Biocontrol of Botrytis cinerea as Influenced by Grapevine Growth Stages and Environmental Conditions
Abstract
:1. Introduction
2. Results
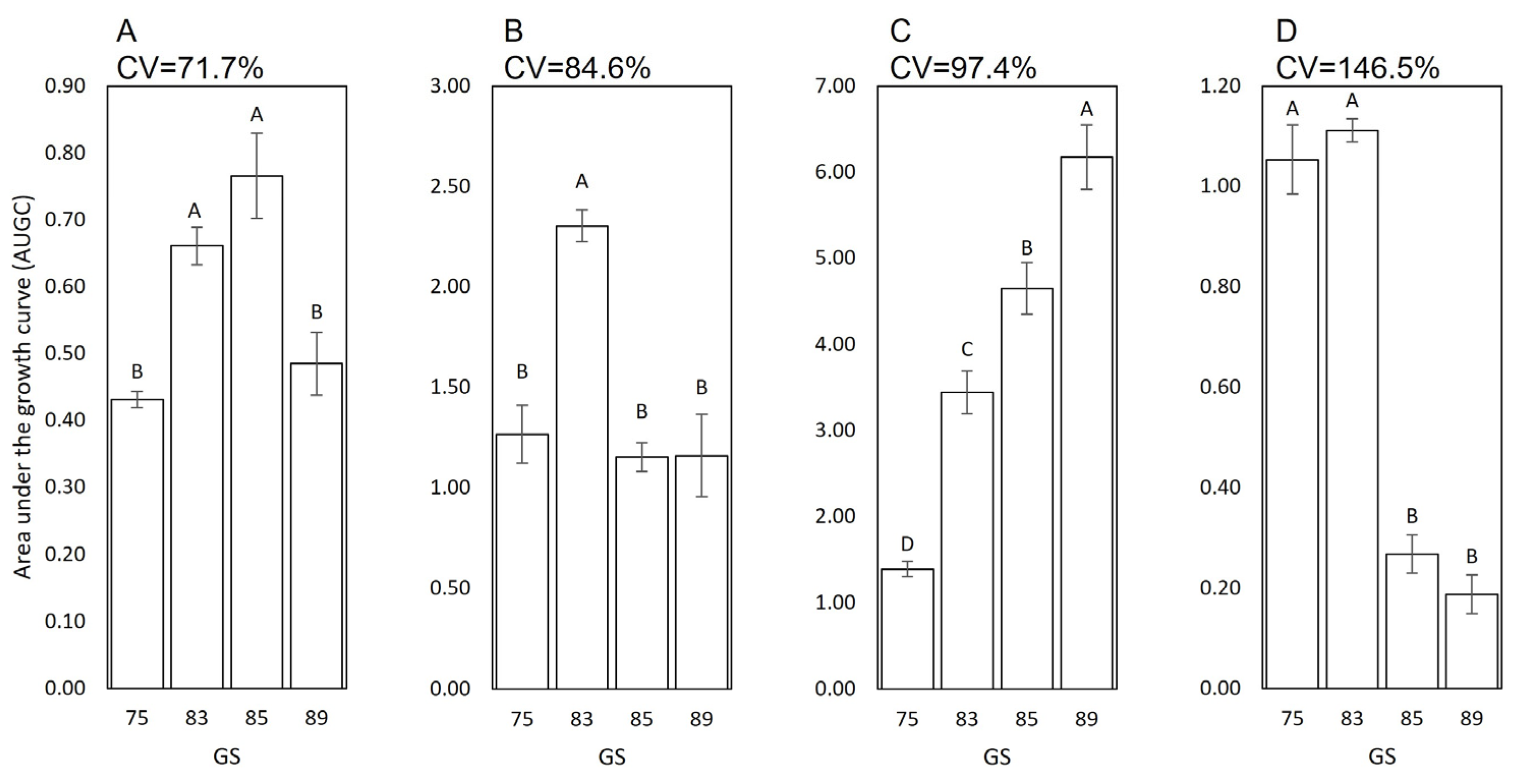
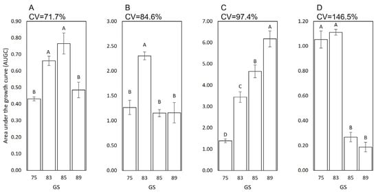
2.1. Effect of Berry Growth Stage on the BCA Growth
2.2. Effect of Temperature on the BCA Efficacy on Ripe Berries
3. Discussion
4. Materials and Methods
4.1. Biocontrol Agents
4.2. Effect of Berry Growth Stage and Temperature on BCA Growth
4.3. Effect of Temperature on the BCA Efficacy on Ripe Berries
Author Contributions
Funding
Data Availability Statement
Acknowledgments
Conflicts of Interest
References
- Elmer, P.A.G.; Michailides, T.J. Epidemiology of Botrytis cinerea in orchard and vine crops. In Botrytis: Biology, Pathology and Control; Elad, Y., Williamson, B., Tudzynski, P., Delen, N., Eds.; Springer: Dordrecht, The Netherlands, 2007; pp. 243–272. ISBN 978-1-4020-2626-3. [Google Scholar]
- Elad, Y.; Williamson, B.; Tudzynski, P.; Delen, N. Botrytis: Biology, Pathology and Contol; Springer: Dordrecht, The Netherlands, 2007; ISBN 9781402065866. [Google Scholar]
- Lorenz, D.H.; Eichhorn, K.W.; Bleiholder, H.; Klose, R.; Meier, U.; Weber, E. Phenological growth stages of the grapevine (Vitis vinifera L. ssp. vinifera)—Codes and descriptions according to the extended BBCH scale. Aust. J. Grape Wine Res. 1995, 1, 100–103. [Google Scholar] [CrossRef]
- González-Domínguez, E.; Caffi, T.; Ciliberti, N.; Rossi, V. A mechanistic model of Botrytis cinerea on grapevines that includes weather, vine growth stage, and the main infection pathways. PLoS ONE 2015, 10, e0140444. [Google Scholar] [CrossRef] [PubMed]
- Lafon, R.; Verdu, D.; Bulit, J. Mise au point sur le traitement de la pourriture grise dans le vignoble. Rev. Zool. Agric. Path. Vég 1972, 1, 31–43. [Google Scholar]
- Agulhon, R. Quelques aspects de la lutte contre la pourriture grise en 1972. Vigne Vins 1973, 220, 5–11. [Google Scholar]
- Bisiach, M.; Minervini, F.; Zerbetto, G. L’epidemia di Botrytis cinerea in due località dell’Italia settentrionale e la possibilità di interventi fitoiatrici. Inf. Agrar. 1978, 24, 2283–2286. [Google Scholar]
- González-Domínguez, E.; Fedele, G.; Caffi, T.; Delière, L.; Sauris, P.; Gramaje, D.; Ramos-Saez de Ojer, J.L.; Díaz-Losada, E.; Díez-Navajas, A.M.; Bengoa, P.; et al. A network meta-analysis provides new insight into fungicide scheduling for the control of Botrytis cinerea in vineyards. Pest Manag. Sci. 2019, 75, 324–332. [Google Scholar] [CrossRef]
- Leroux, P. Chemical control of Botrytis and its resistance to chemical fungicides. In Botrytis: Biology, Pathology and Control; Elad, Y., Williamson, B., Tudzynski, P., Delen, N., Eds.; Springer: Dordrecht, The Netherlands, 2007; pp. 195–222. ISBN 978-1-4020-2626-3. [Google Scholar]
- Fernández-Ortuño, D.; Torés, J.A.; Chamorro, M.; Pérez-García, A.; de Vicente, A. Characterization of resistance to six chemical classes of site-specific fungicides registered for gray mold control on strawberry in Spain. Plant Dis. 2016, 100, 2234–2239. [Google Scholar] [CrossRef]
- Verger, P.J.P.; Boobis, A.R. Reevaluate pesticides for food security and safety. Science 2013, 341, 717–718. [Google Scholar] [CrossRef]
- Pertot, I.; Caffi, T.; Rossi, V.; Mugnai, L.; Hoffmann, C.; Grando, M.S.; Gary, C.; Lafond, D.; Duso, C.; Thiery, D.; et al. A critical review of plant protection tools for reducing pesticide use on grapevine and new perspectives for the implementation of IPM in viticulture. Crop. Prot. 2017, 97, 70–84. [Google Scholar] [CrossRef]
- Alavanja, M.C.R.; Hoppin, J.A.; Kamel, F. Health effects of chronic pesticide exposure: Cancer and neurotoxicity. Annu. Rev. Public Health 2004, 25, 155–197. [Google Scholar] [CrossRef]
- Epstein, L. Fifty years since Silent Spring. Annu. Rev. Phytopathol. 2014, 52, 377–402. [Google Scholar] [CrossRef]
- Elad, Y.; Freeman, S. Biological control of fungal plant pathogens. In Agricultural Applications; Kempken, F., Ed.; Springer: Berlin/Heidelberg, Germany, 2002; pp. 93–109. ISBN 978-3-662-03059-2. [Google Scholar]
- Elmer, P.A.G.; Hoyte, S.M.; Vanneste, J.L.; Reglinski, T.; Wood, P.N.; Parry, F.J. Biological control of fruit pathogens. N. Z. Plant Prot. 2005, 54, 47–54. [Google Scholar] [CrossRef]
- Tracy, E.F. The promise of biological control for sustainable agriculture: A stakeholder-based analysis. J. Sci. Policy Goverance 2014, 5, 1–13. [Google Scholar]
- Elmer, P.A.G.; Reglinski, T. Biosuppression of Botrytis cinerea in grapes. Plant Pathol. 2006, 55, 155–177. [Google Scholar] [CrossRef]
- Haidar, R.; Fermaud, M.; Calvo-Garrido, C.; Roudet, J.; Deschamps, A. Modes of action for biological control of Botrytis cinerea by antagonistic bacteria. Phytopathol. Mediterr. 2016, 33, 13–34. [Google Scholar]
- Kumar, A.; Droby, S. Microbial Management of Plant Stresses: Current Trends, Application and Challenges; Kumar, A., Droby, S., Eds.; Woodhead Publishing: Sawston, UK, 2021. [Google Scholar]
- Corkley, I.; Fraaije, B.; Hawkins, N. Fungicide resistance management: Maximizing the effective life of plant protection products. Plant Pathol. 2022, 71, 150–169. [Google Scholar] [CrossRef]
- Nicot, P.C.; Stewart, A.; Bardin, M.; Elad, Y. Biological control and biopesticide suppression of Botrytis-incited diseases. In Botrytis-the Fungus, the Pathogen and Its Management in Agricultural Systems; Fillinger, S., Elad, Y., Eds.; Springer International Publishing: Cham, Switzerland, 2016; pp. 165–187. ISBN 978-3-319-23371-0. [Google Scholar]
- EU Pesticides Database. 2022. Available online: https://ec.europa.eu/food/plant/pesticides/eu-pest (accessed on 1 September 2022).
- Nair, N.G.; Allen, R.N. Infection of grape flowers and berries by Botrytis cinerea as a function of time and temperature. Mycol. Res. 1993, 97, 1012–1014. [Google Scholar] [CrossRef]
- Broome, J.; English, J.T.; Marois, J.J.; Latorre, B.A.; Aviles, J.C. Development of an infection model for Botrytis Bunch Rot of grapes based on wetness duration and temperature. Phytopathology 1995, 85, 97. [Google Scholar] [CrossRef]
- Rodríguez-Rajo, F.J.; Jato, V.; Fernández-González, M.; Aira, M.J. The use of aerobiological methods for forecasting Botrytis spore concentrations in a vineyard. Grana 2010, 49, 56–65. [Google Scholar] [CrossRef]
- Fedele, G.; González-Domínguez, E.; Delière, L.; Díez-navajas, A.M.; Rossi, V. Consideration of latent infections improves the prediction of Botrytis bunch rot severity in vineyards. Plant Dis. 2020, 104, 1291–1297. [Google Scholar] [CrossRef]
- Fedele, G.; Brischetto, C.; Rossi, V. The colonization of grape bunch trash by microorganisms for the biocontrol of Botrytis cinerea as influenced by temperature and humidity. Agronomy 2020, 10, 1829. [Google Scholar] [CrossRef]
- Fedele, G.; Brischetto, C.; Rossi, V. Biocontrol of Botrytis cinerea on grape berries as influenced by temperature and humidity. Front. Plant Sci. 2020, 11, 1232. [Google Scholar] [CrossRef] [PubMed]
- Ciliberti, N.; Fermaud, M.; Roudet, J.; Languasco, L.; Rossi, V. Environmental effects on the production of Botrytis cinerea conidia on different media, grape bunch trash, and mature berries. Aust. J. Grape Wine Res. 2016, 22, 262–270. [Google Scholar] [CrossRef]
- Fedele, G.; González-Domínguez, E.; Rossi, V. Influence of environment on the biocontrol of Botrytis cinerea: A systematic literature review. In How Research Can Stimulate the Development of Commercial Biological Control against Plant Diseases; De Cal, A., Melgarejo, P., Magan, N., Eds.; Springer: Cham, Switzerland, 2020; pp. 61–82. [Google Scholar]
- Ciliberti, N.; Fermaud, M.; Roudet, J.; Rossi, V. Environmental conditions affect Botrytis cinerea infection of mature grape berries more than the strain or transposon genotype. Phytopathology 2015, 105, 1090–1096. [Google Scholar] [CrossRef]
- Kredics, L.; Antal, Z.; Manczinger, L.; Szekeres, A.; Kevei, F.; Nagy, E. Influence of environmental parameters on Trichoderma strains with biocontrol potential. Food Technol. Biotechnol. 2003, 41, 37–42. [Google Scholar]
- Xu, X.; Robinson, J.; Jeger, M.; Jeffries, P. Using combinations of biocontrol agents to control Botrytis cinerea on strawberry leaves under fluctuating temperatures. Biocontrol Sci. Technol. 2010, 20, 359–373. [Google Scholar] [CrossRef]
- Fedele, G.; Bove, F.; González-Domínguez, E.; Rossi, V. A generic model accounting for the interactions among pathogens, host plants, biocontrol agents, and the environment, with parametrization for Botrytis cinerea on grapevines. Agronomy 2020, 10, 222. [Google Scholar] [CrossRef]
- Calvo-Garrido, C.; Viñas, I.; Usall, J.; Rodríguez-Romera, M.; Ramos, M.C.; Teixidó, N. Survival of the biological control agent Candida sake CPA-1 on grapes under the influence of abiotic factors. J. Appl. Microbiol. 2014, 117, 800–811. [Google Scholar] [CrossRef]
- Altieri, V.; Rossi, V.; Fedele, G. Efficacy of preharvest application of biocontrol agents against gray mold in grapevine. Front. Plant Sci. 2023, 14, 1154370. [Google Scholar] [CrossRef] [PubMed]
- Leifert, C.; Li, H.; Chidburee, S.; Hampson, S.; Workman, S.; Sigee, D.; Epton, H.A.S.; Harbour, A. Antibiotic production and biocontrol activity by Bacillus subtilis CL27 and Bacillus pumilus CL45. J. Appl. Bacteriol. 1995, 78, 97–108. [Google Scholar] [CrossRef]
- Borriss, R. bacterium. In Principles of Plant-Microbe Interactions: Microbes for Sustainable Agriculture; Lugtenberg, B., Ed.; Springer International Publishing: Cham, Switzerland, 2015; pp. 379–391. [Google Scholar]
- Calvo-Garrido, C.; Roudet, J.; Aveline, N.; Davidou, L.; Dupin, S.; Fermaud, M. Microbial antagonism toward Botrytis Bunch Rot of grapes in multiple field tests using one bacillus ginsengihumi strain and formulated biological control products. Front. Plant Sci. 2019, 10, 105. [Google Scholar] [CrossRef] [PubMed]
- Di Francesco, A.; Ugolini, L.; Lazzeri, L.; Mari, M. Production of volatile organic compounds by Aureobasidium pullulans as a potential mechanism of action against postharvest fruit pathogens. Biol. Control 2015, 81, 8–14. [Google Scholar] [CrossRef]
- Parafati, L.; Vitale, A.; Restuccia, C.; Cirvilleri, G. Biocontrol ability and action mechanism of food-isolated yeast strains against Botrytis cinerea causing post-harvest bunch rot of table grape. Food Microbiol. 2015, 47, 85–92. [Google Scholar] [CrossRef] [PubMed]
- Klein, M.N.; Kupper, K.C. Biofilm production by Aureobasidium pullulans improves biocontrol against sour rot in citrus. Food Microbiol. 2018, 69, 1–10. [Google Scholar] [CrossRef] [PubMed]
- Galli, V.; Romboli, Y.; Barbato, D.; Mari, E.; Venturi, M.; Guerrini, S.; Granchi, L. Indigenous Aureobasidium pullulans strains as biocontrol agents of Botrytis cinerea on grape berries. Sustainability 2021, 13, 9389. [Google Scholar] [CrossRef]
- Raspor, P.; Miklič-Milek, D.; Avbelj, M.; Čadež, N. Biocontrol of grey mould disease on grape caused by Botrytis cinerea with autochthonous wine yeasts. Food Technol. Biotechnol. 2010, 48, 336–343. [Google Scholar]
- Spadaro, D.; Droby, S. Development of biocontrol products for postharvest diseases of fruit: The importance of elucidating the mechanisms of action of yeast antagonists. Trends Food Sci. Technol. 2016, 47, 39–49. [Google Scholar] [CrossRef]
- Freimoser, F.M.; Rueda-Mejia, M.P.; Tilocca, B.; Migheli, Q. Biocontrol yeasts: Mechanisms and applications. World J. Microbiol. Biotechnol. 2019, 35, 154. [Google Scholar] [CrossRef]
- Sipiczki, M. Metschnikowia strains isolated from botrytized grapes antagonize fungal and bacterial growth by iron depletion. Appl. Environ. Microbiol. 2006, 72, 6716–6724. [Google Scholar] [CrossRef]
- Millan, A.F.-S.; Gamir, J.; Larraya, L.; Farran, I.; Veramendi, J. Towards understanding of fungal biocontrol mechanisms of different yeasts antagonistic to Botrytis cinerea through exometabolomic analysis. Biol. Control 2022, 174, 105033. [Google Scholar] [CrossRef]
- Pertot, I.; Longa, C.M.; Prodorutti, M.; Michelon, L.; Savazzin, F. Trichoderma Atroviride Sc1 For Biocontrol of Fungal Diseases in Plants 2013. Available online: https://patents.google.com/patent/US8431120B2/en (accessed on 9 September 2022).
- Rajesh, R.W.; Rahul, M.S.; Ambalal, N.S. Trichoderma: A significant fungus for agriculture and environment. Afr. J. Agric. Res. 2016, 11, 1952–1965. [Google Scholar] [CrossRef]
- Altieri, V.; Fedele, G.; Rossi, V. Biocontrol of Botrytis cinerea as influenced by grapevine growth stages and environmental conditions. In Proceedings of the Conference: XXVII National Congress Italian Phytopathological Society SIPAV, Palermo, Italy, 21–23 September 2022. [Google Scholar]
- Kosuge, T.; Hewitt, W. Exudates of grape berries and their effect on germination of conidia of Botrytis cinerea. Phytopathology 1964, 54, 167–172. [Google Scholar]
- Deytieux-Belleau, C.; Geny, L.; Roudet, J.; Mayet, V.; Donèche, B.; Fermaud, M. Grape berry skin features related to ontogenic resistance to Botrytis cinerea. Eur. J. Plant Pathol. 2009, 125, 551–563. [Google Scholar] [CrossRef]
- Tyson, J.L.; Middleditch, C.L.; Fullerton, R.A. The effect of grape berry growth stage on germination of Botrytis cinerea in New Zealand. Australas. Plant Pathol. 2022, 51, 79–90. [Google Scholar] [CrossRef]
- Loureiro, V.; Ferreira, M.M.; Monteiro, S.; Ferreira, R.B. The microbial community of grape berry. In The Biochemistry of the Grape Berry; Bentham Science Publishers: Sharjah, United Arab Emirates, 2012; pp. 241–268. [Google Scholar] [CrossRef]
- Zhang, H.; Wang, L.; Dong, Y.; Jiang, S.; Zhang, H.; Zheng, X. Control of postharvest pear diseases using Rhodotorula glutinis and its effects on postharvest quality parameters. Int. J. Food Microbiol. 2008, 126, 167–171. [Google Scholar] [CrossRef]
- Massart, S.; Margarita, M.M.; Jijakli, M.H. Biological control in the microbiome era: Challenges and opportunities. Biol. Control 2015, 89, 98–108. [Google Scholar] [CrossRef]
- Hjeljord, L.G.; Stensvand, A.; Tronsmo, A. Effect of temperature and nutrient stress on the capacity of commercial Trichoderma products to control Botrytis cinerea and Mucor piriformis in greenhouse strawberries. Biol. Control 2000, 19, 149–160. [Google Scholar] [CrossRef]
- Cota, L.V.; Maffia, L.A.; Mizubuti, E.S.G. Brazilian isolates of Clonostachys rosea: Colonization under different temperature and moisture conditions and temporal dynamics on strawberry leaves. Lett. Appl. Microbiol. 2008, 46, 312–317. [Google Scholar] [CrossRef]
- Angelopoulou, D.J.; Naska, E.J.; Paplomatas, E.J.; Tjamos, S.E. Biological control agents (BCAs) of Verticillium wilt: Influence of application rates and delivery method on plant protection, triggering of host defence mechanisms and rhizosphere populations of BCAs. Plant Pathol. 2014, 63, 1062–1069. [Google Scholar] [CrossRef]
- Carbó, A.; Torres, R.; Teixidó, N.; Usall, J.; Medina, A.; Magan, N. Predicted ecological niches and envirnomental resilience of different formulations of the biocontrol yeast Candida sake CPA-1 using the Bioscreen C. Lett. Appl. Microbiol. 2018, 67, 2–8. [Google Scholar] [CrossRef]
- Padgett, M.; Morrison, J.C. Changes in grape berry exudates during fruit development and their effect on mycelial growth of Botrytis cinerea. J. Am. Soc. Hortic. Sci. 1990, 115, 269–273. [Google Scholar] [CrossRef]
- Prakitchaiwattana, C. Investigation of Yeasts Associated with Australian Wine Grapes Using Cultural and Molecular Methods. Doctoral Thesis, University of South Wales, Sydney, Australia, 2004. [Google Scholar]
- Fregoni, M. Viticoltura di Qualità, 1st ed.; Phytoline: Milan, Italy, 1998. [Google Scholar]
- Dalgaard, P.; Ross, T.; Kamperman, L.; Neumeyer, K.; McMeekin, T.A. Estimation of bacterial growth rates from turbidimetric and viable count data. Int. J. Food Microbiol. 1994, 23, 391–404. [Google Scholar] [CrossRef]
- Begot, C.; Desnier, I.; Daudin, J.D.; Labadie, J.C.; Lebert, A. Recommendations for calculating growth parameters by optical density measurements. J. Microbiol. Methods 1996, 25, 225–232. [Google Scholar] [CrossRef]
- Gao, L.; Liu, X. Nutritional requirements of mycelial growth and sporulation of several biocontrol fungi in submerged and on solid culture. Microbiology 2010, 79, 612–619. [Google Scholar] [CrossRef]
- Gao, L.; Sun, M.H.; Liu, X.Z.; Che, Y.S. Effects of carbon concentration and carbon to nitrogen ratio on the growth and sporulation of several biocontrol fungi. Mycol. Res. 2007, 111, 87–92. [Google Scholar] [CrossRef] [PubMed]
- Sayed, A.; Abd-El-Razik, A.; Abd-El-Rahman, T.; Eraky, A. Influence of certain carbon and nitrogen sources on antagonistic potentiality of Trichoderma harzianum and Bacillus subtillus against Botrytis allii the incitant of onion neck rot. J. Phytopathol. Pest Manag. 2014, 1, 9–16. [Google Scholar]
- Li, R.C.; Nix, D.E.; Schentag, J.J. New turbidimetric assay for quantitation of viable bacterial densities. Antimicrob. Agents Chemother. 1993, 37, 371–374. [Google Scholar] [CrossRef]
- Hannusch, D.; Boland, G.J. Interactions of air temperature, relative humidity and biological control agents on grey mold of bean. Phytopathology 1996, 102, 133–142. [Google Scholar] [CrossRef]
- Helbig, J. Biological control of Botrytis cinerea Pers. ex Fr. in strawberry by Paenibacillus polymyxa (Isolate 18191). J. Phytopatol. 2001, 149, 265–273. [Google Scholar] [CrossRef]
- Coertze, S.; Holz, G.; Pathology, P. Surface colonization, penetration, and lesion formation on grapes inoculated fresh or after cold storage with single airborne conidia of Botrytis cinerea. Plant Dis. 1999, 83, 917–924. [Google Scholar] [CrossRef]
- Mukherjee, P.K.; Raghu, K. Effect of temperature on antagonistic and biocontrol potential of shape Trichoderma sp. on Sclerotium rolfsii. Mycopathologia 1997, 139, 151–155. [Google Scholar] [CrossRef] [PubMed]
- Polizzi, V.; Adams, A.; Picco, A.M.; Adriaens, E.; Lenoir, J.; Van Peteghem, C.; De Saeger, S.; De Kimpe, N. Influence of environmental conditions on production of volatiles by Trichoderma atroviride in relation with the sick building syndrome. Build. Environ. 2011, 46, 945–954. [Google Scholar] [CrossRef]
- Howell, C.R. Mechanisms employed by Trichoderma species in the biological control of plant diseases: The history and evolution of current concepts. Plant Dis. 2003, 87, 4–10. [Google Scholar] [CrossRef]
- Selim, S.; Negrel, J.; Govaerts, C.; Gianinazzi, S.; van Tuinen, D. Isolation and partial characterization of antagonistic peptides produced by Paenibacillus sp. strain B2 isolated from the sorghum mycorrhizosphere. Appl. Environ. Microbiol. 2005, 71, 6501–6507. [Google Scholar] [CrossRef]
- Huang, C.-J.; Chao-Ying, C. Synergistic interactions between chitinase ChiCW and fungicides against plant fungal pathogens. J. Microbiol. Biotechnol. 2008, 18, 784–787. [Google Scholar]
- Raza, W.; Shen, W.; Yang, Q.R. Paenibacillus polymyxa: Antibiotics, hydrolytic enzymes and hazard assessment. J. Plant Pathol. 2008, 90, 419–430. [Google Scholar]
- Malfanova, N.; Franzil, L.; Lugtenberg, B.; Chebotar, V.; Ongena, M. Cyclic lipopeptide profile of the plant-beneficial endophytic bacterium Bacillus subtilis HC8. Arch. Microbiol. 2012, 194, 893–898. [Google Scholar] [CrossRef]
- Pretorius, D.; Van Rooyen, J.; Clarke, K.G. Enhanced production of antifungal lipopeptides by Bacillus amyloliquefaciens for biocontrol of postharvest disease. New Biotechnol. 2015, 32, 243–252. [Google Scholar] [CrossRef]
- Hill, G.N.; Beresford, R.M.; Evans, K.J. Tools for accurate assessment of botrytis bunch rot (Botrytis cinerea) on wine grapes. N. Z. Plant Prot. 2010, 63, 174–181. [Google Scholar] [CrossRef]




| Active Ingredient | Commercial Product (Acronym) | Active Ingredient Concentration a | Producer | Label Dose (g/ha) |
|---|---|---|---|---|
| Bacillus amyloliquefaciens D747 | Amylo-X (BAD) | 5 × 1010 CFU/g | CBC S.r.l., Bergamo (Italy) | 2000 |
| Aureobasidium pullulans DMS 14941-14940 | Botector (APD) | 2.5 × 109 CFU/g (DMS 14941-14940) | Manica S.p.A., Trento (Italy) | 400 |
| Metschnikowia fructicola NRRL Y-27328 | Noli (MFN) | 1–3 × 1010 cells/g | Koppert Italia, Verona (Italy) | 2000 |
| Trichoderma atroviride SC1 | Vintec (TAS) | 1 × 1013 CFU/granule | Belchim S.p.A., Milan (Italy) | 200 |
Disclaimer/Publisher’s Note: The statements, opinions and data contained in all publications are solely those of the individual author(s) and contributor(s) and not of MDPI and/or the editor(s). MDPI and/or the editor(s) disclaim responsibility for any injury to people or property resulting from any ideas, methods, instructions or products referred to in the content. |
© 2023 by the authors. Licensee MDPI, Basel, Switzerland. This article is an open access article distributed under the terms and conditions of the Creative Commons Attribution (CC BY) license (https://creativecommons.org/licenses/by/4.0/).
Share and Cite
Altieri, V.; Rossi, V.; Fedele, G. Biocontrol of Botrytis cinerea as Influenced by Grapevine Growth Stages and Environmental Conditions. Plants 2023, 12, 3430. https://doi.org/10.3390/plants12193430
Altieri V, Rossi V, Fedele G. Biocontrol of Botrytis cinerea as Influenced by Grapevine Growth Stages and Environmental Conditions. Plants. 2023; 12(19):3430. https://doi.org/10.3390/plants12193430
Chicago/Turabian StyleAltieri, Valeria, Vittorio Rossi, and Giorgia Fedele. 2023. "Biocontrol of Botrytis cinerea as Influenced by Grapevine Growth Stages and Environmental Conditions" Plants 12, no. 19: 3430. https://doi.org/10.3390/plants12193430
APA StyleAltieri, V., Rossi, V., & Fedele, G. (2023). Biocontrol of Botrytis cinerea as Influenced by Grapevine Growth Stages and Environmental Conditions. Plants, 12(19), 3430. https://doi.org/10.3390/plants12193430

