Phytochemical Investigation of Myrcianthes cisplatensis: Structural Characterization of New p-Coumaroyl Alkylphloroglucinols and Antimicrobial Evaluation against Staphylococcus aureus
Abstract
:1. Introduction
2. Results and Discussion
2.1. Antibacterial Assessment of Methanolic Extract and First Purification Step
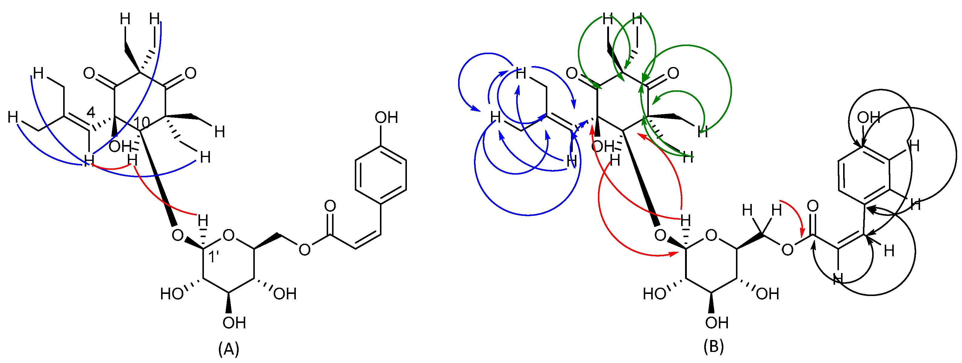
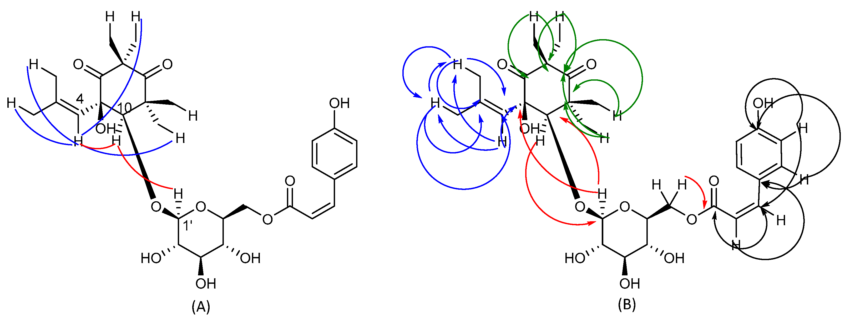
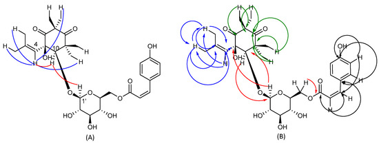
2.2. Purification of MYR_A and NMR Characterization of p-Coumaroyl Alkylphloroglucinols
2.3. The 2D-NMR Characterization of MYR_B
2.4. Antimicrobial Assessment of Pure Compounds
3. Materials and Methods
3.1. Plant Material
3.2. General Chromatographic Procedures
3.3. NMR Experiments
3.4. High-Resolution MS and MS/MS Analysis
3.5. Compound Purification
3.6. Antimicrobial Test
3.6.1. Microorganism and Growth Conditions
3.6.2. Susceptibility Assay on Bacteria Planktonic Cells
3.6.3. Statistical Analysis
4. Conclusions
Supplementary Materials
Author Contributions
Funding
Data Availability Statement
Conflicts of Interest
References
- Landrum, L.R.; Kawasaki, M.L. The genera of Myrtaceae in Brazil: An illustrated synoptic treatment and identification keys. Brittonia 1997, 49, 508–536. [Google Scholar] [CrossRef]
- Parra-O, C.; Bohórquez-Osorio, A.F. Effectiveness of DNA barcoding markers in the description of a new and unusual calyptrate species of Myrcianthes (Myrtaceae). Phytotaxa 2016, 284, 203–210. [Google Scholar] [CrossRef]
- Loayza, A.P.; Luna, C.A.; Calvino-Cancela, M. Predators and dispersers: Context-dependent outcomes of the interactions between rodents and a megafaunal fruit plant. Sci. Rep. 2020, 10, 6106. [Google Scholar] [CrossRef] [PubMed]
- Thornhill, A.H.; Ho, S.Y.; Külheim, C.; Crisp, M.D. Interpreting the modern distribution of Myrtaceae using a dated molecular phylogeny. Mol. Phylogenet. 2015, 93, 29–43. [Google Scholar] [CrossRef] [PubMed]
- Rotman, A.D. Las especies argentinas del género Myrcianthes (Myrtaceae). Darwiniana 1979, 22, 109–123. [Google Scholar]
- Montenegro, P. Materia Médica Misionera. Herbolario Guaraní Siglo XVII; Buena Vista Editores: Córdoba, Spain, 2009; 436p. [Google Scholar]
- Lorenzo, D.; Eduardo Dellacassa, E.; Ivana Bonaccorsi, I.; Mondello, L. Uruguayan essential oils. Composition of leaf oil of Myrcianthes cisplatensis (Camb.) Berg. (‘Guayabo colorado’) (Myrtaceae). Flavour Fragr. J. 2001, 16, 97–99. [Google Scholar] [CrossRef]
- Zygadlo, J.A.; Rotman, A.D.; Perez Alonso, M.J.; Negueruela, A.V. Leaf Oils of Two Myrcianthes Species from Argentina: M. pungens (Berg.) Legrand and M. cisplatensis (Camb.) Berg. J. Essent. 1997, 9, 237–239. [Google Scholar] [CrossRef]
- D’Amico, E.; Barneche, S.; Cerdeiras, M.P.; Vázquez, A. Identification of a Bioactive Compound from Myrcianthes cisplatensis. Pharmacogn. J. 2011, 3, 18–20. [Google Scholar] [CrossRef]
- Celaj, O.; Duràn, A.G.; Cennamo, P.; Scognamiglio, M.; Fiorentino, A.; Esposito, A.; D’Abrosca, B. Phloroglucinols from Myrtaceae: Attractive targets for structural characterization, biological properties and synthetic procedures. Phytochem. Rev. 2020, 20, 259–299. [Google Scholar] [CrossRef]
- Cao, J.Q.; Huang, X.J.; Li, Y.T.; Wang, Y.; Wang, L.; Jiang, R.W.; Ye, W.C. Callistrilones A and B, triketone–phloroglucinol–monoterpene hybrids with a new skeleton from Callistemon rigidus. Org. Lett. 2016, 18, 120–123. [Google Scholar] [CrossRef]
- Leejae, S.; Taylor, P.W.; Voravuthikunchai, S.P. Antibacterial mechanisms of rhodomyrtone against important hospital-acquired antibiotic-resistant pathogenic bacteria. J. Med. Microbiol. 2013, 62, 78–85. [Google Scholar] [CrossRef] [PubMed]
- Faqueti, L.G.; Farias, I.V.; Sabedot, E.C.; Delle Monache, F.; San Feliciano, A.; Schuquel, I.T.; Cechinel-Filho, V.; Cruz, A.B.; Meyre-Silva, C. Macrocarpallike compounds from Eugenia umbelliflora fruits and their antibacterial activity. J. Agric. Food Chem. 2015, 63, 8151–8155. [Google Scholar] [CrossRef] [PubMed]
- Guzzo, F.; Durán, A.G.; Sanna, C.; Marasco, R.; Molfetta, N.; Buommino, E.; Fiorentino, A.; D’Abrosca, B. Gallomyrtucommulones G and H, New Phloroglucinol Glycosides, from Bioactive Fractions of Myrtus communis against Staphylococcus Species. Molecules. 2022, 27, 7109. [Google Scholar] [CrossRef] [PubMed]
- Guzzo, F.; Scognamiglio, M.; Fiorentino, A.; Buommino, E.; D’Abrosca, B. Plant derived natural products against Pseudomonas aeruginosa and Staphylococcus aureus: Antibiofilm activity and molecular mechanism. Molecules 2020, 25, 5024. [Google Scholar] [CrossRef] [PubMed]
- Appendino, G.; Maxia, L.; Bettoni, P.; Locatelli, M.; Valdivia, C.; Ballero, M.; Stayry, M.; Gibbons, S.; Sterner, O. Antibacterial galloylated alkylphloroglucinol glucosides from Myrtle (Myrtus communis). J. Nat. Prod. 2006, 69, 251–254. [Google Scholar] [CrossRef]
- Najjar, F.; Gorrichon, L.; Baltas, M.; Andrè-Barres, C.; Vial, H. Alkylation of natural endoperoxide G3-factor. Synthesis and antimalarial activity studies. Org. Biomol. Chem. 2005, 3, 1612–1614. [Google Scholar] [CrossRef]
- Garazd, M.M.; Muzychka, O.V.; Vovk, A.I. Modified coumarins. 27. Synthesis and antioxidant activity of 3-substitued 5,7-dihydroxy-4-methylcoumarins. Chem. Nat. Compd. 2007, 43, 19–23. [Google Scholar] [CrossRef]
- D’Abrosca, B.; Lavorgna, M.; Scognamiglio, M.; Russo, C.; Graziani, V.; Piscitelli, C.; Fiorentino, A.; Isidori, M. 2D-NMR investigation and in vitro evaluation of antioxidant, antigenotoxic and estrogenic/antiestrogenic activities of strawberry grape. Food Chem. Toxicol. 2017, 105, 52–60. [Google Scholar] [CrossRef]
- Toporkova, Y.Y.; Bessolitsyna, E.K.; Smirnova, E.O.; Gorina, S.S.; Petrova, O.E.; Mukhtarova, L.S.; Grechkin, A.N. Antimicrobial activity of geometric isomers of Etherolenic acid—The products of Plants Lipoxygenase Cascade. Biochem. Mol. Biol. Educ. 2018, 480, 117–120. [Google Scholar] [CrossRef] [PubMed]
- Donkor, I.O.; Clark, A.M. In vitro antimicrobial activity of aromatic diamidines and diimidazolines related to pentamidine. Eur. J. Med. Chem. 1999, 34, 639–643. [Google Scholar] [CrossRef]
- Griffin, S.G.; Wyllie, S.G.; Markham, J.L.; Leach, D.N. The role of structure and molecular properties of terpenoids in determining their antimicrobial activity. Flavour Fragr. J. 1999, 14, 322–332. [Google Scholar] [CrossRef]
- Russo, R.; Rega, C.; Caporale, A.; Tonon, G.; Scaramuzza, S.; Selis, F.; Ruvo, M.; Chambery, A. Ultra-performance liquid chromatography/multiple reaction monitoring mass spectrometry quantification of trastuzumab in human serum by selective monitoring of a specific peptide marker from the antibody complementarity-determining regions. Rapid Commun. Mass Spectrom. 2017, 31, 1184–1192. [Google Scholar] [CrossRef] [PubMed]






| p-Coumaroylmyrciacommulone A (1) | p-Coumaroylmyrciacommulone B (2) | |||||||
|---|---|---|---|---|---|---|---|---|
| Position | δc (Type) | δH (J in Hz) | HMBC (H→C) | NOESY | δc (Type) | δH (J in Hz) | HMBC (H→C) | NOESY |
| 1 | 27.3 (CH3) | 1.68 s | 3,4 | 27.6 (CH3) | 1.70 s | 2,3,4 | ||
| 2 | 20.1 (CH3) | 1.77 s | 3,4 | 20.2 (CH3) | 1.78 s | 1,3,4 | ||
| 3 | 145.9 (C) | - | - | 145.5 (C) | - | - | ||
| 4 | 118.7 (CH) | 5.10 s | 1,2,5 | 1,12,10 | 118.6 (CH) | 5.10 s | 1,2,5 | 1,10,12,14 |
| 5 | 83.4 (C) | - | - | 81.6 (C) | - | - | ||
| 6 | 211.2 (C) | - | - | 214.8 (C) | - | - | ||
| 7 | 48.7 (C) | - | - | 48.9 (C) | - | - | ||
| 8 | 216.7 (C) | - | - | 209.6 (C) | - | - | ||
| 9 | 57.3 (C) | - | - | 56.8 (C) | - | - | ||
| 10 | 89.1 (CH) | 3.95 s | 4,5,6,7,8, 13,1′ | 2,4,12,1′ | 89.7 (CH) | 3.91 s | 4,5,6,7,8, 11,1′ | 2,4,12,1′ |
| 11 | 27.2 (CH3) | 1.26 s | 5,8,7,10,12 | 27.7 (CH3) | 1.20 s | 7,8,10,12 | ||
| 12 | 28.7 (CH3) | 1.31 s | 6,7,10,11 | 28.6 (CH3) | 1.28 s | 6,7,10,11 | ||
| 13 | 26.1 (CH3) | 1.31 s | 8,9,10,14 | 26.8 (CH3) | 1.31 s | 6,8,9,14 | ||
| 14 | 25.3 (CH3) | 1.23 s | 6,8,9,10,13 | 26.1 (CH3) | 1.23 s | 6,8,9,11 | ||
| 1′ | 106.4 (CH) | 4.60 d (8.1) | 5,10 | 10 | 106.8 (CH) | 4.55 d (7.8) | 5,10 | 10 |
| 2′ | 75.2 (CH) | 3.19 dd (8.4, 8.1) | 75.9 (CH) | 3.18 dd (7.8, 9.0) | ||||
| 3′ | 78.3 (CH) | 3.37 ov | 78.2 (CH) | 3.37 ov | ||||
| 4′ | 71.8 (CH) | 3.30 ov | 72.0 (CH) | 3.25 ov | ||||
| 5′ | 75.5 (CH) | 3.54 ov | 75.4 (CH) | 3.49 ov | ||||
| 6′ | 64.2 (CH2) | 4.51 dd (3.0, 12.3); 4.37 dd (6.9, 12.3) | 9″ | 64.3 (CH2) | 4.49 dd (2.1, 12.0); 4.32 dd (7.2, 12.0) | 9″ | ||
| 1″ | 127.0 (C) | - | 127.3 (C) | - | ||||
| 2″ | 116.9 (CH) | 6.81 d (8.4) | 1″,4″ | 3″,5″ | 116.1 (CH) | 6.76 d (8.7) | 1″,4″ | 3″,5″ |
| 3″ | 131.0 (CH) | 7.46 d (8.4) | 2″,4″, 6″,7″,9″ | 2″,6″,8″ | 134.1 (CH) | 7.67 d (8.7) | 2″,4″,6″, 7″,9″ | 2″,6″,7″ |
| 4″ | 162.6 (C) | - | 160.5 (C) | - | ||||
| 5″ | 131.0 (CH) | 7.46 d (8.4) | 2″, 4″, 6″,7″,9″ | 2″,6″,8″ | 134.1 (CH) | 7.67 d (8.7) | 2″,4″,6″, 7″,9″ | 2″,6″,7″ |
| 6″ | 116.9 (CH) | 6.81 d (8.4) | 1″,4″ | 3″,5″ | 116.1 (CH) | 6.76 d (8.7) | 1″,4″ | 3″,5″ |
| 7″ | 146.8 (CH) | 7.63 d (15.9) | 1″,3″,8″,9″ | 3″,5″,8″ | 145.7 (CH) | 6.88 d (12.3) | 8″,9″ | 3″,5″,8″ |
| 8″ | 114.6 (CH) | 6.35 d (15.9) | 1″,9″ | 3″,5″ | 116.4 (CH) | 5.78 d (12.3) | 1″,7″,9″ | 7″ |
| 9″ | 169.1 (C) | - | 168.2 (C) | - | ||||
| p-Coumaroylmyrciacommulone C (3) | p-Coumaroylmyrciacommulone D (4) | |||||
|---|---|---|---|---|---|---|
| Position | δc (Type) | δH (J in Hz) | HMBC (H→C) | δc (Type) | δH (J in Hz) | HMBC (H→C) |
| 1 | 25.5 (CH3) | 0.88 d (6.6) | 1,4 | 25.5 (CH3) | 0.88 d (6.6) | 1,4 |
| 2 | 25.6 (CH3) | 0.93 d (6.6) | 2,4 | 25.6 (CH3) | 0.93 d (6.6) | 2,4 |
| 3 | 25.7 (CH) | 1.61 m | 2,4,5 | 25.7 (CH) | 1.61 m | 2,4,5 |
| 4 | 45.3 (CH2) | 1.90 dd (2.1, 6.1) | 3,5,6 | 45.3 (CH2) | 1.90 dd (2.1, 6.1) | 3,5,6 |
| 5 | 85.9 (C) | - | - | 85.9 (C) | - | - |
| 6 | 212.5 (C) | - | - | 212.5 (C) | - | - |
| 7 | 50.4 (C) | - | - | 50.4 (C) | - | - |
| 8 | 214.5 (C) | - | - | 214.5 (C) | - | - |
| 9 | 51.2 (C) | - | - | 51.2 (C) | - | - |
| 10 | 87.3 (CH) | 3.93 s | 6,8,9,13,14,1′ | 86.9 (CH) | 3.87 s | 6,8,9,13,14,1′ |
| 11 | 26.6 (CH3) | 1.17 s | 6,7,8,12 | 26.6 (CH3) | 1.17 s | 6,7,8,12 |
| 12 | 27.4 (CH3) | 1.22 s | 7,10,11 | 27.4 (CH3) | 1.22 s | 7,10,11 |
| 13 | 23.2 (CH3) | 1.36 s | 8,9,10,11 | 23.2 (CH3) | 1.36 s | 8,9,10,11 |
| 14 | 25.2 (CH3) | 1.23 s | 7,8,10,13 | 25.2 (CH3) | 1.23 s | 7,8,10,13 |
| 1′ | 106.2 (CH) | 4.48 d (7.3) | 10 | 106.2 (CH) | 4.48 d (7.3) | 10 |
| 2′ | 76.6 (CH) | 3.21 t | 76.6 (CH) | 3.21 t | ||
| 3′ | 78.2 (CH) | 3.37 ov | 78.2 (CH) | 3.37 ov | ||
| 4′ | 72.6 (CH) | 3.30 ov | 72.6 (CH) | 3.30 ov | ||
| 5′ | 75.6 (CH) | 3.54 ov | 75.6 (CH) | 3.54 ov | ||
| 6′ | 65.3 (CH2) | 4.56 dd (2.2, 12.0); 4.35 dd (7.0, 12.0) | 9″ | 65.3 (CH2) | 4.56 dd (2.2, 12.0); 4.35 dd (7.0, 12.0) | |
| 1″ | 130.8 (C) | - | 127.1 ( C ) | - | ||
| 2″ | 118.0 (CH) | 6.80 d (8.4) | 3″,4″ | 116.8 (CH) | 6.76 d (8.4) | 1″,4″ |
| 3″ | 132.0 (CH) | 7.44 d (8.4) | 1″,2″,4″,7″ | 134.4 (CH) | 7.67 d (8.4) | 1″,4″,7″,9″ |
| 4″ | 160.8 (C) | - | 160.3 (C) | - | ||
| 5″ | 132.0 (CH) | 7.44 d (8.4) | 1″,2″,4″,7″ | 134.4 (CH) | 7.67 d (8.4) | 1″,4″,7″, 9″ |
| 6″ | 118.0 (CH) | 6.80 d (8.4) | 3″,4″ | 116.8 (CH) | 6.76 d (8.4) | 1″,4″ |
| 7″ | 147.6 (CH) | 7.63 d (16.1) | 1″,8″,9″ | 145.8 (CH) | 6.87 d (12.6) | 3″,5″ |
| 8″ | 115.7 (CH) | 6.32 d (16.1) | 1″,7″,9″ | 116.5 (CH) | 5.77 d (12.6) | 1″,9″ |
| 9″ | 168.9 (C) | - | 168.9 (C) | - | ||
Disclaimer/Publisher’s Note: The statements, opinions and data contained in all publications are solely those of the individual author(s) and contributor(s) and not of MDPI and/or the editor(s). MDPI and/or the editor(s) disclaim responsibility for any injury to people or property resulting from any ideas, methods, instructions or products referred to in the content. |
© 2023 by the authors. Licensee MDPI, Basel, Switzerland. This article is an open access article distributed under the terms and conditions of the Creative Commons Attribution (CC BY) license (https://creativecommons.org/licenses/by/4.0/).
Share and Cite
Guzzo, F.; Buommino, E.; Landrum, L.; Russo, R.; Lembo, F.; Fiorentino, A.; D’Abrosca, B. Phytochemical Investigation of Myrcianthes cisplatensis: Structural Characterization of New p-Coumaroyl Alkylphloroglucinols and Antimicrobial Evaluation against Staphylococcus aureus. Plants 2023, 12, 1046. https://doi.org/10.3390/plants12051046
Guzzo F, Buommino E, Landrum L, Russo R, Lembo F, Fiorentino A, D’Abrosca B. Phytochemical Investigation of Myrcianthes cisplatensis: Structural Characterization of New p-Coumaroyl Alkylphloroglucinols and Antimicrobial Evaluation against Staphylococcus aureus. Plants. 2023; 12(5):1046. https://doi.org/10.3390/plants12051046
Chicago/Turabian StyleGuzzo, Francesca, Elisabetta Buommino, Leslie Landrum, Rosita Russo, Francesca Lembo, Antonio Fiorentino, and Brigida D’Abrosca. 2023. "Phytochemical Investigation of Myrcianthes cisplatensis: Structural Characterization of New p-Coumaroyl Alkylphloroglucinols and Antimicrobial Evaluation against Staphylococcus aureus" Plants 12, no. 5: 1046. https://doi.org/10.3390/plants12051046
APA StyleGuzzo, F., Buommino, E., Landrum, L., Russo, R., Lembo, F., Fiorentino, A., & D’Abrosca, B. (2023). Phytochemical Investigation of Myrcianthes cisplatensis: Structural Characterization of New p-Coumaroyl Alkylphloroglucinols and Antimicrobial Evaluation against Staphylococcus aureus. Plants, 12(5), 1046. https://doi.org/10.3390/plants12051046

