Plant-Growth Promoting Microbes Change the Photosynthetic Response to Light Quality in Spinach
Abstract
1. Introduction
2. Results
2.1. Effect of Light Quality and PGPM Application on Spinach Growth
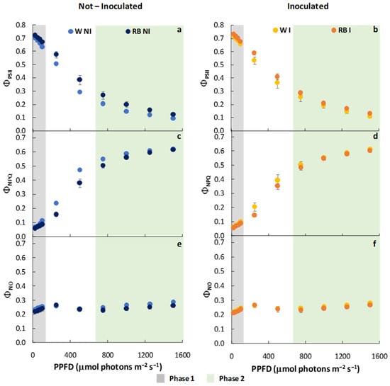
2.2. Effect of Light Quality and PGPM Application on Light Response Curve (LRC)
2.3. Effect of Light Quality and PGPM Application on CO2 Response Curve (CRC)
2.4. Effect of Light Quality and PGPM Application on SPAD and Photosynthetic Functional Traits of LRC
2.5. Effect of Light Quality and PGPM Application on Rubisco Protein
3. Discussion
3.1. Effect of Light Quality on Spinach Growth and Photosynthetic Performance
3.2. Effect of PGPM on Plant Growth and Photosynthesis
3.3. Light and PGPM on Growth and Photosynthesis
4. Material and Methods
4.1. Plant Growth Conditions
4.2. Biometrical Characteristics
4.3. Photosynthetic Response Curves
4.4. Rubisco Quantification
4.5. Statistical Analysis
5. Conclusions
Author Contributions
Funding
Institutional Review Board Statement
Informed Consent Statement
Data Availability Statement
Acknowledgments
Conflicts of Interest
References
- Ilić, Z.S.; Fallik, E. Light quality manipulation improves vegetable quality at harvest and postharvest: A review. Environ. Exp. Bot. 2017, 139, 79–90. [Google Scholar] [CrossRef]
- Paradiso, R.; Proietti, S. Light-Quality Manipulation to Control Plant Growth and Photomorphogenesis in Greenhouse Horticulture: The State of the Art and the Opportunities of Modern LED Systems. J. Plant. Growth Regul. 2022, 41, 742–780. [Google Scholar] [CrossRef]
- Landi, M.; Zivcak, M.; Sytar, O.; Brestic, M.; Allakhverdiev, S.I. Plasticity of photosynthetic processes and the accumulation of secondary metabolites in plants in response to monochromatic light environments: A review. Biochim. Biophys. Acta—Bioenergy 2020, 1861, 148131. [Google Scholar] [CrossRef] [PubMed]
- Sivakumar, D.; Jifon, J.; Soundy, P. Spectral quality of photo-selective shade nettings improves antioxidants and overall quality in selected fresh produce after postharvest storage. Food Rev. Int. 2018, 34, 290–307. [Google Scholar] [CrossRef]
- Hebert, D.; Boonekamp, J.; Parrish, C.H.; Ramasamy, K.; Makarov, N.S.; Castañeda, C.; Schuddebeurs, L.; McDaniel, H.; Bergren, M.R. Luminescent quantum dot films improve light use efficiency and crop quality in greenhouse horticulture. Front. Chem. 2022, 10, 988227. [Google Scholar] [CrossRef]
- Zhang, Q.; Bi, G.; Li, T.; Wang, Q.; Xing, Z.; Le Compte, J.; Harkess, R.L. Color Shade Nets Affect Plant Growth and Seasonal Leaf Quality of Camellia sinensis Grown in Mississippi, the United States. Front. Nutr. 2022, 9, 786421. [Google Scholar] [CrossRef]
- Wallace, C.; Both, A.J. Evaluating operating characteristics of light sources for horticultural applications. Acta Hortic. 2016, 1134, 435–444. [Google Scholar] [CrossRef]
- Vitale, E.; Velikova, V.; Tsonev, T.; Ferrandino, I.; Capriello, T.; Arena, C. The Interplay between Light Quality and Biostimulant Application Affects the Antioxidant Capacity and Photosynthetic Traits of Soybean (Glycine max L. Merrill). Plants 2021, 10, 861. [Google Scholar] [CrossRef]
- Izzo, L.G.; Hay Mele, B.; Vitale, L.; Vitale, E.; Arena, C. The role of monochromatic red and blue light in tomato early photomorphogenesis and photosynthetic traits. Environ. Exp. Bot. 2020, 179, 104195. [Google Scholar] [CrossRef]
- Smith, H.L.; Mc Ausland, L.; Murchie, E.H. Don’t ignore the green light: Exploring diverse roles in plant processes. J. Exp. Bot. 2017, 68, 2099–2110. [Google Scholar] [CrossRef]
- Xie, J.; Lou, X.; Lu, Y.; Huang, H.; Yang, Q.; Zhang, Z.; Zhao, W.; Li, Z.; Liu, H.; Du, S.; et al. Suitable light combinations enhance cadmium accumulation in Bidens ilosa L. by regulating the soil microbial communities. Environ. Exp. Bot. 2023, 205, 105128. [Google Scholar] [CrossRef]
- Banik, A.; Ashraf, M.A.; Govindan, G.; Arasu, M.V. Plant-growth promoting microbes: A Green approach to enhance crop productivity. Front. Agron. 2022, 4, 991329. [Google Scholar] [CrossRef]
- Basu, A.; Prasad, P.; Das, S.N.; Kalam, S.; Sayyed, R.Z.; Reddy, M.S.; Enshasy, H.E. Plant growth promoting rhizobacteria (PGPR) as green bioinoculants: Recent developments, constraints, and prospects. Sustainability 2021, 13, 1140. [Google Scholar] [CrossRef]
- Zehra, A.; Raytekar, N.A.; Meena, M.; Swapnil, P. Efficiency of microbial bio-agents as elicitors in plant defense mechanism under biotic stress: A review. Curr. Res. Microb. Sci. 2021, 2, 100054. [Google Scholar] [CrossRef] [PubMed]
- Petrillo, C.; Vitale, E.; Ambrosino, P.; Arena, C.; Isticato, R. Plant Growth-Promoting Bacterial Consortia as a Strategy to Alleviate Drought Stress in Spinacia oleracea. Microorganisms 2022, 10, 1798. [Google Scholar] [CrossRef] [PubMed]
- De Palma, M.; Scotti, R.; D’Agostino, N.; Zaccardelli, M.; Tucci, M. Phyto-Friendly Soil Bacteria and Fungi Provide Beneficial Outcomes in the Host Plant by Differently Modulating Its Responses through (In)Direct Mechanisms. Plants 2022, 11, 2672. [Google Scholar] [CrossRef] [PubMed]
- Müller, M.; Munné-Bosch, S. Hormonal impact on photosynthesis and photoprotection in plants. Plant. Physiol. 2021, 185, 1500–1522. [Google Scholar] [CrossRef]
- Eid, A.M.; Fouda, A.; Abdel-Rahman, M.A.; Salem, S.S.; Elsaied, A.; Oelmüller, R.; Hijri, M.; Bhowmik, A.; Elkelish, A.; Hassan, S.E. Harnessing Bacterial Endophytes for Promotion of Plant Growth and Biotechnological Applications: An Overview. Plants 2021, 7, 935. [Google Scholar] [CrossRef]
- Al-Arjania, A.B.F.; Hashemab, A.; Abd_Allah, E.F. Arbuscular mycorrhizal fungi modulates dynamics tolerance expression to mitigate drought stress in Ephedra foliate Boiss. Saudi J. Biol. Sci. 2020, 27, 380–394. [Google Scholar] [CrossRef]
- Carvalho, S.D.; Castillo, J.A. Influence of Light on Plant–Phyllosphere Interaction. Front. Plant. Sci. 2018, 9, 1482. [Google Scholar] [CrossRef]
- Alsanius, B.W.; Karlsson, M.; Rosberg, A.K.; Martine, D.; Naznin, M.T.; Khalil, S.; Bergstrand, K.J. Light and Microbial Lifestyle: The Impact of Light Quality on Plant–Microbe Interactions in Horticultural Production Systems—A Review. Horticulturae 2019, 5, 41. [Google Scholar] [CrossRef]
- Agarwal, A.; Dutta Gupta, S.; Barman, M.; Mitra, A. Photosynthetic apparatus plays a central role in photosensitive physiological acclimations affecting spinach (Spinacia oleracea L.) growth in response to blue and red photon flux ratios. Environ. Exp. Bot. 2018, 156, 170–182. [Google Scholar] [CrossRef]
- Liu, J.; van Iersel, M.W. Photosynthetic Physiology of Blue, Green, and Red Light: Light Intensity Effects and Underlying Mechanisms. Front. Plant. Sci. 2021, 12, 619987. [Google Scholar] [CrossRef] [PubMed]
- Correia, C.; Magnani, F.; Pastore, C.; Cellini, A.; Donati, I.; Pennisi, G.; Paucek, I.; Orsini, F.; Vandelle, E.; Santos, C.; et al. Red and Blue Light Differently Influence Actinidia chinensis Performance and Its Interaction with Pseudomonas syringae pv. Actinidiae. Int. J. Mol. Sci. 2022, 23, 13145. [Google Scholar] [CrossRef]
- Moosavi-Nezhad, M.; Salehi, R.; Aliniaeifard, S.; Tsaniklidis, G.; Woltering, E.J.; Fanourakis, D.; Zuk-Gołaszewska, K.; Kalaji, H.M. Blue Light Improves Photosynthetic Performance during Healing and Acclimatization of Grafted Watermelon Seedlings. Int. J. Mol. Sci. 2021, 22, 8043. [Google Scholar] [CrossRef] [PubMed]
- Li, Y.; Xin, G.; Liu, C.; Shi, O.; Yang, F.; Wei, M. Effects of red and blue light on leaf anatomy, CO2 assimilation and the photosynthetic electron transport capacity of sweet pepper (Capsicum annuum L.) seedlings. BMC Plant. Biol. 2020, 20, 318. [Google Scholar] [CrossRef] [PubMed]
- Kumar, M.; Poonam; Ahmad, S.; Singh, R.P. Plant growth promoting microbes: Diverse roles for sustainable and eco-friendly agriculture. Energy Nexus 2022, 7, 100133. [Google Scholar] [CrossRef]
- Vitale, L.; Vitale, E.; Guercia, G.; Turano, M.; Arena, C. Effects of different light quality and biofertilizers on structural and physiological traits of spinach plants. Photosynthetica 2020, 58, 932–943. [Google Scholar] [CrossRef]
- Cheng, L.; Fuchigami, L.H. Rubisco activation state decreases with increasing nitrogen content in apple leaves. J. Exp. Bot. 2000, 51, 1687–1694. [Google Scholar] [CrossRef]
- Evans, J.R.; Takashima, T. Photosynthetic Characteristics of Spinach Leaves Grown with Different Nitrogen Treatments. Plant. Cell Physiol. 1988, 29, 157–165. [Google Scholar]
- Von Caemmerer, S.; Farquhar, G.D. Some relationships between the biochemistry of photosynthesis and the gas exchange of leaves. Planta 1981, 153, 376–387. [Google Scholar] [CrossRef] [PubMed]
- Genty, B.; Briantais, J.M.; Baker, N.R. The relationship between the quantum yield of the photosynthetic electron transport and quenching of chlorophyll fluorescence. Biochim. Biophys. Acta—Gen. Subj. 1989, 990, 87–92. [Google Scholar] [CrossRef]
- Kramer, D.M.; Johnson, G.; Kiirats, O.; Edwards, G.E. New fluorescence parameters for the determination of QA redox state and excitation energy fluxes. Photosynth. Res. 2004, 79, 209–218. [Google Scholar] [CrossRef] [PubMed]
- Krall, J.P.; Edwards, G.E. Relationship between photosystem II activity and CO2 fixation in leaves. Physiol. Plant. 1992, 86, 180–187. [Google Scholar] [CrossRef]
- Wang, W.; Vignani, R.; Scali, M.; Crest, M. A universal and rapid protocol for protein extraction from recalcitrant plant tissue for proteomic analysis. Electrophoresis 2006, 27, 2782–2786. [Google Scholar] [CrossRef]
- Vitale, E.; Velikova, V.; Tsonev, T.; Costanzo, G.; Paradiso, R.; Arena, C. Manipulation of light quality is an effective tool to regulate photosynthetic capacity and fruit antioxidant properties of Solanum lycopersicum L. cv. ‘Microtom’ in a controlled environment. PeerJ 2022, 10, e13677. [Google Scholar] [CrossRef]






| Leaf Number | Total Leaf Area | S/B | R/B | |
|---|---|---|---|---|
| LQ | ||||
| W | 14 ± 0.9 a | 60 ± 3.7 a | 0.74 ± 0.03 a | 0.28 ± 0.03 b |
| RB | 13 ± 0.9 a | 49 ± 2.9 b | 0.62 ± 0.03 b | 0.50 ± 0.06 a |
| PGPM | ||||
| NI | 13 ± 0.6 a | 55 ± 2.9 a | 0.73 ± 0.04 a | 0.36 ± 0.07 a |
| I | 14 ± 1.2 a | 53 ± 5.2 a | 0.63 ± 0.012 b | 0.42 ± 0.03 a |
| Condition | ||||
| W-NI | 13 ± 0.4 a | 58 ± 3.9 a | 0.82 ± 0.03 a | 0.22 ± 0.05 b |
| RB-NI | 13 ± 0.9 a | 52 ± 3.6bc | 0.64 ± 0.05 b | 0.49 ± 0.12 a |
| W-I | 15 ± 1.3 a | 62 ± 0.9 a | 0.66 ± 0.01 b | 0.34 ± 0.01 b |
| RB-I | 13 ± 1.1 a | 45 ± 3.4 c | 0.60 ± 0.01 b | 0.51 ± 0.02 a |
| Significance | ||||
| LQ | NS | ** | ** | ** |
| PGPM | NS | NS | ** | NS |
| LQ x PGPM | NS | NS | NS | NS |
| Light Response Curve | |||||||
|---|---|---|---|---|---|---|---|
| PN (LRC) | gs | Ci/Ca | WUEi | ΦPSII | ΦNPQ | ΦNO | |
| Light | |||||||
| W | a | b | a | a | a | a | a |
| RB | a | a | a | a | a | a | b |
| PGPM | |||||||
| NI | b | b | a | a | a | a | a |
| I | a | a | a | a | a | a | b |
| Significance | |||||||
| LQ | NS | *** | NS | NS | NS | NS | ** |
| PGPM | * | *** | NS | NS | NS | NS | ** |
| LQ × PGPM | NS | *** | NS | NS | NS | NS | ** |
| Phase 1 | |||||||
| PN (LRC) | gs | Ci/Ca | WUEi | ΦPSII | ΦNPQ | ΦNO | |
| Light | |||||||
| W | a | b | a | a | a | a | a |
| RB | a | a | a | a | a | a | b |
| PGPM | |||||||
| NI | a | b | b | a | a | a | a |
| I | a | a | a | b | a | a | a |
| Combination | |||||||
| W-NI | c | c | b | a | c | ab | a |
| W-I | b | a | a | bc | ab | ab | a |
| RB-NI | ab | b | b | b | bc | b | b |
| RB-I | a | a | a | c | a | a | b |
| Significance | |||||||
| LQ | NS | *** | NS | NS | NS | NS | ** |
| PGPM | NS | *** | ** | ** | NS | NS | NS |
| LQ × PGPM | * | * | * | * | * | * | NS |
| Phase 2 | |||||||
| PN (LRC) | gs | Ci/Ca | WUEi | ΦPSII | ΦNPQ | ΦNO | |
| Light | |||||||
| W | b | b | a | a | a | a | a |
| RB | a | a | a | a | a | a | b |
| PGPM | |||||||
| NI | b | b | b | a | b | a | a |
| I | a | a | a | b | a | b | b |
| Combination | |||||||
| W-NI | d | d | b | a | c | ab | a |
| W-I | c | b | a | bc | ab | ab | b |
| RB-NI | b | c | b | b | b | b | b |
| RB-I | a | a | a | c | a | a | b |
| Significance | |||||||
| LQ | *** | *** | NS | NS | NS | NS | * |
| PGPM | *** | *** | *** | *** | * | * | * |
| LQ × PGPM | * | *** | NS | NS | NS | NS | * |
| CO2 Response Curve | ||
|---|---|---|
| PN (CRC) | Jf | |
| Light | ||
| W | a | b |
| RB | a | a |
| PGPM | ||
| NI | a | b |
| I | a | a |
| Significance | ||
| LQ | NS | * |
| PGPM | NS | ** |
| LQ × PGPM | NS | * |
| Phase 1 | ||
| PN (CRC) | Jf | |
| Light | ||
| W | a | b |
| RB | a | a |
| PGPM | ||
| NI | b | b |
| I | a | a |
| Combination | ||
| W-NI | c | c |
| W-I | b | b |
| RB-NI | ab | b |
| RB-I | a | a |
| Significance | ||
| LQ | NS | * |
| PGPM | * | *** |
| LQ × PGPM | * | * |
| Phase 2 | ||
| PN (CRC) | Jf | |
| Light | ||
| W | a | a |
| RB | a | a |
| PGPM | ||
| NI | b | b |
| I | a | a |
| Combination | ||
| W-NI | c | c |
| W-I | a | ab |
| RB-NI | b | bc |
| RB-I | a | a |
| Significance | ||
| LQ | NS | NS |
| PGPM | * | *** |
| LQ × PGPM | NS | NS |
| SPAD | Fv/Fm | Rd | PNmax | Qpp | |
|---|---|---|---|---|---|
| LQ | |||||
| W | 63 ± 1.2 a | 0.772 ± 0.004 a | −2.11 ± 0.05 a | 13.2 ± 0.64 b | 0.089 ± 0.002 b |
| RB | 60 ± 0.9 a | 0.774 ± 0.005 a | −2.34 ± 0.05 b | 15.3 ± 0.49 a | 0.098 ± 0.001 a |
| PGPM | |||||
| NI | 63 ± 0.8 a | 0.770 ± 0.003 a | −2.27 ± 0.07 a | 12.8 ± 0.47 b | 0.090 ± 0.003 b |
| I | 61 ± 1.3 a | 0.777 ± 0.004a | −2.18 ± 0.12 a | 15.7 ± 0.46 a | 0.096 ± 0.002 a |
| Condition | |||||
| W-NI | 64 ± 1.1 a | 0.766 ± 0.001 a | −2.32 ± 0.14 ab | 11.4 ± 0.16 d | 0.084 ± 0.002 b |
| RB-NI | 62 ± 1.3 a | 0.772 ± 0.006 a | −2.22 ± 0.06 ab | 14.1 ± 0.26 c | 0.097 ± 0.002 a |
| W-I | 63 ± 2.2 a | 0.77 ± 0.006 a | −1.90 ± 0.15 a | 14.9 ± 0.20 b | 0.093 ± 0.003 a |
| RB-I | 59 ± 1.1 a | 0.77 ± 0.006 a | −2.46 ± 0.02 b | 16.6 ± 0.52 a | 0.099 ± 0.001 a |
| Significance | |||||
| LQ | NS | NS | * | *** | * |
| PGPM | NS | NS | NS | *** | *** |
| LQ × PGPM | NS | NS | * | * | * |
Disclaimer/Publisher’s Note: The statements, opinions and data contained in all publications are solely those of the individual author(s) and contributor(s) and not of MDPI and/or the editor(s). MDPI and/or the editor(s) disclaim responsibility for any injury to people or property resulting from any ideas, methods, instructions or products referred to in the content. |
© 2023 by the authors. Licensee MDPI, Basel, Switzerland. This article is an open access article distributed under the terms and conditions of the Creative Commons Attribution (CC BY) license (https://creativecommons.org/licenses/by/4.0/).
Share and Cite
Vitale, L.; Vitale, E.; Francesca, S.; Lorenz, C.; Arena, C. Plant-Growth Promoting Microbes Change the Photosynthetic Response to Light Quality in Spinach. Plants 2023, 12, 1149. https://doi.org/10.3390/plants12051149
Vitale L, Vitale E, Francesca S, Lorenz C, Arena C. Plant-Growth Promoting Microbes Change the Photosynthetic Response to Light Quality in Spinach. Plants. 2023; 12(5):1149. https://doi.org/10.3390/plants12051149
Chicago/Turabian StyleVitale, Luca, Ermenegilda Vitale, Silvana Francesca, Christian Lorenz, and Carmen Arena. 2023. "Plant-Growth Promoting Microbes Change the Photosynthetic Response to Light Quality in Spinach" Plants 12, no. 5: 1149. https://doi.org/10.3390/plants12051149
APA StyleVitale, L., Vitale, E., Francesca, S., Lorenz, C., & Arena, C. (2023). Plant-Growth Promoting Microbes Change the Photosynthetic Response to Light Quality in Spinach. Plants, 12(5), 1149. https://doi.org/10.3390/plants12051149

