The Impact of Urbanization on the Distribution of Spontaneous Herbaceous Plants in an Ancient City: A Pilot Case Study in Jingzhou, China
Abstract
:1. Introduction
2. Results and Analysis
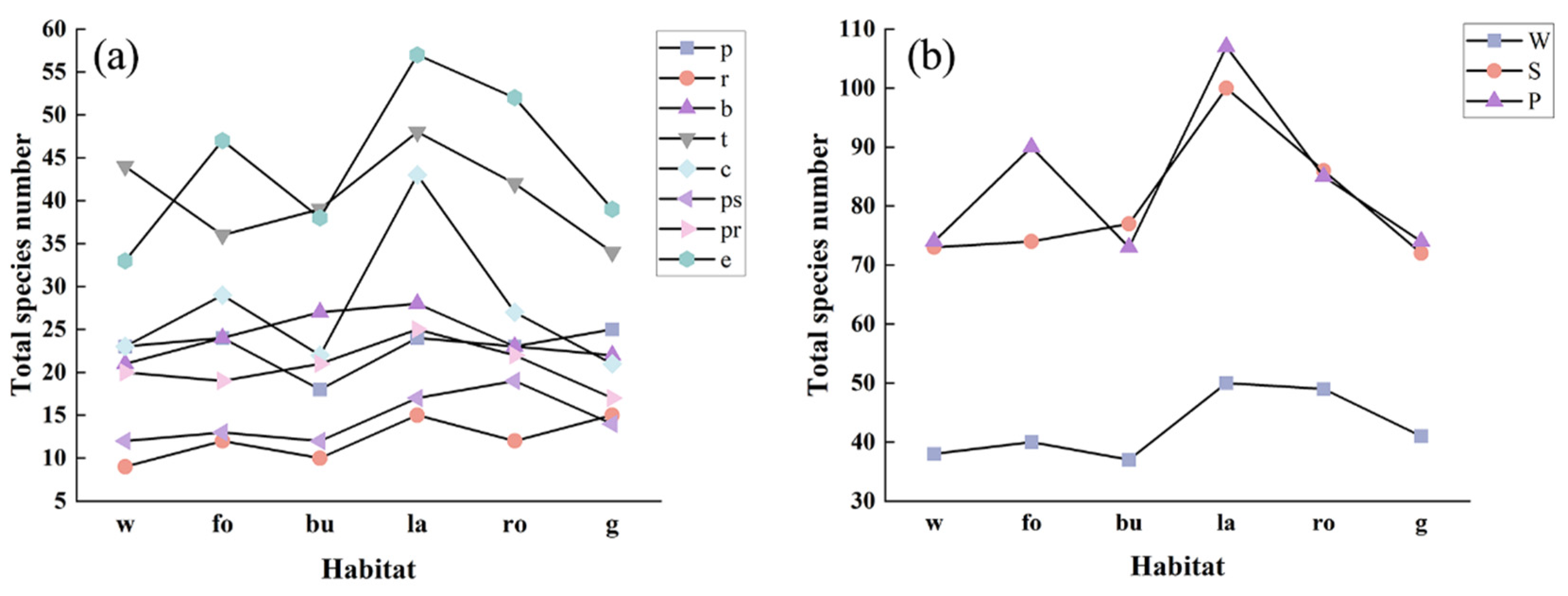
2.1. The Influence of Habitat on the Growth Form and Life Form of SHPs
2.2. Composition of SHPs in Jingzhou and in the Three Regions
2.3. Composition of Growth Form, Life Form, and Species Diversity Distribution in Three Regions
3. Discussion
3.1. Diverse Habitats Provide Abundant Living Space for SHPs of Different Growth Forms and Life Forms
3.2. The Diversity of SHPs in Urban Areas Is Influenced by the Level of Management
3.3. Protection and Management of SHPs in the Process of Rapid Urbanization
4. Material and Methods
4.1. Study Area
4.2. Data Collection
4.3. Data Analysis
4.3.1. The Composition of Families and Genera
4.3.2. Habitat Distribution
4.3.3. Growth Form and Life Form Analysis
4.3.4. Species Diversity Analysis
5. Conclusions
Supplementary Materials
Author Contributions
Funding
Institutional Review Board Statement
Informed Consent Statement
Data Availability Statement
Conflicts of Interest
References
- Johnson, C.N.; Balmford, A.; Brook, B.W.; Buettel, J.C.; Galetti, M.; Guangchun, L.; Wilmshurst, J.M. Biodiversity losses and conservation responses in the Anthropocene. Science 2017, 356, 270–275. [Google Scholar] [CrossRef] [PubMed]
- de Barros Ruas, R.; Costa, L.M.S.; Bered, F. Urbanization driving changes in plant species and communities—A global view. Glob. Ecol. Conserv. 2022, 38, e02243. [Google Scholar] [CrossRef]
- Huang, L.; Qian, S.; Li, T.; Jim, C.Y.; Jin, C.; Zhao, L.; Lin, D.; Shang, K.; Yang, Y. Masonry walls as sieve of urban plant assemblages and refugia of native species in Chongqing, China. Landsc. Urban Plan. 2019, 191, 103620. [Google Scholar] [CrossRef]
- Buckley, Y.M.; Catford, J. Does the biogeographic origin of species matter? Ecological effects of native and non-native species and the use of origin to guide management. J. Ecol. 2016, 104, 4–17. [Google Scholar] [CrossRef]
- Cadotte, M.W.; Yasui, S.L.E.; Livingstone, S.; MacIvor, J.S. Are urban systems beneficial, detrimental, or indifferent for biological invasion? Biol. Invasions 2017, 19, 3489–3503. [Google Scholar] [CrossRef]
- Qian, S.; Qi, M.; Huang, L.; Zhao, L.; Lin, D.; Yang, Y. Biotic homogenization of China’s urban greening: A meta-analysis on woody species. Urban For. Urban Green. 2016, 18, 25–33. [Google Scholar] [CrossRef]
- Vitule, J.R.; Occhi, T.V.; Carneiro, L.; Daga, V.S.; Frehse, F.A.; Bezerra, L.A.; Braga, R.R. Non-native species introductions, invasions, and biotic homogenization in the Atlantic Forest. In The Atlantic Forest; Marques, M.C.M., Grelle, C.E.V., Eds.; Springer: Cham, Switzerland, 2021; pp. 269–295. [Google Scholar] [CrossRef]
- Hu, S.; Jin, C.; Huang, L.; Huang, J.; Luo, M.; Qian, S.; Jim, C.Y.; Song, K.; Chen, S.; Lin, D.; et al. Characterizing composition profile and diversity patterns of spontaneous urban plants across China’s major cities. J. Environ. Manag. 2022, 317, 115445. [Google Scholar] [CrossRef]
- Cervelli, E.W.; Lundholm, J.T.; Du, X. Spontaneous urban vegetation and habitat heterogeneity in Xi’an, China. Landsc. Urban Plan. 2013, 120, 25–33. [Google Scholar] [CrossRef]
- Crane, P.R.; Ge, S.; Hong, D.Y.; Huang, H.W.; Jiao, G.L.; Knapp, S.; Kress, W.J.; Mooney, H.; Raven, P.H.; Wen, J.; et al. The Shenzhen Declaration on Plant Sciences-Uniting plant sciences and society to build a green, sustainable Earth. PhytoKeys 2017, 86, 3–7. [Google Scholar] [CrossRef]
- Robinson, S.L.; Lundholm, J.T. Ecosystem services provided by urban spontaneous vegetation. Urban Ecosyst. 2012, 15, 545–557. [Google Scholar] [CrossRef]
- Riley, C.B.; Perry, K.I.; Ard, K.; Gardiner, M.M. Asset or liability? Ecological and sociological tradeoffs of urban spontaneous vegetation on vacant land in shrinking cities. Sustainability 2018, 10, 2139. [Google Scholar] [CrossRef]
- Williams, N.S.; Schwartz, M.W.; Vesk, P.A.; McCarthy, M.A.; Hahs, A.K.; Clemants, S.E.; Corlett, R.T.; Duncan, R.P.; Norton, B.A.; Thompson, K.; et al. A conceptual framework for predicting the effects of urban environments on floras. J. Ecol. 2009, 97, 4–9. [Google Scholar] [CrossRef]
- Gao, Z.; Song, K.; Pan, Y.; Malkinson, D.; Zhang, X.; Jia, B.; Xia, T.; Guo, X.; Liang, H.; Huang, S.; et al. Drivers of spontaneous plant richness patterns in urban green space within a biodiversity hotspot. Urban For. Urban Green. 2021, 61, 127098. [Google Scholar] [CrossRef]
- Sikorska, D.; Ciężkowski, W.; Babańczyk, P.; Chormański, J.; Sikorski, P. Intended wilderness as a Nature-based Solution: Status, identification and management of urban spontaneous vegetation in cities. Urban For. Urban Green. 2021, 62, 127155. [Google Scholar] [CrossRef]
- Woźniak, G.; Dyderski, M.K.; Kompała-Bąba, A.; Jagodziński, A.M.; Pasierbiński, A.; Błońska, A.; Błońska, A.; Bierza, W.; Magurno, F.; Sierka, E. Use of remote sensing to track postindustrial vegetation development. Land Degrad. Dev. 2021, 32, 1426–1439. [Google Scholar] [CrossRef]
- Bonthoux, S.; Voisin, L.; Bouché-Pillon, S.; Chollet, S. More than weeds: Spontaneous vegetation in streets as a neglected element of urban biodiversity. Landsc. Urban Plan. 2019, 185, 163–172. [Google Scholar] [CrossRef]
- Omar, M.; Al Sayed, N.; Barré, K.; Halwani, J.; Machon, N. Drivers of the distribution of spontaneous plant communities and species within urban tree bases. Urban For. Urban Green. 2018, 35, 174–191. [Google Scholar] [CrossRef]
- Mathey, J.; Arndt, T.; Banse, J.; Rink, D. Public perception of spontaneous vegetation on brownfields in urban areas—Results from surveys in Dresden and Leipzig (Germany). Urban For. Urban Green. 2018, 29, 384–392. [Google Scholar] [CrossRef]
- Zhang, M.; Fan, S.; Li, X.; Li, K.; Xing, X.; Hao, P.; Dong, L. How urban riparian corridors affect the diversity of spontaneous herbaceous plants as pollination and dispersal routes-a case of the Wenyu River-North Canal in Beijing, China. Ecol. Indic. 2023, 146, 109869. [Google Scholar] [CrossRef]
- Ren, Y.; Guo, M.; Yin, F.; Zhang, M.J.; Wei, J. Tree Cover Improved the Species Diversity of Understory Spontaneous Herbs in a Small City. Forests 2022, 13, 1310. [Google Scholar] [CrossRef]
- Qian, S.; Qin, D.; Wu, X.; Hu, S.; Hu, L.; Lin, D.; Zhao, L.; Shang, K.; Song, K.; Yang, Y. Urban growth and topographical factors shape patterns of spontaneous plant community diversity in a mountainous city in southwest China. Urban For. Urban Green. 2020, 55, 126814. [Google Scholar] [CrossRef]
- Li, X.P.; Fan, S.X.; Guan, J.H.; Zhao, F.; Dong, L. Diversity and influencing factors on spontaneous plant distribution in Beijing Olympic Forest Park. Landsc. Urban Plan. 2019, 181, 157–168. [Google Scholar] [CrossRef]
- Panitsa, M.; Trigas, P.; Kontakos, D.; Valli, A.T.; Iatrou, G. Natural and cultural heritage interaction: Aspects of plant diversity in three East Peloponnesian castles (Greece) and conservation evaluation. Plant Biosyst. 2022, 156, 538–552. [Google Scholar] [CrossRef]
- Valkó, O.; Tóth, K.; Kelemen, A.; Miglécz, T.; Radócz, S.; Sonkoly, J.; Tóthmérész1, B.; Török, P.; Deák, B. Cultural heritage and biodiversity conservation–plant introduction and practical restoration on ancient burial mounds. Nat. Conserv. 2018, 24, 65–80. [Google Scholar] [CrossRef]
- Caneva, G.; Benelli, F.; Bartoli, F.; Cicinelli, E. Safeguarding natural and cultural heritage on Etruscan tombs (La Banditaccia, Cerveteri, Italy). Rend. Fis. Acc. Lincei 2018, 29, 891–907. [Google Scholar] [CrossRef]
- Zhao, J.; Ouyang, Z.; Zheng, H.; Zhou, W.; Wang, X.; Xu, W.; Ni, Y. Plant species composition in green spaces within the built-up areas of Beijing, China. Plant Ecol. 2010, 209, 189–204. [Google Scholar] [CrossRef]
- Jim, C.Y.; Chen, W.Y. Habitat effect on vegetation ecology and occurrence on urban masonry walls. Urban For. Urban Green. 2010, 9, 169–178. [Google Scholar] [CrossRef]
- Chen, Y.; Bing, H.; Zhang, L.G. The Marshlands Degradation and the Urban Spatial Transformation: A Case Study of “Town” and “Market” in Jingzhou City. Adv. Mater. Res. 2012, 599, 943–949. [Google Scholar] [CrossRef]
- Maclvor, J.S.; Macivor, J.S.; Cadotte, M.W.; Livingstone, S.W.; Lundholm, J.T.; Yasui, S.L.E. Phylogenetic ecology and the greening of cities. J. Appl. Ecol. 2016, 53, 1470–1476. [Google Scholar] [CrossRef]
- Bruelheide, H.; Dengler, J.; Purschke, O.; Lenoir, J.; Jiménez-Alfaro, B.; Hennekens, S.M.; Botta-Dukát, Z.; Chytrý, M.; Field, R.; Jansen, F.; et al. Global trait-environment relationships of plant communities. Nat. Ecol. Evol. 2018, 2, 1906–1917. [Google Scholar] [CrossRef] [PubMed]
- Southon, G.E.; Jorgensen, A.; Dunnett, N.; Hoyle, H.; Evans, K.L. Biodiverse perennial meadows have aesthetic value and increase residents’ perceptions of site quality in urban green-space. Landsc. Urban Plan. 2017, 158, 105–118. [Google Scholar] [CrossRef]
- Hao, Q.; Ma, J.S. Invasive alien plants in China: An update. Plant Divers. 2023, 45, 117. [Google Scholar] [CrossRef] [PubMed]
- MacDougall, A.S.; Gilbert, B.; Levine, J.M. Plant invasions and the niche. J. Ecol. 2009, 97, 609–615. [Google Scholar] [CrossRef]
- Valladares, F.; Bastias, C.C.; Godoy, O.; Granda, E.; Escudero, A. Species coexistence in a changing world. Front. Plant Sci. 2015, 6, 866. [Google Scholar] [CrossRef]
- McLean, P.; Wilson, J.R.; Gaertner, M.; Kritzinger-Klopper, S.; Richardson, D.M. The distribution and status of alien plants in a small South African town. S. Afr. J. Bot. 2018, 117, 71–78. [Google Scholar] [CrossRef]
- Katz, O.; Lev-Yadun, S.; Bar, P. Plasticity and variability in the patterns of phytolith formation in Asteraceae species along a large rainfall gradient in Israel. Flora 2013, 208, 438–444. [Google Scholar] [CrossRef]
- Lei, Z.X.; Fei, Y.J.; Chen, Z.Y.; Yu, C.J. List of wild angiosperms in Jingzhou ncient City Wall Ⅰ Herbs and Vines. J. Hubei Agric. Coll. 1996, 4, 38–41. [Google Scholar]
- Lerman, S.B.; Contosta, A.R.; Milam, J.; Bang, C. To mow or to mow less: Lawn mowing frequency affects bee abundance and diversity in suburban yards. Biol. Conserv. 2018, 221, 160–174. [Google Scholar] [CrossRef]
- Aronson, M.F.; Lepczyk, C.A.; Evans, K.L.; Goddard, M.A.; Lerman, S.B.; MacIvor, J.S.; Nilon, C.H.; Vargo, T. Biodiversity in the city: Key challenges for urban green space management. Front. Ecol. Environ. 2017, 15, 189–196. [Google Scholar] [CrossRef]
- Hahs, A.K.; McDonnell, M.J.; McCarthy, M.A.; Vesk, P.A.; Corlett, R.T.; Norton, B.A.; Clemants, S.E.; Duncan, R.P.; Thompson, K.; Schwartz, M.W.; et al. A global synthesis of plant extinction rates in urban areas. Ecol. Let. 2009, 12, 1165–1173. [Google Scholar] [CrossRef]
- Li, W.; Zhou, W.; Bai, Y.; Pickett, S.T.; Han, L. The smart growth of Chinese cities: Opportunities offered by vacant land. Land Degrad. Dev. 2018, 29, 3512–3520. [Google Scholar] [CrossRef]
- Zhang, M.; Song, K.; Da, L. The diversity distribution pattern of ruderal community under the rapid urbanization in Hangzhou, East China. Diversity 2020, 12, 116. [Google Scholar] [CrossRef]
- Broughton, R.K.; Bullock, J.M.; George, C.; Hill, R.A.; Hinsley, S.A.; Maziarz, M.; Melin, M.; Mountford, J.O.; Sparks, T.H.; Pywell, R.F. Long-term woodland restoration on lowland farmland through passive rewilding. PLoS ONE 2021, 16, e0252466. [Google Scholar] [CrossRef]
- Lorimer, J.; Sandom, C.; Jepson, P.; Doughty, C.; Barua, M.; Kirby, K.J. Rewilding: Science, practice, and politics. Annu. Rev. Environ. Resour. 2015, 40, 39–62. [Google Scholar] [CrossRef]
- Ilie, D.; Cosmulescu, S. Spontaneous Plant Diversity in Urban Contexts: A Review of Its Impact and Importance. Diversity 2023, 15, 277. [Google Scholar] [CrossRef]
- Useni Sikuzani, Y.; Sambiéni Kouagou, R.; Maréchal, J.; Ilunga wa Ilunga, E.; Malaisse, F.; Bogaert, J.; Munyemba Kankumbi, F. Changes in the spatial pattern and ecological functionalities of green spaces in Lubumbashi (the Democratic Republic of Congo) in relation with the degree of urbanization. Trop. Conserv. Sci. 2018, 11, 1940082918771325. [Google Scholar] [CrossRef]
- Ives, C.D.; Lentini, P.E.; Threlfall, C.G.; Ikin, K.; Shanahan, D.F.; Garrard, G.E.; Bekessy, S.A.; Fuller, R.A.; Mumaw, L.; Rayner, L.; et al. Cities are hotspots for threatened species. Glob. Ecol. Biogeogr. 2016, 25, 117–126. [Google Scholar] [CrossRef]
- Li, X.; Li, Y.; Zhang, S.; Lin, R.; Chen, M.; Feng, L. Driving effects of land use and landscape pattern on different spontaneous plant life forms along urban river corridors in a fast-growing city. Sci. Total Environ. 2023, 876, 162775. [Google Scholar] [CrossRef]
- Jochimsen, M.E. Vegetation developement and species assemblages in a long-term reclamation project on mine spoil. Ecol. Eng. 2001, 17, 187–198. [Google Scholar] [CrossRef]
- Novák, J.; Konvička, M. Proximity of valuable habitats affects succession patterns in abandoned quarries. Ecol. Eng. 2006, 26, 113–122. [Google Scholar] [CrossRef]
- Gurib-Fakim, A. Medicinal plants: Traditions of yesterday and drugs of tomorrow. Mol. Aspects Med. 2006, 27, 1–93. [Google Scholar] [CrossRef]
- Gu, W.; Hao, X.; Wang, Z.; Zhang, J.; Huang, L.; Pei, S. Ethnobotanical study on medicinal plants from the Dragon Boat Festival herbal markets of Qianxinan, southwestern Guizhou, China. Plant Divers. 2020, 42, 427–433. [Google Scholar] [CrossRef] [PubMed]
- Ali, S.I.; Gopalakrishnan, B.; Venkatesalu, V. Pharmacognosy, phytochemistry and pharmacological properties of Achillea millefolium L.: A review. Phytother. Res. 2017, 31, 1140–1161. [Google Scholar] [CrossRef]
- Hu, R.; Lin, C.; Xu, W.; Liu, Y.; Long, C. Ethnobotanical study on medicinal plants used by Mulam people in Guangxi, China. J. Ethnobiol. Ethnomed. 2020, 16, 1–50. [Google Scholar] [CrossRef]
- Zhang, M.; Li, H.; Wang, J.; Tang, M.; Zhang, X.; Yang, S.; Liu, J.; Li, Y.; Huang, X.; Li, Z.; et al. Market survey on the traditional medicine of the Lijiang area in Yunnan Province, China. J. Ethnobiol. Ethnomed. 2022, 18, 1–35. [Google Scholar] [CrossRef] [PubMed]
- Flora of China Editorial Committee. Flora of China; Science Press: Beijing, China; Missouri Botanical Garden Press: St. Louis, MO, USA, 2013. [Google Scholar]
- Chen, X.; Liang, H.; Song, K.; Da, L. Diversity and classification system of weed community in Harbin City, China. Chin. J. Appl. Ecol. 2014, 25, 2221–2228. [Google Scholar] [CrossRef]
- Li, J.; Wang, H.; Chen, H. On Species Composition and Distribution of Wild Herbs in Central Districts of Chongqing. J. Southwest China Norm. Univ. (Nat. Sci. Ed.) 2018, 43, 103–109. [Google Scholar] [CrossRef]
- Thukral, A.K. A review on measurement of Alpha diversity in biology. Agric. Res. J. 2017, 54, 1. [Google Scholar] [CrossRef]
- McKinney, M.L. Do exotics homogenize or differentiate communities? Roles of sampling and exotic species richness. Biol. Invasions 2004, 6, 495–504. [Google Scholar] [CrossRef]
- R Core Team. R: A Language and Environment for Statistical Computing; R Foundation for Statistical Computing: Vienna, Austria, 2021. [Google Scholar]








Disclaimer/Publisher’s Note: The statements, opinions and data contained in all publications are solely those of the individual author(s) and contributor(s) and not of MDPI and/or the editor(s). MDPI and/or the editor(s) disclaim responsibility for any injury to people or property resulting from any ideas, methods, instructions or products referred to in the content. |
© 2023 by the authors. Licensee MDPI, Basel, Switzerland. This article is an open access article distributed under the terms and conditions of the Creative Commons Attribution (CC BY) license (https://creativecommons.org/licenses/by/4.0/).
Share and Cite
Hou, S.; Tian, C.; Meng, J.; Liu, C.; Yao, Z. The Impact of Urbanization on the Distribution of Spontaneous Herbaceous Plants in an Ancient City: A Pilot Case Study in Jingzhou, China. Plants 2023, 12, 3353. https://doi.org/10.3390/plants12193353
Hou S, Tian C, Meng J, Liu C, Yao Z. The Impact of Urbanization on the Distribution of Spontaneous Herbaceous Plants in an Ancient City: A Pilot Case Study in Jingzhou, China. Plants. 2023; 12(19):3353. https://doi.org/10.3390/plants12193353
Chicago/Turabian StyleHou, Shuwang, Changwei Tian, Jianghui Meng, Chunyan Liu, and Zhen Yao. 2023. "The Impact of Urbanization on the Distribution of Spontaneous Herbaceous Plants in an Ancient City: A Pilot Case Study in Jingzhou, China" Plants 12, no. 19: 3353. https://doi.org/10.3390/plants12193353
APA StyleHou, S., Tian, C., Meng, J., Liu, C., & Yao, Z. (2023). The Impact of Urbanization on the Distribution of Spontaneous Herbaceous Plants in an Ancient City: A Pilot Case Study in Jingzhou, China. Plants, 12(19), 3353. https://doi.org/10.3390/plants12193353

