Agronomic, Physicochemical, Aromatic and Sensory Characterization of Four Sweet Cherry Accessions of the Campania Region
Abstract
1. Introduction
2. Results and Discussions
2.1. Morpho-Physiological Descriptions
2.2. Morpho-Physiological, Physicochemical and Sensorial Analyses
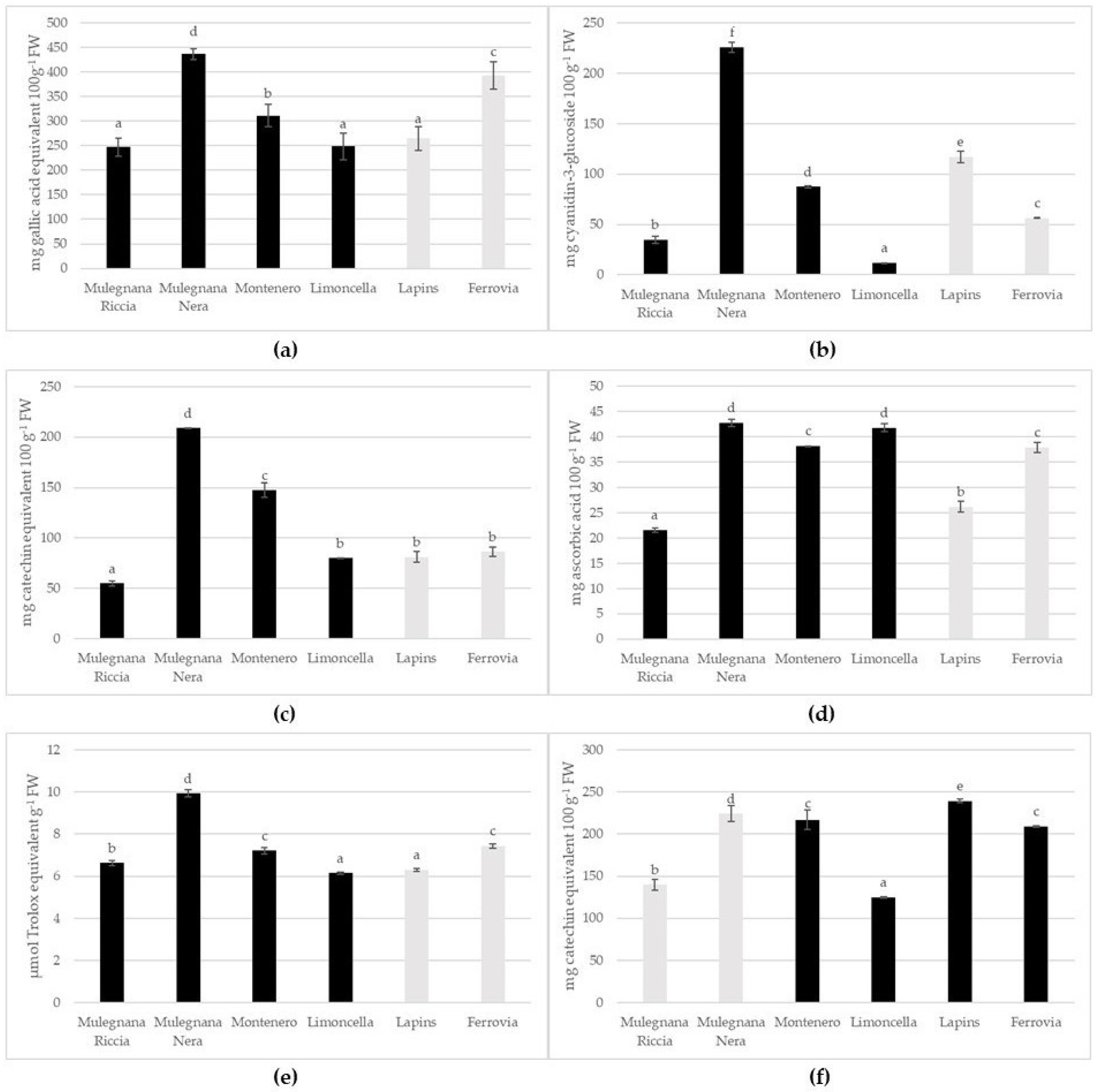
2.3. Bioactive Compounds
2.4. Volatile Organic Compound Profile Analysis
2.5. Semi-Quantitative Determination of Polyphenols
3. Materials and Methods
3.1. Plant Materials
3.2. Morpho-Physiological Traits
3.3. Physicochemical and Sensorial Characterization
3.4. Bioactive Compounds
3.5. Volatile Organic Compounds Analysis
3.5.1. Sample Preparation and SPME Procedure
3.5.2. Gas Chromatography–Quadrupole Mass Spectrometry Analysis
3.6. Extraction of Phenolic Compounds
Reverse-Phase High-Performance Liquid Chromatographic Diode Array Detector—Semi-Quantitative Determination of Polyphenols
3.7. Statistical Analysis
4. Conclusions
Supplementary Materials
Author Contributions
Funding
Data Availability Statement
Conflicts of Interest
References
- FAO. 2020. Available online: http://www.fao.org/home/en/ (accessed on 5 April 2022).
- Karagiannis, E.; Michailidis, M.; Karamanoli, K.; Lazaridou, A.; Minas, I.S.; Molassiotis, A. Postharvest responses of sweet cherry fruit and stem tissues revealed by metabolomic profiling. Plant Physiol. Biochem. 2018, 127, 478–484. [Google Scholar] [CrossRef] [PubMed]
- Di Matteo, A.; Russo, R.; Graziani, G.; Ritieni, A.; di Vaio, C. Characterization of autochthonous sweet cherry cultivars (Prunus avium L.) of Southern Italy for fruit quality, bioactive compounds and antioxidant activity. J. Sci. Food Agric. 2017, 97, 2782–2794. [Google Scholar] [CrossRef]
- Ballistreri, G.; Continella, A.; Gentile, A.; Amenta, M.; Fabroni, S.; Rapisarda, P. Fruit quality and bioactive compounds relevant to human health of sweet cherry (Prunus avium L.) Cultivars grown in Italy. Food Chem. 2013, 140, 630–638. [Google Scholar] [CrossRef] [PubMed]
- Bastos, C.; Barros, L.; Dueñas, M.; Calhelha, R.C.; Queiroz, M.J.R.P.; Santos-Buelga, C.; Ferreira, I.C.F.R. Chemical characterisation and Bioactive Properties of Prunus avium L.: The widely studied fruits and the unexplored stems. Food Chem. 2015, 173, 1045–1053. [Google Scholar] [CrossRef] [PubMed]
- Mozetic, B.; Trebse, P.; Hribar, J. Determination and quantitation of anthocyanins and hydroxycinnamic acids in different cultivars of sweet cherries (Prunus avium L.) from Nova Gorica Region (Slovenia). Food Technol. Biotechnol. 2002, 40, 207–212. [Google Scholar]
- Liu, Y.; Liu, X.; Zhong, F.; Tian, R.; Zhang, K.; Zhang, X.; Li, T. Comparative study of phenolic compounds and antioxidant activity in different species of cherries. J. Food Sci. 2011, 76, C633–C638. [Google Scholar] [CrossRef]
- Pacifico, S.; di Maro, A.; Petriccione, M.; Galasso, S.; Piccolella, S.; di Giuseppe, A.M.A.; Scortichini, M.; Monaco, P. Chemical composition, nutritional value and Antioxidant Properties of Autochthonous Prunus avium Cultivars from Campania Region. Food Res. Intl. 2014, 64, 188–199. [Google Scholar] [CrossRef]
- Dziadek, K.; Kopeć, A.; Piątkowska, E. Intake of fruit and leaves of sweet cherry beneficially affects lipid metabolism, oxidative stress and inflammation in wistar rats fed with high fat-cholesterol diet. J. Funct. Foods 2019, 57, 31–39. [Google Scholar] [CrossRef]
- Faniadis, D.; Drogoudi, P.D.; Vasilakakis, M. Effects of Cultivar, Orchard Elevation, and Storage on Fruit Quality Characters of Sweet Cherry (Prunus avium L.). Sci. Hortic. 2010, 125, 301–304. [Google Scholar] [CrossRef]
- Szpadzik, E.; Krupa, T.; Molska-Kawulok, K.; Przybyłko, S. Fruit quality and contents of some bioactive compounds in selected Czech Sweet Cherry (Prunus avium L.) Cultivars under conditions of Central Poland. Agriculture 2022, 12, 1859. [Google Scholar] [CrossRef]
- Muccillo, L.; Colantuoni, V.; Sciarrillo, R.; Baiamonte, G.; Salerno, G.; Marziano, M.; Sabatino, L.; Guarino, C. Molecular and Environmental Analysis of Campania (Italy) Sweet Cherry (Prunus avium L.) Cultivars for Biocultural Refugia Identification and Conservation. Sci. Rep. 2019, 9, 6796. [Google Scholar] [CrossRef]
- Quero-García, J.; Iezzoni, A.; Pulawska, J.; Lang, G. Cherries: Botany, Production and Uses; CABI: Wallingford, UK, 2017; Available online: https://www.cabi.org/bookshop/book/9781780648378 (accessed on 21 August 2017).
- Scalzo, J.; Politi, A.; Pellegrini, N.; Mezzetti, B.; Battino, M. Plant genotype affects total antioxidant capacity and phenolic contents in fruit. Nutrition 2005, 21, 207–213. [Google Scholar] [CrossRef]
- Antognoni, F.; Potente, G.; Mandrioli, R.; Angeloni, C.; Freschi, M.; Malaguti, M.; Hrelia, S.; Lugli, S.; Gennari, F.; Muzzi, E.; et al. Fruit Quality Characterization of New Sweet Cherry Cultivars as a Good Source of Bioactive Phenolic Compounds with Antioxidant and Neuroprotective Potential. Antioxidants 2020, 9, 677. [Google Scholar] [CrossRef] [PubMed]
- Blando, F.; Oomah, B.D. Sweet and Sour Cherries: Origin, Distribution, Nutritional Composition and Health Benefits. Trends Food Sci. Technol. 2019, 86, 517–529. [Google Scholar] [CrossRef]
- Longobardi, F.; Casiello, G.; Ventrella, A.; Mazzilli, V.; Nardelli, A.; Sacco, D.; Catucci, L.; Agostiano, A. Electronic nose and isotope ratio mass spectrometry in combination with chemometrics for the characterization of the geographical origin of italian sweet cherries. Food Chem. 2015, 170, 90–96. [Google Scholar] [CrossRef] [PubMed]
- Di Vaio, C.; Villano, C.; Marallo, N. Molecular analysis of native cultivars of sweet cherry in Southern Italy. Hortic. Sci. 2015, 42, 114–118. [Google Scholar] [CrossRef]
- Guarino, C.; Santoro, S.; De Simone, L.; Cipriani, G. Molecular characterization of ancient Prunus avium L. Germplasm using sweet cherry SSR markers. J. Hortic. Sci. Biotechnol. 2010, 85, 295–305. [Google Scholar] [CrossRef]
- Gonçalves, B.; Landbo, A.K.; Knudsen, D.; Silva, A.P.; Moutinho-Pereira, J.; Rosa, E.; Meyer, A.S. Effect of Ripeness and Postharvest Storage on the Phenolic Profiles of Cherries (Prunus avium L.). J. Agric. Food Chem. 2004, 52, 523–530. [Google Scholar] [CrossRef]
- Usenik, V.; Fabčič, J.; Štampar, F. Sugars, Organic Acids, Phenolic Composition and Antioxidant Activity of Sweet Cherry (Prunus avium L.). Food Chem. 2008, 107, 185–192. [Google Scholar] [CrossRef]
- Taiti, C.; Caparrotta, S.; Mancuso, S.; Masi, E. Morpho-Chemical and Aroma Investigations on Autochthonous and Highly-Prized Sweet Cherry Varieties Grown in Tuscany. Adv. Hortic. Sci. 2017, 31, 121–129. [Google Scholar] [CrossRef]
- Hayaloglu, A.A.; Demir, N. Phenolic Compounds, Volatiles, and Sensory Characteristics of Twelve Sweet Cherry (Prunus avium L.) Cultivars Grown in Turkey. J. Food Sci. 2016, 81, C7–C18. [Google Scholar] [CrossRef] [PubMed]
- Girard, B.; Kopp, T.G. Physicochemical Characteristics of Selected Sweet Cherry Cultivars. J. Agric. Food Chem. 1998, 46, 471–476. [Google Scholar] [CrossRef] [PubMed]
- Petriccione, M.; Mastrobuoni, F.; Pasquariello, M.S.; Zampella, L.; Nobis, E.; Capriolo, G.; Scortichini, M. Effect of chitosan coating on the postharvest quality and antioxidant enzyme system response of strawberry fruit during cold storage. Foods 2015, 4, 501–523. [Google Scholar] [CrossRef] [PubMed]
- Magwaza, L.S.; Opara, U.L. Analytical methods for determination of sugars and sweetness of horticultural products—A review. Sci. Hortic. 2015, 184, 179–192. [Google Scholar] [CrossRef]
- Serradilla, M.J.; Martín, A.; Ruiz-Moyano, S.; Hernández, A.; López-Corrales, M.; Córdoba, M.D.G. Physicochemical and sensorial characterisation of four sweet cherry cultivars grown in Jerte Valley (Spain). Food Chem. 2012, 133, 1551–1559. [Google Scholar] [CrossRef]
- Crisosto, C.H.; Crisosto, G.M.; Metheney, P. Consumer acceptance of “Brooks” and “Bing” cherries is mainly dependent on fruit SSC and visual skin color. Postharvest. Biol. Technol. 2003, 28, 159–167. [Google Scholar] [CrossRef]
- González-Gómez, D.; Lozano, M.; Fernández-León, M.F.; Bernalte, M.J.; Ayuso, M.C.; Rodríguez, A.B. Sweet cherry phytochemicals: Identification and characterization by HPLC-DAD/ESI-MS in Six sweet-cherry cultivars grown in Valle Del Jerte (Spain). J. Food Compos. Anal. 2010, 23, 533–539. [Google Scholar] [CrossRef]
- Papapetros, S.; Louppis, A.; Kosma, I.; Kontakos, S.; Badeka, A.; Kontominas, M.G. Characterization and differentiation of botanical and geographical origin of selected popular sweet cherry cultivars grown in Greece. J. Food Compost. Anal. 2018, 72, 48–56. [Google Scholar] [CrossRef]
- Wen, Y.Q.; He, F.; Zhu, B.Q.; Lan, Y.B.; Pan, Q.H.; Li, C.Y.; Reeves, M.J.; Wang, J. Free and glycosidically bound aroma compounds in cherry (Prunus avium L.). Food Chem. 2014, 152, 29–36. [Google Scholar] [CrossRef]
- Romano, G.S.; Cittadini, E.D.; Pugh, B.; Schouten, R. Sweet cherry quality in the horticultural production chain. Stewart Postharvestig. Rev. 2006, 2, 1–9. [Google Scholar] [CrossRef]
- Gao, L.; Mazza, G. Characterization, Quantitation, and Distribution of Anthocyanins and Colorless Phenolics in Sweet Cherries. J. Agric. Food Chem. 1995, 43, 343–346. [Google Scholar] [CrossRef]
- Cornuault, V.; Pose, S.; Knox, J.P. Extraction, texture analysis and polysaccharide epitope mapping data of sequential extracts of strawberry, apple, tomato and Aubergine fruit Parenchyma. Data Brief 2018, 17, 314–320. [Google Scholar] [CrossRef]
- Kadowaki, K.; Kimura, H.; Inou, N. New estimation methods pf Young’s modulus and rupture strength of snack foods based on microstructure. J. Texture Stud. 2016, 47, 3–13. [Google Scholar] [CrossRef]
- Sinha, A.; Bhargav, A. Young’s modulus estimation in food samples: Effect of experimental parameters. Mech. Ind. 2020, 21, 404. [Google Scholar] [CrossRef]
- Matas, J.; Cobb, E.D.; Paolillo, D.J.; Niklas, K.J. Crack resistance in cherry tomato fruit correlates with cuticular membrane thickness. Hortic. Sci. 2004, 39, 1354–1358. [Google Scholar] [CrossRef]
- Perin, C.; Fait, A.; Palumbo, F.; Lucchin, M.; Vannozzi, A. The Effect of Soil on the Biochemical Plasticity of Berry Skin in Two Italian Grapevine (V. vinifera L.) Cultivars. Front. Plant Sci. 2020, 11, 822. [Google Scholar] [CrossRef]
- Średnicka-Tober, D.; Ponder, A.; Hallmann, E.; Głowacka, A.; Rozpara, E. The profile and content of polyphenols and carotenoids in local and commercial sweet cherry fruits (Prunus avium L.) and their antioxidant activity in vitro. Antioxidants 2019, 8, 534. [Google Scholar] [CrossRef]
- Kim, D.O.; Ho, J.H.; Young, J.K.; Hyun, S.Y.; Lee, C.Y. Sweet and sour cherry phenolics and their protective effects on neuronal cells. J. Agric. Food Chem. 2005, 53, 9921–9927. [Google Scholar] [CrossRef]
- Khoo, H.E.; Azlan, A.; Tang, S.T.; Lim, S.M. Anthocyanidins and anthocyanins: Colored pigments as food, pharmaceutical ingredients, and the potential health benefits. Food Nutr. Res. 2017, 61, 1361779. [Google Scholar] [CrossRef]
- Kumar, S.; Pandey, A.K. Chemistry and biological activities of flavonoids: An overview. Sci. World J. 2013, 2013, 162750. [Google Scholar] [CrossRef] [PubMed]
- Bilska, K.; Wojciechowska, N.; Alipour, S.; Kalemba, E.M. Ascorbic acid—The little-known antioxidant in woody plants. Antioxidants 2019, 8, 645. [Google Scholar] [CrossRef] [PubMed]
- He, F.; Pan, Q.H.; Shi, Y.; Duan, C.Q. Biosynthesis and genetic regulation of proanthocyanidins in plants. Molecules 2008, 13, 2674–2703. [Google Scholar] [CrossRef] [PubMed]
- Hu, T.; Subbiah, V.; Wu, H.; BK, A.; Rauf, A.; Alhumaydhi, F.A.; Suleria, H.A.R. Determination and characterization of phenolic compounds from australia-grown sweet cherries (Prunus avium L.) and their potential antioxidant properties. ACS Omega 2021, 6, 34687–34699. [Google Scholar] [CrossRef] [PubMed]
- Prvulović, D.; Popović, M.; Malenčić, Đ.; Ljubojević, M.; Ognjanov, V. Phenolic compounds in sweet cherry (Prunus avium L.) Petioles and Their Antioxidant Properties. Res. J. Agric. Sci. 2011, 43, 198–202. [Google Scholar]
- Villavicencio, J.D.; Zoffoli, J.P.; Plotto, A.; Contreras, C. Aroma compounds are responsible for an herbaceous off-flavor in the sweet cherry (Prunus avium L.) Cv. regina during fruit development. Agronomy 2021, 11, 2020. [Google Scholar] [CrossRef]
- Zhang, X.; Jiang, Y.-M.; Peng, F.-T.; He, N.-B.; Li, Y.-J.; Zhao, D.-C. Changes of aroma components in hongdeng sweet cherry during fruit development. Agric. Sci. China 2007, 6, 1376–1382. [Google Scholar] [CrossRef]
- Vavoura, M.V.; Badeka, A.V.; Kontakos, S.; Kontominas, M.G. Characterization of four popular sweet cherry cultivars grown in Greece by volatile compound and physicochemical data analysis and sensory evaluation. Molecules 2015, 20, 1922–1940. [Google Scholar] [CrossRef]
- Legua, P.; Domenech, A.; Martínez, J.J.; Sánchez-Rodríguez, L.; Hernández, F.; Carbonell-Barrachina, A.A.; Melgarejo, P. Bioactive and volatile compounds in sweet cherry cultivars. J. Food Nutr. Res. 2017, 5, 844–851. [Google Scholar] [CrossRef]
- Correia, S.; Schouten, R.; Silva, A.P.; Gonçalves, B. Factors affecting quality and health promoting compounds during growth and postharvest life of sweet cherry (Prunus avium L.). Front. Plant Sci. 2017, 8, 2166. [Google Scholar] [CrossRef]
- Yauk, Y.K.; Souleyre, E.J.F.; Matich, A.J.; Chen, X.; Wang, M.Y.; Plunkett, B.; Dare, A.P.; Espley, R.V.; Tomes, S.; Chagné, D.; et al. Alcohol Acyl transferase 1 links two distinct volatile pathways that produce esters and phenylpropenes in apple fruit. Plant J. 2017, 91, 292–305. [Google Scholar] [CrossRef]
- Yan, J.W.; Ban, Z.J.; Lu, H.Y.; Li, D.; Poverenov, E.; Luo, Z.S.; Li, L. The Aroma volatile repertoire in strawberry fruit: A review. J. Sci. Food Agric. 2018, 98, 4395–4402. [Google Scholar] [CrossRef] [PubMed]
- Cozzolino, R.; Martignetti, A.; Cefola, M.; Pace, B.; Capotorto, I.; de Giulio, B.; Montemurro, N.; Pellicano, M.P. Volatile metabolites, quality and sensory parameters of “Ferrovia” sweet cherry cold stored in air or packed in High CO2 modified atmospheres. Food Chem. 2019, 286, 659–668. [Google Scholar] [CrossRef]
- Medina, S.; Pereira, J.A.; Silva, P.; Perestrelo, R.; Câmara, J.S. Food fingerprints—A valuable tool to monitor food authenticity and safety. Food Chem. 2019, 278, 144–162. [Google Scholar]
- Zidi, K.; Kati, D.E.; Bachir-bey, M.; Genva, M.; Fauconnier, M.L. Comparative study of fig volatile compounds using headspace solid-phase microextraction-gas chromatography/mass spectrometry: Effects of cultivars and ripening stages. Front. Plant Sci. 2021, 12, 667809. [Google Scholar] [CrossRef]
- Picariello, G.; de Vito, V.; Ferranti, P.; Paolucci, M.; Volpe, M.G. Species- and cultivar-dependent traits of prunus avium and prunus cerasus polyphenols. J. Food Compost. Anal. 2016, 45, 50–57. [Google Scholar] [CrossRef]
- Fadón, E.; Herrero, M.; Rodrigo, J. Flower development in sweet cherry framed in the BBCH scale. Sci. Hortic. 2015, 192, 141–147. [Google Scholar] [CrossRef]
- Blahovec, J. Stress relaxation in cherry fruit. Biorheology 1996, 33, 451–462. [Google Scholar] [CrossRef]
- Bernalte, M.J.; Sabio, E.; Hernández, M.T.; Gervasini, C. Influence of storage delay on quality of “Van” sweet cherry. Postharvest. Biol. Technol. 2003, 28, 303–312. [Google Scholar] [CrossRef]
- Magri, A.; Petriccione, M. Melatonin treatment reduces qualitative decay and improves antioxidant system in highbush blueberry fruit during cold storage. J. Sci. Food Agric. 2022, 102, 4229–4237. [Google Scholar] [CrossRef]
- Adiletta, G.; Magri, A.; Albanese, D.; Liguori, L.; Sodo, M.; Di Matteo, M.; Petriccione, M. Overall quality and oxidative damage in packaged freshly shelled walnut kernels during cold storage. J. Food Meas. Charact. 2020, 14, 3483–3492. [Google Scholar] [CrossRef]
- Magri, A.; Adiletta, G.; Petriccione, M. Evaluation of antioxidant systems and ascorbate-glutathione cycle in feijoa edible flowers at different flowering stages. Foods 2020, 9, 95. [Google Scholar] [CrossRef]
- Magri, A.; Cice, D.; Capriolo, G.; Petriccione, M. Effects of ascorbic acid and melatonin treatments on antioxidant system in fresh-cut avocado fruits during cold storage. Food Bioprocess Technol. 2022, 15, 2468–2482. [Google Scholar] [CrossRef]
- Goffi, V.; Magri, A.; Botondi, R.; Petriccione, M. Response of antioxidant system to postharvest ozone treatment in ‘Soreli’ kiwifruit. J. Sci. Food Agric 2020, 100, 961–968. [Google Scholar] [CrossRef] [PubMed]
- Porter, L.J.; Hrstich, L.N.; Chan, B.G. The conversion of procyanidins and prodelphinidins to cyanidin and delphinidin. Phytochemistry 1995, 25, 223–230. [Google Scholar] [CrossRef]
- Picariello, G.; Sciammaro, L.; Siano, F.; Volpe, M.G.; Puppo, M.C.; Mamone, G. Comparative analysis of C-Glycosidic flavonoids from Prosopis Spp. and Ceratonia Siliqua seed germ flour. Food Res. Int. 2017, 99, 730–738. [Google Scholar] [CrossRef] [PubMed]








| Accessions | Fruit Weight (g) | Fruit Height (mm) | Fruit Width (mm) | Fruit Thickness (mm) | TSS (°Brix) | pH | TA (g Citric Acid L−1) |
|---|---|---|---|---|---|---|---|
| Mulegnana Riccia | 6.93 ± 0.36 (bc) | 18.20 ± 0.61 (a) | 20.42 ± 0.88 (a) | 17.06 ± 0.88 (ab) | 21.70 ± 0.16 (f) | 3.53 ± 0.01 (b) | 11.49 ± 0.28 (b) |
| Mulegnana Nera | 4.85 ± 0.37 (a) | 19.23 ± 1.34 (a) | 20.59 ± 1.32 (a) | 17.76 ± 1.32 (b) | 16.45 ± 0.13 (c) | 3.87 ± 0.04 (d) | 11.53 ± 0.27 (b) |
| Montenero | 7.90 ± 0.25 (c) | 21.60 ± 0.82 (b) | 25.72 ± 1.17 (c) | 22.41 ± 0.39 (c) | 13.95 ± 0.13 (a) | 3.57 ± 0.01 (bc) | 12.23 ± 0.28 (cd) |
| Limoncella | 6.45 ± 0.48 (b) | 22.44 ± 0.57 (bc) | 23.32 ± 0.54 (b) | 18.22 ± 2.63 (b) | 15.66 ± 0.13 (b) | 3.61 ± 0.01 (c) | 11.74 ± 0.16 (bc) |
| Lapins | 8.61 ± 0.36 (d) | 23.93 ± 0.43 (c) | 26.90 ± 0.15 (c) | 18.99 ± 0.81 (b) | 20.35 ± 0.13 (e) | 3.32 ± 0.03 (a) | 12.35 ± 0.09 (d) |
| Ferrovia | 7.95 ± 0.27 (c) | 21.44 ± 0.62 (b) | 22.84 ± 1.25 (b) | 14.75 ± 0.73 (a) | 19.58 ± 0.30 (d) | 4.07 ± 0.04 (e) | 10.17 ± 0.28 (a) |
| VOCs | VOCs | Mulegnana Riccia | Mulegnana Nera | Montenero | Limoncella | Lapins | Ferrovia | p |
|---|---|---|---|---|---|---|---|---|
| Aldehydes | ||||||||
| Hexanal | Ald1 | 29.8 ± 0.2 d | 30.8 ± 0.4 d | 14.4 ± 0.2 a | 19.3 ± 0.3 b | 25.3 ± 0.7 c | 44.8 ± 1.1 e | *** |
| cis-3-Hexenal | Ald2 | 2.26 ± 0.1 c | 3.1 ± 0.1 d | 1.1 ± 0.1 a | 2.5 ± 0.3 c | 1.8 ± 0.2 b | 1.5 ± 0.1 b | ** |
| 2-Hexenal | Ald3 | 195.72 ± 0.5 d | 163.7 ± 0.45 c | 69.8 ± 0.1 ab | 72.8 ± 2.2 b | 65.8 ± 2.5 a | 221.3 ± 4.3 e | ** |
| Octanal | Ald4 | 0.00 ± 0 a | 0.9 ± 0.1 c | 0.6 ± 0.1 b | 0.0 ± 0 a | 0.7 ± 0.2 b | 0.0 ± 0 a | ** |
| Nonanal | Ald5 | 0.89 ± 0.1 d | 0.5 ± 0.1 c | 0.2 ± 0 b | 0.0 ± 0 a | 0.3 ± 0.1 bc | 0.0 ± 0 a | ** |
| Decanal | Ald6 | 0.00 ± 0 a | 0.0 ± 0 a | 0.0 ± 0 a | 0.0 ± 0 a | 1.9 ± 0.1 b | 0.0 ± 0 a | *** |
| Benzaldehyde | Ald7 | 3.20 ± 0.1 a | 55.3 ± 1.6 d | 3.5 ± 0.2 a | 45.6 ± 1.2 c | 6.1 ± 0.3 a | 33.1 ± 2.6 b | ** |
| Dodecanal | Ald8 | 0.00 ± 0 a | 1.4 ± 0.1 d | 0.0 ± 0 a | 1.1 ± 0.1 c | 1.4 ± 0.2 d | 0.6 ± 0 b | *** |
| Alcohols | ||||||||
| 1-Penten-3-ol | Al1 | 1.36 ± 0.04 d | 1.4 ± 0 d | 0.0 ± 0 a | 0.4 ± 0.1 b | 1.4 ± 0.2 d | 1.0 ± 0.2 c | *** |
| 1-Pentenol | Al2 | 0.00 ± 0 a | 2.4 ± 0.1 c | 1.5 ± 0.1 b | 1.8 ± 0.4 b | 0.0 ± 0 a | 5.4 ± 0.1 d | ** |
| 3-Methyl-3-buten-1-ol | Al3 | 2.05 ± 0.1 b | 0.0 ± 0 a | 0.0 ± 0 a | 0.0 ± 0 a | 0.0 ± 0 a | 0.0 ± 0 a | *** |
| 3-Methyl-2-buten-1-ol | Al4 | 2.25 ± 0.15 b | 3.8 ± 0.1 c | 3.8 ± 0 c | 3.6 ± 0.2 c | 1.5 ± 0.3 a | 2.1 ± 0.2 b | ** |
| 1-Hexanol | Al5 | 24.50 ± 0.6 d | 22.3 ± 0.1 c | 26.5 ± 0.4 e | 33.5 ± 1.2 f | 5.1 ± 0.3 a | 13.2 ± 0.3 b | *** |
| trans-3-Hexenol | Al6 | 0.86 ± 0.1 bc | 1.0 ± 0 c | 0.7 ± 0.1 b | 1.6 ± 0.2 d | 0.4 ± 0.1 a | 0.2 ± 0.1 a | ** |
| cis-3-Hexenol | Al7 | 0.79 ± 0.1 c | 1.0 ± 0.1 d | 0.0 ± 0 a | 0.0 ± 0 a | 0.3 ± 0 b | 0.0 ± 0 a | *** |
| 2-Hexenol | Al8 | 245.94 ± 0.9 d | 212.8 ± 0.8 c | 146.6 ± 0.6 b | 262.7 ± 11.2 e | 92.6 ± 2.1 a | 246.2 ± 0.5 d | ** |
| 1-Octen-3-ol | Al9 | 0.00 ± 0 a | 0.0 ± 0 a | 0.2 ± 0 b | 0.0 ± 0 a | 0.8 ± 0.1 c | 0.0 ± 0 a | *** |
| 2-Ethylhexanol | Al10 | 0.94 ± 0.03 d | 0.7 ± 0 c | 3.5 ± 0.1 e | 0.0 ± 0 a | 0.5 ± 0 b | 0.4 ± 0.1 b | ** |
| 1-Octanol | Al11 | 0.54 ± 0.04 b | 0.9 ± 0 c | 0.4 ± 0.1 b | 0.0 ± 0 a | 0.9 ± 0.1 c | 0.4 ± 0.1 b | ** |
| Benzyl alcohol | Al12 | 3.21 ± 0.02 a | 14.4 ± 0.1 c | 14.5 ± 0.4 c | 95.8 ± 1.4 e | 8.3 ± 0.4 b | 32.0 ± 2.1 d | *** |
| Phenylethyl alcohol | Al13 | 0.46 ± 0.06 c | 0.4 ± 0.1 bc | 0.3 ± 0.1 ab | 1.6 ± 0.1 e | 0.3 ± 0.1 ab | 0.7 ± 0.1 d | ** |
| Phenol | Al14 | 0.19 ± 0.01 b | 0.0 ± 0 a | 0.0 ± 0 a | 0.0 ± 0 a | 0.3 ± 0.1 c | 0.0 ± 0 a | *** |
| Terpenes | ||||||||
| Limonene | T1 | 1.12 ± 0.12 c | 1.3 ± 0.1 c | 0.0 ± 0 a | 0.9 ± 0.1 b | 0.9 ± 0 b | 0.8 ± 0.1 b | ** |
| trans-β-Ocimene | T2 | 0.00 ± 0 a | 0.0 ± 0 a | 0.0 ± 0 a | 1.0 ± 0.1 b | 0.0 ± 0 a | 0.0 ± 0 a | *** |
| Ocymene | T3 | 1.99 ± 0.03 b | 2.2 ± 0.1 c | 0.0 ± 0 a | 0.0 ± 0 a | 3.7 ± 0.1 d | 0.0 ± 0 | ** |
| Linalool | T4 | 1.00 ± 0.05 b | 2.4 ± 0.1 d | 0.6 ± 0 ab | 1.6 ± 0.1 c | 0.5 ± 0 a | 0.6 ± 0.1 ab | ** |
| α-Terpineol | T5 | 0.31 ± 0.05 c | 0.4 ± 0.1 c | 0.1 ± 0 a | 0.5 ± 0.1 d | 0.0 ± 0 a | 0.0 ± 0 a | ** |
| Myrtenol | T6 | 0.49 ± 0.01 b | 1.1 ± 0.1 d | 0.8 ± 0.1 c | 1.5 ± 0.2 e | 0.6 ± 0.1 bc | 0.0 ± 0 a | ** |
| Geraniol | T7 | 0.22 ± 0.02 ab | 0.2 ± 0 ab | 0.1 ± 0 a | 0.2 ± 0 ab | 0.3 ± 0.1 ab | 0.5 ± 0.1 c | ** |
| Esters | ||||||||
| 1-Hexyl acetate | E1 | 0.81 ± 0.02 c | 0.0 ± 0 a | 0.7 ± 0.1 b | 0.7 ± 0 b | 0.0 ± 0 a | 0.0 ± 0 a | ** |
| 2-Hexen-1-ol acetate | E2 | 3.50 ± 0.6 d | 1.2 ± 0.1 b | 2.6 ± 0.1 c | 2.1 ± 0.1 c | 0.7 ± 0.1 b | 0.0 ± 0 a | ** |
| trans-2-Hexenyl butyrate | E3 | 0.00 ± 0 a | 0.0 ± 0 a | 0.5 ± 0.1 b | 0.0 ± 0 a | 0.0 ± 0 a | 0.0 ± 0 a | *** |
| Others | ||||||||
| 6-Methyl-5-hepten-2-one | O1 | 0.00 ± 0 a | 3.6 ± 0.1 c | 0.0 ± 0 a | 0.0 ± 0 a | 3.5 ± 0.4 c | 0.4 ± 0.1 b | ** |
| 3-Methylbutanoic acid | O2 | 0.00 ± 0 a | 0.6 ± 0 b | 0.5 ± 0 b | 0.9 ± 0.2 c | 0.4 ± 0.1 b | 1.0 ± 0.2 c | ** |
| N. | Compound (g kg−1 FW) | Mulegnana Riccia | Mulegnana Nera | Montenero | Limoncella | Lapins | Ferrovia |
|---|---|---|---|---|---|---|---|
| 1 | Neochlorogenic acid | 0.26 ± 0.05 a | 1.86 ± 0.22 c | 1.84 ± 0.18 c | 0.30 ± 0.02 a | 0.30 ± 0.03 a | 1.13 ± 0.16 b |
| 2 | Chlorogenic acid | 0.07 ± 0.02 a | 0.23 ± 0.06 c | 0.18 ± 0.05 b | 0.13 ± 0.02 b | 0.07 ± 0.02 a | 0.06 ± 0.01 a |
| 3 | 4-p-Coumaroylquinic acid | 0.04 ± 0.01 a | 0.14 ± 0.03 b | 0.04 ± 0.01 a | 0.03 ± 0.00 a | 0.06 ± 0.01 a | 0.08 ± 0.02 a |
| 4 | Epicatechin a | 0.06 ± 0.01 a | 0.25 ± 0.02 c | 0.42 ± 0.05 d | 0.22 ± 0.03 c | 0.15 ± 0.02 b | 0.14 ± 0.02 b |
| 5 | Cyanidin-3-O-glucoside | 0.02 ± 0.01 a | 0.20 ± 0.03 b | 0.05 ± 0.01 a | 0.03 ± 0.01 a | 0.05 ± 0.01 a | 0.04 ± 0.01 a |
| 6 | Cyanidin-3-O-rutinoside | 0.40 ± 0.08 b | 1.97 ± 0.15 f | 0.62 ± 0.09 c | 0.10 ± 0.02 a | 0.84 ± 0.09 d | 1.07 ± 0.14 e |
| 7 | 3.5-Dicaffeoylquinic acid | 0.11 ± 0.03 a | 0.41 ± 0.08 c | 0.15 ± 0.04 a | 0.18 ± 0.05 b | 0.08 ± 0.05 a | 0.21 ± 0.04 b |
| 8 | Delphinidin-3-O-rutinoside | trace | trace | trace | trace | trace | trace |
| 9 | Rutin | 0.02 ± 0.00 a | 0.07 ± 0.02 a | 0.02 ± 0.00 a | 0.04 ± 0.01 a | 0.02 ± 0.01 a | 0.02 ± 0.01 a |
| 10 | Quercetin 3-O-glucoside (mg kg−1) b | ND | 4 ± 1 c | 1 ± 0.2 a | 2 ± 1 b | ND | ND |
| 11 | Isorhamnetin-3-O-rutinoside andkaempferol-3-O-rutinoside c | 0.01 ± 0.00 a | 0.03 ± 0.01 a | 0.02 ± 0.01 a | 0.04 ± 0.01 a | 0.01 ± 0.00 a | 0.01 ± 0.00 a |
Disclaimer/Publisher’s Note: The statements, opinions and data contained in all publications are solely those of the individual author(s) and contributor(s) and not of MDPI and/or the editor(s). MDPI and/or the editor(s) disclaim responsibility for any injury to people or property resulting from any ideas, methods, instructions or products referred to in the content. |
© 2023 by the authors. Licensee MDPI, Basel, Switzerland. This article is an open access article distributed under the terms and conditions of the Creative Commons Attribution (CC BY) license (https://creativecommons.org/licenses/by/4.0/).
Share and Cite
Magri, A.; Malorni, L.; Cozzolino, R.; Adiletta, G.; Siano, F.; Picariello, G.; Cice, D.; Capriolo, G.; Nunziata, A.; Di Matteo, M.; et al. Agronomic, Physicochemical, Aromatic and Sensory Characterization of Four Sweet Cherry Accessions of the Campania Region. Plants 2023, 12, 610. https://doi.org/10.3390/plants12030610
Magri A, Malorni L, Cozzolino R, Adiletta G, Siano F, Picariello G, Cice D, Capriolo G, Nunziata A, Di Matteo M, et al. Agronomic, Physicochemical, Aromatic and Sensory Characterization of Four Sweet Cherry Accessions of the Campania Region. Plants. 2023; 12(3):610. https://doi.org/10.3390/plants12030610
Chicago/Turabian StyleMagri, Anna, Livia Malorni, Rosaria Cozzolino, Giuseppina Adiletta, Francesco Siano, Gianluca Picariello, Danilo Cice, Giuseppe Capriolo, Angelina Nunziata, Marisa Di Matteo, and et al. 2023. "Agronomic, Physicochemical, Aromatic and Sensory Characterization of Four Sweet Cherry Accessions of the Campania Region" Plants 12, no. 3: 610. https://doi.org/10.3390/plants12030610
APA StyleMagri, A., Malorni, L., Cozzolino, R., Adiletta, G., Siano, F., Picariello, G., Cice, D., Capriolo, G., Nunziata, A., Di Matteo, M., & Petriccione, M. (2023). Agronomic, Physicochemical, Aromatic and Sensory Characterization of Four Sweet Cherry Accessions of the Campania Region. Plants, 12(3), 610. https://doi.org/10.3390/plants12030610

