google Scholar] [CrossRef] [PubMed]
- Ragasa, C.Y.; Torres, O.B.; Tongco, J.V.V.; Razal, R.A.; Shen, C.-C. Resorcinols from Myristica philippensis Lam. J. Chem. Pharm. Res. 2013, 5, 614–616. [Google Scholar]
- Johnson, A.L.; Edson, K.Z.; Totah, R.A.; Rettie, A.E. Cytochrome P450 ω-Hydroxylases in Inflammation and Cancer. Adv. Pharmacol. 2015, 74, 223–262. [Google Scholar] [CrossRef] [PubMed]
- Tyagi, M.; Maity, B.; Saha, B.; Bauri, A.K.; Subramanian, M.; Chattopadhyay, S.; Patro, B.S. Spice-derived phenolic, malabaricone B induces mitochondrial damage in lung cancer cells via a p53-independent pathway. Food Funct. 2018, 9, 5715–5727. [Google Scholar] [CrossRef] [PubMed]
- Tyagi, M.; Bauri, A.K.; Chattopadhyay, S.; Patro, B.S. Thiol antioxidants sensitize malabaricone C induced cancer cell death via reprogramming redox sensitive p53 and NF-κB proteins in vitro and in vivo. Free Radic. Biol. Med. 2020, 148, 182–199. [Google Scholar] [CrossRef]
- Sivasothy, Y.; Leong, K.H.; Loo, K.Y.; Abdul Wahab, S.M.; Othman, M.A.; Awang, K. Giganteone A and malabaricone C as potential pharmacotherapy for diabetes mellitus. Nat. Prod. Res. 2022, 36, 1581–1586. [Google Scholar] [CrossRef]
- Huitema, K.; van den Dikkenberg, J.; Brouwers, J.F.H.M.; Holthuis, J.C.M. Identification of a family of animal sphingomyelin synthases. EMBO J. 2004, 23, 33–44. [Google Scholar] [CrossRef]
- Hanamatsu, H.; Ohnishi, S.; Sakai, S.; Yuyama, K.; Mitsutake, S.; Takeda, H.; Hashino, S.; Igarashi, Y. Altered levels of serum sphingomyelin and ceramide containing distinct acyl chains in young obese adults. Nutr. Diabetes 2014, 4, e141. [Google Scholar] [CrossRef] [PubMed]
- Kim, Y.J.; Greimel, P.; Hirabayashi, Y. GPRC5B-Mediated Sphingomyelin Synthase 2 Phosphorylation Plays a Critical Role in Insulin Resistance. iScience 2018, 8, 250–266. [Google Scholar] [CrossRef] [PubMed]
- Othman, M.A.; Yuyama, K.; Murai, Y.; Igarashi, Y.; Mikami, D.; Sivasothy, Y.; Awang, K.; Monde, K. Malabaricone C as Natural Sphingomyelin Synthase Inhibitor against Diet-Induced Obesity and Its Lipid Metabolism in Mice. ACS Med. Chem. Lett. 2019, 10, 1154–1158. [Google Scholar] [CrossRef]
- Sivasothy, Y.; Liew, S.Y.; Othman, M.A.; Abdul Wahab, S.M.; Hariono, M.; Mohd Nawi, M.S.; Abdul Wahab, H.; Awang, K. Natural DENV-2 NS2B/NS3 protease inhibitors from Myristica cinnamomea King. Trop. Biomed. 2021, 38, 79–84. [Google Scholar] [CrossRef] [PubMed]



Disclaimer/Publisher’s Note: The statements, opinions and data contained in all publications are solely those of the individual author(s) and contributor(s) and not of MDPI and/or the editor(s). MDPI and/or the editor(s) disclaim responsibility for any injury to people or property resulting from any ideas, methods, instructions or products referred to in the content. |
© 2023 by the authors. Licensee MDPI, Basel, Switzerland. This article is an open access article distributed under the terms and conditions of the Creative Commons Attribution (CC BY) license (https://creativecommons.org/licenses/by/4.0/).
Share and Cite
Othman, M.A.; Sivasothy, Y. Acylphenols and Dimeric Acylphenols from the Genus Myristica: A Review of Their Phytochemistry and Pharmacology. Plants 2023, 12, 1589. https://doi.org/10.3390/plants12081589
Othman MA, Sivasothy Y. Acylphenols and Dimeric Acylphenols from the Genus Myristica: A Review of Their Phytochemistry and Pharmacology. Plants. 2023; 12(8):1589. https://doi.org/10.3390/plants12081589
Chicago/Turabian StyleOthman, Muhamad Aqmal, and Yasodha Sivasothy. 2023. "Acylphenols and Dimeric Acylphenols from the Genus Myristica: A Review of Their Phytochemistry and Pharmacology" Plants 12, no. 8: 1589. https://doi.org/10.3390/plants12081589
APA StyleOthman, M. A., & Sivasothy, Y. (2023). Acylphenols and Dimeric Acylphenols from the Genus Myristica: A Review of Their Phytochemistry and Pharmacology. Plants, 12(8), 1589. https://doi.org/10.3390/plants12081589
