Effects of Climatic Change on Phylogeography and Ecological Niche of the Endemic Herb Elymus breviaristatus on the Qinghai-Tibet Plateau
Abstract
:1. Introduction
2. Results
2.1. Haplotype Distribution and Phylogenetic Relationship
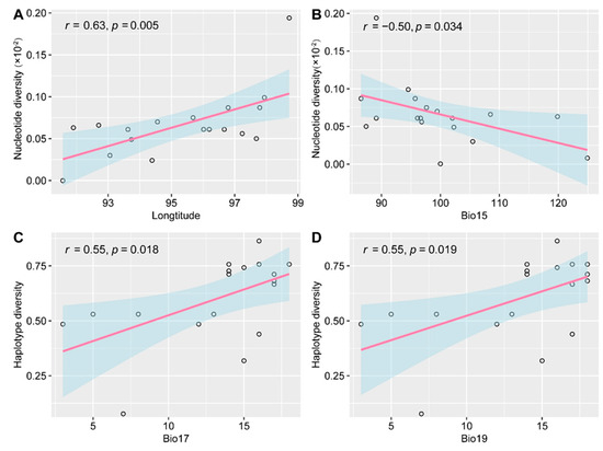
2.2. Population Genetic Diversity and Dynamics
2.3. Genetic Differentiation Barriers and Isolation Models
2.4. Species Distribution Change
3. Discussion
3.1. Spatial Distribution of Genetic Diversity
3.2. Genetic Differentiation Caused by Barriers and Environmental Heterogeneity
3.3. Population Dynamics and Ecological Niche
3.4. Implications for Conservation and Management
4. Materials and Methods
4.1. Population Sampling and DNA Extraction
4.2. Chloroplast DNA Sequencing
4.3. Genetic Diversity and Phylogeographic Analysis
4.4. Genetic Differentiation
4.5. Ecological Niche Modeling
5. Conclusions
Supplementary Materials
Author Contributions
Funding
Data Availability Statement
Conflicts of Interest
References
- Hewitt, G.M. Genetic consequences of climatic oscillations in the Quaternary. Philos. Trans. R. Soc. Lond. Biol. Sci. 2004, 359, 183–195. [Google Scholar] [CrossRef]
- Hickerson, M.J.; Carstens, B.C.; Cavender-Bares, J.; Crandall, K.A.; Graham, C.H.; Johnson, J.B.; Rissler, L.; Victoriano, P.F.; Yoder, A.D. Phylogeography’s past, present, and future: 10 years after Avise, 2000. Mol. Phylogenet. Evol. 2010, 54, 291–301. [Google Scholar] [CrossRef] [PubMed]
- Hewitt, G. The genetic legacy of the Quaternary ice ages. Nature 2000, 405, 907–913. [Google Scholar] [CrossRef] [PubMed]
- Stewart, J.R.; Lister, A.M.; Barnes, I.; Dalén, L. Refugia revisited: Individualistic responses of species in space and time. Proc. Biol. Sci. 2010, 277, 661–671. [Google Scholar] [CrossRef] [PubMed]
- De Kort, H.; Prunier, J.G.; Ducatez, S.; Honnay, O.; Baguette, M.; Stevens, V.M.; Blanchet, S. Life history, climate and biogeography interactively affect worldwide genetic diversity of plant and animal populations. Nat. Commun. 2021, 12, 516. [Google Scholar] [CrossRef] [PubMed]
- Riddle, B.R.; Honeycutt, R.L.; Lee, P.L. Mitochondrial DNA phylogeography in northern grasshopper mice (Onychomys leucogaster)—The influence of Quaternary climatic oscillations on population dispersion and divergence. Mol. Ecol. 1993, 2, 183–193. [Google Scholar] [CrossRef] [PubMed]
- Huang, J.P. Is population subdivision different from speciation? From phylogeography to species delimitation. Ecol. Evol. 2020, 10, 6890–6896. [Google Scholar] [CrossRef]
- Araújo, M.B.; Peterson, A.T. Uses and misuses of bioclimatic envelope modeling. Ecology 2012, 93, 1527–1539. [Google Scholar] [CrossRef]
- Miller, A.D.; Nitschke, C.; Weeks, A.R.; Weatherly, W.L.; Heyes, S.D.; Sinclair, S.J.; Holland, O.J.; Stevenson, A.; Broadhurst, L.; Hoebee, S.E.; et al. Genetic data and climate niche suitability models highlight the vulnerability of a functionally important plant species from south-eastern Australia. Evol. Appl. 2020, 13, 2014–2029. [Google Scholar] [CrossRef]
- Zhang, D.C.; Ye, J.X.; Sun, H. Quantitative approaches to identify floristic units and centres of species endemism in the Qinghai-Tibetan Plateau, south-western China. J. Biogeogr. 2016, 43, 2465–2476. [Google Scholar] [CrossRef]
- Marchese, C. Biodiversity hotspots: A shortcut for a more complicated concept. Glob. Ecol. Conserv. 2015, 3, 297–309. [Google Scholar] [CrossRef]
- Mao, K.S.; Wang, Y.; Liu, J.Q. Evolutionary origin of species diversity on the Qinghai-Tibet Plateau. J. Syst. Evol. 2021, 59, 1142–1158. [Google Scholar] [CrossRef]
- Myers, N.; Mittermeier, R.A.; Mittermeier, C.G.; da Fonseca, G.A.B.; Kent, J. Biodiversity hotspots for conservation priorities. Nature 2000, 403, 853–858. [Google Scholar] [CrossRef]
- Wu, S.; Wang, Y.; Wang, Z.; Shrestha, N.; Liu, J. Species divergence with gene flow and hybrid speciation on the Qinghai-Tibet Plateau. New Phytol. 2022, 234, 392–404. [Google Scholar] [CrossRef] [PubMed]
- Körner, C.; Hiltbrunner, E. Why is the alpine flora comparatively robust against climatic warming? Diversity 2021, 13, 383. [Google Scholar] [CrossRef]
- Verrall, B.; Pickering, C.M. Alpine vegetation in the context of climate change: A global review of past research and future directions. Sci. Total Environ. 2020, 748, 141344. [Google Scholar] [CrossRef] [PubMed]
- Dullinger, S.; Gattringer, A.; Thuiller, W.; Moser, D.; Zimmermann, N.E.; Guisan, A.; Willner, W.; Plutzar, C.; Leitner, M.; Mang, T.; et al. Extinction debt of high-mountain plants under twenty-first-century climate change. Nat. Clim. Change 2012, 2, 619–622. [Google Scholar] [CrossRef]
- Liang, Q.L.; Xu, X.T.; Mao, K.S.; Wang, M.C.; Wang, K.; Xi, Z.X.; Liu, J.Q. Shifts in plant distributions in response to climate warming in a biodiversity hotspot, the Hengduan Mountains. J. Biogeogr. 2018, 45, 1334–1344. [Google Scholar] [CrossRef]
- La Sorte, F.A.; Jetz, W. Projected range contractions of montane biodiversity under global warming. Proc. Biol. Sci. 2010, 277, 3401–3410. [Google Scholar] [CrossRef]
- Assis, J.; Araújo, M.B.; Serrão, E.A. Projected climate changes threaten ancient refugia of kelp forests in the North Atlantic. Glob. Change Biol. 2018, 24, e55–e66. [Google Scholar] [CrossRef]
- Blanco-Pastor, J.L.; Fernández-Mazuecos, M.; Coello, A.J.; Pastor, J.; Vargas, P.; Zhan, A. Topography explains the distribution of genetic diversity in one of the most fragile European hotspots. Divers. Distrib. 2019, 25, 74–89. [Google Scholar] [CrossRef]
- Petit, R.J.; Duminil, J.; Fineschi, S.; Hampe, A.; Salvini, D.; Vendramin, G.G. Comparative organization of chloroplast, mitochondrial and nuclear diversity in plant populations. Mol. Ecol. 2005, 14, 689–701. [Google Scholar] [CrossRef] [PubMed]
- Li, D.B.; Ou, X.K.; Zhao, J.L.; Li, Q.J. An ecological barrier between the Himalayas and the Hengduan Mountains maintains the disjunct distribution of Roscoea. J. Biogeogr. 2020, 47, 326–341. [Google Scholar] [CrossRef]
- Rana, H.K.; Rana, S.K.; Luo, D.; Sun, H. Existence of biogeographic barriers for the long-term Neogene–Quaternary divergence and differentiation of Koenigia forrestii in the Himalaya–Hengduan Mountains. Bot. J. Linn. Soc. 2023, 201, 230–253. [Google Scholar] [CrossRef]
- Luo, D.; Xu, B.; Li, Z.-M.; Sun, H. The ‘Ward Line–Mekong–Salween Divide’ is an important floristic boundary between the eastern Himalaya and Hengduan Mountains: Evidence from the phylogeographical structure of subnival herbs Marmoritis complanatum (Lamiaceae). Bot. J. Linn. Soc. 2017, 185, 482–496. [Google Scholar] [CrossRef]
- Sun, H.; Li, Z.M.; Landis, J.B.; Qian, L.S.; Zhang, T.C.; Deng, T. Effects of drainage reorganization on phytogeographic pattern in Sino-Himalaya. Alpine Bot. 2022, 132, 141–151. [Google Scholar] [CrossRef]
- Fu, L.G.; Jin, J.M. Red List of Endangered Plants in China; Science Press: Beijing, China, 1992. [Google Scholar]
- Mason-Gamer, R.J. Phylogeny of a genomically diverse group of Elymus (Poaceae) allopolyploids reveals multiple levels of reticulation. PLoS ONE 2013, 8, e78449. [Google Scholar] [CrossRef]
- Li, J.; Zhang, C.B.; Chen, S.Y.; Jiang, K.K.; Guan, H.; Liu, W.H. Characterization and application of EST-SSR markers developed from transcriptome sequences in Elymus breviaristatus (Poaceae: Triticeae). Genes 2023, 14, 302. [Google Scholar] [CrossRef]
- Sun, M.; Huang, D.J.; Zhang, A.L.; Khan, I.; Yan, H.D.; Wang, X.S.; Zhang, X.Q.; Zhang, J.; Huang, L.K. Transcriptome analysis of heat stress and drought stress in pearl millet based on Pacbio full-length transcriptome sequencing. BMC Plant Biol. 2020, 20, 323. [Google Scholar] [CrossRef]
- Yan, H.; Sun, M.; Zhang, Z.; Jin, Y.; Zhang, A.; Lin, C.; Wu, B.; He, M.; Xu, B.; Wang, J.; et al. Pangenomic analysis identifies structural variation associated with heat tolerance in pearl millet. Nat. Genet. 2023, 55, 507–518. [Google Scholar] [CrossRef]
- Xiong, Y.; Xiong, Y.; Shu, X.; Yu, Q.; Lei, X.; Li, D.; Yan, J.; Bai, S.; Ma, X. Molecular phylogeography and intraspecific divergences in siberian wildrye (Elymus sibiricus L.) wild populations in China, inferred from Chloroplast DNA sequence and cpSSR markers. Front. Plant Sci. 2022, 13, 862759. [Google Scholar] [CrossRef] [PubMed]
- Chen, S.Y.; Ma, X.; Zhang, X.Q.; Chen, Z.H. Genetic variation and geographical divergence in Elymus nutans Griseb. (Poaceae: Triticeae) from West China. Biochem. Syst. Ecol. 2009, 37, 716–722. [Google Scholar] [CrossRef]
- Yu, H.; Favre, A.; Sui, X.; Chen, Z.; Qi, W.; Xie, G.; van Kleunen, M. Mapping the genetic patterns of plants in the region of the Qinghai-Tibet Plateau: Implications for conservation strategies. Divers. Distrib. 2019, 25, 310–324. [Google Scholar] [CrossRef]
- Zhang, Z.; Xie, W.; Zhang, J.; Zhao, X.; Zhao, Y.; Wang, Y. Phenotype- and SSR-based estimates of genetic variation between and within two important Elymus species in western and northern China. Genes 2018, 9, 147. [Google Scholar] [CrossRef] [PubMed]
- Gai, Z.; Zhai, J.; Chen, X.; Jiao, P.; Zhang, S.; Sun, J.; Qin, R.; Liu, H.; Wu, Z.; Li, Z. Phylogeography reveals geographic and environmental factors driving genetic differentiation of Populus sect. Turanga in northwest China. Front. Plant Sci. 2021, 12, 705083. [Google Scholar] [CrossRef] [PubMed]
- Liu, X.; Ma, Y.; Wan, Y.; Li, Z.; Ma, H. Genetic diversity of phyllanthus emblica from two different climate type areas. Front. Plant Sci. 2020, 11, 580812. [Google Scholar] [CrossRef]
- Li, J.; Ma, S.E.; Jiang, K.K.; Zhang, C.B.; Liu, W.H.; Chen, S.Y. Drivers of population divergence and genetic variation in Elymus breviaristatus (Keng) Keng f. (Poaceae: Triticeae), an endemic perennial herb of the Qinghai-Tibet plateau. Front. Ecol. Evol. 2022, 10, 1068739. [Google Scholar] [CrossRef]
- Ye, J.W.; Bai, W.N.; Bao, L.; Wang, T.M.; Wang, H.F.; Ge, J.P. Sharp genetic discontinuity in the aridity-sensitive Lindera obtusiloba (Lauraceae): Solid evidence supporting the Tertiary floral subdivision in East Asia. J. Biogeogr. 2017, 44, 2082–2095. [Google Scholar] [CrossRef]
- Zhang, W.X.; Furtado, K.; Wu, P.L.; Zhou, T.J.; Chadwick, R.; Marzin, C.; Rostron, J.; Sexton, D. Increasing precipitation variability on daily-to-multiyear time scales in a warmer world. Sci. Adv. 2021, 7, eabf8021. [Google Scholar] [CrossRef]
- Polz, M.F.; Alm, E.J.; Hanage, W.P. Horizontal gene transfer and the evolution of bacterial and archaeal population structure. Trends Genet. 2013, 29, 170–175. [Google Scholar] [CrossRef]
- Li, Y.; Zhai, S.N.; Qiu, Y.X.; Guo, Y.P.; Ge, X.J.; Comes, H.P. Glacial survival east and west of the ‘Mekong-Salween Divide’ in the Himalaya-Hengduan Mountains region as revealed by AFLPs and cpDNA sequence variation in Sinopodophyllum hexandrum (Berberidaceae). Mol. Phylogenet. Evol. 2011, 59, 412–424. [Google Scholar] [CrossRef] [PubMed]
- Yue, L.-L.; Sun, H. Montane refugia isolation and plateau population expansion: Phylogeography of Sino-Himalayan endemic Spenceria ramalana (Rosaceae). J. Syst. Evol. 2014, 52, 326–340. [Google Scholar] [CrossRef]
- Müller, M.; Lopez, P.A.; Papageorgiou, A.C.; Tsiripidis, I.; Gailing, O. Indications of genetic admixture in the transition zone between Fagus sylvatica L. and Fagus sylvatica ssp. orientalis Greut. & Burd. Diversity 2019, 11, 90. [Google Scholar] [CrossRef]
- Chen, S.; Zhang, X.; Ma, X.; Huang, L. Assessment of genetic diversity and differentiation of Elymus nutans indigenous to Qinghai–Tibet Plateau using simple sequence repeats markers. Can. J. Plant Sci. 2013, 93, 1089–1096. [Google Scholar] [CrossRef]
- Saenz-Agudelo, P.; Dibattista, J.D.; Piatek, M.J.; Gaither, M.R.; Harrison, H.B.; Nanninga, G.B.; Berumen, M.L. Seascape genetics along environmental gradients in the Arabian Peninsula: Insights from ddRAD sequencing of anemonefishes. Mol. Ecol. 2015, 24, 6241–6255. [Google Scholar] [CrossRef] [PubMed]
- Tajima, F. Statistical method for testing the neutral mutation hypothesis by DNA polymorphism. Genetics 1989, 123, 585–595. [Google Scholar] [CrossRef]
- Fu, Y.X.; Li, W.H. Statistical tests of neutrality of mutations. Genetics 1993, 133, 693–709. [Google Scholar] [CrossRef] [PubMed]
- Méndez-Cea, B.; García-García, I.; Gazol, A.; Camarero, J.J.; de Andrés, E.G.; Colangelo, M.; Valeriano, C.; Gallego, F.J.; Linares, J.C. Weak genetic differentiation but strong climate-induced selective pressure toward the rear edge of mountain pine in north-eastern Spain. Sci. Total Environ. 2023, 858, 159778. [Google Scholar] [CrossRef]
- Dakhil, M.A.; Halmy, M.W.A.; Liao, Z.; Pandey, B.; Zhang, L.; Pan, K.; Sun, X.; Wu, X.; Eid, E.M.; El-Barougy, R.F. Potential risks to endemic conifer montane forests under climate change: Integrative approach for conservation prioritization in southwestern China. Landsc. Ecol. 2021, 36, 3137–3151. [Google Scholar] [CrossRef]
- Elsen, P.R.; Tingley, M.W. Global mountain topography and the fate of montane species under climate change. Nat. Clim. Change 2015, 5, 772–776. [Google Scholar] [CrossRef]
- Fontúrbel, F.E.; Candia, A.B.; Malebrán, J.; Salazar, D.A.; González-Browne, C.; Medel, R. Meta-analysis of anthropogenic habitat disturbance effects on animal-mediated seed dispersal. Glob. Change Biol. 2015, 21, 3951–3960. [Google Scholar] [CrossRef] [PubMed]
- Mipam, T.D.; Chen, S.; Liu, J.; Miehe, G.; Tian, L. Short-term yak-grazing alters plant-soil stoichiometric relations in an alpine meadow on the eastern Tibetan Plateau. Plant Soil 2021, 458, 125–137. [Google Scholar] [CrossRef]
- Spalink, D.; MacKay, R.; Sytsma, K.J. Phylogeography, population genetics and distribution modelling reveal vulnerability of Scirpus longii (Cyperaceae) and the Atlantic Coastal Plain Flora to climate change. Mol. Ecol. 2019, 28, 2046–2061. [Google Scholar] [CrossRef] [PubMed]
- Gerlee, P.; Lundh, T. Productivity and diversity in a cross-feeding population of artificial organisms. Evolution 2010, 64, 2716–2730. [Google Scholar] [CrossRef] [PubMed]
- Shaw, J.; Lickey, E.B.; Beck, J.T.; Farmer, S.B.; Liu, W.; Miller, J.; Siripun, K.C.; Winder, C.T.; Schilling, E.E.; Small, R.L. The tortoise and the hare II: Relative utility of 21 noncoding chloroplast DNA sequences for phylogenetic analysis. Am. J. Bot. 2005, 92, 142–166. [Google Scholar] [CrossRef] [PubMed]
- Tamura, K.; Stecher, G.; Peterson, D.; Filipski, A.; Kumar, S. MEGA6: Molecular evolutionary genetics analysis version 6.0. Mol. Biol. Evol. 2013, 30, 2725–2729. [Google Scholar] [CrossRef] [PubMed]
- Zhang, D.; Gao, F.L.; Jakovlic, I.; Zou, H.; Zhang, J.; Li, W.X.; Wang, G.T. PhyloSuite: An integrated and scalable desktop platform for streamlined molecular sequence data management and evolutionary phylogenetics studies. Mol. Ecol. Resour. 2020, 20, 348–355. [Google Scholar] [CrossRef]
- Librado, P.; Rozas, J. DnaSP v5: A software for comprehensive analysis of DNA polymorphism data. Bioinformatics 2009, 25, 1451–1452. [Google Scholar] [CrossRef]
- Leigh, J.W.; Bryant, D. POPART: Full-feature software for haplotype network construction. Methods Ecol. Evol. 2015, 6, 1110–1116. [Google Scholar] [CrossRef]
- Letunic, I.; Bork, P. Interactive Tree of Life (iTOL) v4: Recent updates and new developments. Nucleic Acids Res. 2019, 47, w256–w259. [Google Scholar] [CrossRef]
- Excoffier, L.; Lischer, H.E. Arlequin suite ver 3.5: A new series of programs to perform population genetics analyses under Linux and Windows. Mol. Ecol. Resour. 2010, 10, 564–567. [Google Scholar] [CrossRef] [PubMed]
- Manni, F.; Guerard, E.; Heyer, E. Geographic patterns of (genetic, morphologic, linguistic) variation: How barriers can be detected by using Monmonier’s algorithm. Hum. Biol. 2004, 76, 173–190. [Google Scholar] [CrossRef] [PubMed]
- Wright, S. Isolation by distance under diverse systems of mating. Genetics 1945, 30, 571–572. [Google Scholar] [CrossRef] [PubMed]
- Wang, I.J.; Bradburd, G.S. Isolation by environment. Mol. Ecol. 2014, 23, 5649–5662. [Google Scholar] [CrossRef]
- Merow, C.; Smith, M.J.; Silander, J.A., Jr. A practical guide to MaxEnt for modeling species’ distributions: What it does, and why inputs and settings matter. Ecography 2013, 36, 1058–1069. [Google Scholar] [CrossRef]





| Haplotypes | Number/Frequency (%) of Individuals | Number/Frequency (%) of Populations | Included Populations | Geographical Distributions |
|---|---|---|---|---|
| H1 | 21/9.72 | 4/22.22 | QD10, QD4, QD6, LS1 | Qamdo and Lhasa |
| H2 | 9/4.17 | 3/16.67 | QD10, QD5, QD6 | Qamdo |
| H3 | 4/1.85 | 2/11.11 | QD10, QD1 | Qamdo |
| H4 | 19/8.80 | 4/22.22 | QD10, QD7, QD8, NQ3 | Qamdo and Nagqu |
| H5 | 15/6.94 | 4/22.22 | QD1, QD2, QD3, QD9 | Qamdo |
| H6 | 1/3.24 | 1/5.56 | QD1 | Qamdo |
| H7 | 7/3.24 | 3/16.67 | QD1, QD2, QD7 | Qamdo |
| H8 | 3/1.39 | 2/11.11 | QD2, NQ4 | Qamdo and Nagqu |
| H9 | 4/1.85 | 1/5.56 | QD1 | Qamdo |
| H10 | 21/9.72 | 6/33.33 | QD2, QD3, QD5, QD6, QD9, NQ4 | Qamdo and Nagqu |
| H11 | 11/5.09 | 2/11.11 | QD3, QD4 | Qamdo |
| H12 | 3/1.39 | 2/11.11 | QD4, LS1 | Qamdo and Lhasa |
| H13 | 3/1.39 | 2/11.11 | QD5, NQ1 | Qamdo and Nagqu |
| H14 | 12/5.56 | 3/16.67 | QD5, QD6, NQ2 | Qamdo and Nagqu |
| H15 | 7/3.24 | 1/5.56 | QD8 | Qamdo |
| H16 | 10/4.63 | 3/16.67 | LS1, LS2, NC2 | Lhasa and Nyingchi |
| H17 | 9/4.17 | 2/11.11 | LS2, NC2 | Lhasa and Nyingchi |
| H18 | 20/9.26 | 2/11.11 | NC1, NC2 | Nyingchi |
| H19 | 5/2.31 | 2/11.11 | NQ1, NQ2 | Nagqu |
| H20 | 8/3.70 | 2/11.11 | NQ1, NQ2 | Nagqu |
| H21 | 2/0.93 | 1/5.56 | NQ1 | Nagqu |
| H22 | 5/2.31 | 1/5.56 | NQ2 | Nagqu |
| H23 | 4/1.85 | 1/5.56 | NQ3 | Nagqu |
| H24 | 5/2.31 | 1/5.56 | NQ3 | Nagqu |
| H25 | 9/4.17 | 1/5.56 | NQ4 | Nagqu |
| Population | Sample Size | Number of Haplotypes | Hd | π × 10−3 | Tajima’s D | Fu’s Fs | ||
|---|---|---|---|---|---|---|---|---|
| D | p-Value | Fs | p-Value | |||||
| QD1 | 12 | 6 | 0.818 | 2.300 | 0.615 | 0.731 | 3.711 | 0.960 |
| QD2 | 12 | 4 | 0.758 | 1.040 | 1.879 | 0.982 | 3.863 | 0.958 |
| QD3 | 12 | 3 | 0.667 | 0.600 | 1.203 | 0.904 | 3.595 | 0.940 |
| QD4 | 12 | 3 | 0.682 | 0.730 | 2.354 | 0.998 | 4.342 | 0.971 |
| QD5 | 12 | 4 | 0.727 | 0.910 | −0.028 | 0.523 | 3.350 | 0.941 |
| QD6 | 12 | 4 | 0.758 | 0.730 | 1.625 | 0.973 | 2.636 | 0.895 |
| QD7 | 12 | 2 | 0.318 | 0.730 | −0.864 | 0.224 | 4.326 | 0.960 |
| QD8 | 12 | 2 | 0.530 | 0.940 | 2.441 | 1.000 | 8.129 | 0.998 |
| QD9 | 12 | 2 | 0.485 | 0.670 | 1.816 | 0.980 | 6.438 | 0.992 |
| QD10 | 12 | 4 | 0.712 | 1.190 | 0.919 | 0.849 | 4.387 | 0.959 |
| LS1 | 12 | 3 | 0.530 | 0.760 | 1.162 | 0.898 | 4.468 | 0.969 |
| LS2 | 12 | 2 | 0.485 | 0.100 | 1.066 | 0.904 | 1.003 | 0.567 |
| NC1 | 12 | 1 | 0.000 | 0.000 | 0.000 | 1.000 | 0.000 | N.A. |
| NC2 | 12 | 3 | 0.530 | 0.800 | 1.451 | 0.933 | 4.684 | 0.980 |
| NQ1 | 12 | 4 | 0.742 | 0.730 | −1.490 | 0.081 | 2.610 | 0.895 |
| NQ2 | 12 | 4 | 0.758 | 0.590 | 1.177 | 0.905 | 1.996 | 0.861 |
| NQ3 | 12 | 3 | 0.712 | 0.290 | 1.573 | 0.951 | 1.526 | 0.816 |
| NQ4 | 12 | 3 | 0.439 | 0.840 | 0.703 | 0.796 | 4.896 | 0.977 |
| All | 216 | 25 | 0.825 | 1.140 | 0.686 | 0.713 | 0.129 | 0.635 |
| Source of Variation | d.f. | SS | Variance Components | Percentage of Variation | p-Value |
|---|---|---|---|---|---|
| Among populations | 17 | 416.963 | 1.88022 | 48.9 | <0.001 |
| Within populations | 198 | 389 | 1.96465 | 51.1 | <0.001 |
| Total | 215 | 805.963 | 3.84486 |
Disclaimer/Publisher’s Note: The statements, opinions and data contained in all publications are solely those of the individual author(s) and contributor(s) and not of MDPI and/or the editor(s). MDPI and/or the editor(s) disclaim responsibility for any injury to people or property resulting from any ideas, methods, instructions or products referred to in the content. |
© 2023 by the authors. Licensee MDPI, Basel, Switzerland. This article is an open access article distributed under the terms and conditions of the Creative Commons Attribution (CC BY) license (https://creativecommons.org/licenses/by/4.0/).
Share and Cite
Li, J.; Zhang, C.; Mipam, T.D.; Zhou, Q.; Chen, S. Effects of Climatic Change on Phylogeography and Ecological Niche of the Endemic Herb Elymus breviaristatus on the Qinghai-Tibet Plateau. Plants 2023, 12, 3326. https://doi.org/10.3390/plants12183326
Li J, Zhang C, Mipam TD, Zhou Q, Chen S. Effects of Climatic Change on Phylogeography and Ecological Niche of the Endemic Herb Elymus breviaristatus on the Qinghai-Tibet Plateau. Plants. 2023; 12(18):3326. https://doi.org/10.3390/plants12183326
Chicago/Turabian StyleLi, Jin, Changbing Zhang, Tserang Donko Mipam, Qingping Zhou, and Shiyong Chen. 2023. "Effects of Climatic Change on Phylogeography and Ecological Niche of the Endemic Herb Elymus breviaristatus on the Qinghai-Tibet Plateau" Plants 12, no. 18: 3326. https://doi.org/10.3390/plants12183326
APA StyleLi, J., Zhang, C., Mipam, T. D., Zhou, Q., & Chen, S. (2023). Effects of Climatic Change on Phylogeography and Ecological Niche of the Endemic Herb Elymus breviaristatus on the Qinghai-Tibet Plateau. Plants, 12(18), 3326. https://doi.org/10.3390/plants12183326

