Exploring Conventional and Green Extraction Methods for Enhancing the Polyphenol Yield and Antioxidant Activity of Hyssopus officinalis Extracts
Abstract
1. Introduction
2. Results and Discussion
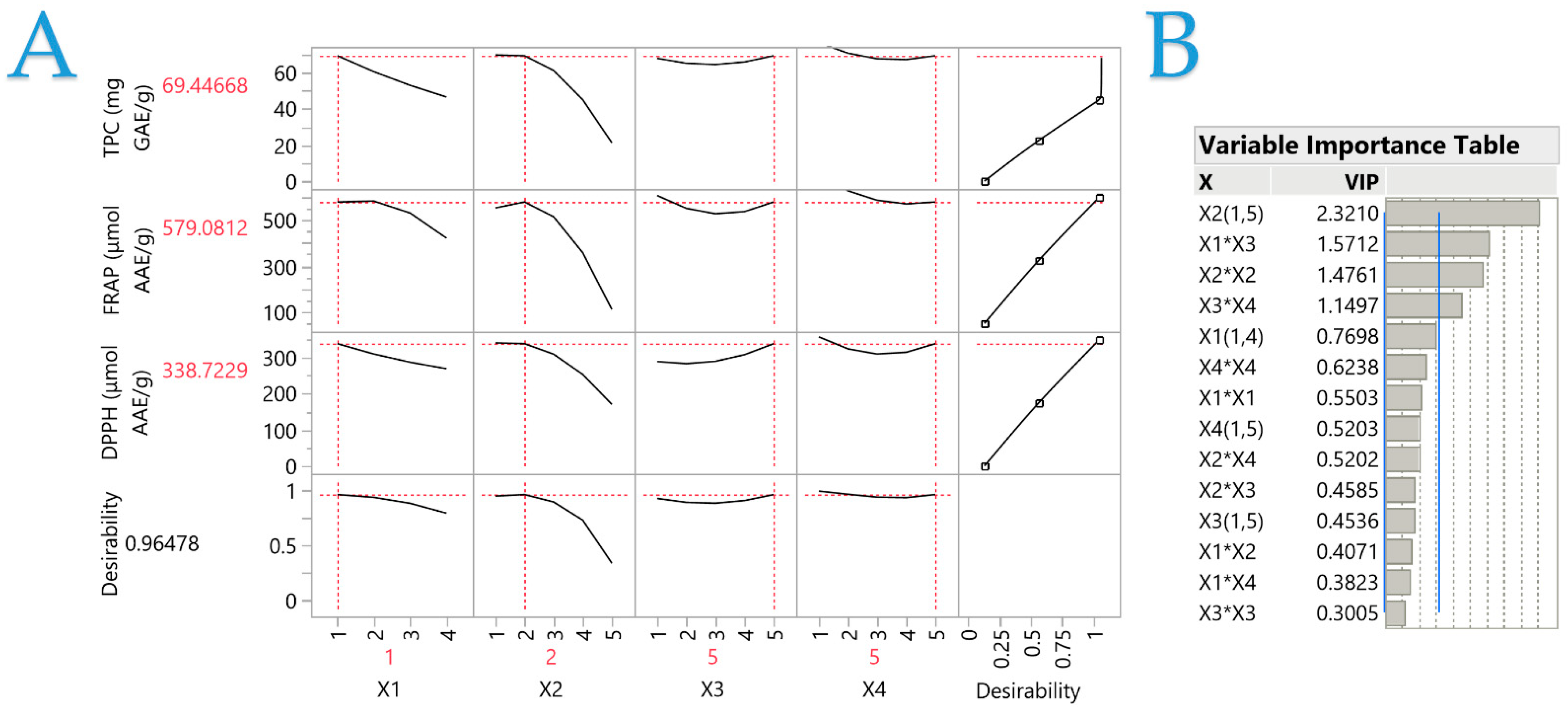
2.1. Extraction Optimization
2.2. Impact of Extraction Parameters on Assays through Pareto Plot Analysis
2.3. Analysis of the Extracts
2.3.1. TPC of the Extracts
2.3.2. Antioxidant Properties of the Extracts
2.3.3. Polyphenolic Compounds of the Optimal Extract
2.4. Principal Component Analysis (PCA) and Multivariate Correlation Analysis (MCA)
2.5. Partial Least Squares (PLS) Analysis
3. Materials and Methods
3.1. Chemicals and Reagents
3.2. Extraction Procedure
3.3. Response Surface Methodology (RSM) Extraction Optimization and Design of Experiment
3.4. Analysis of the Extracts
3.5. HPLC-Based Analysis of the Polyphenolic Compounds
3.6. Statistical Analysis
4. Conclusions
Supplementary Materials
Author Contributions
Funding
Data Availability Statement
Conflicts of Interest
References
- Ravindran, P.N.; Divakaran, M.; Pillai, G.S. Other Herbs and Spices: Achiote to Szechuan Pepper. In Handbook of Herbs and Spices, 2nd ed.; Peter, K.V., Ed.; Elsevier: Amsterdam, The Netherlands, 2012; pp. 534–556. ISBN 978-0-85709-040-9. [Google Scholar]
- Ciocârlan, V. Illustrated Flora of Romania. In Pteridophyta et Spermatophyta; CeresEd: Bucharest, Romania, 2009. [Google Scholar]
- Lobo, V.; Patil, A.; Phatak, A.; Chandra, N. Free Radicals, Antioxidants and Functional Foods: Impact on Human Health. Pharmacogn. Rev. 2010, 4, 118. [Google Scholar] [CrossRef]
- Vlase, L.; Benedec, D.; Hanganu, D.; Damian, G.; Csillag, I.; Sevastre, B.; Mot, A.C.; Silaghi-Dumitrescu, R.; Tilea, I. Evaluation of Antioxidant and Antimicrobial Activities and Phenolic Profile for Hyssopus officinalis, Ocimum basilicum and Teucrium chamaedrys. Molecules 2014, 19, 5490–5507. [Google Scholar] [CrossRef]
- Kazazi, H.; Rezaei, K.; Ghotbsharif, S.; Emamdjomeh, Z.; Yamini, Y. Supercriticial Fluid Extraction of Flavors and Fragrances from Hyssopus officinalis L. Cultivated in Iran. Food Chem. 2007, 105, 805–811. [Google Scholar] [CrossRef]
- Khazaie, H.R.; Nadjafi, F.; Bannayan, M. Effect of Irrigation Frequency and Planting Density on Herbage Biomass and Oil Production of Thyme (Thymus vulgaris) and Hyssop (Hyssopus officinalis). Ind. Crops Prod. 2008, 27, 315–321. [Google Scholar] [CrossRef]
- Ravindran, P.N.; Pillai, G.S.; Nirmal Babu, K. Under-Utilized Herbs and Spices. In Handbook of Herbs and Spices; Peter, K.V., Ed.; Elsevier: Amsterdam, The Netherlands, 2004; pp. 53–103. ISBN 978-1-85573-721-1. [Google Scholar]
- Judžentienė, A. Hyssop (Hyssopus officinalis L.) oils. In Essential Oils in Food Preservation, Flavor and Safety; Preedy, V.R., Ed.; Elsevier: Amsterdam, The Netherlands, 2016; pp. 471–479. [Google Scholar] [CrossRef]
- Langa, E.; Cacho, J.; Palavra, A.M.F.; Burillo, J.; Mainar, A.M.; Urieta, J.S. The Evolution of Hyssop Oil Composition in the Supercritical Extraction Curve. J. Supercrit. Fluids 2009, 49, 37–44. [Google Scholar] [CrossRef]
- Fraternale, D.; Ricci, D.; Epifano, F.; Curini, M. Composition and Antifungal Activity of Two Essential Oils of Hyssop (Hyssopus officinalis L.). J. Essent. Oil Res. 2004, 16, 617–622. [Google Scholar] [CrossRef]
- Džamić, A.M.; Soković, M.D.; Novaković, M.; Jadranin, M.; Ristić, M.S.; Tešević, V.; Marin, P.D. Composition, Antifungal and Antioxidant Properties of Hyssopus officinalis L. Subsp. Pilifer (Pant.) Murb. Essential Oil and Deodorized Extracts. Ind. Crops Prod. 2013, 51, 401–407. [Google Scholar] [CrossRef]
- Zawislak, G. Essential Oil Composition of Hyssopus officinalis L. Grown in Poland. J. Essent. Oil-Bear. Plants 2016, 19, 699–705. [Google Scholar] [CrossRef]
- Moulodi, F.; Khezerlou, A.; Zolfaghari, H.; Mohamadzadeh, A.; Alimoradi, F. Chemical Composition and Antioxidant and Antimicrobial Properties of the Essential Oil of Hyssopus officinalis L. J. Kermanshah Univ. Med. Sci. 2019, 22, 6–10. [Google Scholar] [CrossRef]
- Fathiazad, F.; Mazandarani, M.; Hamedeyazdan, S. Phytochemical Analysis and Antioxidant Activity of Hyssopus officinalis L. from Iran. Adv. Pharm. Bull. 2011, 1, 63–67. [Google Scholar] [CrossRef]
- Rezaei Savadkouhi, N.; Ariaii, P.; Charmchian Langerodi, M. The Effect of Encapsulated Plant Extract of Hyssop (Hyssopus officinalis L.) in Biopolymer Nanoemulsions of Lepidium perfoliatum and Orchis mascula on Controlling Oxidative Stability of Soybean Oil. Food Sci. Nutr. 2020, 8, 1264–1271. [Google Scholar] [CrossRef] [PubMed]
- Alinezhad, H.; Azimi, R.; Zare, M.; Ebrahimzadeh, M.A.; Eslami, S.; Nabavi, S.F.; Nabavi, S.M. Antioxidant and Antihemolytic Activities of Ethanolic Extract of Flowers, Leaves, and Stems of Hyssopus officinalis L. Var. angustifolius. Int. J. Food Prop. 2013, 16, 1169–1178. [Google Scholar] [CrossRef]
- Panja, P. Green Extraction Methods of Food Polyphenols from Vegetable Materials. Curr. Opin. Food Sci. 2018, 23, 173–182. [Google Scholar] [CrossRef]
- Koina, I.M.; Sarigiannis, Y.; Hapeshi, E. Green Extraction Techniques for the Determination of Active Ingredients in Tea: Current State, Challenges, and Future Perspectives. Separations 2023, 10, 121. [Google Scholar] [CrossRef]
- Athanasiadis, V.; Chatzimitakos, T.; Kotsou, K.; Kalompatsios, D.; Bozinou, E.; Lalas, S.I. Polyphenol Extraction from Food (by) Products by Pulsed Electric Field: A Review. Int. J. Mol. Sci. 2023, 24, 15914. [Google Scholar] [CrossRef] [PubMed]
- Gharaati Jahromi, S. Extraction Techniques of Phenolic Compounds from Plants. In Plant Physiological Aspects of Phenolic Compounds; Soto-Hernández, M., García-Mateos, R., Palma-Tenango, M., Eds.; IntechOpen: Rijeka, Croatia, 2019; pp. 1–18. ISBN 978-1-78984-034-6. [Google Scholar]
- Górnaś, P.; Dwiecki, K.; Siger, A.; Tomaszewska-Gras, J.; Michalak, M.; Polewski, K. Contribution of Phenolic Acids Isolated from Green and Roasted Boiled-Type Coffee Brews to Total Coffee Antioxidant Capacity. Eur. Food Res. Technol. 2016, 242, 641–653. [Google Scholar] [CrossRef]
- Lang, G.H.; da Silva Lindemann, I.; Ferreira, C.D.; Hoffmann, J.F.; Vanier, N.L.; de Oliveira, M. Effects of Drying Temperature and Long-Term Storage Conditions on Black Rice Phenolic Compounds. Food Chem. 2019, 287, 197–204. [Google Scholar] [CrossRef] [PubMed]
- Antony, A.; Farid, M. Effect of Temperatures on Polyphenols during Extraction. Appl. Sci. 2022, 12, 2107. [Google Scholar] [CrossRef]
- Diamanti, A.C.; Igoumenidis, P.E.; Mourtzinos, I.; Yannakopoulou, K.; Karathanos, V.T. Green Extraction of Polyphenols from Whole Pomegranate Fruit Using Cyclodextrins. Food Chem. 2017, 214, 61–66. [Google Scholar] [CrossRef]
- Zannou, O.; Pashazadeh, H.; Ghellam, M.; Ali Redha, A.; Koca, I. Enhanced Ultrasonically Assisted Extraction of Bitter Melon (Momordica charantia) Leaf Phenolic Compounds Using Choline Chloride-Acetic Acid–Based Natural Deep Eutectic Solvent: An Optimization Approach and in Vitro Digestion. Biomass Conv. Biorefin. 2022, 14, 11491–11503. [Google Scholar] [CrossRef]
- Calderón-Oliver, M.; Ponce-Alquicira, E. Environmentally Friendly Techniques and Their Comparison in the Extraction of Natural Antioxidants from Green Tea, Rosemary, Clove, and Oregano. Molecules 2021, 26, 1869. [Google Scholar] [CrossRef] [PubMed]
- Hikmawanti, N.P.E.; Fatmawati, S.; Asri, A.W. The Effect of Ethanol Concentrations as the Extraction Solvent on Antioxidant Activity of Katuk (Sauropus androgynus (L.) Merr.) Leaves Extracts. IOP Conf. Ser. Earth Environ. Sci. 2021, 755, 012060. [Google Scholar] [CrossRef]
- Nguyen, N.Q.; Nguyen, M.T.; Nguyen, V.T.; Le, V.M.; Trieu, L.H.; Le, X.T.; Khang, T.V.; Giang, N.T.L.; Thach, N.Q.; Hung, T.T. The Effects of Different Extraction Conditions on the Polyphenol, Flavonoids Components and Antioxidant Activity of Polyscias fruticosa Roots. IOP Conf. Ser. Mater. Sci. Eng. 2020, 736, 022067. [Google Scholar] [CrossRef]
- Huang, D.; Ou, B.; Prior, R.L. The Chemistry behind Antioxidant Capacity Assays. J. Agric. Food Chem. 2005, 53, 1841–1856. [Google Scholar] [CrossRef] [PubMed]
- Wojtunik-Kulesza, K.A. Approach to Optimization of FRAP Methodology for Studies Based on Selected Monoterpenes. Molecules 2020, 25, 5267. [Google Scholar] [CrossRef] [PubMed]
- Flieger, J.; Flieger, W.; Baj, J.; Maciejewski, R. Antioxidants: Classification, Natural Sources, Activity/Capacity Measurements, and Usefulness for the Synthesis of Nanoparticles. Materials 2021, 14, 4135. [Google Scholar] [CrossRef] [PubMed]
- Angerhofer, C.K.; Maes, D.; Giacomoni, P.U. The Use of Natural Compounds and Botanicals in the Development of Anti-Aging Skin Care Products. In Skin Aging Handbook; Dayan, N., Ed.; Personal Care & Cosmetic Technology; Elsevier: Norwich, NY, USA, 2009; pp. 205–263. ISBN 978-0-8155-1584-5. [Google Scholar]
- Sharifi-Rad, J.; Quispe, C.; Kumar, M.; Akram, M.; Amin, M.; Iqbal, M.; Koirala, N.; Sytar, O.; Kregiel, D.; Nicola, S.; et al. Hyssopus Essential Oil: An Update of Its Phytochemistry, Biological Activities, and Safety Profile. Oxid. Med. Cell. Longev. 2022, 2022, 8442734. [Google Scholar] [CrossRef] [PubMed]
- Cetin-Karaca, H.; Newman, M.C. Antimicrobial Efficacy of Plant Phenolic Compounds against Salmonella and Escherichia coli. Food Biosci. 2015, 11, 8–16. [Google Scholar] [CrossRef]
- Caleja, C.; Barros, L.; Antonio, A.L.; Ciric, A.; Barreira, J.C.M.; Sokovic, M.; Oliveira, M.B.P.P.; Santos-Buelga, C.; Ferreira, I.C.F.R. Development of a Functional Dairy Food: Exploring Bioactive and Preservation Effects of Chamomile (Matricaria recutita L.). J. Funct. Foods 2015, 16, 114–124. [Google Scholar] [CrossRef]
- Fathiazad, F.; Hamedeyazdan, S. A Review on Hyssopus officinalis L: Composition and Biological Activities. Afr. J. Pharm. Pharmacol. 2011, 5, 1959–1966. [Google Scholar] [CrossRef]
- Skrypnik, L.; Feduraev, P.; Styran, T.; Golovin, A.; Katserov, D.; Nebreeva, S.; Maslennikov, P. Biomass, Phenolic Compounds, Essential Oil Content, and Antioxidant Properties of Hyssop (Hyssopus officinalis L.) Grown in Hydroponics as Affected by Treatment Type and Selenium Concentration. Horticulturae 2022, 8, 1037. [Google Scholar] [CrossRef]
- Srivastava, A.; Awasthi, K.; Kumar, B.; Misra, A.; Srivastava, S. Pharmacognostic and Pharmacological Evaluation of Hyssopus officinalis L. (Lamiaceae) Collected from Kashmir Himalayas, India. Pharmacogn. J. 2018, 10, 690–693. [Google Scholar] [CrossRef]
- Dolrahman, N.; Mukkhaphrom, W.; Sutirek, J.; Thong-Asa, W. Benefits of P-Coumaric Acid in Mice with Rotenone-Induced Neurodegeneration. Metab. Brain Dis. 2023, 38, 373–382. [Google Scholar] [CrossRef] [PubMed]
- Bazyar, H.; Zare Javid, A.; Ahangarpour, A.; Zaman, F.; Hosseini, S.A.; Zohoori, V.; Aghamohammadi, V.; Yazdanfar, S.; Ghasemi Deh Cheshmeh, M. The Effects of Rutin Supplement on Blood Pressure Markers, Some Serum Antioxidant Enzymes, and Quality of Life in Patients with Type 2 Diabetes Mellitus Compared with Placebo. Front. Nutr. 2023, 10, 1214420. [Google Scholar] [CrossRef] [PubMed]
- Kaur, J.; Kaur, R. P-Coumaric Acid: A Naturally Occurring Chemical with Potential Therapeutic Applications. Curr. Org. Chem. 2022, 26, 1333–1349. [Google Scholar] [CrossRef]
- Espíndola, K.M.M.; Ferreira, R.G.; Narvaez, L.E.M.; Silva Rosario, A.C.R.; da Silva, A.H.M.; Silva, A.G.B.; Vieira, A.P.O.; Monteiro, M.C. Chemical and Pharmacological Aspects of Caffeic Acid and Its Activity in Hepatocarcinoma. Front. Oncol. 2019, 9, 541. [Google Scholar] [CrossRef] [PubMed]
- Gupta, N.; Verma, K.; Nalla, S.; Kulshreshtha, A.; Lall, R.; Prasad, S. Free Radicals as a Double-Edged Sword: The Cancer Preventive and Therapeutic Roles of Curcumin. Molecules 2020, 25, 5390. [Google Scholar] [CrossRef] [PubMed]
- Bhosale, P.B.; Ha, S.E.; Vetrivel, P.; Kim, H.H.; Kim, S.M.; Kim, G.S. Functions of Polyphenols and Its Anticancer Properties in Biomedical Research: A Narrative Review. Transl. Cancer Res. 2020, 9, 7619–7631. [Google Scholar] [CrossRef] [PubMed]
- Farghadani, R.; Naidu, R. The Anticancer Mechanism of Action of Selected Polyphenols in Triple-Negative Breast Cancer (TNBC). Biomed. Pharmacother. 2023, 165, 115170. [Google Scholar] [CrossRef]
- Niedzwiecki, A.; Roomi, M.W.; Kalinovsky, T.; Rath, M. Anticancer Efficacy of Polyphenols and Their Combinations. Nutrients 2016, 8, 552. [Google Scholar] [CrossRef]
- Kotsou, K.; Magopoulou, D.; Chatzimitakos, T.; Athanasiadis, V.; Bozinou, E.; Sfougaris, A.I.; Lalas, S.I. Enhancing the Nutritional Profile of Crataegus monogyna Fruits by Optimizing the Extraction Conditions. Horticulturae 2024, 10, 564. [Google Scholar] [CrossRef]
- Chatzimitakos, T.; Athanasiadis, V.; Makrygiannis, I.; Kalompatsios, D.; Bozinou, E.; Lalas, S.I. An Investigation into Crithmum maritimum L. Leaves as a Source of Antioxidant Polyphenols. Compounds 2023, 3, 532–551. [Google Scholar] [CrossRef]
- Chatzimitakos, T.; Athanasiadis, V.; Kotsou, K.; Mantiniotou, M.; Kalompatsios, D.; Makrygiannis, I.; Bozinou, E.; Lalas, S.I. Optimization of Pressurized Liquid Extraction (PLE) Parameters for Extraction of Bioactive Compounds from Moringa oleifera Leaves and Bioactivity Assessment. Int. J. Mol. Sci. 2024, 25, 4628. [Google Scholar] [CrossRef] [PubMed]




| Design Point | Independent Variables | Responses | ||||||||
|---|---|---|---|---|---|---|---|---|---|---|
| TPC (mg GAE/g dw) | FRAP (μmol AAE/g dw) | DPPH (μmol AAE/g dw) | ||||||||
| X1 | X2 | X3 | X4 | Actual | Predicted | Actual | Predicted | Actual | Predicted | |
| 1 | 3 | 1 | 3 | 4 | 46.52 ± 1.21 | 46.88 | 432.73 ± 31.16 | 402.89 | 304.30 ± 21.91 | 292.75 |
| 2 | 3 | 2 | 1 | 3 | 46.65 ± 1.49 | 47.97 | 486.93 ± 16.56 | 490.81 | 295.66 ± 12.42 | 294.00 |
| 3 | 2 | 3 | 4 | 3 | 45.03 ± 3.11 | 48.36 | 450.67 ± 26.14 | 467.22 | 235.21 ± 10.35 | 224.37 |
| 4 | 2 | 4 | 5 | 4 | 43.40 ± 1.52 | 38.02 | 383.74 ± 16.51 | 363.67 | 216.25 ± 16.03 | 219.97 |
| 5 | 3 | 5 | 4 | 2 | 7.33 ± 0.28 | 6.43 | 63.60 ± 1.78 | 69.88 | 37.20 ± 2.38 | 36.67 |
| 6 | 4 | 1 | 4 | 5 | 41.42 ± 2.98 | 40.57 | 317.26 ± 17.45 | 327.95 | 260.82 ± 8.35 | 266.85 |
| 7 | 4 | 2 | 3 | 1 | 41.47 ± 2.53 | 40.36 | 338.64 ± 23.72 | 325.38 | 227.57 ± 9.79 | 221.13 |
| 8 | 1 | 3 | 3 | 2 | 51.53 ± 1.91 | 50.11 | 464.65 ± 17.19 | 439.07 | 214.76 ± 13.15 | 204.81 |
| 9 | 1 | 4 | 4 | 1 | 40.82 ± 1.39 | 41.83 | 354.61 ± 24.82 | 355.58 | 217.91 ± 7.41 | 217.93 |
| 10 | 1 | 5 | 1 | 4 | 17.08 ± 0.41 | 17.44 | 110.37 ± 8.06 | 108.50 | 74.11 ± 4.22 | 71.13 |
| 11 | 1 | 1 | 2 | 3 | 60.16 ± 3.31 | 57.43 | 459.62 ± 19.76 | 466.33 | 254.15 ± 12.45 | 262.16 |
| 12 | 1 | 2 | 5 | 5 | 66.61 ± 3.53 | 68.76 | 567.61 ± 12.49 | 573.07 | 336.83 ± 9.09 | 334.81 |
| 13 | 4 | 3 | 2 | 4 | 45.73 ± 2.42 | 47.56 | 387.63 ± 18.99 | 416.43 | 287.68 ± 8.92 | 297.61 |
| 14 | 3 | 4 | 2 | 5 | 45.37 ± 3.36 | 42.87 | 484.76 ± 11.15 | 449.73 | 250.55 ± 13.53 | 234.62 |
| 15 | 2 | 5 | 3 | 5 | 18.98 ± 0.42 | 20.91 | 139.97 ± 7.42 | 167.05 | 130.68 ± 3.92 | 144.73 |
| 16 | 2 | 1 | 1 | 1 | 49.64 ± 2.58 | 50.52 | 519.93 ± 22.88 | 518.83 | 310.48 ± 14.9 | 302.46 |
| 17 | 2 | 2 | 2 | 2 | 47.77 ± 3.11 | 48.89 | 500.31 ± 24.01 | 500.81 | 201.38 ± 10.07 | 223.22 |
| 18 | 3 | 3 | 5 | 1 | 49.76 ± 2.04 | 49.60 | 514.24 ± 19.03 | 525.99 | 211.91 ± 13.77 | 220.83 |
| 19 | 4 | 4 | 1 | 2 | 36.33 ± 2.33 | 34.95 | 312.37 ± 13.74 | 307.90 | 233.40 ± 7.94 | 236.45 |
| 20 | 4 | 5 | 5 | 3 | 5.61 ± 0.13 | 7.74 | 57.80 ± 2.14 | 50.35 | 50.34 ± 1.51 | 44.69 |
| Responses | Second-Order Polynomial Equations (Models) | R2 Predicted | R2 Adjusted | p-Value | Equation |
|---|---|---|---|---|---|
| TPC | Y = 63.7 − 9.38X1 − 3.79X2 + 12.4X3 − 5.52X4 + 0.8X12 − 2.18X22 + 1.41X32 + 0.07X42 + 2.2X1X2 − 3.31X1X3 + 1.76X1X4 − 1.84X2X3 + 2.2X2X4 − 1.67X3X4 | 0.9834 | 0.9368 | 0.0017 | (1) |
| FRAP | Y = 552.36 + 24.52X1 + 79.2X2 + 17.83X3 − 102.06X4 − 28.02X12 − 38.14X22 + 17.88X32 + 9.24X42 + 25.73X1X2 − 16.14X1X3 + 19.55X1X4 − 14.29X2X3 + 13.52X2X4 − 11.97X3X4 | 0.9884 | 0.9560 | 0.0007 | (2) |
| DPPH | Y = 332.45 + 26.97X1 − 138.46X2 + 90.18X3 − 41.75X4 + 7.26X12 + 6.67X22 + 13.38X32 − 3.83X42 + 2.39X1X2 − 39.62X1X3 + 17.34X1X4 − 8.49X2X3 + 19.93X2X4 − 10.82X3X4 | 0.9872 | 0.9513 | 0.0009 | (3) |
| Responses | Optimal Conditions | ||||
|---|---|---|---|---|---|
| Maximum Predicted Response | Technique (X1) | C (%, v/v) (X2) | t (min) (X3) | T (°C) (X4) | |
| TPC (mg GAE/g dw) | 68.76 ± 9.90 | ST (1) | 25 (2) | 150 (5) | 80 (5) |
| FRAP (μmol AAE/g dw) | 572.44 ± 81.06 | ST (1) | 25 (2) | 150 (5) | 80 (5) |
| DPPH (μmol AAE/g dw) | 334.81 ± 45.62 | ST (1) | 25 (2) | 150 (5) | 80 (5) |
| Variables | PLS Model Values | Experimental Values |
|---|---|---|
| TPC (mg GAE/g dw) | 69.45 | 70.65 ± 2.76 |
| FRAP (μmol AAE/g dw) | 579.08 | 582.23 ± 16.88 |
| DPPH (μmol AAE/g dw) | 338.72 | 343.75 ± 15.61 |
| Polyphenolic Compound | Optimal Extract (mg/g dw) |
|---|---|
| Neochlorogenic acid | 1.26 ± 0.04 |
| Catechin | 2.8 ± 0.1 |
| Chlorogenic acid | 3.94 ± 0.1 |
| Vanillic acid | 0.13 ± 0 |
| Caffeic acid | 5.55 ± 0.12 |
| Syringic acid | 3.14 ± 0.15 |
| p-Coumaric acid | 6.89 ± 0.39 |
| Ferulic acid | 4.57 ± 0.16 |
| Rutin | 8.25 ± 0.57 |
| Quercetin 3-D-galactoside | 0.4 ± 0.01 |
| Luteolin-7-glucoside | 1.79 ± 0.09 |
| Apigenin-7-O-glucoside | 8.74 ± 0.36 |
| Apigenin | 1.37 ± 0.03 |
| Total identified | 48.83 ± 2.11 |
| Responses | TPC | FRAP | DPPH |
|---|---|---|---|
| TPC | − | 0.9624 | 0.9095 |
| FRAP | − | 0.8767 | |
| DPPH | − |
| Independent Variables | Code Units | Coded Variable Level | ||||
|---|---|---|---|---|---|---|
| 1 | 2 | 3 | 4 | 5 | ||
| Technique | X1 | ST | PEF + ST | US + ST | PEF + US + ST | – |
| C (%, v/v) | X2 | 0 | 25 | 50 | 75 | 100 |
| t (min) | X3 | 30 | 60 | 90 | 120 | 150 |
| T (°C) | X4 | 20 | 35 | 50 | 65 | 80 |
Disclaimer/Publisher’s Note: The statements, opinions and data contained in all publications are solely those of the individual author(s) and contributor(s) and not of MDPI and/or the editor(s). MDPI and/or the editor(s) disclaim responsibility for any injury to people or property resulting from any ideas, methods, instructions or products referred to in the content. |
© 2024 by the authors. Licensee MDPI, Basel, Switzerland. This article is an open access article distributed under the terms and conditions of the Creative Commons Attribution (CC BY) license (https://creativecommons.org/licenses/by/4.0/).
Share and Cite
Polaki, S.; Stamatelopoulou, V.; Kotsou, K.; Chatzimitakos, T.; Athanasiadis, V.; Bozinou, E.; Lalas, S.I. Exploring Conventional and Green Extraction Methods for Enhancing the Polyphenol Yield and Antioxidant Activity of Hyssopus officinalis Extracts. Plants 2024, 13, 2105. https://doi.org/10.3390/plants13152105
Polaki S, Stamatelopoulou V, Kotsou K, Chatzimitakos T, Athanasiadis V, Bozinou E, Lalas SI. Exploring Conventional and Green Extraction Methods for Enhancing the Polyphenol Yield and Antioxidant Activity of Hyssopus officinalis Extracts. Plants. 2024; 13(15):2105. https://doi.org/10.3390/plants13152105
Chicago/Turabian StylePolaki, Sofia, Vasiliki Stamatelopoulou, Konstantina Kotsou, Theodoros Chatzimitakos, Vassilis Athanasiadis, Eleni Bozinou, and Stavros I. Lalas. 2024. "Exploring Conventional and Green Extraction Methods for Enhancing the Polyphenol Yield and Antioxidant Activity of Hyssopus officinalis Extracts" Plants 13, no. 15: 2105. https://doi.org/10.3390/plants13152105
APA StylePolaki, S., Stamatelopoulou, V., Kotsou, K., Chatzimitakos, T., Athanasiadis, V., Bozinou, E., & Lalas, S. I. (2024). Exploring Conventional and Green Extraction Methods for Enhancing the Polyphenol Yield and Antioxidant Activity of Hyssopus officinalis Extracts. Plants, 13(15), 2105. https://doi.org/10.3390/plants13152105

