Structures, Occurrences and Biosynthesis of 11,12,13-Tri-nor-Sesquiterpenes, an Intriguing Class of Bioactive Metabolites
Abstract
1. Introduction
2. Tri-nor-Germacranes and Tri-nor-Elemanes
3. Tri-nor-Eudesmanes: Geosmin and Derivatives
3.1. Tri-nor-Eudesmanes: 11,12,13-Tri-nor-Eudesmanes
3.2. Geosmin Derivatives
4. Tri-nor-Eremophilanes: 11,12,13-Tri-nor-Eremophilanes
5. Tri-nor-Guaianes: 11,12,13-Tri-nor-Guaianes
6. Miscellaneous Tri-nor-Sesquiterpenes
7. Biosynthesis of 11,12,13-Tri-nor-Sesquiterpenes
7.1. Biosynthesis of 11,12,13-Tri-nor-Germacranes and Tri-nor-Elemanes
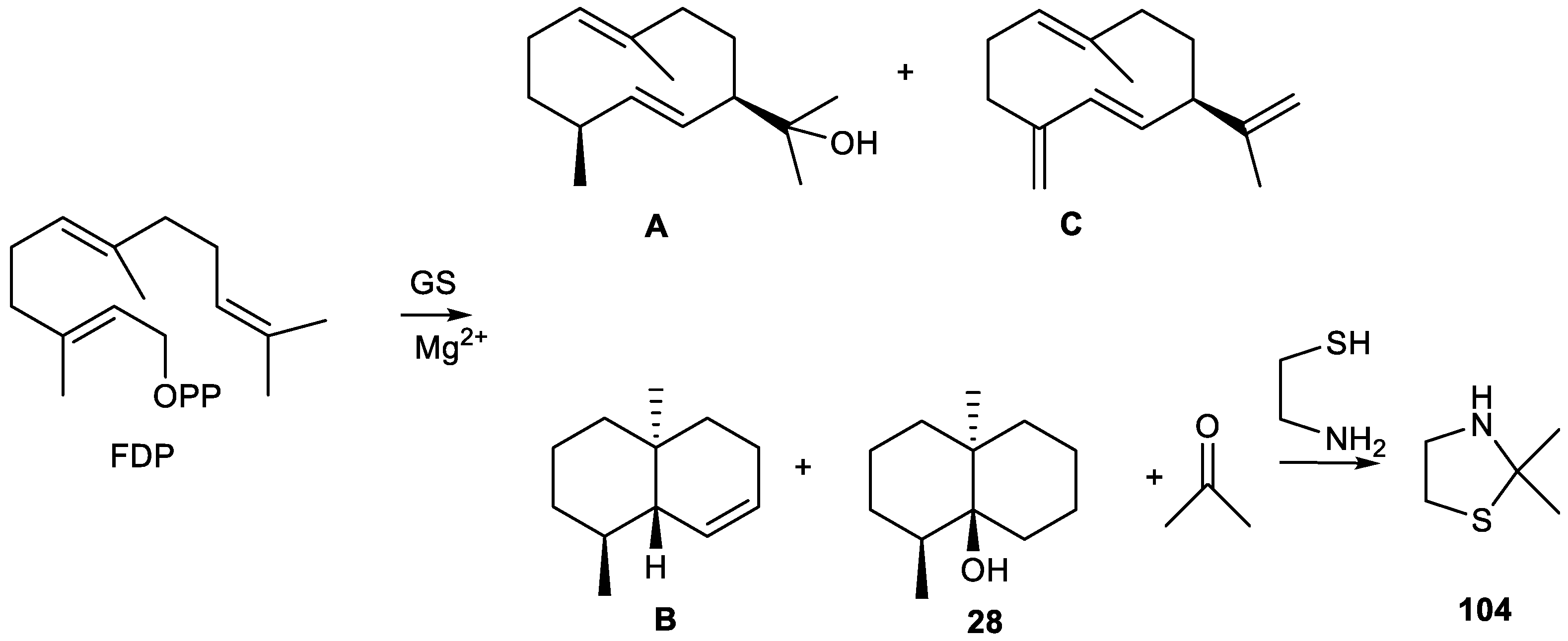
7.2. Biosynthesis of 11,12,13-Tri-nor-Eudesmanes
7.3. Biosynthesis of 11,12,13-Tri-nor-Eremophilanes
7.4. Biosynthesis of 11,12,13-Tri-nor-Guaianes
8. Conclusions
Author Contributions
Funding
Institutional Review Board Statement
Informed Consent Statement
Data Availability Statement
Acknowledgments
Conflicts of Interest
References
- Glasby, J.S. Encyclopedia of the Terpenoids; John Wiley and Sons, Inc.: Chichester, UK, 1982; ISBN 9780471279860. [Google Scholar]
- Cane, D.E. Enzymatic formation of sesquiterpenes. Chem. Rev. 1990, 90, 1089–1103. [Google Scholar] [CrossRef]
- Hanson, J.R. Natural Products: The Secondary Metabolites; The Royal Society of Chemistry: Cambridge, UK, 2003. [Google Scholar]
- Fraga, B.M. Sesquiterpenes. In Terpenoids; Charlwood, B.V., Banthorpe, D.V., Eds.; Volume 7 of Modern Methods in Plant Biochemistry (Harborne, J.B., Dey, P.M., Eds.); Academic Press: London, UK, 1991; pp. 145–185. [Google Scholar]
- Seigler, D. Plant Secondary Metabolism; Kluwer Academic Publishers: Dordrecht, The Netherlands, 1998. [Google Scholar]
- Yu, H.; Ning, X.; Chen, Q.; Xiong, S.; Gong, Q. Analysis of volatile oil in processed Fructus aurantii from Jiangxi province by GC-MS. Zhongchengyao 2015, 37, 592–598. [Google Scholar]
- Wharton, P.; Poon, Y.; Kluender, H. Conformational isomerism in dihydropregeijerene and hedycaryol. J. Org. Chem. 1973, 38, 735–740. [Google Scholar] [CrossRef]
- Jones, R.; Sutherland, M. Terpenoid chemistry. XV. 1,5-Dimethylcyclodeca-1,5,7-triene, the precursor of geijerene in Geijera parviflora. Aust. J. Chem. 1968, 21, 2255–2264. [Google Scholar] [CrossRef]
- Kubeczka, K. Essential oils of Rutaceae. 4. Pregeijeren, main component of the root essential oil Ruta graveolens. Phytochemistry 1974, 13, 2017–2018. [Google Scholar] [CrossRef]
- Nagel, M.; Reinhard, E. Volatile oil from tissue cultures of Ruta graveolens L. I. Composition. Planta Med. 1975, 27, 151–158. [Google Scholar] [CrossRef]
- Nagel, M.; Reinhard, E. Volatile oil of tissue cultures of Ruta graveolens. II. Physiology of production of the volatile oil. Planta Med. 1975, 27, 264–271. [Google Scholar] [CrossRef]
- Reinhard, E.; Nagel, M. The composition of the volatile oil of Ruta callus tissue in relation to culture conditions and differentiation. Nov. Acta Leopold. 1976, 7, 335–343. [Google Scholar] [CrossRef]
- Tattje, D.; Bos, R. The essential oil of Ruta graveolens L. IV. The components of the root oil. Pharm. Weekbl. 1978, 113, 1169–1174. [Google Scholar]
- Drawert, F.; Berger, R.; Godelmann, R. Characterization of volatile constituents from heterotrophic cell suspension cultures of Ruta graveolens. Z. Nat. C 1984, 39C, 525–530. [Google Scholar] [CrossRef]
- Jordan, M.; Rolfs, C.H.; Barz, W.; Berger, R.G.; Kollmannsberger, H.; Drawert, F. Characterization of volatile constituents from heterotrophic cell suspension cultures of Ruta graveolens. Z. Nat. C 1986, 41, 809–812. [Google Scholar] [CrossRef][Green Version]
- Aboutabl, E.A.; Elazzouny, A.A.; Hammerschmidt, F. The essential oil of Ruta graveolens L. growing in Egypt. Sci. Pharm. 1988, 56, 121–124. [Google Scholar]
- Yaacob, K.B.; Abdullah, C.M.; Joulain, D. Essential oil of Ruta graveolens L. J. Essent. Oil Res. 1989, 1, 203–207. [Google Scholar] [CrossRef]
- Pino, J.A.; Rosado, A.; Fuentes, V. Leaf oil of Ruta graveolens L. grown in Cuba. J. Essent. Oil Res. 1997, 9, 365–366. [Google Scholar] [CrossRef]
- Stashenko, E.E.; Acosta, R.; Martínez, J.R. High-resolution gas-chromatographic analysis of the secondary metabolites obtained by subcritical-fluid extraction from Colombian rue (Ruta graveolens L.). J. Biochem. Biophys. Methods 2000, 43, 379–390. [Google Scholar] [CrossRef]
- Naguib, Y.N.; Hussein, M.S.; El-Sherbeny, S.E.; Khalil, M.Y.; Lazari, D. Response of Ruta graveolens L. to sowing dates and foliar micronutrients. J. Appl. Sci. Res. 2007, 3, 1534–1543. [Google Scholar]
- Dob, T.; Dahmane, D.; Gauriat-Desrdy, B.; Daligault, V. Volatile constituents of the essential oil of Ruta chalepensis L. subsp. Angustifolia (Pers.) P. Cout. J. Essent. Oil Res. 2008, 20, 306–309. [Google Scholar] [CrossRef]
- Kuzovkina, I.N.; Szarka, S.; Héthelyi, E.; Lemberkovics, E.; Szöke, E. Composition of essential oil in genetically transformed roots of Ruta graveolens. Russ. J. Plant Physiol. 2009, 56, 846–851. [Google Scholar] [CrossRef]
- Rojas, J.; Mender, T.; Rojas, L.; Gullien, E.; Buitrago, A.; Lucena, M.; Cardenas, N. Comparative study of the chemical composition and antibacterial activity of Ruta graveolens L. essential oil collected in the states of Merida and Miranda, Venezuela. Av. Quím. 2011, 6, 89–93. [Google Scholar]
- Khadhri, A.; Bouali, I.; Belkhir, S.; Mokni, R.E.; Smiti, S.; Almeida, C.; Nogueira, J.M.F.; Araújo, M.E.M. Chemical variability of two essential oils of Tunisian Rue: Ruta montana and Ruta chalepensis. J. Essent. Oil Bear. Plants 2014, 17, 445–451. [Google Scholar] [CrossRef]
- Southwell, I.A. Biogenetically significant sesquiterpenoids from Rubus rosifolius oil. Tetrahedron Lett. 1977, 10, 873–876. [Google Scholar] [CrossRef]
- Southwell, I.A. The constituents of Rubus rosifolius. The structure of rosifoliol, a biogenetically significant sesquiterpenoid. Aust. J. Chem. 1978, 31, 2527–2538. [Google Scholar] [CrossRef]
- Kubeczka, K.; Ullmann, I. Occurrence of 1,5-dimethylcyclodeca-1,5,7-triene (pregeijerene) in Pimpinella species and chemosystematic implications. Biochem. Syst. Ecol. 1980, 8, 39–41. [Google Scholar] [CrossRef]
- Kubeczka, K.; Bohn, I. Pimpinella root and its adulteration. Detection of adulteration by thin-layer and gas chromatography. Structure revision of the principal components of the essential oils. Dtsch. Apoth. Ztg. 1985, 125, 399–402. [Google Scholar]
- Kubeczka, K.; Bohn, I.; Formacek, V. New constituents from the essential oils of Pimpinella species. In Proceedings of the International Symposium on Essential Oils, Holzminden/Neuhaus, Germny, 18–21 September 1985; pp. 279–298. [Google Scholar]
- Kubeczka, K.H.; Bohn, I.; Schultze, W. The compositions of the essential root oils from Pimpinella saxifraga s.l. and chemotaxonomic implications. Z. Nat. C 1989, 44, 177–182. [Google Scholar] [CrossRef]
- Riechling, J.; Martin, R.; Burkhardt, G.; Becker, H. Comparative study on the production and accumulation of essential oil in the whole plant and in tissue cultures of Pimpinella anisum. In Proceedings of the International Symposium on Essential Oils, Holzminden/Neuhaus, Germany, 18–21 September 1985; pp. 421–428. [Google Scholar]
- Burkhardt, G.; Reichling, J.; Martin, R.; Becker, H. Terpene hydrocarbons in Pimpinella anisum L. Pharm. Weekblad. Sci. Ed. 1986, 8, 190–193. [Google Scholar] [CrossRef] [PubMed]
- Schultze, W.; Lange, G.; Kubeczka, K. Mass-spectrometric investigations of medicinal plants. III. Direct mass-spectrometric analysis of Pimpinella anisum L.: Anise powder and anise oil. Dtsch. Apoth. Ztg. 1987, 127, 372–378. [Google Scholar]
- Bohn, I.; Kubeczka, K.-H.; Schultze, W. The essential root oil of Pimpinella major. Planta Med. 1989, 55, 489–490. [Google Scholar] [CrossRef]
- Santos, P.M.; Figueiredo, A.C.; Oliveira, M.M.; Barroso, J.G.; Pedro, L.G.; Deans, S.G.; Younus, A.K.M.; Scheffer, J.J.C. Essential oils from hairy root cultures and from fruits and roots of Pimpinella anisum. Phytochemistry 1998, 48, 455–460. [Google Scholar] [CrossRef]
- Santos, P.M.; Figueiredo, A.C.; Oliveira, M.M.; Barroso, J.G.; Pedro, L.G.; Deans, S.G.; Younus, A.K.M.; Scheffer, J.J.C. Morphological stability of Pimpinella anisum hairy root cultures and time-course study of their essential oils. Biotechnol. Lett. 1999, 21, 859–864. [Google Scholar] [CrossRef]
- Baser, K.H.C.; Özek, T.; Tabanca, N.; Duman, D. Essential oil of Pimpinella anisetum Boiss. Et Bal. J. Essent. Oil Res. 1999, 11, 445–446. [Google Scholar] [CrossRef]
- Velasco-Negueruela, A.; Pérez-Alonzo, M.J.; Pérez de Paz, P.L.; Garcia Vallejo, C.; Palá-Paúl, J.; Iñigo, A. Chemical composition of the essential oils from the roots, fruits leaves and stems of Pimpinella cumbrae link growing in the Canary Islands (Spain). Flavour Fragr. J. 2002, 17, 468–471. [Google Scholar] [CrossRef]
- Velasco-Negueruela, A.; Pérez-Alonso, M.J.; Pérez De Paz, P.L.; Palá-Paúl, J.; Sanz, J. Analysis by gas chromatography-mass spectrometry of the essential oils from the aerial parts of Pimpinella anagodendron Bolle and Pimpinella rupicola Svent., two endemic species to the Canary Islands, Spain. J. Chromatogr. A 2005, 1095, 180–184. [Google Scholar] [CrossRef] [PubMed]
- Reduron, J.P. Notes on the Umbelliferae of France, with special reference to poorly known taxa. S. Afr. J. Bot. 2004, 70, 449–457. [Google Scholar] [CrossRef]
- Tabanca, N.; Demirci, B.; Kirimer, N.; Baser, K.H.C.; Bedir, E.; Khan, I.A.; Wedge, D.E. Gas chromatographic-mass spectrometric analysis of essential oils from Pimpinella aurea, Pimpinella corymbosa, Pimpinella peregrina and Pimpinella puberula gathered from Eastern and Southern Turkey. J. Chromatogr. A 2005, 1097, 192–198. [Google Scholar] [CrossRef]
- Tabanca, N.; Douglas, A.W.; Bedir, E.; Dayan, F.E.; Kirimer, N.; Baser, K.H.C.; Aytac, Z.; Khan, I.A.; Scheffler, B.E. Patterns of essential oil relationships in Pimpinella (Umbelliferae) based on phylogenetic relationships using nuclear and chloroplast sequences. Plant Genet. Resour. 2005, 3, 149–169. [Google Scholar] [CrossRef]
- Tabanca, N.; Demirci, B.; Ozek, T.; Kirimer, N.; Baser, K.H.C.; Bedir, E.; Khan, I.A.; Wedge, D.E. Gas chromatographic-mass spectrometric analysis of essential oils from Pimpinella species gathered from Central and Northern Turkey. J. Chromatogr. A 2006, 1117, 194–205. [Google Scholar] [CrossRef] [PubMed]
- Askari, F.; Sefidkon, F. Essential oil composition of Pimpinella tragioides (Boiss.) Benth. et Hook. from Iran. J. Essent. Oil Res. 2007, 19, 54–56. [Google Scholar] [CrossRef]
- Mirza, M.; Navaei, M.N.; Khoram, M.T. Chemical composition of the essential oils of Pimpinella deverroides Boiss (Boiss.) from Iran. J. Essent. Oil-Bear. Plants 2007, 10, 386–390. [Google Scholar] [CrossRef]
- Zhao, C.; Chen, H.; Cheng, L.; Zhou, X.; Yang, Z.; Zhang, Y. Analysis of volatile oil in herb of pimpinella candolleana by SPME-GC-MS. Zhongguo Zhongyao Zazhi 2007, 32, 1759–1762. [Google Scholar]
- Askari, F.; Sefidkon, F.; Teimouri, M. Essential oil composition of the different parts of Pimpinella barbata (DC.) Boiss. in Iran. J. Essent. Oil Res. 2010, 22, 605–608. [Google Scholar] [CrossRef]
- Askari, F.; Sefidkon, F.; Teimouri, M. Chemical composition and antimicrobial activity of Pimpinella khorasanica L. Engstrand oil in Iran. J. Essent. Oil Bear. Plants 2013, 16, 265–269. [Google Scholar] [CrossRef]
- Askari, F.; Sefidkon, F.; Teimouri, M. Chemical composition and antimicrobial activity of the essential oils from Pimpinella khayamii Mozaff. Ed in Iran. J. Essent. Oil Bear. Plants 2017, 20, 1614–1619. [Google Scholar] [CrossRef]
- Noorizadeh, H.; Farmany, A.; Noorizadeh, M. Application of GA-PLS and GA-KPLS calculations for the prediction of the retention indices of essential oils. Quim. Nova 2011, 34, 1398–1404. [Google Scholar] [CrossRef][Green Version]
- Xu, X.; Lin, G.; Lin, C. The chemical components of essential oil from Zhejiang Pimpinella diversifolia. Zhongguo Yaoye 2012, 21, 3–4. [Google Scholar]
- Maggio, A.; Bruno, M.; Spadaro, V.; Scialaba, A.; Senatore, F.; Oliviero, F. Chemical composition, antimicrobial and antioxidant activity of the essential oils from Pimpinella tragium Vill. subsp. glauca (C. Presl.) C. Brullo & Brullo (Apiaceae) growing wild in Sicily. Nat. Prod. Res. 2013, 27, 2338–2346. [Google Scholar]
- Aydin, E.; Hritcu, L.; Dogan, G.; Hayta, S.; Bagci, E. The effects of inhaled Pimpinella peregrina essential oil on scopolamine-induced memory impairment, anxiety, and depression in laboratory rats. Mol. Neurobiol. 2016, 53, 6557–6567. [Google Scholar] [CrossRef]
- Mathela, C.; Melkani, A.; Pant, A. Reinvestigation of Skimmia laureola essential oil. Indian Perfum 1992, 36, 217–222. [Google Scholar]
- Shah, W.; Qurishi, M.; Thappa, R.; Dhar, K. Seasonal variation in the essential oil composition of Skimmia laureola. Indian Perfum 2003, 47, 265–268. [Google Scholar]
- Shah, W.A.; Dar, M.Y.; Ai, K.; Rather, M.A.; Qurishi, M.A. Comparison of terpene composition of Skimmia laureola using hydrodistillation and HS-SPME techniques. J. Essent. Oil Bear. Plants 2012, 15, 116–121. [Google Scholar] [CrossRef]
- Gondwal, M.; Prakash, O.; Vivekanand; Pant, A.K.; Padalia, R.C.; Mathela, C.S. Essential oil composition and antioxidant activity of leaves and flowers of Skimmia anquetilia N.P. Taylor & Airy Shaw. J. Essent. Oil Res. 2012, 24, 83–90. [Google Scholar] [CrossRef]
- Wani, T.A.; Kumar, N.; Khan, J.; Shah, S.N.; Chandra, S. In-vitro cytotoxic activity of Skimmia anquetilia Taylor & Airy Shaw essential oils on various human cancer cell lines. Int. J. Res. Pharm. Chem. 2016, 6, 89–94. [Google Scholar]
- Chauhan, R.S.; Nautiyal, M.C.; Dhyani, A.; Bahuguna, Y.M.; Rawat, S.; Tava, A.; Cecotti, R. Variability in volatile composition of Skimmia anquetilia N.P. Taylor & Airyshaw. J. Essent. Oil Bear. Plants 2017, 20, 1167–1171. [Google Scholar] [CrossRef]
- Kumar, V.; Chawla, R.; Goyal, S.; Bhat, Z. Anxiolytic effects and chemical profile of leaf oil of Skimmia anquetilia. Int. J. Pharm. Biol. Sci. 2020, 10, 133–138. [Google Scholar] [CrossRef]
- Kiran, S.; Pushpalatha, K. Repellency of essential oil and sesquiterpenes from leaves of Chloroxylon swietenia DC. against mosquito bites. Vedic Res. Int. Phytomed. 2013, 1, 103–108. [Google Scholar] [CrossRef]
- Ozaki, M.; Nakanishi, H. 1,7-Dimethyl-1(E),3(Z),7(E)-Cyclodecatriene and Perfume Compositions Containing Cyclodecatrienes. Japanese Patent JP10259146 A, 29 September 1998. [Google Scholar]
- Li, L.; Ma, X.W.; Zhan, R.L.; Wu, H.X.; Yao, Q.S.; Xu, W.T.; Luo, C.; Zhou, Y.G.; Liang, Q.Z.; Wang, S.B. Profiling of volatile fragrant components in a mini-core collection of mango germplasms from seven countries. PLoS ONE 2017, 12, e0187487. [Google Scholar] [CrossRef]
- Spiteller, D.; Jux, A.; Piel, J.; Boland, W. Feeding of [5,5-2H2]-1-desoxy-D-xylulose and [4,4,6,6,6-2H5]-mevalolactone to a geosmin-producing Streptomyces sp. and Fossombronia pusilla. Phytochemistry 2002, 61, 827–834. [Google Scholar] [CrossRef]
- Cool, L.G.; Adams, R.P. A pregeijerene isomer from Juniperus erectopatens foliage. Phytochemistry 2003, 63, 105–108. [Google Scholar] [CrossRef]
- Adams, R.P. The co-occurrence and systematic significance of pregeijerene B and 8-alpha-acetoxyelemol in Juniperus. Biochem. Syst. Ecol. 2004, 32, 559–563. [Google Scholar] [CrossRef]
- Adams, R.P.; Nguyen, S.; Liu, J. Geographic variation in the leaf essential oils of geographic variation in the leaf essential oils of Juniperus sabina L. and J. sabina var. arenaria (E. H. Wilson) Farjon. J. Essent. Oil Res. 2006, 18, 497–502. [Google Scholar] [CrossRef]
- Adams, R.P.; Beauchamp, P.S.; Dev, V.; Dutz, S.M. New natural products isolated from one-seeded Juniperus of the Southwestern United States: Isolation and occurrence of 2-ethenyl-3-methyl phenol and its derivatives. J. Essent. Oil Res. 2007, 19, 146–152. [Google Scholar] [CrossRef]
- Achak, N.; Romane, A.; Alifriqui, M.; Adams, R.P. Effect of the leaf drying and geographic sources on the essential oil composition of Juniperus thurifera L. var. Africana Maire from the Tensift—Al Haouz, Marrakech region. J. Essent. Oil Res. 2008, 20, 200–204. [Google Scholar] [CrossRef]
- Achak, N.; Romane, A.; Alifriqui, M.; Adams, R.P. Chemical studies of leaf essential oils of three chemical studies of leaf essential oils of three species of Juniperus from Tensift Al Haouz- Marrakech Region (Morocco). J. Essent. Oil Res. 2009, 21, 337–341. [Google Scholar] [CrossRef]
- Wedge, D.; Tabanca, N.; Sampson, B.; Werle, C.; Demirci, B.; Baser, K.; Nan, P.; Duan, J.; Liu, Z. Antifungal and insecticidal activity of two Juniperus essential oils. Nat. Prod. Commun. 2009, 4, 123–127. [Google Scholar] [CrossRef] [PubMed]
- Zheljazkov, V.D.; Astatkie, T.; Jeliazkova, E.A.; Heidel, B.; Ciampa, L. Essential oil content, composition and bioactivity of Juniper species in Wyoming, United States. Nat. Prod. Commun. 2017, 12, 201–204. [Google Scholar] [CrossRef] [PubMed]
- Sarikurkcu, C.; Ceylan, O.; Targan, S.; Ćavar Zeljković, S. Chemical composition and biological activities of the essential oils of two endemic Nepeta species. Ind. Crops Prod. 2018, 125, 5–8. [Google Scholar] [CrossRef]
- Gómez-Calvario, V.; Ramírez-Cisneros, M.Á.; Acevedo-Quiroz, M.; Rios, M.Y. Chemical composition of Helietta parvifolia and its in vitro anticholinesterase activity. Nat. Prod. Res. 2019, 33, 889–892. [Google Scholar] [CrossRef]
- Cavar, S.; Maksimović, M.; Vidic, D.; Šolić, M.E. Chemical composition of the essential oil of Stachys menthifolia Vis. Pharm. Biol. 2010, 48, 170–176. [Google Scholar] [CrossRef] [PubMed]
- Cavar, S.; Maksimović, M.; Vidic, D.; Parić, A. Chemical composition and antioxidant and antimicrobial activity of essential oil of Artemisia annua L. from Bosnia. Ind. Crops Prod. 2012, 37, 479–485. [Google Scholar] [CrossRef]
- Akhlaghi, H.; Kakhky, A.M.K.; Fazel-Hashemi, S. Chemical composition of the essential oil from leaves of Calycanthus floridus L. var. oblogifolius (Nutt.) D.E. Boufford & S.A. Spongberg from Iran. J. Essent. Oil Bear. Plants 2010, 13, 322–325. [Google Scholar] [CrossRef]
- Anil, J.; Oswin, J.; Varughese, G.; Nediyaparambu, S.P.; Mathur, G.S. Volatile constituents and antibacterial activity of leaf oil of Thottea ponmudiana Sivar. J. Essent. Oil Res. 2008, 20, 460–463. [Google Scholar] [CrossRef]
- Zheljazkov, V.D.; Astatkie, T.; Jeliazkova, E.A.; Tatman, A.O.; Schlegel, V. Distillation time alters essential oil yield, composition and antioxidant activity of male Juniperus scopulorum trees. J. Oleo Sci. 2012, 61, 537–546. [Google Scholar] [CrossRef] [PubMed]
- Zheljazkov, V.D.; Astatkie, T.; Jeliazkova, E.A.; Tatman, A.O.; Schlegel, V. Distillation time alters essential oil yield, composition and antioxidant activity of female Juniperus scopulorum trees. J. Essent. Oil Res. 2013, 25, 62–69. [Google Scholar] [CrossRef]
- Semerdjieva, I.B.; Shiwakoti, S.; Cantrell, C.L.; Zheljazkov, V.D.; Astatkie, T.; Schlegel, V.; Radoukova, T. Hydrodistillation extraction kinetics regression models for essential oil yield and composition in Juniperus virginiana, J. excelsa, and J. sabina. Molecules 2019, 24, 986. [Google Scholar] [CrossRef] [PubMed]
- Shakeri, A.; Khakdan, F.; Soheili, V.; Sahebkar, A.; Rassam, G.; Asili, J. Chemical composition, antibacterial activity, and cytotoxicity of essential oil from Nepeta ucrainica L. spp. kopetdaghensis. Ind. Crop. Prod. 2014, 58, 315–321. [Google Scholar] [CrossRef]
- Spirtos, N. Pharmaceutical Compositions Including Tetrahydrocannabinol and Cannabidiol for Treatment of Chronic Pain and Opioid Addiction. U.S. Patent WO2019165387 A1, 29 August 2019. [Google Scholar]
- Hao, X.; Zhou, Q.; Gu, C.; Song, W.; Fan, R. GC-MS Analysis on liposoluble constituents in Paphia undulata Shell. Anhui Nongye Kexue 2008, 36, 3079–3080. [Google Scholar]
- Penfold, A.; Simonsen, J. Essential oils of three species of Geijera and the occurrence of a new hydrocarbon. II. J. Proc. R Soc. New South Wales 1933, 66, 332–338. [Google Scholar]
- Owen, W.; Sutherland, M. An improved boric ester method for the isolation of alcohols. J. Sci. Food Agric. 1956, 7, 88–92. [Google Scholar] [CrossRef]
- Sutherland, M. Structure of the terpenoid geijerene. Chem. Ind. 1959, 39, 1220–1221. [Google Scholar]
- Birch, A.; Grimshaw, J.; Penfold, A.R.; Sheppard, N.; Speake, R.N. An independent confirmation of the structure of geijerene by physical methods. J. Chem. Soc. 1961, 2286–2291. [Google Scholar] [CrossRef]
- Sutherland, M. Terpenoid chemistry. VII. The structure of geijerene. Aust. J. Chem. 1964, 17, 75–91. [Google Scholar] [CrossRef]
- Gough, J.; Sutherland, M.D. Terpenoid chemistry. VIII. Structure of δ-elemene. Aust. J. Chem. 1964, 17, 1270–1281. [Google Scholar] [CrossRef]
- Parihar, R.; Shah, G.; Mathela, C.; Pant, A. Constituents of Boenninghausenia albiflora root. Fitoterapia 1991, 62, 277–278. [Google Scholar]
- Kiran, S.R.; Devi, P.S.; Reddy, K.J. Bioactivity of essential oils and sesquiterpenes of Chloroxylon swietenia DC against Helicoverpa armigera. Curr. Sci. 2007, 93, 544–548. [Google Scholar]
- Kiran, S.R.; Devi, P.S.; Reddy, K.J. Evaluation of in vitro antimicrobial activity of leaf and stem essential oils of Chloroxylon swietenia DC. World J. Microbiol. Biotechnol. 2008, 24, 1909–1914. [Google Scholar] [CrossRef]
- Owolabi, M.S.; Omikorede, O.E.; Yusuf, K.A.; Paudel, P.; Setzer, W.N. The leaf essential oil of Momordica charantia from Nigeria is dominated by geijerene and pregeijerene. J. Essent. Oil Bear. Plants 2013, 16, 377–381. [Google Scholar] [CrossRef]
- Sharma, K.; Saikia, A.K.; Sharma, H.; Sahariah, B.J.; Deka, S.; Das, B. Chemical composition and antimicrobial study of essential oil from the leaves of Eupatorium odoratum Linn. from upper Assam region. J. Essent. Oil Bear. Plants 2013, 16, 482–488. [Google Scholar] [CrossRef]
- Sadgrove, N.J.; Gonçalves-Martins, M.; Jones, G.L. Chemogeography and antimicrobial activity of essential oils from Geijera parviflora and Geijera salicifolia (Rutaceae): Two traditional Australian medicinal plants. Phytochemistry 2014, 104, 60–71. [Google Scholar] [CrossRef] [PubMed]
- Senthilkumar, A.; Thangamani, A.; Karthishwaran, K.; Cheruth, A. Essential oil from the seeds of Moringa peregrina: Chemical composition and antioxidant potential. S. Afr. J. Bot. 2020, 129, 100–105. [Google Scholar] [CrossRef]
- Taran, M.; Karimi, N.; Abdi, J.; Sohailikhah, Z.; Asadi, N. Larvicidal effects of essential oil and methanolic extract of Hymenocarter longiflorus (Lamiaceae) against Echinococcus granulosus. J. Essent. Oil Bear. Plants 2013, 16, 85–91. [Google Scholar] [CrossRef]
- Viljoen, A.M.; Moolla, A.; Van Vuuren, S.F.; Van Zyl, R.L.; Hüsnü, K.; Başer, C.; Demirci, B.; Özek, T.; Trinder-Smith, T.H. The biological activity and essential oil composition of 17 Agathosma (Rutaceae) species. J. Essent. Oil Res. 2006, 18, 2–16. [Google Scholar] [CrossRef]
- Ahmadi, F.; Sadeghi, S.; Modarresi, M.; Abiri, R.; Mikaeli, A. Chemical composition, in vitro anti-microbial, antifungal and antioxidant activities of the essential oil and methanolic extract of Hymenocrater longiflorus Benth., of Iran. Food Chem. Toxicol. 2010, 48, 1137–1144. [Google Scholar] [CrossRef]
- Kollmannsberger, H.; Fricke, G.; Paulus, H.; Nitz, S. The flavor composition of umbelliferous fruits. Part 1. Anise (Pimpinella anisum). Adv. Food Sci. 2000, 22, 47–61. [Google Scholar]
- Gbolade, A.A.; Džamic, A.; Ristić, M. Essential oil constituents of Aspilia africana (pers.) C. D. Adams leaf from Nigeria. J. Essent. Oil Res. 2009, 21, 348–350. [Google Scholar] [CrossRef]
- Zhang, J.; Jin, Q.; Li, S.; Wu, J.; Wang, Z.; Hou, J.; Qu, H.; Long, H.; Wu, W.; Guo, D. Orientalol L-P, novel sesquiterpenes from the rhizome of Alisma orientale (Sam.) Juzep and their nephrotoxicity on HK2 cells. New J. Chem. 2018, 42, 13414–13420. [Google Scholar] [CrossRef]
- Marshall, J.A.; Hochstetler, A.R. The synthesis of (±)-geosmin and the other 1,10-dimethyl-9-decalol isomers. J. Org. Chem. 1968, 33, 2593–2595. [Google Scholar] [CrossRef]
- Rieck, A.; Bülow, N.; König, W.A. An epoxy-trinoreudesmane sesquiterpene from the liverwort Lophocolea bidentata. Phytochemistry 1995, 40, 847–851. [Google Scholar] [CrossRef]
- Wu, C.; Lin, S.; Chen, J. (+)-trans-1,4a-Dimethyl-1,2,3,4,4a,5,6,7-octahydronaphthalene, a trinoreudesmene from the Taiwanese liverwort Bazzania fauriana. J. Chem. Res. Synopses 1991, 2, 50–51. [Google Scholar] [CrossRef]
- Zhang, S.D.; Qin, J.J.; Jin, H.Z.; Yin, Y.H.; Li, H.L.; Yang, X.W.; Li, X.; Shan, L.; Zhang, W.D. Sesquiterpenoids from Inula racemosa Hookf. Inhibit nitric oxide production. Planta Med. 2012, 78, 166–171. [Google Scholar] [CrossRef]
- Xu, L.W.; Shi, Y.P. Sesquiterpenoids from Inula racemosa. J. Asian Nat. Prod. Res. 2011, 13, 570–574. [Google Scholar] [CrossRef]
- Zhang, T.; Gong, T.; Chen, R.Y.; Yu, D.Q. Two new tri-nor-eudesmanolides from Inula racemosa. J. Asian Nat. Prod. Res. 2013, 15, 368–372. [Google Scholar] [CrossRef]
- Jiang, H.; Chen, J.; Jin, X.; Yang, J.; Li, Y.; Yao, X.; Wu, Q. Sesquiterpenoids, alantolactone analogues, and seco-guaiene from the roots of Inula helenium. Tetrahedron 2011, 67, 9193–9198. [Google Scholar] [CrossRef]
- Duan, Z. Application of Racemosins A in Preparation of Drugs for Treating Rhinitis. Chinese Patent CN103463007 A, 25 December 2013. [Google Scholar]
- He, Y. Application of Racemosin A in Reparation of Medicine Treating Myocardial Ischemia. Chinese Patent CN103463008 A, 25 December 2013. [Google Scholar]
- He, Y. Application of Racemosin A in Preparation of Drugs for Treating Epidemic Hemorrhagic Fever. Chinese Patent CN103463002 A, 25 December 2013. [Google Scholar]
- Wang, M. Application of Racemosin A in Preparation of Drugs for Treatment or Prevention of Acute Heart Failure. Chinese Patent CN103505456 A, 15 January 2014. [Google Scholar]
- Maurer, B.; Fracheboud, M.; Grieder, A.; Ohloff, G. Sesquiterpenoiden C12-ketone des from Vetiveria zizanioides essential oil. Helv. Chim. Acta 1972, 55, 2371–2382. [Google Scholar] [CrossRef]
- Weyerstahl, P.; Marschall, H.; Splittgerber, U.; Wolf, D.; Surburg, H. Constituents of haitian vetiver oil. Flavour Fragr. J. 2000, 15, 395–412. [Google Scholar] [CrossRef]
- Fuhshuku, K.I.; Sugai, T. Access to enantiomerically pure intermediates for (−)-geosmin synthesis starting from (4aS,5S)-4,4a,5,6,7,8-hexahydro-5-hydroxy-4a-methyl-naphthalen-2(3H)-one. Biosci. Biotechnol. Biochem. 2002, 66, 2267–2272. [Google Scholar] [CrossRef]
- Giorgio, E.; Viglione, R.G.; Rosini, C. Assignment of the absolute configuration of large molecules by ab initio calculation of the rotatory power within a small basis set scheme: The case of some biologically active natural products. Tetrahedron Asymmetry 2004, 15, 1979–1986. [Google Scholar] [CrossRef]
- Nawrath, T.; Dickschat, J.S.; Müller, R.; Jiang, J.; Cane, D.E.; Schulz, S. Identification of (8S,9S,10S)-8,10-dimethyl-1-octalin, a key intermediate in the biosynthesis of geosmin in bacteria. J. Am. Chem. Soc. 2008, 130, 430–431. [Google Scholar] [CrossRef][Green Version]
- Citron, C.A.; Gleitzmann, J.; Laurenzano, G.; Pukall, R.; Dickschat, J.S. Terpenoids are widespread in Actinomycetes: A correlation of secondary metabolism and genome data. ChemBioChem 2012, 13, 202–214. [Google Scholar] [CrossRef]
- Ma, K.; Su, F.; He, Y.; Yuan, J.; Chen, X.; Fu, X.; Qi, G. Method for Synthesis of Geosmin with 2,6-Dimethylcyclohexanone. Chinese Patent CN102964219 A, 13 March 2013. [Google Scholar]
- Bozzato, G.; Kaiser, R.; Lamparsky, D. Ketone for Fragrance Preparations. German Patent DE2206131 A, 21 September 1972. [Google Scholar]
- Hao, Z.Y.; Liang, D.; Luo, H.; Liu, Y.F.; Ni, G.; Zhang, Q.J.; Li, L.; Si, Y.K.; Sun, H.; Chen, R.Y.; et al. Bioactive sesquiterpenoids from the rhizomes of Acorus calamus. J. Nat. Prod. 2012, 75, 1083–1089. [Google Scholar] [CrossRef]
- Liu, S.-S.; Sheng, W.-L.; Li, Y.; Zhang, S.-S.; Zhu, J.-J.; Gao, H.-M.; Yan, L.-H.; Wang, Z.-M.; Gao, L.; Zhang, M. Chemical constituents from Alismatis rhizoma and their anti-inflammatory activities in vitro and in vivo. Bioorg. Chem. 2019, 92, 103226. [Google Scholar] [CrossRef]
- Elmasri, W.A.; Hegazy, M.E.F.; Mechref, Y.; Paré, P.W. Structure-antioxidant and anti-tumor activity of Teucrium polium phytochemicals. Phytochemistry Lett. 2016, 15, 81–87. [Google Scholar] [CrossRef]
- Xie, B.; Hou, L.; Guo, B.; Huang, W.; Yu, J. Compounds from n-butanol fraction of Alpinia oxyphylla. Yaoxue Xuebao 2014, 49, 1569–1573. [Google Scholar]
- Abou El-KAssem, L.T.; Hawas, U.W.; El-Desouky, S.K.; Al-Farawati, R. Sesquiterpenes from the Saudi Red Sea: Litophyton arboreum with their cytotoxic and antimicrobial activities. Z. Nat. C 2017, 73, 9–14. [Google Scholar] [CrossRef]
- Henchiri, H.; Bodo, B.; Deville, A.; Dubost, L.; Zourgui, L.; Raies, A.; Grellier, P.; Mambu, L. Sesquiterpenoids from Teucrium ramosissimum. Phytochemistry 2009, 70, 1435–1441. [Google Scholar] [CrossRef] [PubMed]
- Yang, J.L.; Dao, T.T.; Hien, T.T.; Zhao, Y.M.; Shi, Y.P. Further sesquiterpenoids from the rhizomes of Homalomena occulta and their anti-inflammatory activity. Bioorg. Med. Chem. Lett. 2019, 29, 1162–1167. [Google Scholar] [CrossRef]
- Fraga, B.; Hernandez, M.; Mestres, T.; Terrero, D.; Arteaga, J. Nor-sesquiterpenes from Teucrium heterophyllum. Phytochemistry 1995, 39, 617–619. [Google Scholar] [CrossRef]
- Park, D.H.; Lee, J.W.; Jin, Q.; Jeon, W.K.; Lee, M.K.; Hwang, B.Y. A new noreudesmane-type sesquiterpenoid from Alpinia oxyphylla. Bull. Korean Chem. Soc. 2014, 35, 1565–1567. [Google Scholar] [CrossRef]
- Fan, W.; Wang, C.-J.; Bao, X.-L.; Yuan, H.-H.; Lan, M.-B. Antioxidant and cytotoxic activities of isolated compounds from ethyl acetate fraction of Alpinia oxyphylla fruits. Asian J. Chem. 2015, 27, 532–536. [Google Scholar] [CrossRef]
- Hou, L.; Ding, G.; Guo, B.; Huang, W.; Zhang, X.; Sun, Z.; Shi, X. New sesquiterpenoids and a diterpenoid from Alpinia oxyphylla. Molecules 2015, 20, 1551–1559. [Google Scholar] [CrossRef]
- Sun, Z.; Kong, X.; Zuo, L.; Kang, J.; Hou, L.; Zhang, X. Rapid extraction and determination of 25 bioactive constituents in Alpinia oxyphylla using microwave extraction with ultra high performance liquid chromatography with tandem mass spectrometry. J. Sep. Sci. 2016, 39, 603–610. [Google Scholar] [CrossRef]
- Wang, G.C.; Li, G.Q.; Geng, H.W.; Li, T.; Xu, J.J.; Ma, F.; Wu, X.; Ye, W.C.; Li, Y.L. Eudesmane-type sesquiterpene derivatives from Laggera alata. Phytochemistry 2013, 96, 201–207. [Google Scholar] [CrossRef] [PubMed]
- Muraoka, O.; Fujimoto, M.; Tanabe, G.; Kubo, M.; Minematsu, T.; Matsuda, H.; Morikawa, T.; Toguchida, I.; Yoshikawa, M. Absolute stereostructures of novel norcadinane- and trinoreudesmane-type sesquiterpenes with nitric oxide production inhibitory activity from Alpinia oxyphylla. Bioorg. Med. Chem. Lett. 2001, 11, 2217–2220. [Google Scholar] [CrossRef]
- Morikawa, T.; Matsuda, H.; Toguchida, I.; Ueda, K.; Yoshikawa, M. Absolute stereostructures of three new sesquiterpenes from the fruit of Alpinia oxyphylla with inhibitory effects on nitric oxide production and degranulation in RBL-2H3 cells. J. Nat. Prod. 2002, 65, 1468–1474. [Google Scholar] [CrossRef] [PubMed]
- Xu, J.; Ji, C.; Zhang, Y.; Su, J.; Li, Y.; Tan, N. Inhibitory activity of eudesmane sesquiterpenes from Alpinia oxyphylla on production of nitric oxide. Bioorg. Med. Chem. Lett. 2012, 22, 1660–1663. [Google Scholar] [CrossRef] [PubMed]
- Jiang, B.; Wang, W.J.; Li, M.P.; Huang, X.J.; Huang, F.; Gao, H.; Sun, P.H.; He, M.F.; Jiang, Z.J.; Zhang, X.Q.; et al. New eudesmane sesquiterpenes from Alpinia oxyphylla and determination of their inhibitory effects on microglia. Bioorg. Med. Chem. Lett. 2013, 23, 3879–3883. [Google Scholar] [CrossRef] [PubMed]
- Liu, N.; Zhang, L.; Wang, S.; Wang, X.N.; Wang, S.Q.; Lou, H.X. Eudesmane-type sesquiterpenes from the liverwort Apomarsupella revolute. Phytochem. Lett. 2012, 5, 346–350. [Google Scholar] [CrossRef]
- Saritas, Y.; Sonwa, M.M.; Iznaguen, H.; König, W.A.; Muhle, H.; Mues, R. Volatile constituents in mosses (Musci). Phytochemistry 2001, 57, 443–457. [Google Scholar] [CrossRef]
- Zhao, F.; Sun, C.; Ma, L.; Wang, Y.N.; Wang, Y.F.; Sun, J.F.; Hou, G.G.; Cong, W.; Li, H.J.; Zhang, X.H.; et al. New sesquiterpenes from the rhizomes of Homalomena occulta. Fitoterapia 2016, 109, 113–118. [Google Scholar] [CrossRef]
- Luo, S.; Deng, Y.; Li, X.; Deng, J. Chemical constituents from Rhizoma cyperi. Harbin Shangye Daxue Xuebao Ziran Kexueban 2014, 30, 142–144. [Google Scholar]
- Huang, S.; Li, L.; Jiang, S.; Chen, X.; Zhu, H. A rarely reported trinorsesquiterpene-type structure in an isolate from Pulicaria insignis. Helv. Chim. Acta 2010, 93, 1808–1811. [Google Scholar] [CrossRef]
- Ma, Y.Y.; Zhao, D.G.; Zhai, Y.; Li, Y.; Gao, K. Trinorsesquiterpenoids from Inula racemosa. Phytochem. Lett. 2013, 6, 645–648. [Google Scholar] [CrossRef]
- Su, C.Y.; Wang, S.Y.; Shie, J.J.; Jeng, K.S.; Temperton, N.J.; Fang, J.M.; Wong, C.H.; Cheng, Y.S.E. In vitro evaluation of neuraminidase inhibitors using the neuraminidase-dependent release assay of hemagglutinin-pseudotyped viruses. Antivir. Res. 2008, 79, 199–205. [Google Scholar] [CrossRef] [PubMed]
- Ayer, W.A.; Browne, L.M.; Fung, S. Metabolites of bird’s nest fungi. Part VI. The synthesis of (±)cybullol and a new synthesis of (±)geosmin. Can. J. Chem. 1976, 54, 3276–3282. [Google Scholar] [CrossRef]
- Nakanishi, K.; Crouch, R.; Miura, I.; Dominguez, X.; Zamudio, A.; Villarreal, R. Structure of a sesquiterpene, cuauhtemone, and its derivative. Application of partially relaxed fourier trans-form carbon-13 Nuclear Magnetic Resonance. J. Am. Chem. Soc. 1974, 96, 609–611. [Google Scholar] [CrossRef]
- Ivie, R.; Watson, W.; Dominguez, X. Cuauhtemone. Acta Crystallogr. Sect. B Struct. Crystallogr. Cryst. Chem. 1974, 30, 2891–2893. [Google Scholar] [CrossRef]
- Ahmad, V.U.; Fizza, K.; Sultana, A. Isolation of two sesquiterpenes from Pluchea arguta. Phytochemistry 1989, 28, 3081–3083. [Google Scholar] [CrossRef]
- Goldsmith, D.J.; Sakano, I. Synthesis of cuauhtemone. J. Org. Chem. 1976, 41, 2095–2098. [Google Scholar] [CrossRef]
- Liu, Y.Y.; Huang, D.L.; Dong, Y.; Qin, D.P.; Yan, Y.M.; Cheng, Y.X. Neuroprotective norsesquiterpenoids and triterpenoids from Populus euphratica resins. Molecules 2019, 24, 4379. [Google Scholar] [CrossRef]
- Gerber, N.N. Volatile substances from actinomycetes: Their role in the odor pollution of water. CRC Crit. Rev. Microbiol. 1979, 15, 191–214. [Google Scholar] [CrossRef]
- Kikuchi, T.; Mimura, T.; Moriwaki, Y. Odorous compounds in water supplies. Detection of geosmin from water of the Southern Basin of Lake Biwa. Yakugaku Zasshi 1972, 1441–1442. [Google Scholar] [CrossRef]
- Korth, W.; Bowmer, K.H.; Ellis, J. Determination of geosmin in water by enantioselective gas chromatography. J. High Resolut. Chromatogr. 1991, 14, 704–707. [Google Scholar] [CrossRef]
- Chen, X.; Luo, Q.; Yuan, S.; Wei, Z.; Song, H.; Wang, D.; Wang, Z. Simultaneous determination of ten taste and odor compounds in drinking water by solid-phase microextraction combined with gas chromatography-mass spectrometry. J. Environ. Sci. 2013, 25, 2313–2323. [Google Scholar] [CrossRef]
- Sun, J.; Wang, R.; Yin, D. Simultaneous determination of nine taste and odor compounds in source water of Chinese cities by headspace solid phase micro-extraction combined with gas chromatography-mass spectrometry. Huanjing Huaxue 2016, 35, 280–286. [Google Scholar] [CrossRef]
- Gerber, N.N. Geosmin, an earthy-smelling substance isolated from actinomycetes. Appl. Microbiol. 1965, 13, 935–938. [Google Scholar] [CrossRef]
- Mattheis, J.; Roberts, R. Identification of geosmin as a volatile metabolite of Penicillium expansum. Appl. Environ. Microbiol. 1992, 58, 3170–3173. [Google Scholar] [CrossRef] [PubMed]
- Lopez Pinar, A.; Rauhut, D.; Ruehl, E.; Buettner, A. Effects of Botrytis cinerea and Erysiphe necator fungi on the aroma character of grape must: A comparative approach. Food Chem. 2016, 207, 251–260. [Google Scholar] [CrossRef]
- Oh, H.S.; Lee, C.S.; Srivastava, A.; Oh, H.M.; Ahn, C.Y. Effects of environmental factors on cyanobacterial production of odorous compounds: Geosmin and 2-methylisoborneol. J. Microbiol. Biotechnol. 2017, 27, 1316–1323. [Google Scholar] [CrossRef] [PubMed]
- Medsker, L.L.; Jenkins, D.; Thomas, J.F. Odorous compounds in natural waters: An earthy-smelling compound associated with blue-green algae and actinomycetes. Environ. Sci. Technol. 1968, 2, 461–464. [Google Scholar] [CrossRef]
- Tabachek, J.-A.L.; Yurkowski, M. Isolation and identification of blue-green algae producing muddy odor metabolites, geosmin, and 2-methylisoborneol, in saline lakes in Manitoba. J. Fish. Res. Board Can. 1976, 33, 25–35. [Google Scholar] [CrossRef]
- Menezes, C.; Valério, E.; Botelho, M.J.; Dias, E. Isolation and characterization of Cylindrospermopsis raciborskii strains from finished drinking water. Toxins 2020, 12, 40. [Google Scholar] [CrossRef] [PubMed]
- Trowitzsch, W.; Witte, L.; Reichenbach, H. Geosmin from earthy smelling cultures of Nannocystis exedens (Myxobacterales). FEMS Microbiol. Lett. 1981, 12, 257–260. [Google Scholar] [CrossRef]
- Maher, L.; Goldman, I.L. Endogenous production of geosmin in table beet. HortScience 2018, 53, 67–72. [Google Scholar] [CrossRef]
- Dickschat, J.S.; Bode, H.B.; Mahmud, T.; Müller, R.; Schulz, S. A novel type of geosmin biosynthesis in Myxobacteria. J. Org. Chem. 2005, 70, 5174–5182. [Google Scholar] [CrossRef] [PubMed]
- Melo, N.; Wolff, G.H.; Costa-da-Silva, A.L.; Arribas, R.; Triana, M.F.; Gugger, M.; Riffell, J.A.; DeGennaro, M.; Stensmyr, M.C. Geosmin attracts Aedes aegypti mosquitoes to oviposition sites. Curr. Biol. 2020, 30, 127–134. [Google Scholar] [CrossRef] [PubMed]
- Zhou, W.; Wang, J.; Zhang, J.; Peng, C.; Li, G.; Li, D. Environmentally relevant concentrations of geosmin affect the development, oxidative stress, apoptosis and endocrine disruption of embryo-larval zebrafish. Sci. Total Environ. 2020, 735, 139373. [Google Scholar] [CrossRef] [PubMed]
- Darriet, P.; Lamy, S.; La Guerche, S.; Pons, M.; Dubourdieu, D.; Blancard, D.; Steliopoulos, P.; Mosandl, A. Stereodifferentiation of geosmin in wine. Eur. Food Res. Technol. 2001, 213, 122–125. [Google Scholar] [CrossRef]
- Marshall, J.A.; Cohen, N. Stereoselective total synthesis of alantolactone. J. Am. Chem. Soc. 1965, 87, 2773–2774. [Google Scholar] [CrossRef]
- Marshall, J.A.; Cohen, N.; Hochstetler, A.R. Synthetic studies leading to dl-telekin and dl-alantolactone. J. Am. Chem. Soc. 1966, 88, 3408–3417. [Google Scholar] [CrossRef]
- Hansson, L.; Carlson, R. Synthesis of (±)-geosmin. Part 2. A one-pot four-step conversion of 1,4a-dimethyl-1α,8aα-epoxyperhydronaphthalen-2-one into (±)-geosmin. Acta Chem. Scand. 1990, 44, 1042–1045. [Google Scholar] [CrossRef]
- Kaiser, R.; Nussbaumer, C. 1,2,3,4,4a,5,8,8a-Octahydro-4β,8aα-dimethylnaphthalen-4aβ-ol (= dehydrogeosmin), a novel compound occurring in the flower scent of various species of Cactaceae. Helv. Chim. Acta 1990, 73, 133–139. [Google Scholar] [CrossRef]
- Pattiram, P.D.; Lasekan, O.; Tan, C.P.; Zaidul, I.S.M. Identification of the aroma-active constituents of the essential oils of water dropwort (Oenanthe javanica) and “Kacip Fatimah” (Labisia pumila). Int. Food Res. J. 2011, 18, 1021–1026. [Google Scholar]
- Gan, X.; Liang, Z.; Wang, D.; Wang, R. Analysis of aroma components in flowers of three kinds of Camellia by HS-SPME/GC-MS. Shipin Kexue 2013, 34, 204–207. [Google Scholar]
- Morteza-Semnani, K.; Saeedi, M.; Akbarzadeh, M. Chemical composition and antimicrobial activity of the essential oil of Verbascum thapsus L. J. Essent. Oil-Bear. Plants 2012, 15, 373–379. [Google Scholar] [CrossRef]
- Feng, Z.; Huber, U.; Boland, W. Biosynthesis of the irregular C12-terpenoid dehydrogeosmin in flower heads of Rebutia marsoneri Werd. (Cactaceae). Helv. Chim. Acta 1993, 76, 2547–2552. [Google Scholar] [CrossRef]
- Jüttner, F.; Höflacher, B.; Wurster, K. Seasonal analysis of volatile organic biogenic substances (vobs) in freshwater phytoplankton populations dominated by Dinobryon, Microcystis and Aphanizomenon. J. Phycol. 1986, 22, 169–175. [Google Scholar] [CrossRef]
- Hayes, K.P.; Burch, M.D. Odorous compounds associated with algal blooms in South Australian waters. Water Res. 1989, 23, 115–121. [Google Scholar] [CrossRef]
- Marshall, J.A.; Hochstetler, A.R. Photosensitized isomerizations of 10-methyl-l(9)-octalins. J. Am. Chem. Soc. 1969, 91, 648–657. [Google Scholar] [CrossRef]
- Nakazaki, M.; Naemura, K. Total synthesis of (−)-artemisin. Bull. Chem. Soc. Jpn. 1969, 42, 3366. [Google Scholar] [CrossRef]
- Tian, Y.; Long, Q.; Luo, X.; Yang, X.; Yang, J. GC-TOF-MS analysis of chemical constituents in oils of Valeriana jatamansi oil. Shizhen Guoyi Guoyao 2012, 23, 924–926. [Google Scholar] [CrossRef]
- Eaton, R.W.; Sandusky, P. Biotransformations of (±)-geosmin by terpene-degrading bacteria. Biodegradation 2010, 21, 71–79. [Google Scholar] [CrossRef]
- Chung, S.-Y.; Vercellotti, J.; Johnsen, P.; PH, K. Development of an enzyme-linked immunosorbent assay for geosmin. J. Agric. Food Chem. 1991, 39, 764–769. [Google Scholar] [CrossRef]
- Ayer, W.A.; Paice, M.G. Metabolites of bird’s nest fungi. Part IV. The isolation and structure determination of cybullol, a metabolite of Cyathus bulleri Brodie. Can. J. Chem. 1976, 54, 910–916. [Google Scholar] [CrossRef]
- Liu, Q.; Han, L.; Qin, B.; Mu, Y.; Guan, P.; Wang, S.; Huang, X. Total synthesis of (±)-(1β,4β,4aβ,8aα)-4,8a-dimethyl-octahydro-naphthalene-1,4a(2H)-diol. Org. Chem. Front. 2018, 5, 1719–1723. [Google Scholar] [CrossRef]
- Ding, N.; Jiang, Y.; Han, L.; Chen, X.; Ma, J.; Qu, X.; Mu, Y.; Liu, J.; Li, L.; Jiang, C.; et al. Bafilomycins and odoriferous sesquiterpenoids from Streptomyces albolongus isolated from Elephas maximus feces. J. Nat. Prod. 2016, 79, 799–805. [Google Scholar] [CrossRef] [PubMed]
- Ding, N.; Han, L.; Jiang, Y.; Li, G.; Liu, J.; Mu, Y.; Huang, X. Sesquiterpenoids from Streptomyces anulatus isolated from Giraffa camelopardalis feces. Magn. Reson. Chem. 2018, 56, 352–359. [Google Scholar] [CrossRef] [PubMed]
- Liu, J.; Zhang, D.; Zhang, M.; Zhao, J.; Chen, R.; Wang, N.; Zhang, D.; Dai, J. Eremophilane sesquiterpenes from an endophytic fungus Periconia species. J. Nat. Prod. 2016, 79, 2229–2235. [Google Scholar] [CrossRef]
- Zdero, C.; Bohlmann, F. Eremophilanolides, eudesmanolides, guaianolides other constituents from Ondetia linearis. Phytochemistry 1989, 28, 1653–1660. [Google Scholar] [CrossRef]
- Saito, Y.; Ichihara, M.; Okamoto, Y.; Gong, X.; Kuroda, C.; Tori, M. Four eremophil-9-en-8-one derivatives from Cremanthodium stenactinium samples collected in China. Molecules 2011, 16, 10645–10652. [Google Scholar] [CrossRef] [PubMed]
- Guo, Z.; Weng, C.W.; Liu, W.X.; Shen, T. A new norsesquiterpenoid from the roots of Ligularia fischeri. J. Chem. Res. 2010, 27, 390–391. [Google Scholar] [CrossRef]
- Xu, J.; Hu, L. Five New eremophilane sesquiterpenes from Ligularia przewalskii. Helv. Chim. Acta 2008, 91, 4–10. [Google Scholar] [CrossRef]
- Chen, J.J.; Chen, C.J.; Yao, X.J.; Jin, X.J.; Gao, K. Eremophilane-type sesquiterpenoids with diverse skeletons from Ligularia sagitta. J. Nat. Prod. 2014, 77, 1329–1335. [Google Scholar] [CrossRef]
- Li, P.L.; Jia, Z.J. A new triterpene and new sesquiterpenes from the roots of Ligularia sagitta. Helv. Chim. Acta 2008, 91, 1717–1727. [Google Scholar] [CrossRef]
- Bohlmann, F.; Kramp, W.; Robinson, H.; Kings, R.M. A Norsesquiterpene from Senecio humillimus. Phytochemistry 1981, 20, 1739–1740. [Google Scholar] [CrossRef]
- Meng, Z.; Liu, B. Total synthesis of five natural eremophilane-type sesquiterpenoids. Org. Biomol. Chem. 2018, 16, 957–962. [Google Scholar] [CrossRef] [PubMed]
- Wang, W.S.; Gao, K.; Jia, Z.J. New sesquiterpenes from Ligulariopsis shichuana. J. Chin. Chem. Soc. 2004, 51, 417–422. [Google Scholar] [CrossRef]
- Liu, Y.; Li, Y.; Qu, J.; Ma, S.; Zang, C.; Zhang, Y.; Yu, S. Eremophilane sesquiterpenes and polyketones produced by an endophytic Guignardia fungus from the toxic plant Gelsemium elegans. J. Nat. Prod. 2015, 78, 2149–2154. [Google Scholar] [CrossRef] [PubMed]
- Li, R.; Wang, Z.M.; Wang, Y.; Dong, X.; Zhang, L.H.; Wang, T.; Zhu, Y.; Gao, X.M.; Wu, H.H.; Xu, Y.T. Antidepressant activities and regulative effects on serotonin transporter of Nardostachys jatamansi DC. J. Ethnopharmacol. 2021, 268, 113601. [Google Scholar] [CrossRef]
- Hwang, J.S.; Lee, S.A.; Hong, S.S.; Han, X.H.; Lee, C.; Lee, D.; Lee, C.K.; Hong, J.T.; Kim, Y.; Lee, M.K.; et al. Inhibitory constituents of Nardostachys chinensis on nitric oxide production in RAW 264.7 macrophages. Bioorg. Med. Chem. Lett. 2012, 22, 706–708. [Google Scholar] [CrossRef]
- Chen, Y.P.; Ying, S.S.; Zheng, H.H.; Liu, Y.T.; Wang, Z.P.; Zhang, H.; Deng, X.; Wu, Y.J.; Gao, X.M.; Li, T.X.; et al. Novel serotonin transporter regulators: Natural aristolane-and nardosinane-types of sesquiterpenoids from Nardostachys chinensis Batal. Sci. Rep. 2017, 7, 15114. [Google Scholar] [CrossRef] [PubMed]
- Hikino, H.; Hikino, Y.; Koakutsu, S.; Takemoto, T. Structure and absolute configuration of Narchinol A. Phytochemistry 1972, 11, 2097–2099. [Google Scholar] [CrossRef]
- Itokawa, H.; Masuyama, K.; Morita, H.; Takeya, K. Cytotoxic sesquiterpenes from Nardostachys chinensis. Chem. Pharm. Bull. 1993, 41, 1183–1184. [Google Scholar] [CrossRef] [PubMed]
- Kim, K.W.; Yoon, C.S.; Kim, Y.C.; Oh, H. Desoxo-narchinol A and Narchinol B isolated from Nardostachys jatamansi exert anti-neuroinflammatory effects by up-regulating of nuclear transcription factor erythroid-2-related factor 2/heme oxygenase-1 signaling. Neurotox. Res. 2019, 35, 230–243. [Google Scholar] [CrossRef] [PubMed]
- Zhang, J.B.; Liu, M.L.; Li, C.; Zhang, Y.; Dai, Y.; Yao, X.S. Nardosinane-type sesquiterpenoids of Nardostachys chinensis Batal. Fitoterapia 2015, 100, 195–200. [Google Scholar] [CrossRef] [PubMed]
- Yoon, C.S.; Kim, D.C.; Park, J.S.; Kim, K.W.; Kim, Y.C.; Oh, H. Isolation of novel sesquiterpeniods and anti-neuroinflammatory metabolites from Nardostachys jatamansi. Molecules 2018, 23, 2367. [Google Scholar] [CrossRef] [PubMed]
- Yoon, C.S.; Kim, K.W.; Lee, S.C.; Kim, Y.C.; Oh, H. Anti-neuroinflammatory effects of sesquiterpenoids isolated from Nardostachys jatamansi. Bioorg. Med. Chem. Lett. 2018, 28, 140–144. [Google Scholar] [CrossRef] [PubMed]
- Guerriero, A.; D’Ambrosio, M.; Pietra, F.; Cuomo, V.; Vanzanella, F. Dendryphiellin A, the first fungal trinor-eremophilane. Isolation from the marine deuteromycete Dendryphiella salina (SUTHERLAND) PUGHet NICOT. Helv. Chim. Acta 1988, 71, 57–61. [Google Scholar] [CrossRef]
- Guerriero, A.; D’Ambrosio, M.; Cuomo, V.; Vanzanella, F.; Pietra, F. Novel trinor-eremophilanes (dendryphiellin B, C, and D), eremophilanes (dendryphiellin E, F, and G), and branched C9-carboxylic acids (dendryphiellic acid A and B) from the marine deuteromycete Dendryphiella salina (SUTHERLAND) PUGH et NICOT. Helv. Chim. Acta 1989, 72, 438–446. [Google Scholar] [CrossRef]
- Guerriero, A.; Cuomo, V.; Vanzanella, F.; Pietra, F. A novel glyceryl ester (glyceryl dendryphiellate A), a trinor-eremophilane (dendryphiellin Al), and eremophilanes) (dendryphiellin El and E2) from the marine deuteromycete Dendryphiella salina (SUTHERLAND) PUGH et NICOT. Helv. Chim. Acta 1990, 73, 2090–2096. [Google Scholar] [CrossRef]
- Li, C.S.; Ding, Y.; Yang, B.J.; Hoffman, N.; Yin, H.Q.; Mahmud, T.; Turkson, J.; Cao, S. Eremophilane sesquiterpenes from Hawaiian endophytic fungus Chaetoconis sp. FT087. Phytochemistry 2016, 126, 41–46. [Google Scholar] [CrossRef]
- Lin, L.B.; Xiao, J.; Gao, Y.Q.; Zhang, Q.; Han, R.; Qi, J.Z.; Han, W.B.; Xu, B.; Gao, J.M. Trinor- and tetranor-eremophilane sesquiterpenoids with anti-neuroinflammatory activity from cultures of the fungus Septoria rudbeckiae. Phytochemistry 2021, 183, 112642. [Google Scholar] [CrossRef]
- Rukachaisirikul, V.; Arunpanichlert, J.; Sukpondma, Y.; Phongpaichit, S.; Sakayaroj, J. Metabolites from the endophytic fungi Botryosphaeria rhodina PSU-M35 and PSU-M114. Tetrahedron 2009, 65, 10590–10595. [Google Scholar] [CrossRef]
- Zhang, L.; Wang, S.Q.; Li, X.J.; Zhang, A.L.; Zhang, Q.; Gao, J.M. New insight into the stereochemistry of botryosphaeridione from a Phoma endophyte. J. Mol. Struct. 2012, 1016, 72–75. [Google Scholar] [CrossRef]
- Nunes, F.; de Oliveira, M.; Ariaga, A.; Lemos, T.; Andrade-Neto, M.; de Mattos, M.; Mafezoli, J.; Viana, F.; Ferreira, V.; Rodrigues-Filho, E.; et al. A new eremophilane-type sesquiterpene from the phytopatogen fungus Lasiodiplodia theobromae (Sphaeropsidaceae). J. Braz. Chem. Soc. 2008, 19, 478–482. [Google Scholar] [CrossRef]
- Wu, G.; Lin, A.; Gu, Q.; Zhu, T.; Li, D. Four new chloro-eremophilane sesquiterpenes from an antarctic deep-sea derived fungus, Penicillium sp. PR19N-1. Mar. Drugs 2013, 11, 1399–1408. [Google Scholar] [CrossRef] [PubMed]
- Kobayashi, M.; Son, B.; Kido, M.; Kyogoku, Y.; Kitagawa, I. Clavukerin A, a new trinor-guaiane sesquiterpene from the Okinawan soft coral Clavularia koellikeri. Chem. Pharm. Bull. 1983, 31, 2160–2163. [Google Scholar] [CrossRef][Green Version]
- Bowden, B.F.; Coll, J.C.; Tapiolas, D.M. Studies of Australian soft corals. XXX A novel trisnorsesquiterpene from a Cespitularia species and the isolation of guaiazulene from a small blue Alcyonium Species. Aust. J. Chem. 1983, 36, 211–214. [Google Scholar] [CrossRef]
- Asaoka, M.; Kosaka, T.; Itahana, H.; Takei, H. Total synthesis of Clavukerin A and its epimer. Chem. Lett. 1991, 20, 1295–1298. [Google Scholar] [CrossRef]
- Kim, S.K.; Pak, C.S. Total Synthesis of (±)-Clavukerin A: A new trinorguaiane sesquiterpene. biomimetic synthesis of (±)-Clavularin A from (±)-Clavukerin A. J. Org. Chem. 1991, 56, 6829–6832. [Google Scholar] [CrossRef]
- Shimizu, I.; Ishikawa, T. Stereoselective synthesis of (±)-clavukerin A and (±)-isoclavukerin A based on palladium-catalyzed reductive cleavage of alkenylcyclopropanes with formic acid. Tetrahedron Lett. 1994, 35, 1905–1908. [Google Scholar] [CrossRef]
- Friese, J.C.; Krause, S.; Schäfer, H.J. Formal total synthesis of the trinorguaiane sesquiterpenes (+/−)-clavukerin A and (+/−)-isoclavukerin. Tetrahedron Lett. 2002, 43, 2683–2685. [Google Scholar] [CrossRef]
- Li, W.; Liu, X.; Zhou, X.; Lee, C.S. Amine-induced Michael/Conia-ene cascade reaction: Application to a formal synthesis of (±)-clavukerin A. Org. Lett. 2010, 12, 548–551. [Google Scholar] [CrossRef] [PubMed]
- Cheong, J.Y.; Rhee, Y.H. A racemic formal total synthesis of clavukerin A using gold(I)-catalyzed cycloisomerization of 3-methoxy-1,6-enynes as the key strategy. Beilstein J. Org. Chem. 2011, 7, 740–743. [Google Scholar] [CrossRef] [PubMed]
- Honda, T.; Ishige, H.; Nagase, H. Chiral synthesis of a trinorguaiane sesquiterpene, clavukerin A. J. Chem. Soc. Perkin Trans. 1994, 1, 3305–3310. [Google Scholar] [CrossRef]
- Lee, E.; Yoon, C.H. 8-Endo cyclization of (alkoxycarbonyl)methyl radicals: Stereoselective synthesis of (−)-clavukerin A and (−)-11-hydroxyguaiene. Tetrahedron Lett. 1996, 37, 5929–5930. [Google Scholar] [CrossRef]
- Alexakis, A.; Sébastian, M. Tandem enantioselective conjugate addition—Cyclopropanation. Application to natural products synthesis. J. Org. Chem. 2002, 67, 8753–8757. [Google Scholar] [CrossRef] [PubMed]
- Grimm, E.; Methot, J.; Shamji, M. Total Synthesis of (−)-clavukerin A. Pure Appl. Chem. 2003, 75, 231–234. [Google Scholar] [CrossRef][Green Version]
- Blay, G.; García, B.; Molina, E.; Pedro, J.R. A bioinspired approach to tri-nor-guaianes. Synthesis of (−)-clavukerin A. J. Nat. Prod. 2006, 69, 1234–1236. [Google Scholar] [CrossRef]
- Srikrishna, A.; Pardeshi, V.H.; Satyanarayana, G. Enantioselective formal total syntheses of clavukerin A and isoclavukerin A via a ring-closing metathesis reaction. Tetrahedron Asymmetry 2010, 21, 746–750. [Google Scholar] [CrossRef]
- Knüppel, S.; Rogachev, V.O.; Metz, P. A concise catalytic route to the marine sesquiterpenoids (−)-clavukerin A and (−)-isoclavukerin A. Eur. J. Org. Chem. 2010, 6145–6148. [Google Scholar] [CrossRef]
- Barthel, A.; Kaden, F.; Jäger, A.; Metz, P. Enantioselective synthesis of guaianolides in the osmitopsin family by domino metathesis. Org. Lett. 2016, 18, 3298–3301. [Google Scholar] [CrossRef]
- Kusumi, T.; Ginda, T.H.; Hara, M.; Ishitsuka, M.; Ginda, H.; Katisawa, H. Structure and absolute configuration of isoclavukerin A, a component from an Okinawan soft coral. Tetrahedron Lett. 1992, 33, 2019–2022. [Google Scholar] [CrossRef]
- Trost, B.M.; Higuchi, R.I. On the diastereoselectivity of intramolecular Pd-catalyzed TMM cycloadditions. An asymmetric synthesis of the perhydroazulene (−)-isoclavukerin A. J. Am. Chem. Soc. 1996, 118, 10094–10105. [Google Scholar] [CrossRef]
- Foley, D.A.; Maguire, A.R. Synthetic approaches to bicyclo[5.3.0]decane sesquiterpenes. Tetrahedron 2010, 6, 1131–1175. [Google Scholar] [CrossRef]
- Adio, A.M.; König, W.A. Sesquiterpenoids and norsesquiterpenoids from three liverworts. Tetrahedron Asymmetry 2007, 18, 1693–1700. [Google Scholar] [CrossRef]
- Takeda, R.; Katoh, K. Growth and sesquiterpenoid production by Calypogeia granulata Inoue cells in suspension culture. Planta 1981, 151, 525–530. [Google Scholar] [CrossRef] [PubMed]
- Kobayashi, M.; Son, B.; Fujiwara, T.; Kyogoku, Y.; Kitagawa, I. Neodolabelline, a methyl migrated dolabellane-type diterpene from the Okinawan soft coral Clavularia koellikeri. Tetrahedron Lett. 1984, 25, 5543–5546. [Google Scholar] [CrossRef]
- Kobayashi, M.; Son, B.; Kyogoku, Y.; Kitagawa, I. Clavukerin C, a new trinor-guaiane sesquiterpene having a hydroperoxy function, from the Okinawan soft coral Clavularia koellikeri. Chem. Pharm. Bull. 1984, 32, 1667–1670. [Google Scholar] [CrossRef][Green Version]
- Izac, R.; Fenical, W.; Wright, J. Inflatene, an ichthyotoxic C12 hydrocarbon from the stoloniferan soft coral Clavularia inflata var. Luzoniana. Tetrahedron Lett. 1984, 25, 1325–1328. [Google Scholar] [CrossRef]
- Kang, H.; Kim, W.J.; Chae, Y.B. Total synthesis of (±)-trinoranastreptene. Tetrahedron Lett. 1988, 29, 5169–5172. [Google Scholar] [CrossRef]
- Tori, M.; Nagai, T.; Asakawa, Y.; Huneck, S.; Ogawa, K. Terpenoids from six lophoziaceae liverworts. Phytochemistry 1993, 34, 181–190. [Google Scholar] [CrossRef]
- Lu, R.; Paul, C.; Basar, S.; König, W.A. Sesquiterpene constituents of the liverwort Lophozia ventricosa. Tetrahedron Asymmetry 2005, 16, 883–887. [Google Scholar] [CrossRef]
- Song, C.; Zhu, T.; Lu, R.; König, W. Essential oil composition of liverwort Lophozia ventricosa. Chin. J. Appl. Environ. Biol. 2007, 13, 458–460. [Google Scholar]
- Graves, B.M.; Johnson, T.J.; Nishida, R.T.; Dias, R.P.; Savareear, B.; Harynuk, J.J.; Kazemimanesh, M.; Olfert, J.S.; Boies, A.M. Comprehensive characterization of mainstream marijuana and tobacco smoke. Sci. Rep. 2020, 10, 7160–7171. [Google Scholar] [CrossRef] [PubMed]
- Takeuchi, N.; Fujita, T.; Goto, K.; Morisaki, N.; Osone, N.; Tobinaga, S. Dictamnol, a new trinor-guaiane type sesquiterpene, from the roots of Dictamnus dasycarpus Turcz. Chem. Pharm. Bull. 1993, 41, 923–925. [Google Scholar] [CrossRef][Green Version]
- Koike, T.; Yamazaki, K.; Fukumoto, M.; Yashiro, K.; Takeuchi, N.; Tobinaga, S. Total synthesis of dictamnol, a trinor-guaiane type sesquiterpene from the roots of Dictamnus dasycarpus Turcz. Chem. Pharm. Bull. 1996, 44, 646–652. [Google Scholar] [CrossRef][Green Version]
- Piet, D.; Orru, R.; Jenniskens, L.; van de Haar, C.; van Beek, T.; Franssen, M.; Wijnberg, J.; de Groot, A. Synthesis of (1α,7α,8β)-(±)-8-methyl-2-methylenebicyclo[5.3.0]dec-5-en-8-ol. Structure revision of natural dictamnol. Chem. Pharm. Bull. 1996, 44, 1400–1403. [Google Scholar] [CrossRef]
- Wender, P.A.; Fuji, M.; Husfeld, C.O.; Love, J.A. Rhodium-catalyzed [5 + 2] cycloadditions of allenes and vinylcyclopropanes: Asymmetric total synthesis of (+)-dictamnol. Org. Lett. 1999, 1, 137–139. [Google Scholar] [CrossRef]
- Özbek, H.; Güvenalp, Z.; Kuruüzüm-Uz, A.; Kazaz, C.; Ömür Demirezer, L. β-Hydroxydihydrochalcone and flavonoid glycosides along with triterpene saponin and sesquiterpene from the herbs of Pimpinella rhodantha Boiss. Nat. Prod. Res. 2016, 30, 750–754. [Google Scholar] [CrossRef] [PubMed]
- Özbek, H.; Güvenalp, Z.; Kuruüzüm-Uz, A.; Kazaz, C.; Demirezer, L. Phenylpropanoids, sesquiterpenoids and flavonoids from Pimpinella tragium Vill. subsp. lithophila (Schischkin) Tutin. Rec. Nat. Prod. 2016, 10, 207–213. [Google Scholar]
- Baser, K.H.C.; Tabanca, N.; Kirimer, N.; Bedir, E.; Khan, I.A.; Wedge, D.E. Recent advances in the chemistry and biological activities of the Pimpinella species of Turkey. Pure Appl. Chem. 2007, 79, 539–556. [Google Scholar] [CrossRef]
- Lei, J.; Yu, J.; Yu, H.; Liao, Z. Composition, cytotoxicity and antimicrobial activity of essential oil from Dictamnus dasycarpus. Food Chem. 2008, 107, 1205–1209. [Google Scholar] [CrossRef]
- Zhao, P.H.; Yang, X.P.; Yuan, C.S. A novel trinorguaiane-type sesquiterpene from Dictamnus radicis. Nat. Prod. Res. 2008, 22, 208–211. [Google Scholar] [CrossRef] [PubMed]
- Sun, J.B.; Qu, W.; Xiong, Y.; Liang, J.Y. Quinoline alkaloids and sesquiterpenes from the roots of Dictamnus angustifolius. Biochem. Syst. Ecol. 2013, 50, 62–64. [Google Scholar] [CrossRef]
- El-Shamy, A.S.I.; El-Beih, A.A.; Nassar, M.I. Composition and antimicrobial activity of essential oil of Kochia scoparia (L.) Schrad. J. Essent. Oil Bear. Plants 2012, 15, 484–488. [Google Scholar] [CrossRef]
- Xiang, Y.; Fan, C.; Yue, J. Novel sesquiterpenoids from Siegesbeckia orientalis. Helv. Chim. Acta 2005, 88, 160–170. [Google Scholar] [CrossRef]
- Yan, Y.; Liu, X.; Zhang, L.; Wang, Y.; Chen, Q.; Chen, Z.; Xu, L.; Liu, T. Chemical constituents from Dictamnus dasycarpus Turcz. Biochem. Syst. Ecol. 2020, 93, 104134. [Google Scholar] [CrossRef]
- Wang, Y.; Ma, G.; Huang, Z.; Zhong, X.; Xu, X.; Yuan, J. Identification of compounds in alien invasive plant Chromolaena odorata. Zhongguo Yaoxue Zazhi 2016, 51, 698–702. [Google Scholar] [CrossRef]
- Li, Z.Y.; Zhang, C.; Chen, L.; Chen, B.D.; Li, Q.Z.; Zhang, X.J.; Li, W.P. Radicol, a novel trinorguaiane-type sesquiterpene, induces temozolomide-resistant glioma cell apoptosis via ER stress and Akt/mTOR pathway blockade. Phytother. Res. 2017, 31, 729–739. [Google Scholar] [CrossRef]
- Özbek, H.; Güvenalp, Z.; Kuruüzüm-Uz, A.; Kazaz, C.; Demirezer, L.Ö. Trinorguaian and germacradiene type sesquiterpenes along with flavonoids from the herbs of Pimpinella cappadocica Boiss. & Bal. Phytochem. Lett. 2015, 11, 74–79. [Google Scholar] [CrossRef]
- Feng, F.; Chen, M.H.; Xing, C.X.; Liu, W.Y.; Xie, N. Two novel sesquiterpenoids from Ainsliaea fragrans Champ. J. Asian Nat. Prod. Res. 2009, 11, 856–860. [Google Scholar] [CrossRef] [PubMed]
- Ding, L.F.; Su, J.; Pan, Z.H.; Zhang, Z.J.; Li, X.N.; Song, L.D.; Wu, X.D.; Zhao, Q.S. Cytotoxic sesquiterpenoids from the leaves of Magnolia grandiflora. Phytochemistry 2018, 155, 182–190. [Google Scholar] [CrossRef] [PubMed]
- Chang, J.; Xuan, L.J.; Xu, Y.M.; Zhang, J.S. Seven new sesquiterpene glycosides from the root bark of Dictamnus dasycarpus. J. Nat. Prod. 2001, 64, 935–938. [Google Scholar] [CrossRef] [PubMed]
- Gao, Y.; Xiao, W.; Liu, H.C.; Wang, J.R.; Yao, L.G.; Ouyang, P.K.; Wang, D.C.; Guo, Y.W. Clavuridins A and B, two new trinor-guaiane sesquiterpenes isolated from the Xisha soft coral Clavularia viridis. Chin. J. Nat. Med. 2017, 15, 855–859. [Google Scholar] [CrossRef]
- Hanif, N.; Murni, A.; Yamauchi, M.; Higashi, M.; Tanaka, J. A new trinor-guaiane sesquiterpene from an Indonesian soft coral Anthelia sp. Nat. Prod. Comm. 2015, 10, 1907–1910. [Google Scholar] [CrossRef]
- Meuche, D.; Huneck, S. Chemistry of mosses. II. Azulenes from Calypogeia trichomanis. Chemische Berichte 1966, 99, 2669–2674. [Google Scholar] [CrossRef]
- Takeda, R.; Katoh, K. Sesquiterpenoids in cultured cells of liverwort, Calypogeia granulata Inoue. Bull. Chem. Soc. Jpn. 1983, 56, 1265–1266. [Google Scholar] [CrossRef]
- Jakupovic, J.; Pathak, V.; Bohlmann, F.; King, R.; Robinson, H. Obliquin derivatives and other constituents from Australian Helichrysum species. Phytochemistry 1987, 26, 803. [Google Scholar] [CrossRef]
- Takeda, R.; Katoh, K. 3,10-Dihydro-1,4-dimethylazulene, a labile biosynthetic intermediate isolated from cultured cells of liverwort Calypogeia granulata Inoue. J. Am. Chem. Soc. 1983, 105, 4056–4058. [Google Scholar] [CrossRef]
- Harada, N.; Kohori, J.; Uda, H.; Nakahishi, K.; Takeda, R. Absolute stereochemistry of (+)-l,8a-dihydro-3,8-dimethylazulene, a labile biosynthetic intermediate for 1,4-dimethylazulene. Determination by theoretical calculation of CD spectra and verification by synthesis of model compounds. J. Am. Chem. Soc. 1985, 107, 423–428. [Google Scholar] [CrossRef]
- Cui, S.; Tan, S.; Ouyang, G.; Jiang, S.; Pawliszyn, J. Headspace solid-phase microextraction gas chromatography-mass spectrometry analysis of Eupatorium odoratum extract as an oviposition repellent. J. Chromatogr. B 2009, 877, 1901–1906. [Google Scholar] [CrossRef] [PubMed]
- Elouaddari, A.; El Amrani, A.; Eddine, J.J.; Correia, A.I.D.; Barroso, J.G.; Pedro, L.G.; Figueiredo, A.C. Yield and chemical composition of the essential oil of Moroccan chamomile [Cladanthus mixtus (L.) Chevall.] growing wild at different sites in Morocco. Flavour Fragr. J. 2013, 28, 360–366. [Google Scholar] [CrossRef]
- Castro, V.; Jakupovic, J.; Bohlmann, F. A new type of sesquiterpene and acorane derivative from Calea prunifolia. J. Nat. Prod. 1984, 47, 802–808. [Google Scholar] [CrossRef]
- Ortega, A.; Lopez, J.D.E.L.C.; Maldonado, E. A tris-norsesquiterpene lactone and other sesquiterpenes from Calea crocinervosa. Phytochemistry 1989, 28, 2735–2736. [Google Scholar] [CrossRef]
- Triana, J.; Eiroa, J.L.; Ortega, J.J.; León, F.; Brouard, I.; Torres, F.; Quintana, J.; Estévez, F.; Bermejo, J. Sesquiterpene lactones from Gonospermum gomerae and G. fruticosum and their cytotoxic activities. J. Nat. Prod. 2008, 71, 2015–2020. [Google Scholar] [CrossRef]
- Wei, Q.; Yang, J.B.; Wang, A.G.; Ji, T.F.; Su, Y.L. Chemical constituents from aerial parts of Ligusticum sinense cv. chaxiong. Chin. Trad. Herb. Drugs 2014, 45, 1980–1983. [Google Scholar] [CrossRef]
- Qin, D.; Wang, L.; Han, M.; Wang, J.; Song, H.; Yan, X.; Duan, X.; Dong, J. Effects of an endophytic fungus Umbelopsis dimorphaon the secondary metabolites of host-plant Kadsura angustifolia. Front. Microbiol. 2018, 9, 2845. [Google Scholar] [CrossRef] [PubMed]
- Jang, D.; Noh, S.; Kim, M. Polymer Composition for Contact Lens Comprising Natural Compounds or Prepolymer Containing Natural Compounds e.g. Eugenol, Safrole or Myristicin. Korean Patent KR2014047208 A, 22 April 2014. [Google Scholar]
- Sun, D.Y.; Han, G.Y.; Yang, N.N.; Lan, L.F.; Li, X.W.; Guo, Y.W. Racemic trinorsesquiterpenoids from the Beihai sponge Spongia officinalis: Structure and biomimetic total synthesis. Org. Chem. Front. 2018, 5, 1022–1027. [Google Scholar] [CrossRef]
- Yam-Puc, A.; Escalante-Erosa, F.; Pech-López, M.; Chan-Bacab, M.J.; Arunachalampillai, A.; Wendt, O.; Sterner, O.; Peña-Rodriguez, L. Trinorsesquiterpenoids from the root extract of Pentalinon andrieuxii. J. Nat. Prod. 2009, 72, 745–748. [Google Scholar] [CrossRef] [PubMed]
- Sumiya, T.; Ishigami, K.; Watanabe, H. Stereoselective total synthsis of (±)-urechitol A. Angew. Chem. Int. Ed. 2010, 49, 5527–5528. [Google Scholar] [CrossRef] [PubMed]
- Sumiya, T.; Ishigami, K.; Watanabe, H. Stereoselective synthesis of (±)-urechitol A employing [4+3] cycloaddition. Tetrahedron 2016, 72, 6982–6987. [Google Scholar] [CrossRef]
- Hiebert-Giesbrecht, M.R.; Escalante-Erosa, F.; García-Sosa, K.; Dzib, G.R.; Calvo-Irabien, L.M.; Peña-Rodríguez, L.M. Spatio-temporal variation of terpenoids in wild plants of Pentalinon andrieuxii. Chem. Biodivers. 2016, 13, 1521–1526. [Google Scholar] [CrossRef] [PubMed]
- Hiebert-Giesbrecht, M.R.; Avilés-Berzunza, E.; Godoy-Hernández, G.; Peña-Rodríguez, L.M. Genetic transformation of the tropical vine Pentalinon andrieuxii (Apocynaceae) via Agrobacterium rhizogenes produces plants with an increased capacity of terpenoid production. Vitr. Cell. Dev. Biol. Plant 2021, 57, 21–29. [Google Scholar] [CrossRef]
- Boland, W. Oxidative bond cleavage reactions in Nature; mechanistic and ecological aspects. Pure Appl. Chem. 1993, 65, 1133–1142. [Google Scholar] [CrossRef]
- Stanjek, V.; Miksch, M.; Lueer, P.; Matern, U.; Boland, W. Biosynthesis of psoralen: Mechanism of a cytochrome P450 catalyzed oxidative bond cleavage. Angew. Chem. Int. Ed. 1999, 38, 400–402. [Google Scholar] [CrossRef]
- Cane, D.E.; Watt, R.M. Expression and mechanistic analysis of a germacradienol synthase from Streptomyces coelicolor implicated in geosmin biosynthesis. Proc. Natl. Acad. Sci. USA 2003, 100, 1547–1551. [Google Scholar] [CrossRef] [PubMed]
- Schulz, S.; Dickschat, J.S. Bacterial volatiles: The smell of small organisms. Nat. Prod. Rep. 2007, 24, 814–842. [Google Scholar] [CrossRef] [PubMed]
- Jiang, J.; He, X.; Cane, D.E. Biosynthesis of the earthy odorant geosmin by a bifunctional Streptomyces coelicolor enzyme. Nat. Chem. Biol. 2007, 3, 711–715. [Google Scholar] [CrossRef] [PubMed]
- Dupuy, H.P.; Flick, G.J.; Stangelo, A.J.; Sumrell, G. Analysis for trace amounts of geosmin in water and fish. J. Am. Oil Chem. Soc. 1986, 63, 905–908. [Google Scholar] [CrossRef]
- Izaguirre, G.; Hwang, C.J.; Krasner, S.W.; McGuire, M.J. Geosmin and 2-methylisoborneol from cyanobacteria in three water supply systems. Appl. Environ. Microbiol. 1982, 43, 708–714. [Google Scholar] [CrossRef] [PubMed]
- Bentley, R.; Meganathan, R. Geosmin and methylisoborneol biosynthesis in Streptomycetes. Evidence for an isoprenoid pathway and its absence in non-differentiating isolates. FEBS Lett. 1981, 125, 220–222. [Google Scholar] [CrossRef]
- Pollak, F.C.; Berger, R.G. Geosmin and related volatiles in bioreactor-cultured Streptomyces citreus CBS 109.60. Appl. Environ. Microbiol. 1996, 62, 1295–1299. [Google Scholar] [CrossRef] [PubMed]
- Jiang, J.; He, X.; Cane, D.E. Geosmin biosynthesis. Streptomyces coelicolor germacradienol/germacrene D synthase converts farnesyl diphosphate to geosmin. J. Am. Chem. Soc. 2006, 128, 8128–8129. [Google Scholar] [CrossRef] [PubMed]
- Jiang, J.; Cane, D.E. Geosmin biosynthesis. Mechanism of the fragmentation-rearrangement in the conversion of germacradienol to geosmin. J. Am. Chem. Soc. 2008, 130, 428–429. [Google Scholar] [CrossRef] [PubMed]
- Cane, D.E.; He, X.; Kobayashi, S.; Omura, S.; Ikeda, H. Geosmin biosynthesis in Streptomyces avermitilis. Molecular cloning, expression, and mechanistic study of the germacradienol/geosmin synthase. J. Antibiot. 2006, 59, 471–479. [Google Scholar] [CrossRef] [PubMed]
- Miller, D.J.; Gao, J.; Truhlar, D.G.; Young, N.J.; Gonzalez, V.; Allemann, R.K. Stereochemistry of eudesmane cation formation during catalysis by aristolochene synthase from Penicillium roqueforti. Org. Biomol. Chem. 2008, 6, 2346–2354. [Google Scholar] [CrossRef] [PubMed]
- Connolly, J.D.; Hill, R.A. Dictionary of Terpenoids Vol 1, Mono- and Sesquiterpenoids; Chapman & Hall: London, UK, 1991; Volume 1, ISBN 9780412257704. [Google Scholar]
- Dai, M.C.; Garson, M.J.; Coll, J.C. Biosynthetic processes in soft corals. I. A comparison of terpene biosynthesis in Alcyonium molle (Alcyoniidae) and Heteroxenia sp. (Xeniidae). Comp. Biochem. Physiol. 1991, 99, 775–783. [Google Scholar] [CrossRef]
- Moreno-Dorado, F.J.; Lamers, Y.M.A.W.; Mironov, G.; Wijnberg, J.B.P.A.; De Groot, A. Chemistry of (+)-aromadendrene. Part 6: Rearrangement reactions of ledene, isoledene and their epoxides. Tetrahedron 2003, 59, 7743–7750. [Google Scholar] [CrossRef]



















Publisher’s Note: MDPI stays neutral with regard to jurisdictional claims in published maps and institutional affiliations. |
© 2022 by the authors. Licensee MDPI, Basel, Switzerland. This article is an open access article distributed under the terms and conditions of the Creative Commons Attribution (CC BY) license (https://creativecommons.org/licenses/by/4.0/).
Share and Cite
Coca-Ruíz, V.; Suárez, I.; Aleu, J.; Collado, I.G. Structures, Occurrences and Biosynthesis of 11,12,13-Tri-nor-Sesquiterpenes, an Intriguing Class of Bioactive Metabolites. Plants 2022, 11, 769. https://doi.org/10.3390/plants11060769
Coca-Ruíz V, Suárez I, Aleu J, Collado IG. Structures, Occurrences and Biosynthesis of 11,12,13-Tri-nor-Sesquiterpenes, an Intriguing Class of Bioactive Metabolites. Plants. 2022; 11(6):769. https://doi.org/10.3390/plants11060769
Chicago/Turabian StyleCoca-Ruíz, Víctor, Ivonne Suárez, Josefina Aleu, and Isidro G. Collado. 2022. "Structures, Occurrences and Biosynthesis of 11,12,13-Tri-nor-Sesquiterpenes, an Intriguing Class of Bioactive Metabolites" Plants 11, no. 6: 769. https://doi.org/10.3390/plants11060769
APA StyleCoca-Ruíz, V., Suárez, I., Aleu, J., & Collado, I. G. (2022). Structures, Occurrences and Biosynthesis of 11,12,13-Tri-nor-Sesquiterpenes, an Intriguing Class of Bioactive Metabolites. Plants, 11(6), 769. https://doi.org/10.3390/plants11060769

