The Ethnopharmacology, Phytochemistry and Bioactivities of the Corymbia Genus (Myrtaceae)
Abstract
:1. Introduction
2. Literature Review Methods
3. Ethnomedical Uses of Corymbia Species
4. The Phytochemistry of Corymbia Species
4.1. Essential Oils
4.2. Isolated Natural Products
5. Overview of Biological Testing in Corymbia Species
5.1. Anti-Microbial and Anti-Viral Activity
5.1.1. Anti-Fungal Activity
5.1.2. Anti-Bacterial Activity
5.1.3. Anti-Protozoal Activity
5.1.4. Anti-Viral Activity
5.2. Insecticidal Activity
5.3. Anti-Inflammatory and Anti-Oxidant Activity
5.4. Anti-Cancer Activity
5.5. Anti-Diabetic Activity
5.6. Other Biological Activity
6. Conclusions and Future Directions
Author Contributions
Funding
Data Availability Statement
Acknowledgments
Conflicts of Interest
Abbreviations
| DPPH | 1,1-diphenyl-2-picrylhydrazyl |
| ACE | acetylcholine-converting enzyme |
| COX | cyclooxygenase |
| EO | essential oil |
| EtOH | ethanol |
| EtOAc | ethyl acetate |
| GLUT | glucose transporter |
| h-αS | human alpha synuclein |
| iNOS | inducible nitric oxide synthase |
| IL | interleukin |
| LOX | lipoxygenase |
| LPS | lipopolysaccharide |
| MPro | main protease |
| MeOH | methanol |
| MAPK | mitogen-activated protein kinase |
| NO | nitric oxide |
| NF-κB | nuclear factor-kappa B |
| PGE | prostaglandin |
| RSV | respiratory syncytial virus |
| SAR | structure–activity relationship |
| TNF-α | tumour necrosis factor-α |
References
- PhRMA. PhRMA Annual Membership Survey. 2020. Available online: https://phrma.org/-/media/Project/PhRMA/PhRMA-Org/PhRMA-Org/PDF/P-R/PhRMA_Membership_Survey_2020.pdf (accessed on 7 August 2023).
- Dadgostar, P. Antimicrobial Resistance: Implications and Costs. Infect. Drug Resist. 2019, 12, 3903–3910. [Google Scholar] [CrossRef]
- Ford, E.S.; Giles, W.H.; Mokdad, A.H. Increasing Prevalence of the Metabolic Syndrome Among US Adults. Diabetes Care 2004, 27, 2444–2449. [Google Scholar] [CrossRef]
- Conrad, N.; Misra, S.; Verbakel, J.Y.; Verbeke, G.; Molenberghs, G.; Taylor, P.N.; Mason, J.; Sattar, N.; McMurray, J.J.; McInnes, I.B. Incidence, Prevalence, and Co-Occurrence of Autoimmune Disorders Over Time and by Age, Sex, and Socioeconomic Status: A Population-Based Cohort Study of 22 million Individuals in the UK. Lancet 2023, 401, 1878–1890. [Google Scholar] [CrossRef]
- Li, L.; Xu, H.; Qu, L.; Nisar, M.; Farrukh Nisar, M.; Liu, X.; Xu, K. Water extracts of Polygonum Multiflorum Thunb. and its active component emodin relieves osteoarthritis by regulating cholesterol metabolism and suppressing chondrocyte inflammation. Acupunct. Herb. Med. 2023, 3, 96–106. [Google Scholar] [CrossRef]
- Abidullah, S.; Rauf, A.; Zaman, W.; Ullah, F.; Ayaz, A.; Batool, F.; Saqib, S. Consumption of wild food plants among tribal communities of Pak-Afghan border, near Bajaur, Pakistan. Acta Ecol. Sin. 2023, 43, 254–270. [Google Scholar] [CrossRef]
- Calixto, J.B. Twenty-Five Years of Research on Medicinal Plants in Latin America: A Personal View. J. Ethnopharmacol. 2005, 100, 131–134. [Google Scholar] [CrossRef] [PubMed]
- Zaman, W.; Ye, J.; Saqib, S.; Liu, Y.; Shan, Z.; Hao, D.; Chen, Z.; Xiao, P. Predicting potential medicinal plants with phylogenetic topology: Inspiration from the research of traditional Chinese medicine. J. Ethnopharmacol. 2021, 281, 114515. [Google Scholar] [CrossRef] [PubMed]
- Newman, D.J.; Cragg, G.M. Natural Products as Sources of New Drugs Over the Last 25 Years. J. Nat. Prod. 2007, 70, 461–477. [Google Scholar] [CrossRef] [PubMed]
- Schippmann, U.; Leaman, D.J.; Cunningham, A.B. Impact of Cultivation and Gathering of Medicinal Plants on Biodiversity: Global Trends and Issues. In Biodiversity and the Ecosystem Approach in Agriculture, Forestry and Fisheries; FAO: Rome, Italy, 2002. [Google Scholar]
- Kesharwani, V.; Gupta, S.; Kushwaha, N.; Kesharwani, R.; Patel, D.K. A review on therapeutics application of eucalyptus oil. Int. J. Herb. Med. 2018, 6, 110–115. [Google Scholar]
- Turnbull, J. Eucalypts in China. Aust. For. 1981, 44, 222–234. [Google Scholar] [CrossRef]
- Silva-Pando, F.; Pino-Pérez, R. Introduction of Eucalyptus into Europe. Aust. For. 2016, 79, 283–291. [Google Scholar] [CrossRef]
- Vuong, Q.V.; Chalmers, A.C.; Jyoti Bhuyan, D.; Bowyer, M.C.; Scarlett, C.J. Botanical, phytochemical, and anticancer properties of the Eucalyptus species. Chem. Biodivers. 2015, 12, 907–924. [Google Scholar] [CrossRef] [PubMed]
- Rozefelds, A. Eucalyptus Phylogeny and History: A Brief Summary. Tasforests 1996, 8, 15–26. [Google Scholar]
- Hill, K.D.; Johnson, L.A. Systematic Studies in the Eucalypts 7. A Revision of the Bloodwoods, genus Corymbia (Myrtaceae). Telopea 1995, 6, 185–504. [Google Scholar] [CrossRef]
- Locher, C.; Currie, L. Revisiting Kinos—An Australian Perspective. J. Ethnopharmacol. 2010, 128, 259–267. [Google Scholar] [CrossRef]
- Marinkovic, J.; Markovic, T.; Nikolic, B.; Soldatovic, I.; Ivanov, M.; Ciric, A.; Sokovic, M.; Markovic, D. Antibacterial and Antibiofilm Potential of Leptospermum petersonii F.M.Bailey, Eucalyptus citriodora Hook. Pelargonium graveolens L′Hér. and Pelargonium roseum (Andrews) DC. Essential Oils Against Selected Dental Isolates. J. Essent. Oil-Bear. Plants 2021, 24, 304–316. [Google Scholar] [CrossRef]
- Senadeera, S.P.D.; Robertson, L.P.; Duffy, S.; Wang, Y.; Avery, V.M.; Carroll, A.R. β-Triketone-Monoterpene Hybrids from the Flowers of the Australian Tree Corymbia intermedia. J. Nat. Prod. 2018, 81, 2455–2461. [Google Scholar] [CrossRef]
- Al-Sayed, E.; El-Naga, R.N. Protective Role of Ellagitannins from Eucalyptus citriodora Against Ethanol-Induced Gastric Ulcer in Rats: Impact on Oxidative Stress, Inflammation and Calcitonin-Gene Related Peptide. Phytomedicine 2015, 22, 5–15. [Google Scholar] [CrossRef]
- Ansari, P.; Choudhury, S.T.; Abdel-Wahab, Y.H.A. Insulin Secretory Actions of Ethanol Extract of Eucalyptus citriodora Leaf, Including Plasma DPP-IV and GLP-1 Levels in High-Fat-Fed Rats, as Well as Characterization of Biologically Effective Phytoconstituents. Metabolites 2022, 12, 757. [Google Scholar] [CrossRef]
- Smith, N.M. Ethnobotanical Field Notes from The Northern Territory, Australia. J. Adel. Bot. Gard. 1991, 14, 1–65. [Google Scholar]
- Bignell, C.; Dunlop, P.; Brophy, J. Volatile Leaf Oils of Some Queensland and Northern Australian Species of the Genus Eucalyptus (series II). Part II. Subgenera (a) Blakella, (b) Corymbia, (c) Unnamed, (d) Idiogenes, (e) Monocalyptus and (f) Symphyomyrtus. Flavour Fragr. J. 1997, 12, 277–284. [Google Scholar] [CrossRef]
- Hills, W.E. The Chemistry of Eucalypt Kinos. II. Aromadendrin, Kaempferol, and Ellagic acid. Aust. J. Chem. 1952, 5, 379–386. [Google Scholar] [CrossRef]
- White, D.E.; Zampatti, L.S. The Chemistry of Western Australian Plants. Part VII.* Oleanolic Acid Acetate from Eucalyptus calophylla Bark. J. Chem. Soc. 1952, 4996–5000. [Google Scholar]
- Hillis, W.E.; Carle, A. The Chemistry of Eucalypt Kinos. III. (+)-Afzelechin, Pyrogallol, and (+)-Catechin from Eucalyptus calophylla Kino. Aust. J. Chem. 1960, 13, 390–395. [Google Scholar] [CrossRef]
- Ganguly, A.K.; Seshadri, T.R. 543. Leucoanthocyanidins of Plants. Part III. Leucopelargonidin from Eucalyptus calophylla Kino. J. Chem. Soc. 1961, 2787–2790. [Google Scholar] [CrossRef]
- Bedi Sahouo, G.; Tonzibo, Z.F.; Boti, B.; Chopard, C.; Mahy, J.P.; N’Guessan, Y.T. Anti-Inflammatory and Analgesic Activities: Chemical Constituents of Essential Oils of Ocimum gratissimum, Eucalyptus citriodora and Cymbopogon giganteus Inhibited Lipoxygenase L-1 and Cyclooxygenase of PGHS. Bull. Chem. Soc. Ethiop. 2003, 17, 191–197. [Google Scholar] [CrossRef]
- Ayinde, B.A.; Owolabi, O.J. Inhibitory Effects of the Volatile Oils of Callistemon citrinus (Curtis) Skeels and Eucalyptus citriodora Hook (Myrtaceae) on the Acetylcholine Induced Contraction of Isolated Rat Ileum. Pak. J. Pharm. Sci. 2012, 25, 435–439. [Google Scholar]
- Bhuyan, D.J.; Vuong, Q.V.; Bond, D.R.; Chalmers, A.C.; van Altena, I.A.; Bowyer, M.C.; Scarlett, C.J. Exploring the Least Studied Australian Eucalypt Genera: Corymbia and Angophora for Phytochemicals with Anticancer Activity Against Pancreatic Malignancies. Chem. Biodivers. 2017, 14, e1600291. [Google Scholar] [CrossRef]
- Gopan, R.; Renju, K.V.; Pradeep, N.S.; Sabulal, B. Volatile Oil of Eucalyptus citriodora Hook, from South India: Chemistry and Antibacterial Activity. Int. J. Essent. Oil Ther. 2009, 3, 147–151. [Google Scholar]
- Hung, W.J.; Chen, Z.T.; Lee, S.W. Antioxidant and Lipoxygenase Inhibitory Activity of the Kino of Eucalyptus citriodora. Indian J. Pharm. Sci. 2018, 80, 955–959. [Google Scholar] [CrossRef]
- Salem, M.Z.M.; Elansary, H.O.; Ali, H.M.; El-Settawy, A.A.; Elshikh, M.S.; Abdel-Salam, E.M.; Skalicka-Woźniak, K. Bioactivity of Essential Oils Extracted from Cupressus macrocarpa Branchlets and Corymbia citriodora Leaves Grown in Egypt. BMC Complement Altern. Med. 2018, 18, 23. [Google Scholar] [CrossRef] [PubMed]
- Ribeiro, R.V.; Bieski, I.G.C.; Balogun, S.O.; Martins, D.T.D.O. Ethnobotanical study of Medicinal Plants Used by Ribeirinhos in the North Araguaia Microregion, Mato Grosso, Brazil. J. Ethnopharmacol. 2017, 205, 69–102. [Google Scholar] [CrossRef] [PubMed]
- Silva, J.; Abebe, W.; Sousa, S.M.; Duarte, V.G.; Machado, M.I.L.; Matos, F.J.A. Analgesic and Anti-Inflammatory Effects of Essential Oils of Eucalyptus. J. Ethnopharmacol. 2003, 89, 277–283. [Google Scholar] [CrossRef]
- Koudoro, Y.A.; Agbangnan Dossa, C.P.; Yèhouénou, B.B.; Tchobo, F.P.; Alitonou, G.A.; Avlessi, F.; Sohounhloué, D.C.K. Phytochemistry, Antimicrobial and Antiradical Activities Evaluation of Essential Oils, Ethanolic and Hydroethanolic Extracts of the Leaves of Eucalyptus citriodora Hook. from Benin. Sci. St. Res. Chem. Chem. Eng. Biotechnol. Food Ind. 2014, 15, 59–73. [Google Scholar]
- Mishra, M.P.; Padhy, R.N. In vitro Antibacterial Efficacy of 21 Indian Timber-Yielding Plants Against Multidrug-Resistant Bacteria Causing Urinary Tract Infection. Osong Public Health Res. Perspect. 2013, 4, 347–357. [Google Scholar] [CrossRef]
- Akin-Osanaiye, B.C.; Agbaji, A.S.; Dakare, M.A. Antimicrobial Activity of Oils and Extracts of Cymbopogon citratus (Lemon Grass), Eucalyptus citriodora and Eucalyptus camaldulensis. J. Med. Sci. 2007, 7, 694–697. [Google Scholar] [CrossRef]
- Yu, Q.; Feng, Z.; Huang, L.; He, J.; Zhou, Z.; Liu, F. Ellagic Acid (EA), a Tannin was Isolated from Eucalyptus citriodora Leaves and its Anti-Inflammatory Activity. Med. Chem. Res. 2021, 30, 2277–2288. [Google Scholar]
- Duh, P.D.; Chen, Z.T.; Lee, S.W.; Lin, T.P.; Wang, Y.T.; Yen, W.J.; Kuo, L.F.; Chu, H.L. Antiproliferative Activity and Apoptosis Induction of Eucalyptus citriodora Resin and its Major Bioactive Compound in Melanoma B16F10 Cells. J. Agric. Food Chem. 2012, 60, 7866–7872. [Google Scholar] [CrossRef]
- Shen, K.H.; Chen, Z.T.; Duh, P.D. Cytotoxic Effect of Eucalyptus citriodora Resin on Human Hepatoma HepG2 Cells. Am. J. Chin. Med. 2012, 40, 399–413. [Google Scholar] [CrossRef]
- Anet, E.F.L.J.; Birch, A.J.; Massy-Westropp, R.A. The Isolation of Shikimic Acid from Eucalyptus citriodora Hook. Aust. J. Chem. 1957, 10, 93–94. [Google Scholar] [CrossRef]
- Barasa, S.S.; Ndiege, I.O.; Lwande, W.; Hassanali, A. Repellent Activities of Stereoisomers of p-Menthane-3,8-diols Against Anopheles gambiae (Diptera: Culicidae). J. Med. Entomol. 2002, 39, 736–741. [Google Scholar] [CrossRef] [PubMed]
- El-Sakhawy, M.A.; Soliman, G.A.; El-Sheikh, H.H.; Ganaie, M.A. Anticandidal Effect of Eucalyptus Oil and Three Isolated Compounds on Cutaneous Wound Healing in Rats. Eur. Rev. Med. Pharmacol. 2023, 27, 26–37. [Google Scholar]
- Freitas, M.O.; Lima, M.A.S.; Silveira, E.R. NMR Assignments of Unusual Flavonoids from the Kino of Eucalyptus citriodora. Magn. Reson. Chem. 2007, 45, 262–264. [Google Scholar] [CrossRef] [PubMed]
- Freitas, M.O.; Lima, M.A.S.; Silveira, E.R. Polyphenol Compounds of the Kino of Eucalyptus citriodora. Quim. Nova 2007, 30, 1926–1929. [Google Scholar] [CrossRef]
- He, Y.; Shang, Q.; Tian, L. A New Triterpenoid and Potential Anticancer Cytotoxic Activity of Isolated Compounds from the Roots of Eucalyptus citriodora. J. Chem. Res. 2015, 39, 70–72. [Google Scholar] [CrossRef]
- Lee, C.K.; Chang, M.H. The Chemical Constituents from the Heartwood of Eucalyptus citriodora. J. Chin. Chem. Soc. 2000, 47, 555–560. [Google Scholar] [CrossRef]
- Lee, S.W.; Hung, W.J.; Chen, Z.T. A New Flavonol from the Kino of Eucalyptus citriodora. Nat. Prod. Res. 2017, 31, 37–42. [Google Scholar] [CrossRef]
- Lin, S.Q.; Zhou, Z.L.; Yin, W.Q. Three New Polyphenolic Acids from the Leaves of Eucalyptus citriodora with Antivirus Activity. Chem. Pharm. Bull. 2016, 64, 1641–1646. [Google Scholar] [CrossRef]
- Wang, C.; Yang, J.; Zhao, P.; Zhou, Q.; Mei, Z.; Yang, G.; Yang, X.; Feng, Y. Chemical Constituents from Eucalyptus citriodora Hook Leaves and their Glucose Transporter 4 Translocation Activities. Bioorg. Med. Chem. Lett. 2014, 24, 3096–3099. [Google Scholar] [CrossRef]
- Zou, X.; Huang, D.; Zhou, C.; Li, L.; Chen, K.; Guo, Z.; Lin, S.; Yin, W.; Zhou, Z. A New Flavonoid Glycoside from the Leaves of Eucalyptus citriodora. J. Chem. Res. 2014, 38, 532–534. [Google Scholar] [CrossRef]
- Zhou, Z.L.; Yin, W.Q.; Zou, X.P.; Huang, D.Y.; Zhou, C.L.; Li, L.M.; Chen, K.C.; Guo, Z.Y.; Lin, S.Q. Flavonoid Glycosides and Potential Antivirus Activity of Isolated Compounds from the Leaves of Eucalyptus citriodora. J. Korean Soc. Appl. Biol. Chem. 2014, 57, 813–817. [Google Scholar] [CrossRef]
- Satwalekar, S.; Gupta, T.; Narasimharao, P. Chemical and Antibacterial Properties of Kino from Eucalyptus spp. Citriodorol—The Antibiotic Principle from the Kino of E. Citriodora. J. Indian Inst. Sci. 1957, 39, 195–212. [Google Scholar]
- Cavalcanti, A.L.; Aguiar, Y.P.C.; Santos, F.G.D.; Cavalcanti, A.F.C.; De Castro, R.D. Susceptibility of Candida albicans and Candida non-albicans Strains to Essential Oils. Biomed. Pharmacol. J. 2017, 10, 1101–1107. [Google Scholar] [CrossRef]
- Tolba, H.; Moghrani, H.; Benelmouffok, A.; Kellou, D.; Maachi, R. Essential Oil of Algerian Eucalyptus citriodora: Chemical Composition, Antifungal Activity. J. Mycol. Med. 2015, 25, e128–e133. [Google Scholar] [CrossRef]
- Gupta, S.; Bhagat, M.; Sudan, R.; Dogra, S.; Jamwal, R. Comparative Chemoprofiling and Biological Potential of Three Eucalyptus Species Growing in Jammu and Kashmir. J. Essent. Oil-Bear. Plants 2015, 18, 409–415. [Google Scholar] [CrossRef]
- Sharma, A.; Sharma, K. Efficacy of Lawsonia inermis Linn. and Eucalyptus citriodora Hook. Extracts as Inhibitors of Growth and Enzymatic Activity of Aspergillus flavus and A. parasiticus. J. Biol. Act. Prod. Nat. 2011, 1, 168–182. [Google Scholar]
- Udaya Prakash, N.K.; Bhuvaneswari, S.; Sripriya, N.; Arulmozhi, R.; Kavitha, K.; Aravitha, R.; Bharathiraja, B. Studies on Phytochemistry, Antioxidant, Antibacterial, Larvicidal and Pesticidal Activities of Aromatic Plants from Yelagiri Hills. Int. J. Pharm. Pharm. Sci. 2014, 6, 325–328. [Google Scholar]
- Su, Y.C.; Hsu, K.P.; Ho, C.L. Composition, in vitro Antibacterial and Anti-Mildew Fungal Activities of Essential Oils from Twig and Fruit Parts of Eucalyptus citriodora. Nat. Prod. Commun. 2017, 12, 1647–1650. [Google Scholar] [CrossRef]
- Da Cruz, J.E.R.; Da Costa Guerra, J.F.; De Souza Gomes, M.; Freitas, G.R.O.; Morais, E.R. Phytochemical Analysis and Evaluation of Antimicrobial Activity of Peumus boldus, Psidium guajava, Vernonia polysphaera, Persea americana, Eucalyptus citriodora Leaf Extracts and Jatropha multifida Raw Sap. Curr. Pharm. Biotechnol. 2019, 20, 433–444. [Google Scholar] [CrossRef]
- Ramos Alvarenga, R.F.; Wan, B.; Inui, T.; Franzblau, S.G.; Pauli, G.F.; Jaki, B.U. Airborne Antituberculosis Activity of Eucalyptus citriodora Essential Oil. J. Nat. Prod. 2014, 77, 603–610. [Google Scholar] [CrossRef]
- Zheng, X.; Feyaerts, A.F.; Dijck, P.V.; Bossier, P. Inhibitory Activity of Essential Oils Against Vibrio campbellii and Vibrio parahaemolyticus. Microorganisms 2020, 8, 1946. [Google Scholar] [CrossRef] [PubMed]
- Zheng, X.; Han, B.; Kumar, V.; Feyaerts, A.F.; Van Dijck, P.; Bossier, P. Essential Oils Improve the Survival of Gnotobiotic Brine Shrimp (Artemia franciscana) Challenged with Vibrio campbellii. Front. Immunol. 2021, 12, 693932. [Google Scholar] [CrossRef] [PubMed]
- Clemente, M.A.; De Oliveira Monteiro, C.M.; Scoralik, M.G.; Gomes, F.T.; De Azevedo Prata, M.C.; Daemon, E. Acaricidal Activity of the Essential Oils from Eucalyptus citriodora and Cymbopogon nardus on Larvae of Amblyomma cajennense (Acari: Ixodidae) and Anocentor nitens (Acari: Ixodidae). Parasitol. Res. 2010, 107, 987–992. [Google Scholar] [CrossRef]
- Rodrigues, L.; Giglioti, R.; Gomes, A.C.P.; Katiki, L.M.; Otsuk, I.P.; da Silva Matos, R.; Nodari, E.F.; Veríssimo, C.J. In vitro Effect of Volatile Substances from Eucalyptus Oils on Rhipicephalus microplus. Rev. Bras. Farmacogn. 2020, 30, 737–742. [Google Scholar] [CrossRef]
- Habila, N.; Agbaji, A.S.; Ladan, Z.; Bello, I.A.; Haruna, E.; Dakare, M.A.; Atolagbe, T.O. Evaluation of in vitro Activity of Essential Oils Against Trypanosoma brucei brucei and Trypanosoma evansi. J. Parasitol. Res. 2010, 2010, 534601. [Google Scholar] [CrossRef] [PubMed]
- Silva Maiolini, T.C.; Rosa, W.; de Oliveira Miranda, D.; Costa-Silva, T.A.; Tempone, A.G.; Pires Bueno, P.C.; Ferreira Dias, D.; Aparecida Chagas de Paula, D.; Sartorelli, P.; Lago, J.H.G.; et al. Essential Oils from Different Myrtaceae Species from Brazilian Atlantic Forest Biome–Chemical Dereplication and Evaluation of Antitrypanosomal Activity. Chem. Biodivers. 2022, 19, e202200198. [Google Scholar] [CrossRef]
- Jain, S.; Jacob, M.; Walker, L.; Tekwani, B. Screening North American Plant Extracts in vitro Against Trypanosoma brucei for Discovery of New Antitrypanosomal Drug Leads. BMC Complement Altern. Med. 2016, 16, 131. [Google Scholar] [CrossRef]
- Singh, N.; Kaushik, N.K.; Mohanakrishnan, D.; Tiwari, S.K.; Sahal, D. Antiplasmodial Activity of Medicinal Plants from Chhotanagpur Plateau, Jharkhand, India. J. Ethnopharmacol. 2015, 165, 152–162. [Google Scholar] [CrossRef]
- Park, I.L.K.; Shin, S.C. Fumigant Activity of Plant Essential Oils and Components from Garlic (Allium sativum) and Clove Bud (Eugenia caryophyllata) Oils Against the Japanese Termite (Reticulitermes speratus Kolbe). J. Agric. Food Chem. 2005, 53, 4388–4392. [Google Scholar] [CrossRef]
- Vera, S.S.; Zambrano, D.F.; Méndez-Sanchez, S.C.; Rodríguez-Sanabria, F.; Stashenko, E.E.; Duque Luna, J.E. Essential Oils with Insecticidal Activity against Larvae of Aedes aegypti (Diptera: Culicidae). Parasitol. Res. 2014, 113, 2647–2654. [Google Scholar] [CrossRef]
- Singh, R.K.; Dhiman, R.C.; Mittal, P.K. Studies on Mosquito Larvicidal Properties of Eucalyptus citriodora Hook (Family-Myrtaceae). J. Commun. Dis. 2007, 39, 233–236. [Google Scholar] [PubMed]
- Cruz, G.S.; Wanderley-Teixeira, V.; da Silva, L.M.; Dutra, K.A.; Guedes, C.A.; de Oliveira, J.V.; Navarro, D.M.A.F.; Araújo, B.C.; Teixeira, Á.A.C. Chemical Composition and Insecticidal Activity of the Essential Oils of Foeniculum vulgare Mill. Ocimum basilicum L. Eucalyptus staigeriana F. Muell. ex Bailey, Eucalyptus citriodora Hook and Ocimum gratissimum L. and Their Major Components on Spodoptera frugiperda (Lepidoptera: Noctuidae). J. Essent. Oil-Bear. Plants 2017, 20, 1360–1369. [Google Scholar]
- Sahi, N.M. Evaluation of Insecticidal Activity of Bioactive Compounds from Eucalyptus citriodora Against Tribolium castaneum. Int. J. Pharmacogn. Phytochem. Res. 2016, 8, 1256–1270. [Google Scholar]
- Ghareeb, M.A.; Refahy, L.A.; Saad, A.M.; Ahmed, W.S. Chemical Composition, Antioxidant and Anticancer Activities of the Essential Oil from Eucalyptus citriodora (Hook.) Leaves. Der Pharma Chem. 2016, 8, 192–200. [Google Scholar]
- Chahomchuen, T.; Insuan, O.; Insuan, W. Chemical Profile of Leaf Essential Oils from Four Eucalyptus Species from Thailand and Their Biological Activities. Microchem. J. 2020, 158, 105248. [Google Scholar] [CrossRef]
- Jirovetz, L.; Bail, S.; Buchbauer, G.; Stoilova, I.; Krastanov, A.; Stoyanova, A.; Stanchev, V.; Schmidt, E. Chemical Composition, Olfactory Evaluation and Antioxidant Effects of the Leaf Essential Oil of Corymbia citriodora (Hook) from China. Nat. Prod. Commun. 2007, 2, 599–606. [Google Scholar] [CrossRef]
- Zhao, Q.; Bowles, E.J.; Zhang, H.Y. Antioxidant Activities of Eleven Australian Essential Oils. Nat. Prod. Commun. 2008, 3, 837–842. [Google Scholar] [CrossRef]
- Arjun, P.; Shivesh, J.; Alakh, N.S. Antidiabetic Activity of Aqueous Extract of Eucalyptus citriodora Hook. in Alloxan Induced Diabetic Rats. Pharmacogn. Mag. 2009, 5, 51–54. [Google Scholar]
- Ak Sakallı, E.; Teralı, K.; Karadağ, A.E.; Biltekin, S.N.; Koşar, M.; Demirci, B.; Hüsnü Can Başer, K.; Demirci, F. In vitro and in silico Evaluation of ACE2 and LOX Inhibitory Activity of Eucalyptus Essential Oils, 1,8-Cineole, and Citronellal. Nat. Prod. Commun. 2022, 17, 1934578X221109409. [Google Scholar] [CrossRef]
- Ho, C.L.; Li, L.H.; Weng, Y.C.; Hua, K.F.; Ju, T.C. Eucalyptus Essential Oils Inhibit the Lipopolysaccharide-Induced Inflammatory Response in RAW264.7 Macrophages Through Reducing MAPK and NF-κB Pathways. BMC Complement. Med. Ther. 2020, 20, 200. [Google Scholar] [CrossRef]
- Ansari, P.; Flatt, P.R.; Harriott, P.; Abdel-Wahab, Y.H.A. Insulinotropic and Antidiabetic Properties of Eucalyptus citriodora Leaves and Isolation of Bioactive Phytomolecules. J. Pharm. Pharmacol. 2021, 73, 1049–1061. [Google Scholar] [CrossRef] [PubMed]
- Miguel, M.G.; Gago, C.; Antunes, M.D.; Lagoas, S.; Faleiro, M.L.; Megías, C.; Cortés-Giraldo, I.; Vioque, J.; Figueiredo, A.C. Antibacterial, Antioxidant, and Antiproliferative Activities of Corymbia citriodora and the Essential Oils of Eight Eucalyptus Species. Medicines 2018, 5, 61. [Google Scholar] [CrossRef] [PubMed]
- Koundal, R.; Kumar, D.; Walia, M.; Kumar, A.; Thakur, S.; Chand, G.; Padwad, Y.S.; Agnihotri, V.K. Chemical and in vitro Cytotoxicity Evaluation of Essential Oil from Eucalyptus citriodora Fruits Growing in the Northwestern Himalaya, India. Flavour Fragr. J. 2016, 31, 158–162. [Google Scholar] [CrossRef]
- Iram, W.; Anjum, T.; Iqbal, M.; Ghaffar, A.; Abbas, M. Mass Spectrometric Identification and Toxicity Assessment of Degraded Products of Aflatoxin B1 and B2 by Corymbia citriodora Aqueous Extracts. Sci. Rep. 2015, 5, 14672. [Google Scholar] [CrossRef] [PubMed]
- Hadis, M.; Lulu, M.; Mekonnen, Y.; Asfaw, T. Field Trials on the Repellent Activity of Four Plant Products Against Mainly Mansonia Population in Western Ethiopia. Phytother. Res. 2003, 17, 202–205. [Google Scholar] [CrossRef]
- Siddique, Y.H.; Mujtaba, S.F.; Jyoti, S.; Naz, F. GC-MS Analysis of Eucalyptus citriodora Leaf Extract and its Role on the Dietary Supplementation in Transgenic Drosophila Model of Parkinson’s Disease. Food Chem. Toxicol. 2013, 55, 29–35. [Google Scholar] [CrossRef]
- Reid, E.J.; Betts, T. Records of Western Australian Plants Used by Aboriginals as Medicinal Agents. Planta Med. 1979, 36, 164–173. [Google Scholar] [CrossRef]
- Akhtar, M.A.; Raju, R.; Beattie, K.D.; Bodkin, F.; Münch, G. Medicinal Plants of the Australian Aboriginal Dharawal People Exhibiting Anti-Inflammatory Activity. J. Evid. Based Complement. Altern. Med. 2016, 2016, 2935403. [Google Scholar] [CrossRef]
- Turpin, G.; Ritmejerytė, E.; Jamie, J.; Crayn, D.; Wangchuk, P. Aboriginal Medicinal Plants of Queensland: Ethnopharmacological Uses, Species Diversity, and Biodiscovery Pathways. J. Ethnobiol. Ethnomed. 2022, 18, 1–15. [Google Scholar] [CrossRef]
- Packer, J.; Brouwer, N.; Harrington, D.; Gaikwad, J.; Heron, R.; Yaegl Community, E.; Ranganathan, S.; Vemulpad, S.; Jamie, J. An Ethnobotanical Study of Medicinal Plants Used by the Yaegl Aboriginal Community in Northern New South Wales, Australia. J. Ethnopharmacol. 2012, 139, 244–255. [Google Scholar] [CrossRef]
- Packer, J.; Naz, T.; Harrington, D.; Jamie, J.F.; Vemulpad, S.R. Antimicrobial Activity of Customary Medicinal Plants of the Yaegl Aboriginal community of Northern New South Wales, Australia: A Preliminary Study. BMC Res. Notes 2015, 8, 276. [Google Scholar] [CrossRef] [PubMed]
- von Martius, S.; Hammer, K.A.; Locher, C. Chemical Characteristics and Antimicrobial Effects of Some Eucalyptus Kinos. J. Ethnopharmacol. 2012, 144, 293–299. [Google Scholar] [CrossRef] [PubMed]
- Cornwell, C.P.; Reddy, N.; Leach, D.N.; Grant Wyllie, S. Germacradienols in the Essential Oils of the Myrtaceae. Flavour Fragr. J. 2001, 16, 263–273. [Google Scholar] [CrossRef]
- Sidana, J.; Neeradi, D.; Choudhary, A.; Singh, S.; Foley, W.J.; Singh, I.P. Antileishmanial Polyphenols from Corymbia maculata. J. Chem. Sci. 2013, 125, 765–775. [Google Scholar] [CrossRef]
- Gell, R.J.; Pinhey, J.T.; Ritchie, E. The Constituents of the Kino of Eucalyptus maculata Hook. Aust. J. Chem. 1958, 11, 372–375. [Google Scholar] [CrossRef]
- Mishra, C.S.; Misra, K. Chemical Examination of the Stem Bark of Eucalyptus maculata. Planta Med. 1980, 38, 169–173. [Google Scholar] [CrossRef]
- Abdel-Sattar, E.; Kohiel, M.A.; Shihata, I.A.; El-Askary, H. Phenolic Compounds from Eucalyptus maculata. Pharmazie 2000, 55, 623–624. [Google Scholar]
- Rashwan, O.A. New Phenylpropanoid Glucosides from Eucalyptus maculata. Molecules 2002, 7, 75–80. [Google Scholar] [CrossRef]
- Ebiloma, G.U.; Igoli, J.O.; Katsoulis, E.; Donachie, A.M.; Eze, A.; Gray, A.I.; de Koning, H.P. Bioassay-Guided Isolation of Active Principles from Nigerian Medicinal Plants Identifies New Trypanocides with Low Toxicity and No Cross-Resistance to Diamidines and Arsenicals. J. Ethnopharmacol. 2017, 202, 256–264. [Google Scholar] [CrossRef]
- Ali, D.E.; Abdelrahman, R.S.; El Gedaily, R.A.; Ezzat, S.M.; Meselhy, M.R.; Abdelsattar, E. Evaluation of the Anti-Inflammatory and Antioxidant Activities of Selected Resin Exudates. Trop. J. Nat. Prod. Res. 2020, 4, 255–261. [Google Scholar] [CrossRef]
- Mohamed, A.F.; Ali Hasan, A.G.; Hamamy, M.I.; Abdel-Sattar, E. Antioxidant and Hepatoprotective Effects of Eucalyptus maculata. Med. Sci. Monit. 2005, 11, BR426–BR431. [Google Scholar] [PubMed]
- Hart, N.; Lamberton, J. Morolic acid (3-Hydroxyolean-18-en-28-oic acid) From the Bark of Eucalyptus papuana F. Muell. Aust. J. Chem. 1965, 18, 115–116. [Google Scholar] [CrossRef]
- Silou, T.; Loumouamou, A.N.; Loukakou, E.; Chalchat, J.C.; Figuérédo, G. Intra and Interspecific Variations of Yield and Chemical Composition of Essential Oils from Five Eucalyptus Species Growing in the Congo-Brazzaville. Corymbia subgenus. J. Essent. Oil Res. 2009, 21, 203–211. [Google Scholar] [CrossRef]
- Silou, T.; Loumouamou, A.N.; Makany, A.R.; Dembi, F.; Figuérédo, G.; Chalchat, J.-C. Multivariate Statistical Analysis of the Variability of Essential Oils from the Leaves of Eucalyptus torelliana Acclimatised in Congo-Brazzaville. J. Essent. Oil-Bear. Plants 2010, 13, 503–514. [Google Scholar] [CrossRef]
- Panahi, Y.; Sattari, M.; Babaie, A.P.; Beiraghdar, F.; Ranjbar, R.; Bigdeli, M. The Essential Oils Activity of Eucalyptus polycarpa, E. largiflorence, E. malliodora and E. camaldulensis on Staphylococcus aureus. Iran J. Pharm. Res. 2011, 10, 43–48. [Google Scholar] [PubMed]
- Edward, H.G.M.; de Oliveira, L.F.C.; Quye, A. Raman Spectroscopy of Coloured Resins Used in Antiquity: Dragon’s Blood and Related Substances. Spectrochim. Acta A Mol. Biomol. Spectrosc. 2001, 57, 2831–2842. [Google Scholar] [CrossRef]
- Brophy, J.J.; Forster, P.I.; Goldsack, R.J.; Brynn Hibbert, D. The Essential Oils of the Yellow Bloodwood Eucalypts (Corymbia, section Ochraria, Myrtaceae). Biochem. Syst. Ecol. 1998, 26, 239–249. [Google Scholar] [CrossRef]
- Adeniyi, C.B.A.; Lawal, T.O.; Mahady, G.B. In vitro Susceptibility of Helicobacter pylori to Extracts of Eucalyptus camaldulensis and Eucalyptus torelliana. Pharm. Biol. 2009, 47, 99–102. [Google Scholar] [CrossRef]
- Silifat, J.T.; Ogunwande, I.A.; Olawore, N.O.; Walker, T.M.; Schmidt, J.M.; Setzer, W.N.; Olaleye, O.N.; Aboaba, S.A. In vitro Cytotoxicity Activitie of Essential Oils of Eucalyptus torreliana F. v. Muell (Leaves and Fruits). J. Essent. Oil-Bear. Plants 2005, 8, 110–119. [Google Scholar] [CrossRef]
- Senadeera, S.P.D.; Lucantoni, L.; Duffy, S.; Avery, V.M.; Carroll, A.R. Antiplasmodial β-Triketone-Flavanone Hybrids from the Flowers of the Australian Tree Corymbia torelliana. J. Nat. Prod. 2018, 81, 1588–1597. [Google Scholar] [CrossRef]
- Sutherland, M.; Webb, L.; Wells, J. Terpenoid Chemistry. III. The Essential Oils of Eucalyptus deglupta Blume and E. torelliana F. Muell. Aust. J. Chem. 1960, 13, 357–366. [Google Scholar] [CrossRef]
- Lamberton, J.A. The Occurrence of 5-Hydroxy-7,4’-dimethoxy-6-methylflavone in Eucalyptus Waxes. Aust. J. Chem. 1964, 17, 692–696. [Google Scholar] [CrossRef]
- Lawal, T.O.; Adeniyi, B.A.; Adegoke, A.O.; Franzblau, S.G.; Mahady, G.B. In vitro Susceptibility of Mycobacterium tuberculosis to Extracts of Eucalyptus camaldulensis and Eucalyptus torelliana and Isolated Compounds. Pharm. Biol. 2012, 50, 92–98. [Google Scholar] [CrossRef] [PubMed]
- Massaro, C.F.; Katouli, M.; Grkovic, T.; Vu, H.; Quinn, R.J.; Heard, T.A.; Carvalho, C.; Manley-Harris, M.; Wallace, H.M.; Brooks, P. Anti-Staphylococcal Activity of C-Methyl Flavanones from Propolis of Australian Stingless Bees (Tetragonula carbonaria) and Fruit Resins of Corymbia torelliana (Myrtaceae). Fitoterapia 2014, 95, 247–257. [Google Scholar] [CrossRef]
- Nobakht, M.; Grkovic, T.; Trueman, S.J.; Wallace, H.M.; Katouli, M.; Quinn, R.J.; Brooks, P.R. Chemical Constituents of Kino Extract from Corymbia torelliana. Molecules 2014, 19, 17862–17871. [Google Scholar] [CrossRef]
- Adeniyi, B.; Odufowoke, R.; Olaleye, S. Antibacterial and Gastroprotective Properties of Eucalyptus torelliana [Myrtaceae] Crude Extracts. Int. J. Pharmacol. 2006, 2, 362–365. [Google Scholar] [CrossRef]
- Panikar, S.; Nanthini, A.U.R.; Umapathy, V.R.; SumathiJones, C.; Mukherjee, A.; Prakash, P.; Farooq, T.H. Morphological, chemoprofile and soil analysis comparison of Corymbia citriodora (Hook.) KD Hill and LAS Johnson along with the green synthesis of iron oxide nanoparticles. J. King Saud Univ. Sci. 2022, 34, 102081. [Google Scholar] [CrossRef]
- Aguiar, R.W.; Ootani, M.A.; Ascencio, S.D.; Ferreira, T.P.; Dos Santos, M.M.; dos Santos, G.R. Fumigant antifungal activity of Corymbia citriodora and Cymbopogon nardus essential oils and citronellal against three fungal species. Sci. World J. 2014, 2014, 492138. [Google Scholar] [CrossRef]
- Alves, T.J.S.; Murcia, A.; Wanumen, A.C.; Wanderley-Teixeira, V.; Teixeira, Á.A.C.; Ortiz, A.; Medina, P. Composition and Toxicity of a Mixture of Essential Oils Against Mediterranean Fruit Fly, Ceratitis capitata (Wiedemann) (Diptera: Tephritidae). J. Econ. Entomol. 2019, 112, 164–172. [Google Scholar] [CrossRef]
- Benchaa, S.; Hazzit, M.; Abdelkrim, H. Allelopathic Effect of Eucalyptus citriodora Essential Oil and Its Potential Use as Bioherbicide. Chem. Biodivers. 2018, 15, e1800202. [Google Scholar] [CrossRef]
- Betts, T.J. Solid Phase microextraction of Volatile Constituents from Individual Fresh Eucalyptus Leaves of Three Species. Planta Med. 2000, 66, 193–195. [Google Scholar] [CrossRef] [PubMed]
- Bossou, A.D.; Mangelinckx, S.; Yedomonhan, H.; Boko, P.M.; Akogbeto, M.C.; De Kimpe, N.; Avlessi, F.; Sohounhloue, D.C.K. Chemical Composition and Insecticidal Activity of Plant Essential Oils from Benin against Anopheles gambiae (Giles). Parasit. Vectors 2013, 6, 337. [Google Scholar] [CrossRef]
- Bouyahya, A.; Abrini, J.; Et-Touys, A.; Bakri, Y.; Dakka, N. Indigenous Knowledge of the Use of Medicinal Plants in the North-West of Morocco and Their Biological Activities. Eur. J. Integr. Med. 2017, 13, 9–25. [Google Scholar] [CrossRef]
- Chalchat, J.M.; Garry, R.P.; Sidibé, L.; Harama, M. Aromatic Plants of Mali (V): Chemical Composition of Essential Oils of Four Eucalyptus Species Implanted in Mali: Eucalyptus camaldulensis, E. citriodora, E. torelliana and E. tereticornis. J. Essent. Oil Res. 2000, 12, 695–701. [Google Scholar] [CrossRef]
- Chen, J.; Lichwa, J.; Ray, C. Essential oils of selected hawaiian plants and associated litters. J. Essent. Oil Res. 2007, 19, 276–278. [Google Scholar] [CrossRef]
- Cimanga, K.; Kambu, K.; Tona, L.; Apers, S.; De Bruyne, T.; Hermans, N.; Totté, J.; Pieters, L.; Vlietinck, A.J. Correlation between chemical composition and antibacterial activity of essential oils of some aromatic medicinal plants growing in the Democratic Republic of Congo. J. Ethnopharmacol. 2002, 79, 213–220. [Google Scholar] [CrossRef]
- Costa, A.V.; Pinheiro, P.F.; de Queiroz, V.T.; Rondelli, V.M.; Marins, A.K.; Valbon, W.R.; Pratissoli, D. Chemical composition of essential oil from Eucalyptus citriodora leaves and insecticidal activity against Myzus persicae and Frankliniella schultzei. J. Essent. Oil-Bear. Plants 2015, 18, 374–381. [Google Scholar] [CrossRef]
- De Medici, D.; Pieretti, S.; Salvatore, G.; Nicoletti, M.; Rasoanaivo, P. Chemical analysis of essential oils of malagasy medicinal plants by gas chromatography and NMR spectroscopy. Flavour Fragr. J. 1992, 7, 275–281. [Google Scholar] [CrossRef]
- Ghaffar, A.; Yameen, M.; Kiran, S.; Kamal, S.; Jalal, F.; Munir, B.; Saleem, S.; Rafiq, N.; Ahmad, A.; Saba, I.; et al. Chemical composition and in-vitro evaluation of the antimicrobial and antioxidant activities of essential oils extracted from seven eucalyptus species. Molecules 2015, 20, 20487–20498. [Google Scholar] [CrossRef]
- Homa, M.; Fekete, I.P.; Böszörményi, A.; Singh, Y.R.B.; Selvam, K.P.; Shobana, C.S.; Manikandan, P.; Kredics, L.; Vágvölgyi, C.; Galgóczy, L. Antifungal Effect of Essential Oils against Fusarium Keratitis Isolates. Planta Med. 2015, 81, 1277–1284. [Google Scholar] [CrossRef]
- Lee, Y.S.; Kim, J.; Shin, S.C.; Lee, S.G.; Park, I.K. Antifungal activity of Myrtaceae essential oils and their components against three phytopathogenic fungi. Flavour Fragr. J. 2008, 23, 23–28. [Google Scholar] [CrossRef]
- Manguro, L.O.A.; Opiyo, S.A.; Asefa, A.; Dagne, E.; Muchori, P.W. Chemical constituents of essential oils from three eucalyptus species acclimatized in Ethiopia and Kenya. J. Essent. Oil-Bear. Plants 2010, 13, 561–567. [Google Scholar] [CrossRef]
- Mann, T.S.; Babu, G.D.K.; Guleria, S.; Singh, B. Variation in the volatile oil composition of Eucalyptus citriodora produced by hydrodistillation and supercritical fluid extraction techniques. Nat. Prod. Res. 2013, 27, 675–679. [Google Scholar] [CrossRef] [PubMed]
- Manzoor, F.; Naz, N.; Malik, S.A.; Arshad, S.; Siddiqui, B. Chemical composition of essential oils derived from eucalyptus and lemongrass and their antitermitic activities angainst Microtermes mycophagus (Desneux). Asian J. Chem. 2013, 25, 2405–2408. [Google Scholar] [CrossRef]
- Mohamed, A.A.; Behiry, S.I.; Younes, H.A.; Ashmawy, N.A.; Salem, M.Z.M.; Márquez-Molina, O.; Barbabosa-Pilego, A. Antibacterial activity of three essential oils and some monoterpenes against Ralstonia solanacearum phylotype II isolated from potato. Microb. Pathog. 2019, 135, 103604. [Google Scholar] [CrossRef]
- Mulyaningsih, S.; Sporer, F.; Reichling, J.; Wink, M. Antibacterial activity of essential oils from Eucalyptus and of selected components against multidrug-resistant bacterial pathogens. Pharm. Biol. 2011, 49, 893–899. [Google Scholar] [CrossRef]
- Panikar, S.; Shoba, G.; Arun, M.; Sahayarayan, J.J.; Usha Raja Nanthini, A.; Chinnathambi, A.; Alharbi, S.A.; Nasif, O.; Kim, H.J. Essential oils as an effective alternative for the treatment of COVID-19: Molecular interaction analysis of protease (Mpro) with pharmacokinetics and toxicological properties. J. Infect. Public Health 2021, 14, 601–610. [Google Scholar] [CrossRef]
- Rajeswara Rao, B.R.; Kaul, P.N.; Syamasundar, K.V.; Ramesh, S. Comparative Composition of Decanted and Recovered Essential Oils of Eucalyptus citriodora Hook. Flavour Fragr. J. 2003, 18, 133–135. [Google Scholar] [CrossRef]
- Ramezani, H.; Singh, H.P.; Batish, D.R.; Kohli, R.K. Antifungal activity of the volatile oil of Eucalyptus citriodora. Fitoterapia 2002, 73, 261–262. [Google Scholar] [CrossRef]
- Sarma, N.; Gogoi, R.; Loying, R.; Begum, T.; Munda, S.; Pandey, S.K.; Lal, M. Phytochemical composition and biological activities of essential oils extracted from leaves and flower parts of Corymbia citriodora (Hook). J. Environ. Biol. 2021, 42, 552–562. [Google Scholar]
- Setia, N.; Batish, D.R.; Singh, H.P.; Kohli, R.K. Phytotoxicity of volatile oil from Eucalyptus citriodora against some weedy species. J. Environ. Biol. 2007, 28, 63–66. [Google Scholar] [PubMed]
- Sultana, S.; Ali, M.; Ansari, S.H.; Bagri, P. The Effect of Physical Factors on Chemical Composition of the Essential Oil of Eucalyptus citriodora Hook. Leaves. J. Essent. Oil-Bear. Plants 2008, 11, 69–74. [Google Scholar] [CrossRef]
- Traoré, N.; Sidibé, L.; Figuérédo, G.; Chalchat, J.C. Chemical composition of five essential oils of eucalyptus species from mali: E. houseana f.v. Fitzg. ex Maiden, e. citriodora Hook., e. Raveretiana f. Muell., e. Robusta Smith and e. Urophylla s.t. Blake. J. Essent. Oil Res. 2010, 22, 510–513. [Google Scholar] [CrossRef]
- Vernin, G.A.; Parkanyi, C.; Cozzolino, F.; Fellous, R. GC/MS analysis of the volatile constituents of corymbia citriodora hook. from réunion Island). J. Essent. Oil Res. 2004, 16, 560–565. [Google Scholar] [CrossRef]
- Zini, C.A.; Augusto, F.; Christensen, E.; Caramão, E.B.; Pawliszyn, J. SPME applied to the study of volatile organic compounds emitted by three species of Eucalyptus in situ. J. Agric. Food Chem. 2002, 50, 7199–7205. [Google Scholar] [CrossRef]
- Zini, C.A.; Zanin, K.D.; Christensen, E.; Caramão, E.B.; Pawliszyn, J. Solid-phase microextraction of volatile compounds from the chopped leaves of three species of Eucalyptus. J. Agric. Food Chem. 2003, 51, 2679–2686. [Google Scholar] [CrossRef]
- Asante, K.S.; Brophy, J.J.; Doran, J.C.; Goldsack, R.J.; Hibbert, D.B.; Larmour, J.S. A Comparative Study of the Seedling Leaf Oils of the Spotted gums: Species of the Corymbia (Myrtaceae), Section Politaria. Aust. J. Bot. 2001, 49, 55–66. [Google Scholar] [CrossRef]
- Filomeno, C.A.; Barbosa, L.C.A.; Teixeira, R.R.; Pinheiro, A.L.; de Sá Farias, E.; de Paula Silva, E.M.; Picanço, M.C. Corymbia spp. and Eucalyptus spp. Essential Oils Have Insecticidal Activity against Plutella xylostella. Ind. Crops Prod. 2017, 109, 374–383. [Google Scholar] [CrossRef]
- Reyes, E.I.M.; Farias, E.S.; Silva, E.M.P.; Filomeno, C.A.; Plata, M.A.B.; Picanço, M.C.; Barbosa, L.C.A. Eucalyptus resinifera Essential Oils have Fumigant and Repellent Action Against Hypothenemus hampei. J. Crop Prot. 2019, 116, 49–55. [Google Scholar] [CrossRef]
- Santos, P.L.; Matos, J.P.S.; Picot, L.; Almeida, J.R.; Quintans, J.S.; Quintans-Júnior, L.J. Citronellol, a monoterpene alcohol with promising pharmacological activities-A systematic review. Food Chem. Toxicol. 2019, 123, 459–469. [Google Scholar] [CrossRef]
- Sharma, R.; Rao, R.; Kumar, S.; Mahant, S.; Khatkar, S. Therapeutic potential of citronella essential oil: A review. Curr. Drug Discov. Technol. 2019, 16, 330–339. [Google Scholar] [CrossRef] [PubMed]
- Salehi, B.; Upadhyay, S.; Erdogan Orhan, I.; Kumar Jugran, A.; LD Jayaweera, S.; Dias, D.A.; Sharopov, F.; Taheri, Y.; Martins, N.; Baghalpour, N. Therapeutic potential of α-and β-pinene: A miracle gift of nature. Biomolecules 2019, 9, 738. [Google Scholar] [CrossRef] [PubMed]
- Bignell, C.M.; Dunlop, P.J.; Brophy, J.J.; Jackson, J.F. Volatile Leaf Oils of Some South-Western and Southern Australian Species of the Genus Eucalyptus (series I). Part XIII. (Series I). (a) Series Subulatae, (b) Series Curviptera, (c) Series Contortae, (d) Series Incognitae, (e) Series Terminaliptera, (f) Series Inclusae, (g) Series Microcorythae and (h) Series Cornutae. Flavour Fragr. J. 1996, 11, 339–347. [Google Scholar]
- Ramezani, H.; Singh, H.; Batish, D.; Kohli, R.; Dargan, J. Fungicidal Effect of Volatile Oils from Eucalyptus citriodora and its Major Constituent Citronellal. N. Z. Plant Prot. 2002, 55, 327–330. [Google Scholar] [CrossRef]
- Salas-Oropeza, J.; Jimenez-Estrada, M.; Perez-Torres, A.; Castell-Rodriguez, A.E.; Becerril-Millan, R.; Rodriguez-Monroy, M.A.; Jarquin-Yañez, K.; Canales-Martinez, M.M. Wound Healing Activity of α-Pinene and α-Phellandrene. Molecules 2021, 26, 2488. [Google Scholar] [CrossRef] [PubMed]
- Tasdemir, D.; Kaiser, M.; Brun, R.; Yardley, V.; Schmidt, T.J.; Tosun, F.; Ruedi, P. Antitrypanosomal and antileishmanial activities of flavonoids and their analogues: In vitro, in vivo, structure-activity relationship, and quantitative structure-activity relationship studies. Antimicrob. Agents Chemother. 2006, 50, 1352–1364. [Google Scholar] [CrossRef]
- da Silva, E.R.; Brogi, S.; Lucon-Júnior, J.F.; Campiani, G.; Gemma, S.; Maquiaveli, C.d.C. Dietary polyphenols rutin, taxifolin and quercetin related compounds target Leishmania amazonensis arginase. Food Funct. 2019, 10, 3172–3180. [Google Scholar] [CrossRef]
- Carroll, A.R.; Avery, V.M.; Duffy, S.; Forster, P.I.; Guymer, G.P.; Watsonianone, A.-C. Anti-Plasmodial β-Triketones from the Australian tree, Corymbia watsoniana. Org. Biomol. Chem. 2013, 11, 453–458. [Google Scholar] [CrossRef]
- Solomon, B.; Gebre-Mariam, T.; Asres, K. Mosquito repellent actions of the essential oils of cymbopogon citratus, cymbopogon nardus and eucalyptus citriodora: Evaluation and formulation studies. J. Essent. Oil-Bear. Plants 2012, 15, 766–773. [Google Scholar] [CrossRef]
- Dube, F.F.; Tadesse, K.; Birgersson, G.; Seyoum, E.; Tekie, H.; Ignell, R.; Hill, S.R. Fresh, dried or smoked? Repellent properties of volatiles emitted from ethnomedicinal plant leaves against malaria and yellow fever vectors in Ethiopia. Malar. J. 2011, 10, 375. [Google Scholar] [CrossRef]
- Seyoum, A.; Kabiru, E.W.; Lwande, W.; Killeen, G.F.; Hassanali, A.; Knols, B.G.J. Repellency of live potted plants against Anopheles gambiae from human baits in semi-field experimental huts. Am. J. Trop. Med. Hyg. 2002, 67, 191–195. [Google Scholar] [CrossRef] [PubMed]
- Dugassa, S.; Medhin, G.; Balkew, M.; Seyoum, A.; Gebre-Michael, T. Field investigation on the repellent activity of some aromatic plants by traditional means against Anopheles arabiensis and An. pharoensis (Diptera: Culicidae) around Koka, central Ethiopia. Acta Trop. 2009, 112, 38–42. [Google Scholar] [CrossRef] [PubMed]
- Seyoum, A.; Pålsson, K.; Kunga, S.; Kabiru, E.W.; Lwande, W.; Killeen, G.F.; Hassanali, A.; Knols, B.G. Traditional use of mosquito-repellent plants in western Kenya and their evaluation in semi-field experimental huts against Anopheles gambiae: Ethnobotanical studies and application by thermal expulsion and direct burning. Trans. R. Soc. Trop. Med. Hyg. 2002, 96, 225–231. [Google Scholar] [CrossRef] [PubMed]
- Braverman, Y.; Chizov-Ginzburg, A.; Mullens, B.A. Mosquito repellent attracts Culicoides imicola (Diptera: Ceratopogonidae). J. Med. Entomol. 1999, 36, 113–115. [Google Scholar] [CrossRef]
- Collins, D.A.; Brady, J.N.; Curtis, C.F. Assessment of the efficacy of quwenling as a mosquito repellent. Phytother. Res. 1993, 7, 17–20. [Google Scholar] [CrossRef]
- Curtis, C.; Lines, J.; Baolin, L.; Renz, A. Natural and Synthetic Repellents. In Appropriate Technology in Vector Control; CRC Press: Boca Raton, FL, USA, 1990; Volume 1, pp. 75–92. [Google Scholar]















| Species | Origin of Plant Studied | Part(s) of Plant Studied § | Ethnomedical Uses | Compounds Isolated | Biological Testing Performed |
|---|---|---|---|---|---|
| C. bleeseri (Blakely) | Australia | K | Kino is applied to cuts and wounds to promote healing [22] and is used to treat skin lesions, scabies, cramps, sore throats and coughs [17]. | – † [23] | – |
| C. calophylla (Lindl.) | Australia | K, B | Kino is used to treat chronic bowel conditions and dysentery [17]. | Aromadendrin; kaempferol; ellagic acid [24]; oleanolic acid acetate [25]; (+)-afzelechin *; pyrogallol; (+)-catechin [26]; leucopelargonidin *; aromadendrin; sakuranetin [27]. | – |
| C. citriodora (Hook.) | Algeria; Australia; Bangladesh; Benin; Brazil; China; Colombia; Cote d′Ivoire; Democratic Republic of the Congo; Egypt; India; Türkiye; Kenya; Madagascar; Morocco; Nigeria; Pakistan; Portugal; Taiwan; Thailand; USA | L, K, T, Fr, H | Leaves and bark are used as antiseptics, expectorants, and treatments for influenza and colds, toothaches [28,29] and diarrhoea [29]; hot water extracts of the dried leaves are used to treat colds, influenzas, respiratory infections and sinus congestion [30,31,32,33,34,35]; water extracts are also used to treat, vomiting, nausea, indigestion, bloating, irritable bowel and abdominal pain [30]; leaves are used in India and Africa to treat obesity, ageing, cardiovascular illnesses, diabetes and respiratory problems [36,37]; in Nigeria, leaves are boiled and consumed for the treatment of typhoid fever, stomach aches and malaria [38]; Dharawal people use leaves to treat inflammation, wounds and fungal infections [39]. Kino is traditionally used to treat diarrhoea and bladder inflammation and is applied to cuts and abrasions [40,41]. | Shikimic acid; quinic acid; glutaric acid; succinic acid; malic acid; citric acid [42]; (±)-(trans)-p-menthane-3,8-diol; (±)-(cis)-p-menthane-3,8-diol [43]; 6-[1-(p-hydroxyphenyl) ethyl]-7-O-methyl aromadendrin [40]; citronellol acetate [44]; 3,5,4′,5″-tetrahydroxy-7-methoxy-6-[1-(p-hydroxy-phenyl)ethyl]flavanone; 3,5,7,4′,5″-pentahydroxy-6-[1-(p-hydroxy-phenyl)ethyl] flavanone [45]; 1-O,2-O-digaloil-6-O-trans-p-coumaroyl-β-D-glucoside; 1-O-trans-p-coumaroyl-6-O-cinamoil-β-D-glucoside; α- and β-6-O-trans-p-coumaroyl-D-glucoside; 7-methylaromadendrin-4′-O-6″-trans-p-coumaroyl-β-D-glucoside; aromadendrin; aromadendrin-7-methyl ether; naringenin; sakuranetin; kaempferol-7-methyl ether; gallic acid [46]; citriodora A *; 3β,7β,25-trihydroxycucurbita-5,23-(E)-dien-19-al; kuguacin A; kuguacin H; 3β,7β-dihydroxy-25-methoxycucurbita-5,23-(E)-dien-19-al; kuguacin S [47]; trans-calamenene; T-muurolol; α-cadinol; 2β-hydroxy-α-cadinol; 4-hydroxy-3,5-dimethoxybenzaldehyde; 4-hydroxy-3,5-dimethoxybenzoic acid; linoleic acid; squalene; α-tocopherol; erythrodiol; morolic acid; betulonic acid; cycloeucalenol; cycloeucalenol vernolitate *; β-sitosterol; β-sitosteryl-β-D-glucoside; sitostenone; yangambin; sesamin [48]; rhamnocitrin; 6-[1-(p-hydroxyphenyl)ethyl]-7-O-methyl aromadendrin *; 6-[1-(p-hydroxyphenyl)ethyl]-rhamnocitrin; kaempferol; 7-O-methyl aromadendrin [49]; citriodolic acids A–C *; rosmarinic acid; ferulic acid; gallic acid [50]; ellagic acid; gallic acid; quercetin; myricetin; 3-O-methylellagic acid-4′-O-α-L-rhamnoside; quercetin-3-O-β-D-galactoside; kaempferol-3-O-β-D-glucoside; quercetin-3-O-β-D-glucuronide; quercetin-3-O-rutinoside; 3,3′,4-tri-O-methylellagic acid-4′-O-β-D-glucopyranosyl [39]; rhodomyrtosone E *; betulinic acid; oleanolic acid; ursolic acid; corosolic acid; asiatic acid; madasiatic acid; euscaphic acid; 5,7,4′-trihydroxy dihydroflavanol; isoquercitrin; isomyricitrin; myricitrin; gallic acid [51]; citrioside A *; hesperidin; baicalin; puerarin; trifolirhizin 6′-monoacetate; trifolirhizin [52]; citrioside C *; kaempferol-3-O-β-D-glucopyranosyl (12)-α-L-rhamnoside; kaempferol-3-O-α-L-rhamnoside; quercetin-3-O-α-L-rhamnoside [53]; 7-O-methylaromadendrin; aromadendrin-dimethyl ether; 7-O-methylkempferol; ellagic acid [54]. | Anti-Fungal Activity: potent fungicidal activity of leaf EO against C. albicans, C. krusei and C. tropicalis [55]; anti-fungal activity of leaf EO against M. canis, M. gypseum, T. mentagrophytes and T. rubrum [56]; anti-fungal activity of leaf EO against A. alternata, C. lunata and B. specifera [57]; leaf EO enhanced wound healing rate of C. albicans-infected wounds in rats [44]; anti-fungal activity of petroleum ether leaf extract [58]; anti-fungal activity observed in leaf/twig EO [33]; fungicidal activity of leaf EO against C. albicans [36]; anti-fungal activity against P. notatum, A. niger and F. oxysporium observed for 7-O-methylaromadendrin, 7-O-methylkaempferol and ellagic acid [54]. Anti-Bacterial Activity: anti-bacterial activity of leaf extracts against M. aureus, E. coli and My. Pheli [54]; anti-bacterial activity of petroleum ether leaf extract [58]; anti-bacterial activity observed from leaf/twig EO [33]; anti-bacterial activity of leaf EO against S. sanguinis and S. salivarius with anti-biofilm activity [18]; bactericidal activity of leaf EO against E. coli and S. aureus [36]; bactericidal activity of leaf EO [37]; anti-bacterial activity of aqueous EtOH leaf extract [59]; anti-bacterial activity of fruit and twig EOs against several species [60]; anti-bacterial activity of leaf extract against S. aureus [61]; airborne TB inhibition by volatile leaf EO components [62]; leaf EO inhibits the growth of V. campbellii BB120 bacteria [63] and treatment of brine shrimp infected with V. campbellii with EO enabled their survival [64]. Acaricidal Activity: acaricidal activity of leaf EO against A. nitens larvae [65]; leaf EO and citronellal reduced R. microplus reproductive parameters and increased larval mortality [66]. Anti-Protozoal Activity: anti-trypanosomal activity of leaf EO against T. brucei [67], T. evansi [67] and T. cruzi [68]; anti-trypanosomal activity of EtOH extract against T. brucei [69]; anti-plasmodial activity observed against P. falciparum 3D7 and INDO strains [70]. Anti-Viral Activity: potent anti-viral activity against RSV observed in citriodolic acids A–C [50], citrioside A [52] and quercetin-3-O-α-L-rhamnoside [53]. Insecticidal Activity: fumigant activity against the R. speratus [71]; larvicidal activity against A. aegypti [72]; larvicidal activity of leaf hexane extract against An. Stephensi, Cx. Quinquefasciatus and Ae. Aegypti [73]; larvicidal activity of aqueous EtOH leaf extract [59]; larvicidal activity of leaf EOs against S. frugiperda larvae [74]; insecticidal activity of MeOH extract against T. castaneum [75]. Anti-Oxidant/Anti-Inflammatory Activity: leaf EO showed significant inhibition and IC50 values of 4.8–344 µg/mL in DPPH assays [31,33,76,77,78,79,80]; floral EO showed moderate DPPH inhibition [31]; leaf EO showed potent peroxidation inhibition in a linoleic acid/β-carotene assay [33]; leaf and floral EOs showed micromolar protease inhibition [31]; anti-inflammatory properties via inhibition of LOX-1 [28]; kino EtOH extract [32] and flavanols isolated from kino exhibited 15-LOX inhibition [49]; potential anti-inflammatory and anti-viral activity of leaf EO via LOX and ACE2 inhibition [81]; potent anti-inflammatory and gastroprotective properties of ellagitannin fraction in rats [20]; potent inhibition of LPS-induced inflammation in RAW264.7 macrophages [82]; ellagic acid isolated from C. citriodora leaves showed anti-inflammatory and gastroprotective activity in an EtOH-induced acute gastric ulcer mouse model [39]; leaf EO showed significant anti-inflammatory and analgesic activity in rats and mice [35]. Anti-Diabetic Activity: betulinic acid and corosolic acid isolated from C. citriodora leaves enhanced GLUT-4 translocation activity [51]; aqueous leaf extract enhanced insulin secretion and glucose uptake in vitro and had anti-diabetic effects in high-fat-fed rats [80,83]; EtOH leaf extract had anti-diabetic and insulinotropic activity in high-fat-fed rats [21]. Anti-Cancer Activity: Anti-proliferative activity of aqueous extract against MIA, PaCa-2, BxPC-3, CFPAC-1 and HPDE cells [30]; leaf EO exhibited anti-proliferative activity against THP-1 cells [84]; EtOAc fraction of EtOH kino extract and isolated 6-[1-(p-hydroxyphenyl) ethyl]-7-O-methylaromadendrin exhibited potent anti-proliferative activity and apoptosis induction in B16F10 melanoma cells [40]; aqueous fraction of EtOH kino extract inhibited cell growth and induced apoptosis in HepG2 cells [41]; leaf EO showed potent anti-cancer activity against HCT-116, MCF-7 and hepG-2 cells [76]; moderate cytotoxicity of leaf EO against A-549, PC-3, T98G and T47D cells [57]; fruit EO was cytotoxic toward A549, HeLa and CHOK1 cells [85]. Other Bioactivity: aqueous extract of leaves and branches detoxified mycotoxins aflatoxins B1 and B2 [86]; leaf EO exhibited anti-spasmodic effects via inhibition of acetylcholine-induced contraction of a rat ileum [29]; mosquito repellence [43,87]; acetone leaf extract delayed loss of climbing ability and reduced oxidative stress in transgenic Drosophila expressing h-αS in the neurons [88]. |
| C. dichromophlo-ia (F. Muell.) | Australia | – | Kino infusions are used to treat respiratory complaints [17]; mixed with water as a general tonic and analgesic mouth rinse for toothaches [17,89]; mixed with water for sore eyes, lips, wounds, skin lesions, burns, scabies, cramps and sore throats [17]; kino sucked or decoction prepared as tonic for cardiac complaints [17,89]. Leaves are boiled in water and consumed for respiratory conditions [22]. | – | – |
| C. eximia (Schauer) | Australia | L | Dharawal people use leaves to treat colds, fever, chest and muscle pain, extreme diarrhoea and syphilitic sores and as a wash for joints [90]. | – | Ethanolic leaf extract showed anti-inflammatory properties in RAW 264.7 macrophages [90]. |
| C. gummifera (Gaertn.) | Australia | K, L | Leaves used for respiratory conditions and as a wash for joints [90]. Leaves and kino are used as haemostatics and to treat diarrhoea, ringworm, venereal sores and other STIs [17,91]. | Aromadendrin; ellagic acid [24]. | Moderate anti-inflammatory activity observed in RAW 264.7 macrophages [90]. |
| C. intermedia (R.T. Baker) | Australia | K, L, FL | The Yaegl aboriginal community uses kino to treat warts and wounds and as a haemostatic [92,93]. | Intermediones A–D *; (4S)-ficifolidione [19]. | Intermediones A, B and D showed moderate anti-plasmodial activity against P. falciparum 3D7 [19]; intermedianone A also displayed anti-proliferative activity against HEK-293 cells [19]. |
| C. maculata (Hook.) | Australia, Egypt, India, Nigeria | L, K, B | Kino is applied directly to burns, and used to treat muscle aches, cramps, wounds, scabies, ringworm, venereal sores, muscle aches and cramps [94]; kino is also ingested to treat coughs, colds, influenza and other infections, dysentery and diarrhoea [94]; kino is also used to treat chronic bowel inflammation [17]. Dharawal people use leaves to treat respiratory infections, fever, chest and muscle pain, and as a wash for joints [90]; juice extracted from the leaves is used to treat paralysis and rheumatism in India [30]. In Australian bush medicine, gum derived from the bark is used to treat bladder infections [30]. | β-Germacrenol [95]; 8-demethyl eucalyptin; 8-demethyleucalyptin; myrciaphenone A–B; quercetin-3-O-β-D-xyloside; myricetin-3-O-α-L-rhamnoside; quercetin-3-O-β-D-galactoside; quercetin-3-O-β-D-glucoside; quercetin-3-O-α-L-rhamnoside; syringic acid; gallic acid-3-methyl ether; gallic acid-4-methyl ether; gallic acid [96]; ellagic acid; p-coumaric acid; naringenin; 7-O-methylaromadendrin [97]; leucopeargoniidin-3-O-α-L-rhamno-β-D-glucoside *; 5,7-dihydroxy 4′-methoxy flavanone [98]; cinnamic acid; 7-O-methyl aromadendrin; sakuranetin; 1,6-dicinnamoyl-O-α-D-glucoside* [99]; p-coumaric acid; 1-O-cinnamoyl 6-O-coumaroyl-β-D-glucoside *; 7-methylaromadendrin-4′-O-(6′′-trans-p-coumaroyl)-β-D-glucoside * [100]; 3β,13β-dihydroxy-urs-11-en-28-oic acid [101]; 6-[1-(p-hydroxyphenyl)ethyl]-7-O-methylaromadendrin [40]. | Potent anti-leishmanial activity against L. donovani observed in eucalyptin, Myciaphenone A and five flavonoid glycosides [96]; potent anti-trypanosomal activity against T. brucei [101]; leaf aqueous extract inhibited PaCa-2 cell proliferation [30]; MeOH extract showed anti-inflammatory properties in vitro [102]; EtOH leaf extract exhibited anti-inflammatory properties in RAW 264.7 macrophages [90]; MeOH kino extract showed significant anti-inflammatory properties in rats [102]; 7-O-methylaromadendrin, sakuranetin and 1,6-dicinnamoyl-O-α-D-glucoside isolated from the kino [99] exhibited anti-oxidant and hepatoprotective properties in rats [103]. |
| C. opaca (D.J. Carr & S.G.M. Carr) | Australia | – | Kino is applied directly to scabies, cuts and sores, and the gum is boiled in water and applied to sore eyes [22]. | – | – |
| C. papuana (F. Muell.) | Australia | B | Kino is used as a decoction for sores, cramps, burns, pains and cuts, skin lesions, scabies, sore throat and cough; infusions are used for colds and sore eyes [17]. | Morolic acid [104]. | – |
| C. polycarpa (F. Muell.) | Iran | L | Kino is used to treat sores, burns, cuts, burns, yaws, ulcers, dysentery and toothaches [17,91]. | – † [105,106] | Anti-bacterial activity of leaf EO against S. aureus [107]. |
| C. terminalis (F. Muell.) | Australia | – | Kino is applied to wounds, cuts, sores, toothaches, scabies, skin lesions scabies and cramps [17,22]; it is also taken in water for diarrhoea, headaches, coughs, heart disease and blood conditions [17,22,89]. Bark is used to treat dysentery [91]. | – ‡ [108] | – |
| C. tessellaris (F. Muell.) | Australia | – | Kino is consumed for dysentery [17]; gum is used for constipation [91]. | –† [109] | – |
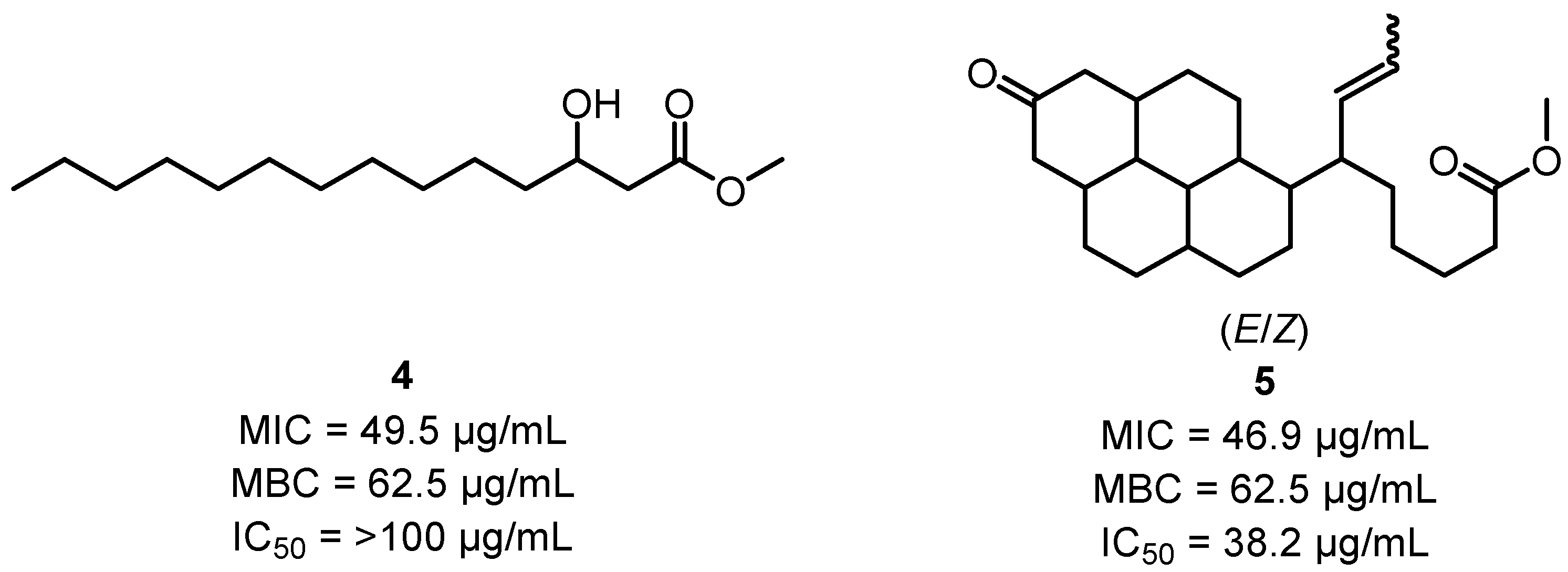
| C. torelliana (F. Muell.) | Australia, Papua New Guinea, Nigeria | K, L, B FR, FL | Leaves are used to treat gastrointestinal disorders, sore throats, bacterial respiratory and urinary tract infections [110]; leaf poultice is applied to ulcers and wounds [110]; hot water extracts of leaves are used in Nigerian traditional medicine as an analgesic, anti-inflammatory, cancer treatment and to alleviate intestinal disorders [111]. | Torellianones A–F *; torellianol A *; ficifolidione; (4R)-ficifolidione; kunzeanone A–B [112]; (+)-pinene; (±)-α-pinene; (-)-β-pinene; ocimene; (+)-aromadendrene; benzaldehyde [113]; 5-hydroxy-7,4′-dimethoxy-6-methylflavone [114]; hydroxymyristic acid methyl ester; methyl (E)- and (Z)-6-(8-oxooctadecahydrochrysen-1-yl)non-7-enoate [115]; (2S)-cryptostrobin; (2S)-stroboponin; (2S)- cryptostrobin 7-methyl ether; (2S)- desmethoxymatteucinol; (2S)-pinostrobin; (2S)-pinocembrin [116]; 3,4′,5,7-tetrahydroxyflavanone; 3′,4′,5,7-tetrahydroxyflavanone; 4′,5,7-trihydroxyflavanone; 3,4′,5-trihydroxy-7-methoxyflavanone; (+)-(2S)-4′,5,7-trihydroxy-6-methylflavanone; 4′,5,7-trihydroxy-6,8-dimethylflavanone; 4′,5-dihydroxy-7-methoxyflavanone [117]. | Torellianones C–F, (4R)- and (4S)-ficifolidones and kunzeanone A exhibited anti-plasmodial activity against P. falciparum [112]; potent in vitro anti-H. pylori activity of leaf and stem extracts across various strains [110]; leaf and stem bark extracts and isolated compounds showed anti-TB activity [115]; anti-bacterial activity of stingless bee propolis, fruit resin and isolated flavonoids against S. aureus [116]; moderate anti-bacterial activities and potent cytotoxicity to PC-3, Hep G2, Hs 578T and MDA-MB-231 exhibited by leaf and fruit EOs [111]; anti-tuberculosis activity observed in hydroxymyristic acid methyl ester and methyl (E)- and (Z)-6-(8-oxooctadecahydrochrysen-1-yl)non-7-enoate [115]; MeOH extract of leaves and bark showed anti-secretory and gastroprotective properties in rats with EtOH/HCl-induced ulceration [118]. |
![]() | ||||||||||
| Corymbia spp. | ||||||||||
| Ble. [23] | Cal. [155] | Cit. [106] | Exi. [109] | Gum. [23] | Int. [150] | Mac. [150] | Pol. [105] | Tes. [23] | Tor. [151] | |
| aromadendrene | - | - | - | - | - | - | - | - | 16.0 | - |
| bicyclogermacrene | 33.2 | - | - | - | 34.3 | - | - | - | - | - |
| β-caryophyllene | 5.2 | - | - | - | 6.8 | - | - | - | - | 7.4 |
| citronellal | - | - | 66.0 | - | - | - | - | - | - | - |
| citronellol | - | - | 12.1 | - | - | - | - | - | - | - |
| α-eudesmol | - | - | - | 17.7 | - | - | - | - | - | - |
| (E,E)-farnesol | - | 21.3 | - | - | - | - | - | - | - | - |
| globulol | - | - | - | - | - | - | - | - | 5.3 | - |
| guaiol | - | - | - | - | - | - | 8.8 | - | - | - |
| α-pinene | - | - | - | 33.4 | - | 18.5 | 68.1 | 22.4 | - | 69.6 |
| β-pinene | - | - | - | - | - | 24.6 | - | 41.5 | - | - |
| γ-terpinene | - | 12.1 | - | - | - | - | - | - | - | - |
![]() | ||||||
| C. citriodora | C. torelliana | |||||
| Leaf [106] | Twig [60] | Fruit [85] | Flower [142] | Leaf [151] | Flower [111] | |
| β-caryophyllene | - | - | - | - | 7.4 | - |
| 1,8-cineole | - | 17.7 | - | - | - | - |
| citronellal | 66.0 | - | - | - | - | - |
| citronellol | 12.1 | - | - | 9.9 | - | - |
| p-cymene | - | 17.1 | - | - | - | - |
| α-pinene | - | - | 54.1 | 16.4 | 69.6 | 55.8 |
| β-pinene | - | - | - | - | - | 10.8 |
| γ-terpinene | - | - | 8.6 | - | - | - |
| Corymbia spp. | ||||||||
|---|---|---|---|---|---|---|---|---|
| Cal. | Cit. | Gum. | Int. | Mac. | Pap. | Tor. | Total * | |
| Alkaloids | - | - | - | - | - | - | - | - |
| Polyketides | - | 4 | - | 5 | - | - | 11 | 20 |
| Simple | - | 3 | - | - | - | - | - | 3 |
| β-Triketones | - | 1 | - | 5 | - | - | 11 | 17 |
| Terpenoids | 1 | 28 | - | - | 2 | 1 | 6 | 37 |
| Monoterpenoids | - | 3 | - | - | - | - | 4 | 7 |
| Sesquiterpenoids | - | 4 | - | - | 1 | - | 1 | 6 |
| Diterpenoids | - | - | - | - | - | - | - | - |
| Sesterpenoids | - | - | - | - | - | - | 1 | 1 |
| Triterpenoids | 1 | 21 | - | - | 1 | 1 | - | 23 |
| Polyphenols | 8 | 52 | 2 | - | 24 | - | 15 | 88 |
| Flavonoids | 6 | 35 | 1 | - | 12 | - | 14 | 60 |
| Phenolic acids | 2 | 15 | 1 | - | 12 | - | 1 | 26 |
| Lignans | - | 2 | - | - | - | - | - | 2 |
| Fatty Acids | - | 1 | - | - | - | - | 1 | 2 |
| Total | 9 | 85 | 2 | 5 | 27 | 1 | 33 | 147 |
Disclaimer/Publisher’s Note: The statements, opinions and data contained in all publications are solely those of the individual author(s) and contributor(s) and not of MDPI and/or the editor(s). MDPI and/or the editor(s) disclaim responsibility for any injury to people or property resulting from any ideas, methods, instructions or products referred to in the content. |
© 2023 by the authors. Licensee MDPI, Basel, Switzerland. This article is an open access article distributed under the terms and conditions of the Creative Commons Attribution (CC BY) license (https://creativecommons.org/licenses/by/4.0/).
Share and Cite
Perry, M.J.; Wangchuk, P. The Ethnopharmacology, Phytochemistry and Bioactivities of the Corymbia Genus (Myrtaceae). Plants 2023, 12, 3686. https://doi.org/10.3390/plants12213686
Perry MJ, Wangchuk P. The Ethnopharmacology, Phytochemistry and Bioactivities of the Corymbia Genus (Myrtaceae). Plants. 2023; 12(21):3686. https://doi.org/10.3390/plants12213686
Chicago/Turabian StylePerry, Matthew J., and Phurpa Wangchuk. 2023. "The Ethnopharmacology, Phytochemistry and Bioactivities of the Corymbia Genus (Myrtaceae)" Plants 12, no. 21: 3686. https://doi.org/10.3390/plants12213686
APA StylePerry, M. J., & Wangchuk, P. (2023). The Ethnopharmacology, Phytochemistry and Bioactivities of the Corymbia Genus (Myrtaceae). Plants, 12(21), 3686. https://doi.org/10.3390/plants12213686



