Effects of Salt Tolerance Training on Multidimensional Root Distribution and Root-Shoot Characteristics of Summer Maize under Brackish Water Irrigation
Abstract
:1. Introduction
2. Results
2.1. Changes in Leaf Area Index of Summer Maize at Different Growth Stages
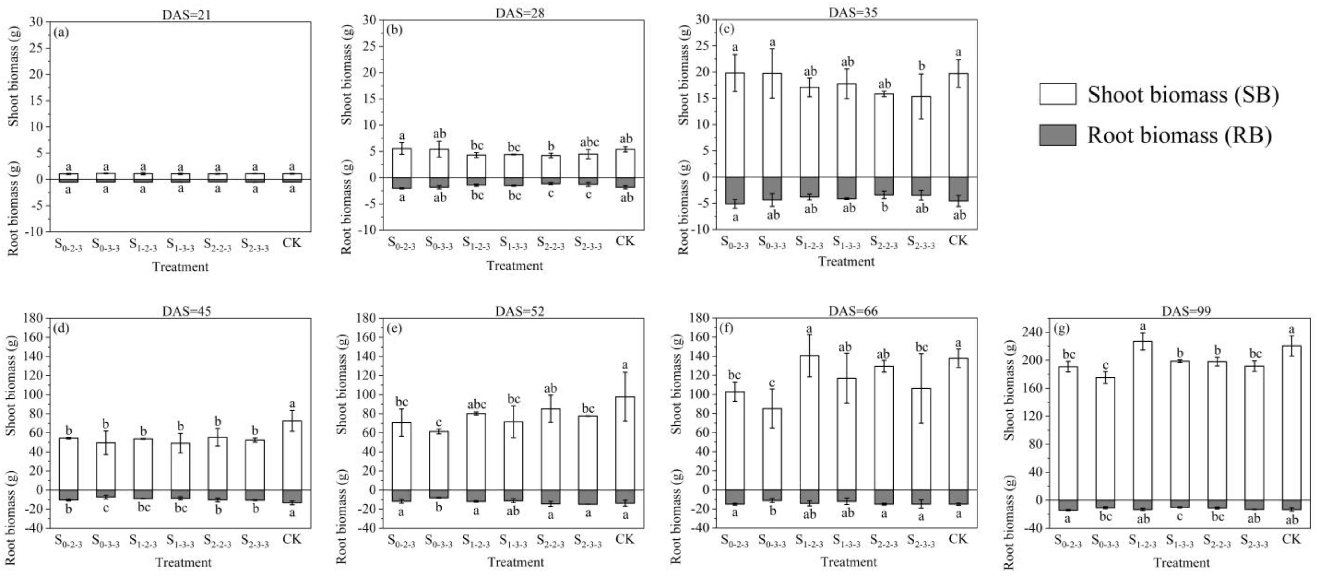
2.2. Biomass Accumulation in Summer Maize at Different Growth Stages
2.2.1. Shoot and Root Biomass
2.2.2. Grain Yield
2.3. Dynamic Changes in Multidimensional Root Distribution of Summer Maize
2.3.1. Vertical Distribution of Fine Roots throughout the Entire Growth Period
2.3.2. Two-Dimensional Distribution of Fine Roots during the Nutritional Growth Stage
2.3.3. Three-Dimensional Distribution of Fine Roots during the Reproductive Growth Stage
3. Discussion
3.1. Effects of Salt Tolerance Training on Biomass Allocation and Yield Formation of Summer Maize under Brackish Water Irrigation
3.2. Effects of Salt Tolerance Training on the Multidimensional Root Distribution of Summer Maize under Brackish Water Irrigation
3.3. The Regulation Strategy of Root and Shoot Growth and Salt Tolerance Enhancement in Summer Maize under Brackish Water Irrigation
4. Materials and Methods
4.1. Experimental Site Description
4.2. Experimental Design
4.3. Data Collection
4.3.1. Soil Data
- (1)
- Soil Moisture Content
- (2)
- Soil Salt Content
4.3.2. Crop Growth Parameters
- (1)
- Leaf Area Index
- (2)
- Biomass Accumulation
- (3)
- Grain Yield
4.3.3. Maize Root System Parameters
4.4. Data Analysis
5. Conclusions
Author Contributions
Funding
Data Availability Statement
Acknowledgments
Conflicts of Interest
References
- Nikolaou, G.; Neocleous, D.; Christou, A.; Kitta, E.; Katsoulas, N. Implementing Sustainable Irrigation in Water-Scarce Regions under the Impact of Climate Change. Agronomy 2020, 10, 1120. [Google Scholar] [CrossRef]
- Wang, Q.J.; Shan, Y.Y. Review of Research Development on Water and Soil Regulation with Brackish Water Irrigation. Trans. Chin. Soc. Agric. Mach. 2015, 46, 117–126. (In Chinese) [Google Scholar]
- Yang, J.S.; Yao, R.J. Management and Efficient Agricultural Utilization of Salt-affected Soil in China. Bull. Chin. Acad. Sci. 2015, 30, 257–265. (In Chinese) [Google Scholar]
- Hu, Y.Q.; Wu, W.Y. Review and Development Strategy of Irrigation with Unconventional Water Resources in China. Strateg. Study CAE 2018, 20, 69–76. (In Chinese) [Google Scholar]
- Mohanavelu, A.; Naganna, S.R.; Al-Ansari, N. Irrigation Induced Salinity and Sodicity Hazards on Soil and Groundwater: An Overview of Its Causes, Impacts and Mitigation Strategies. Agriculture 2021, 11, 983. [Google Scholar] [CrossRef]
- Minhas, P.S.; Dubey, S.K.; Sharma, D.R. Comparative Affects of Blending, Intera/Inter-Seasonal Cyclic Uses of Alkali and Good Quality Waters on Soil Properties and Yields of Paddy and Wheat. Agric. Water Manag. 2007, 87, 83–90. [Google Scholar] [CrossRef]
- Ghermandi, A.; Messalem, R.; Offenbach, R.; Cohen, S. Solar Desalination for Sustainable Brackish Water Management in Arid Land Agriculture. Renew. Agric. Food Syst. 2014, 29, 255–264. [Google Scholar] [CrossRef]
- Barbosa, F.D.; de Lacerda, C.F.; Gheyi, H.R.; Farias, G.C.; Silva, R.J.D.; Lage, Y.A.; Hernandez, F.F.F. Yield and Ion Content in Maize Irrigated with Saline Water in a Continuous or Alternating System. Cienc. Rural 2012, 42, 1731–1737. [Google Scholar] [CrossRef]
- Wu, Z.D.; Wang, Q.J. Field Study on Impacts of Soil Water-Salt Distribution and Winter Wheat Yield by Different Saline Water Combination Irrigations. Trans. Chin. Soc. Agric. Eng. 2007, 23, 71–76. (In Chinese) [Google Scholar]
- Zhai, Y.M.; Cheng, X.H.; Huang, M.Y.; Min, Y.; Qiang, C.; Lyu, W. Effects of Alternate Irrigation with Fresh and Brackish Water on Winter Wheat Growth and Yield. J. Irrig. Drain. 2019, 38, 1–7. (In Chinese) [Google Scholar]
- Yuan, C.F.; Feng, S.Y.; Ji, Q.Y.; Huo, Z.L. SWAP Simulation of Rotational Irrigation Models with Saline and Fresh Water for Seed Maize in Shiyang River Basin. Agric. Res. Arid Areas 2019, 37, 1–9. (In Chinese) [Google Scholar]
- Farooq, M.; Hussain, M.; Wakeel, A.; Siddique, K.H.M. Salt Stress in Maize: Effects, Resistance Mechanisms, and Management. A Review. Agron. Sustain. Dev. 2015, 35, 461–481. [Google Scholar] [CrossRef]
- Munns, R. Comparative Physiology of Salt and Water Stress. Plant Cell Environ. 2002, 25, 239–250. [Google Scholar] [CrossRef]
- Eissa, M.A.; Rekaby, S.A.; Hegab, S.A.; Ragheb, H.M. Effect of Deficit Irrigation on Drip-irrigated Wheat Grown in Semi-arid Conditions of Upper Egypt. J. Plant Nutr. 2018, 41, 1576–1586. [Google Scholar] [CrossRef]
- Zhang, J.X.; Wang, Q.Q.; Xia, G.M.; Wu, Q.; Chi, D.C. Continuous Regulated Deficit Irrigation Enhances Peanut Water Use Efficiency and Drought Resistance. Agric. Water Manag. 2021, 255, 10. [Google Scholar] [CrossRef]
- Steinemann, S.; Zeng, Z.H.; McKay, A.; Heuer, S.; Langridge, P.; Huang, C.Y. Dynamic Root Responses to Drought and Rewatering in Two Wheat (Triticum Aestivum) Genotypes. Plant Soil 2015, 391, 139–152. [Google Scholar] [CrossRef]
- Acosta-Motos, J.R.; Ortuno, M.F.; Bernal-Vicente, A.; Diaz-Vivancos, P.; Sanchez-Blanco, M.J.; Hernandez, J.A. Plant Responses to Salt Stress: Adaptive Mechanisms. Agronomy 2017, 7, 18. [Google Scholar] [CrossRef]
- Maqbool, S.; Hassan, M.A.; Xia, X.C.; York, L.M.; Rasheed, A.; He, Z.H. Root System Architecture in Cereals: Progress, Challenges and Perspective. Plant J. 2022, 110, 23–42. [Google Scholar] [CrossRef]
- Chang, D.C.; Park, C.S.; Kim, S.Y.; Lee, Y.B. Growth and Tuberization of Hydroponically Grown Potatoes. Potato Res. 2012, 55, 69–81. [Google Scholar] [CrossRef]
- McCormack, M.L.; Crisfield, E.; Raczka, B.; Schnekenburger, F.; Eissenstat, D.M.; Smithwick, E.A.H. Sensitivity of Four Ecological Models to Adjustments in Fine Root Turnover Rate. Ecol. Model. 2015, 297, 107–117. [Google Scholar] [CrossRef]
- Abdelraheem, A.; Esmaeili, N.; O’Connell, M.; Zhang, J.F. Progress and Perspective on Drought and Salt Stress Tolerance in Cotton. Ind. Crops Prod. 2019, 130, 118–129. [Google Scholar] [CrossRef]
- Moud, A.M.; Maghsoudi, K. Salt Stress Effects on Respiration and Growth of Germinated Seeds of Different Wheat (Triticum Aestivum L.) Cultivars. World J. Agric. Sci. 2008, 4, 351–358. [Google Scholar]
- Praxedes, S.C.; de Lacerda, C.F.; DaMatta, F.M.; Prisco, J.T.; Gomes, E. Salt Tolerance is Associated with Differences in Ion Accumulation, Biomass Allocation and Photosynthesis in Cowpea Cultivars. J. Agron. Crop Sci. 2010, 196, 193–204. [Google Scholar] [CrossRef]
- Ma, T.; Zeng, W.Z.; Li, Q.; Yang, X.W.; Wu, J.W.; Huang, J.S. Shoot and Root Biomass Allocation of Sunflower Varying with Soil Salinity and Nitrogen Applications. Agron. J. 2017, 109, 2545–2555. [Google Scholar] [CrossRef]
- Wei, R.Y.; Shi, J.H. The Effect of Saline-water on the Growth of Wheat Roots. Xinjiang Agric. Sci. 2003, 40, 48–49. (In Chinese) [Google Scholar]
- Tuteja, N. Mechanisms of High Salinity Tolerance in Plants. In Osmosensing and Osmosignaling, 1st ed.; Haussinger, D., Sies, H., Eds.; Elsevier Academic Press Inc.: San Diego, CA, USA, 2007; pp. 419–438. [Google Scholar]
- Wilson, C.; Liu, X.; Lesch, S.M.; Suarez, D.L. Growth Response of Major US Cowpea Cultivars. I. Biomass Accumulation and Salt Tolerance. Hortscience 2006, 41, 225–230. [Google Scholar] [CrossRef]
- Pompeiano, A.; Landi, M.; Meloni, G.; Vita, F.; Guglielminetti, L.; Guidi, L. Allocation Pattern, Ion Partitioning, and Chlorophyll a Fluorescence in Arundo Donax L. in Responses to Salinity Stress. Plant Biosyst. 2017, 151, 613–622. [Google Scholar] [CrossRef]
- Li, Y.L.; Stanghellini, C. Analysis of the Effect of EC and Potential Transpiration on Vegetative Growth of Tomato. Sci. Hortic. 2001, 89, 9–21. [Google Scholar] [CrossRef]
- Van Zelm, E.; Zhang, Y.X.; Testerink, C. Salt Tolerance Mechanisms of Plants. Annu. Rev. Plant Biol. 2020, 71, 403–433. [Google Scholar] [CrossRef]
- Sudhir, P.; Murthy, S.D.S. Effects of Salt Stress on Basic Processes of Photosynthesis. Photosynthetica 2004, 42, 481–486. [Google Scholar] [CrossRef]
- Aroca, R.; Porcel, R.; Ruiz-Lozano, J.M. Regulation of Root Water Uptake under Abiotic Stress Conditions. J. Exp. Bot. 2012, 63, 43–57. [Google Scholar] [CrossRef] [PubMed]
- Amer, K.H. Corn Crop Response under Managing Different Irrigation and Salinity Levels. Agric. Water Manag. 2010, 97, 1553–1563. [Google Scholar] [CrossRef]
- Zhu, C.L.; Qiang, C.; Huang, M.Y.; Zhai, Y.M.; Lu, W. Effect of Alternate Irrigation with Fresh and Slight Saline Water on Physiological Growth of Summer Maize in Coastal Reclamation Area. Trans. Chin. Soc. Agric. Mach. 2018, 49, 253–261. (In Chinese) [Google Scholar]
- Malash, N.; Flowers, T.J.; Ragab, R. Effect of Irrigation Systems and Water Management Practices Using Saline and Non-saline Water on Tomato Production. Agric. Water Manag. 2005, 78, 25–38. [Google Scholar] [CrossRef]
- Zhu, C.L.; Shu, M.C.; Zhang, Z.Y.; Zhai, Y.M.; Min, Y.; Huang, M.Y. Effect of Alternate Irrigation with Fresh and Brackish Water on Saline Distribution Characteristics of Soil and Growth of Summer Maize. Trans. Chin. Soc. Agric. Mach. 2017, 48, 220. (In Chinese) [Google Scholar]
- Zhao, S.S.; Zhang, Q.K.; Liu, M.Y.; Zhou, H.P.; Ma, C.L.; Wang, P.P. Regulation of Plant Responses to Salt Stress. Int. J. Mol. Sci. 2021, 22, 4609. [Google Scholar] [CrossRef]
- Rogers, E.D.; Benfey, P.N. Regulation of Plant Root System Architecture: Implications for Crop Advancement. Curr. Opin. Biotechnol. 2015, 32, 93–98. [Google Scholar] [CrossRef]
- Galvan-Ampudia, C.S.; Testerink, C. Salt Stress Signals Shape the Plant Root. Curr. Opin. Plant Biol. 2011, 14, 296–302. [Google Scholar] [CrossRef]
- Wu, Y.J.; Du, T.S.; Li, F.S.; Li, S.E.; Ding, R.S.; Tong, L. Quantification of Maize Water Uptake from Different Layers and Root Zones under Alternate Furrow Irrigation Using Stable Oxygen Isotope. Agric. Water Manag. 2016, 168, 35–44. [Google Scholar] [CrossRef]
- Takahashi, H. Hydrotropism and Its Interaction with Gravitropism in Roots. Plant Soil 1994, 165, 301–308. [Google Scholar] [CrossRef]
- Porterfield, D.M.; Musgrave, M.E. The Tropic Response of Plant Roots to Oxygen: Oxytropism in Pisum Sativum L. Planta 1998, 206, 1–6. [Google Scholar] [CrossRef] [PubMed]
- Lynch, J.P. Rightsizing Root Phenotypes for Drought Resistance. J. Exp. Bot. 2018, 69, 3279–3292. [Google Scholar] [CrossRef] [PubMed]
- Suralta, R.R.; Kano-Nakata, M.; Niones, J.M.; Inukai, Y.; Kameoka, E.; Tran, T.T.; Menge, D.; Mitsuya, S.; Yamauchi, A. Root Plasticity for Maintenance of Productivity under Abiotic Stressed Soil Environments in Rice: Progress and Prospects. Field Crops Res. 2018, 220, 57–66. [Google Scholar] [CrossRef]
- Yang, H.; Hu, J.X.; Long, X.H.; Liu, Z.P.; Rengel, Z. Salinity Altered Root Distribution and Increased Diversity of Bacterial Communities in the Rhizosphere Soil of Jerusalem Artichoke. Sci. Rep. 2016, 6, 10. [Google Scholar] [CrossRef] [PubMed]
- Chinnusamy, V.; Jagendorf, A.; Zhu, J.K. Understanding and Improving Salt Tolerance in Plants. Crop Sci. 2005, 45, 437–448. [Google Scholar] [CrossRef]
- Cramer, G.R.; Epstein, E.; Läuchli, A. Kinetics of Root Elongation of Maize in Response to Short-term Exposure to NaCl and Elevated Calcium Concentration. J. Exp. Bot. 1988, 39, 1513–1522. [Google Scholar] [CrossRef]
- Khan, A.A.; Rao, S.A.; McNeilly, T. Assessment of Salinity Tolerance Based upon Seedling Root Growth Response Functions in Maize (Zea mays L.). Euphytica 2003, 131, 81–89. [Google Scholar] [CrossRef]
- Meloni, D.A.; Oliva, M.A.; Ruiz, H.A.; Martinez, C.A. Contribution of Proline and Inorganic Solutes to Osmotic Adjustment in Cotton under Salt Stress. J. Plant Nutr. 2001, 24, 599–612. [Google Scholar] [CrossRef]
- Feng, S.W.; Gu, S.B.; Zhang, H.B.; Wang, D. Root Vertical Distribution. Is Important to Improve Water Use Efficiency and Grain Yield of Wheat. Field Crops Res. 2017, 214, 131–141. [Google Scholar] [CrossRef]
- Ranjan, A.; Sinha, R.; Singla-Pareek, S.L.; Pareek, A.; Singh, A.K. Shaping the Root System Architecture in Plants for Adaptation to Drought Stress. Physiol. Plant. 2022, 174, 16. [Google Scholar] [CrossRef]
- Wang, Y.F. Responses of Maize Seedling under NaCl Stress and the Regulatory Mechanism of Salt Tolerance. Ph.D. Thesis, Shenyang Agricultural University, Shenyang, China, 2008. (In Chinese). [Google Scholar]
- Ismayilov, A.I.; Mamedov, A.I.; Fujimaki, H.; Tsunekawa, A.; Levy, G.J. Soil Salinity Type Effects on the Relationship between the Electrical Conductivity and Salt Content for 1:5 Soil-to-Water Extract. Sustainability 2021, 13, 3395. [Google Scholar] [CrossRef]
- Hachicha, M.; Mansour, M.; Rejeb, S.; Mougou, R.; Abdelgawad, J. Applied Research for the Utilization of Brackish/Saline Water in Center of Tunisia: Water Use, Salinity Evolution and Crop Response. In Proceedings of the Sustainable Strategies for Irrigation in Salt-Prone Mediterranean Region: A System Approach, Cairo, Egypt, 8–10 December 2003. [Google Scholar]
- Lei, L.; Qiu, C.X.; Li, Z.H.; Han, D.; Han, L.; Zhu, Y.H.; Wu, J.T.; Xu, B.; Feng, H.K.; Yang, H.; et al. Effect of Leaf Occlusion on Leaf Area Index Inversion of Maize Using UAV-LiDAR Data. Remote Sens. 2019, 11, 1067. [Google Scholar] [CrossRef]
- Breda, N.J.J. Ground-based Measurements of Leaf Area Index: A Review of Methods, Instruments and Current Controversies. J. Exp. Bot. 2003, 54, 2403–2417. [Google Scholar] [CrossRef]
- Rosolem, C.A.; Pace, L.; Crusciol, C.A.C. Nitrogen Management in Maize Cover Crop Rotations. Plant Soil 2004, 264, 261–271. [Google Scholar] [CrossRef]









| Treatments | Grain Number per Ear | Hundred-Grain Weight (g) | Single Plant Grain Yield (g·Plant−1) | Grain Yield (kg·ha−1) |
|---|---|---|---|---|
| S0-S2-S3 (S0-2-3) | 258.0 ± 35.1 bc | 32.64 ± 0.69 ab | 84.23 ± 11.44 b | 6991.44 ± 949.52 b |
| S0-S3-S3 (S0-3-3) | 247.2 ± 16.3 c | 33.48 ± 2.27 a | 82.75 ± 5.46 b | 6867.99 ± 453.18 b |
| S1-S2-S3 (S1-2-3) | 296.7 ± 30.0 abc | 32.85 ± 1.55 ab | 97.45 ± 9.86 ab | 8088.59 ± 818.38 ab |
| S1-S3-S3 (S1-3-3) | 295.0 ± 56.0 abc | 32.11 ± 1.03 ab | 94.74 ± 17.97 ab | 7863.14 ± 1491.51 ab |
| S2-S2-S3 (S2-2-3) | 301.8 ± 33.6 abc | 30.57 ± 0.36 bc | 92.27 ± 10.26 ab | 7658.35 ± 851.58 ab |
| S2-S3-S3 (S2-3-3) | 315.1 ± 41.9 ab | 29.03 ± 0.53 c | 91.48 ± 12.16 ab | 7592.82 ± 1009.28 ab |
| CK (S0-0-0) | 325.1 ± 51.5 a | 31.89 ± 1.73 ab | 103.66 ± 16.43 a | 8603.51 ± 1363.69 a |
| Depth | Bulk Density | Total Nitrogen | Organic Carbon | Alkali- Hydro Nitrogen | Available Phosphorus | Available Potassium | pH |
|---|---|---|---|---|---|---|---|
| cm | g·cm−3 | g·kg−1 | g·kg−1 | mg·kg−1 | mg·kg−1 | mg·kg−1 | |
| 0~10 | 1.34 | 0.69 | 4.1 | 79.7 | 14.6 | 156 | 7.14 |
| 10~20 | 1.37 | 0.68 | 4.2 | 68.0 | 11.5 | 125 | 7.36 |
| 20~30 | 1.42 | 0.64 | 3.6 | 57.5 | 10.8 | 147 | 7.51 |
| 30~40 | 1.48 | 0.67 | 4.1 | 49.8 | 14.9 | 160 | 7.31 |
| 40~50 | 1.51 | 0.65 | 2.2 | 46.4 | 12.7 | 163 | 7.40 |
| 50~60 | 1.55 | 0.66 | 3.3 | 45.1 | 11.4 | 173 | 7.53 |
| The Salt-Tolerance-Training Modes | Salt Concentration (g·L−1) | |||||||
|---|---|---|---|---|---|---|---|---|
| First Salt-Tolerance-Training (FSTT) | Recovery Stage | Second Salt-Tolerance-Training (SSTT) | Recovery Stage | Severe Stress Test (SST) | ||||
| Initial Stage | Duration | Initial Stage | Duration | Initial Stage | Duration | |||
| Six-Leaf Stage | DAS 1 = 21–28 | Ten-Leaf Stage | DAS = 35–45 | Tasseling Stage | DAS = 52–66 | |||
| S0-S2-S3 (S0-2-3) | 0 | 0 | 4.0 | 0 | 6.0 | |||
| S0-S3-S3 (S0-3-3) | 0 | 0 | 6.0 | 0 | 6.0 | |||
| S1-S2-S3 (S1-2-3) | 2.0 | 0 | 4.0 | 0 | 6.0 | |||
| S1-S3-S3 (S1-3-3) | 2.0 | 0 | 6.0 | 0 | 6.0 | |||
| S2-S2-S3 (S2-2-3) | 4.0 | 0 | 4.0 | 0 | 6.0 | |||
| S2-S3-S3 (S2-3-3) | 4.0 | 0 | 6.0 | 0 | 6.0 | |||
| CK (S0-0-0) | 0 | 0 | 0 | 0 | 0 | |||
Disclaimer/Publisher’s Note: The statements, opinions and data contained in all publications are solely those of the individual author(s) and contributor(s) and not of MDPI and/or the editor(s). MDPI and/or the editor(s) disclaim responsibility for any injury to people or property resulting from any ideas, methods, instructions or products referred to in the content. |
© 2023 by the authors. Licensee MDPI, Basel, Switzerland. This article is an open access article distributed under the terms and conditions of the Creative Commons Attribution (CC BY) license (https://creativecommons.org/licenses/by/4.0/).
Share and Cite
Peng, S.; Ma, T.; Ma, T.; Chen, K.; Dai, Y.; Ding, J.; He, P.; Yu, S. Effects of Salt Tolerance Training on Multidimensional Root Distribution and Root-Shoot Characteristics of Summer Maize under Brackish Water Irrigation. Plants 2023, 12, 3329. https://doi.org/10.3390/plants12183329
Peng S, Ma T, Ma T, Chen K, Dai Y, Ding J, He P, Yu S. Effects of Salt Tolerance Training on Multidimensional Root Distribution and Root-Shoot Characteristics of Summer Maize under Brackish Water Irrigation. Plants. 2023; 12(18):3329. https://doi.org/10.3390/plants12183329
Chicago/Turabian StylePeng, Suhan, Tao Ma, Teng Ma, Kaiwen Chen, Yan Dai, Jihui Ding, Pingru He, and Shuang’en Yu. 2023. "Effects of Salt Tolerance Training on Multidimensional Root Distribution and Root-Shoot Characteristics of Summer Maize under Brackish Water Irrigation" Plants 12, no. 18: 3329. https://doi.org/10.3390/plants12183329
APA StylePeng, S., Ma, T., Ma, T., Chen, K., Dai, Y., Ding, J., He, P., & Yu, S. (2023). Effects of Salt Tolerance Training on Multidimensional Root Distribution and Root-Shoot Characteristics of Summer Maize under Brackish Water Irrigation. Plants, 12(18), 3329. https://doi.org/10.3390/plants12183329

