Effect of Nelumbo nucifera Petals Extract on Antioxidant Activity and Sperm Quality in Charolais Cattle Sperm Induced by Mancozeb
Abstract
:1. Introduction
2. Results
2.1. Phytochemical Screening of WNAE Using Liquid Chromatography-Mass Spectrometry (LC-MS)
2.2. Identification of Inhibitory Concentration 20 (IC20)
2.3. Antioxidant Properties of Sperm
2.4. Sperm Proteins’ Profile (SDS-PAGE)
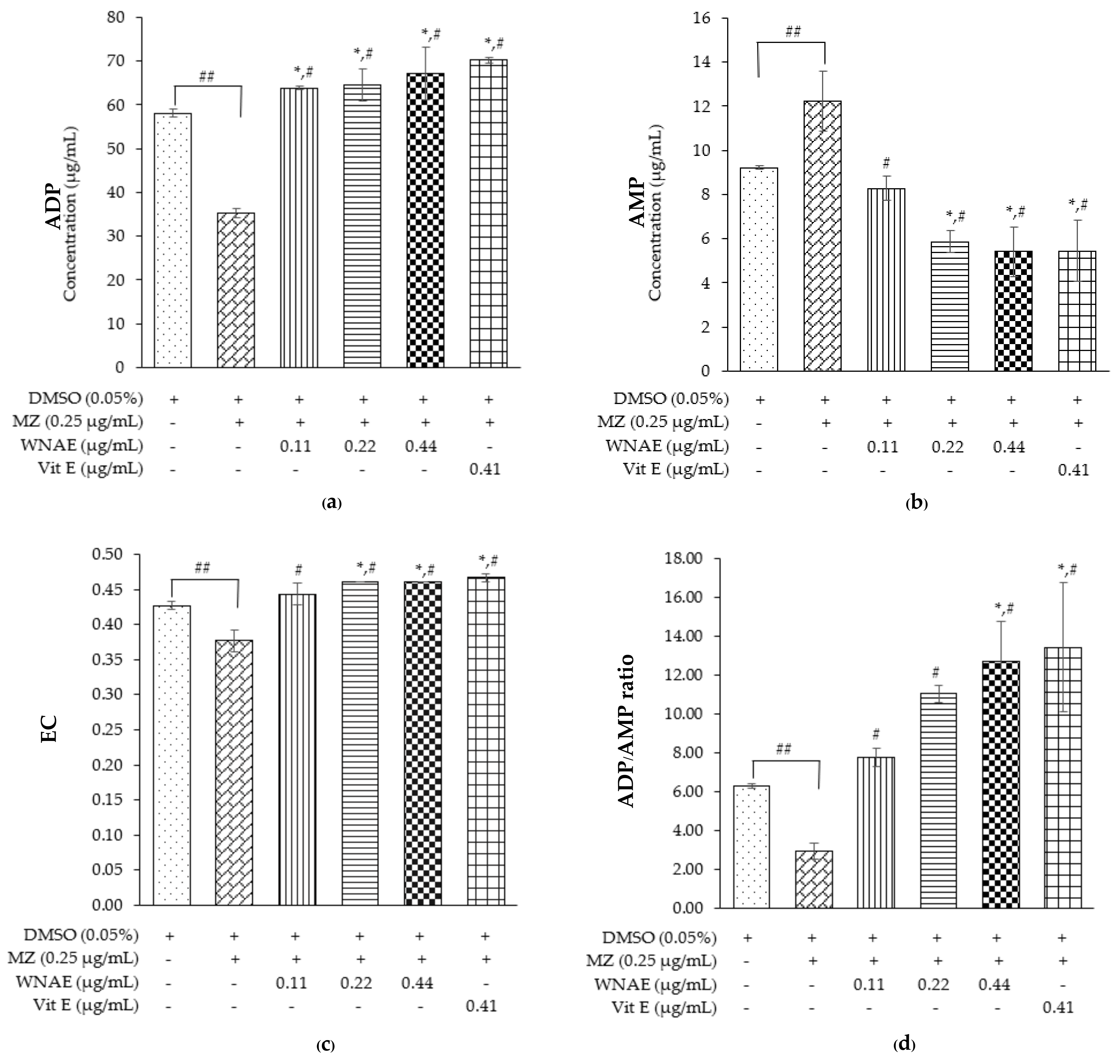
2.5. Adenosine Triphosphate (ATP), Adenosine Diphosphate (ADP), and Adenosine Monophosphate (AMP) Levels
2.6. Sperm Quality Tests
2.6.1. Sperm Motility
2.6.2. Sperm Viability and Acrosome Integrity
2.6.3. Sperm Morphology
3. Discussion
4. Materials and Methods
4.1. Chemicals and Reagents
4.2. Plant Material and Extraction
4.3. Phytochemical Screening by LC-MS Analysis
4.4. MTT (3-[4,5-Dimethylthiazol-2-yl]-2,5 Diphenyl Tetrazolium Bromide) Assay
4.5. Experimental Design
4.6. Antioxidant Properties of Sperm Assay
4.6.1. Lipid Peroxidation (LPO) Assay
4.6.2. Inhibition of Advance Oxidation Protein Products’ (AOPP) Formation
4.6.3. Inhibition of Advance Glycation End Products’ (AGEs) Formation
4.6.4. Ferric-Xylenol Orange (FOX1) Assay and Ferric Reducing Antioxidant Power (FRAP) Assay
4.7. The Extraction and Analysis of Sperm Proteins (SDS-PAGE)
4.8. Determination of ATP, ADP, and AMP Levels
4.9. Sperm Quality Tests
4.9.1. Sperm Motility
4.9.2. Sperm Viability and Acrosome Integrity
4.9.3. Sperm Morphology
4.10. Statistical Analysis
5. Conclusions
Author Contributions
Funding
Institutional Review Board Statement
Informed Consent Statement
Data Availability Statement
Acknowledgments
Conflicts of Interest
References
- Singh, R.; Singh, S.; Jeyabalan, G.; Ali, A. An overview on traditional medicinal plants as aphrodisiac agent. J. Pharmacogn. Phytochem. 2012, 1, 43–56. [Google Scholar]
- Tungmunnithum, D.; Pinthong, D.; Hano, C. Flavonoids from Nelumbo nucifera Gaertn., a medicinal plant: Uses in traditional medicine, phytochemistry and pharmacological activities. Medicines 2018, 5, 127. [Google Scholar] [CrossRef] [PubMed] [Green Version]
- Ayu, S.D.; Ayu, B.G.M. Padma (Nelumbium Speciosum Willd)—A review. World J. Pharm. Res. 2018, 8, 483–493. [Google Scholar]
- Ministry of Public Health. Thai Hercal Pharmacopoeia; Ministry of Public Health: Bangkok, Thailand, 2019; Volume 1.
- Laoung-On, J.; Jaikang, C.; Saenphet, K.; Sudwan, P. Phytochemical screening, antioxidant and sperm viability of Nelumbo nucifera petal extracts. Plants 2021, 10, 1375. [Google Scholar] [CrossRef] [PubMed]
- Makker, K.; Agarwal, A.; Sharma, R. Oxidative stress & male infertility. Indian J. Med. Res. 2009, 129, 357–367. [Google Scholar]
- Darbandi, M.; Darbandi, S.; Agarwal, A.; Sengupta, P.; Durairajanayagam, D.; Henkel, R.; Sadeghi, M.R. Reactive oxygen species and male reproductive hormones. Reprod. Biol. Endocrin. 2018, 16, 87. [Google Scholar] [CrossRef] [Green Version]
- Rosyada, Z.N.A.; Ulum, M.F.; Tumbelaka, L.I.; Purwantara, B. Sperm protein markers for Holstein bull fertility at National Artificial Insemination Centers in Indonesia. Vet. World 2020, 13, 947. [Google Scholar] [CrossRef]
- Patel, M.; Cheema, R.; Bansal, A.; Gandotra, V. A 31-kDa seminal plasma heparin–binding protein reduces cold shock stress during cryopreservation of cross-bred cattle bull semen. Theriogenology 2016, 86, 1599–1606. [Google Scholar] [CrossRef]
- Asadpour, R.; Alavi-Shoushtari, S.; Rezaii, S.A.; Ansari, M.K. SDS-polyacrylamide gel electrophoresis of buffalo bulls seminal plasma proteins and their relation with semen freezability. Anim. Reprod. Sci. 2007, 102, 308–313. [Google Scholar] [CrossRef]
- Sudwan, P.; Saenphet, K.; Aritajat, S.; Sitasuwan, N. Effects of Boesenbergia rotunda (L.) Mansf. on sexual behaviour of male rats. Asian J. Androl. 2007, 9, 849–855. [Google Scholar] [CrossRef]
- Sudwan, P.; Saenphet, K.; Aritajat, S.; Wongsawad, C. Sperm density and ultrastructure of Sertoli cells in male rats treated with Kaempferia parviflora Wall. ex. Baker extract. Southeast Asian J. Trop. Med. Public Health 2007, 38, 249–254. [Google Scholar]
- Laoung-On, J.; Saenphet, K.; Jaikang, C.; Sudwan, P. Effect of Moringa oleifera Lam. leaf tea on sexual behavior and reproductive function in male rats. Plants 2021, 10, 2019. [Google Scholar] [CrossRef] [PubMed]
- Sakr, S.; Okdah, Y.; El-Adly, E. Effect of ginger (Zingiber officinale) on mancozeb fungicide induced testicular damage in albino rats. Aust. J. Basic Appl. Sci. 2009, 3, 1328–1333. [Google Scholar]
- Bi, S.; Banumathi, V.; Anbu, J.; Anjana, A.; Kumar, M.P. Aphrodisiac activity of venthamarai magarantha chooranam (stamens of Nelumbo nucifera white variety) on healthy wister albino rats. Pharm. Sci. 2012, 2, 44–50. [Google Scholar]
- Agarwal, A.; Virk, G.; Ong, C.; Du Plessis, S.S. Effect of oxidative stress on male reproduction. World J. Mens Health. 2014, 32, 1–17. [Google Scholar] [CrossRef] [Green Version]
- Medina-Pastor, P.; Triacchini, G. The 2018 European Union report on pesticide residues in food. EFSA J. 2020, 18, e06057. [Google Scholar]
- Mohammadi-Sardoo, M.; Mandegary, A.; Nabiuni, M.; Nematollahi-Mahani, S.-N.; Amirheidari, B. Mancozeb induces testicular dysfunction through oxidative stress and apoptosis: Protective role of N-acetylcysteine antioxidant. Toxicol. Ind. Health 2018, 34, 798–811. [Google Scholar] [CrossRef]
- Saddein, E.; Haghpanah, T.; Nematollahi-Mahani, S.N.; Seyedi, F.; Ezzatabadipour, M. Preventative effects of vitamin E on testicular damage and sperm parameters in the first-generation mice pups due to pre-and postnatal mancozeb exposure. J. Toxicol. 2019, 2019, 4763684. [Google Scholar] [CrossRef] [Green Version]
- Ghafarizadeh, A.A.; Malmir, M.; Naderi Noreini, S.; Faraji, T.; Ebrahimi, Z. The effect of vitamin E on sperm motility and viability in asthenoteratozoospermic men: In vitro study. Andrologia 2021, 53, e13891. [Google Scholar] [CrossRef]
- Ananthan, G.; Kumaran, B. Effect of mancozeb on the specific activities of testicular phosphatases and protective role of vitamin C in Albino rats. Bull. Environ. Pharmacol. Life Sci. 2013, 2, 56–61. [Google Scholar]
- Bozkurt, Y.; Yavaş, İ.; Bucak, M.N.; Kıran, T.R.; Gül, A. Cryoprotective effect of vitamin E supplementation of different extenders on quality and fertilizing ability of frozen-thawed brown trout sperm. Biopreserv. Biobank. 2021, 19, 171–177. [Google Scholar] [CrossRef] [PubMed]
- Zhengwen, L.; Ming, Z.; Guido, R.M.M.H.; Lily, V.; Mohamed, M. Flavonoids seen through the energy perspective. Int. J. Mol. Sci. 2021, 23, 187. [Google Scholar]
- Martin, L.J.; Touaibia, M. Improvement of testicular steroidogenesis using flavonoids and isoflavonoids for prevention of late-onset male hypogonadism. Antioxidants 2020, 9, 237. [Google Scholar] [CrossRef] [PubMed] [Green Version]
- Tremellen, K. Oxidative stress and male infertility—a clinical perspective. Hum. Reprod. 2008, 14, 243–258. [Google Scholar] [CrossRef] [PubMed]
- Morielli, T.; O'Flaherty, C. Oxidative stress impairs function and increases redox protein modifications in human spermatozoa. Reproduction 2015, 149, 113–123. [Google Scholar] [CrossRef] [Green Version]
- Rahman, M.S.; Kang, K.-H.; Arifuzzaman, S.; Pang, W.-K.; Ryu, D.-Y.; Song, W.-H.; Park, Y.-J.; Pang, M.-G. Effect of antioxidants on BPA-induced stress on sperm function in a mouse model. Sci. Rep. 2019, 9, 10584. [Google Scholar] [CrossRef] [PubMed]
- Cao, W.; Gerton, G.L.; Moss, S.B. Proteomic profiling of accessory structures from the mouse sperm flagellum. Mol. Cell. Proteom. 2006, 5, 801–810. [Google Scholar] [CrossRef] [PubMed] [Green Version]
- Hardie, D.G. Minireview: The AMP-activated protein kinase cascade: The key sensor of cellular energy status. Endocrinology 2003, 144, 5179–5183. [Google Scholar] [CrossRef] [PubMed]
- Li, P.; Zhu, J.; Kong, Q.; Jiang, B.; Wan, X.; Yue, J.; Li, M.; Jiang, H.; Li, J.; Gao, Z. The ethylene bis-dithiocarbamate fungicide mancozeb activates voltage-gated KCNQ2 potassium channel. Toxicol. Lett. 2013, 219, 211–217. [Google Scholar] [CrossRef]
- Candenas, L.; Pinto, F.; Cejudo-Román, A.; González-Ravina, C.; Fernández-Sánchez, M.; Pérez-Hernández, N.; Irazusta, J.; Subirán, N. Veratridine-sensitive Na+ channels regulate human sperm fertilization capacity. Life Sci. 2018, 196, 48–55. [Google Scholar] [CrossRef]
- Kalthur, G.; Raj, S.; Thiyagarajan, A.; Kumar, S.; Kumar, P.; Adiga, S.K. Vitamin E supplementation in semen-freezing medium improves the motility and protects sperm from freeze-thaw–induced DNA damage. Fertil. Steril. 2011, 95, 1149–1151. [Google Scholar] [CrossRef] [PubMed]
- Kodithuwakku, C.; Prasadani, Y.; Wijayagunawardhane, M.; Rathnayake, C.; Lee, K.-F.; Kodithuwakku, S. Functional impairment of bovine spermatozoa by fungicide mancozeb: An in vitro exposure study. Trop. Agric. Res. 2021, 32, 368–379. [Google Scholar] [CrossRef]
- Ros-Santaella, J.L.; Pintus, E. Plant extracts as alternative additives for sperm preservation. Antioxidants 2021, 10, 772. [Google Scholar] [CrossRef] [PubMed]
- Mishra, R.K.; Singh, S.; Singh, S.K. Natural products in regulation of male fertility. Indian J. Med. Res. 2018, 148, 107–114. [Google Scholar]
- Laoung-On, J.; Sudwan, P. Effect of Nelumbo nucifera petal tea and Moringa oleifera leaf tea on rats sperm viability in vitro. In Proceedings of the 37th MST International Conference, Nakhonratchasima, Thailand, 25–28 February 2020; pp. 220–225. [Google Scholar]
- Menegollo, M.; Tessari, I.; Bubacco, L.; Szabadkai, G. Determination of ATP, ADP, and AMP levels by reversed-phase high-performance liquid chromatography in cultured cells. Methods Mol. Biol. 2019, 1925, 223–232. [Google Scholar]
- Yotarlai, S.; Chaisuksunt, V.; Saenphet, K.; Sudwan, P. Effects of Boesenbergia rotunda juice on sperm qualities in male rats. J. Med. Plant Res. 2011, 5, 3861–3867. [Google Scholar]
- Laoung-On, J.; Sudwan, P.; Saenphet, K. Effect of Moringa oleifera Lam leaf tea on sperm concentration and sperm viability in male rats. In Proceedings of the 36th MST International Conference, Bangkok, Thailand, 26–29 March 2019; pp. 207–211. [Google Scholar]
- Serafini, R.; Longobardi, V.; Spadetta, M.; Neri, D.; Ariota, B.; Gasparrini, B.; Di Palo, R. Trypan blue/giemsa staining to assess sperm membrane integrity in salernitano stallions and its relationship to pregnancy rates. Reprod. Domest. Anim. 2014, 49, 41–47. [Google Scholar] [CrossRef]
- Menkveld, R.; El-Garem, Y.; Schill, W.-B.; Henkel, R. Relationship between human sperm morphology and acrosomal function. J. Assist. Reprod. Genet. 2003, 20, 432–438. [Google Scholar] [CrossRef]






| Molecular Weight (kDa) | Intensity (× 103 a.u.) | |||||
|---|---|---|---|---|---|---|
| Control | MZ (0.25 µg/mL) | MZ + WNAE (0.25 + 0.11 µg/mL) | MZ + WNAE (0.25 + 0.22 µg/mL) | MZ + WNAE (0.25 + 0.44 µg/mL) | MZ + Vit E (0.25 + 0.41 µg/mL) | |
| 55 | 26.81 ± 0.57 | 11.39 ± 0.57 ## | 26.71 ± 0.64 # | 22.04 ± 0.68 *,# | 32.15 ± 0.35 *,# | 23.89 ± 0.64 *,# |
| 34 | 53.87 ± 0.65 | 37.44 ± 1.62 ## | 76.79 ± 2.35 *,# | 50.65 ± 0.19 *,# | 55.26 ± 1.61 # | 50.3 ± 1.26 *,# |
| 31 | 79.89 ± 0.65 | 49.77 ± 0.64 ## | 73.46 ± 1.17 *,# | 91.23 ± 1.51 *,# | 75.81 ± 1.95 *,# | 47.03 ± 0.38 *,# |
| 17 | 51.87 ± 0.99 | 31.11 ± 0.34 ## | 68.1 ± 0.21 *,# | 66.83 ± 2.67 *,# | 69.35 ± 0.54 *,# | 72.73 ± 2.08 *,# |
| Group | Number of Motile Sperm | Number of Non-Motile Sperm | |
|---|---|---|---|
| Progressive | Non-Progressive | ||
| Control | 4.22 ± 4.87 | 14.33 ± 5.98 | 181.44 ± 7.92 |
| MZ (0.25 µg/mL) | 0.00 ± 0.00 ## | 2.67 ± 1.22 ## | 197.33 ± 1.22 ## |
| MZ + WNAE (0.11 µg/mL) | 0.44 ± 0.73 | 27.11 ± 6.95 *,# | 172.44 ± 7.33 *,# |
| MZ + WNAE (0.22 µg/mL) | 0.78 ± 1.39 | 21.89 ± 5.93 *,# | 177.33 ± 6.04 # |
| MZ + WNAE (0.44 µg/mL) | 0.33 ± 0.50 | 24.33 ± 4.30 *,# | 175.33 ± 4.15 # |
| MZ + Vit E (0.41 µg/mL) | 0.33 ± 0.50 | 16.89 ± 2.80 # | 182.78 ± 2.91 # |
| Group | Number of Viable Sperm | Number of Dead Sperm | ||
|---|---|---|---|---|
| Intact | Detached | Intact | Detached | |
| Control | 40.78 ± 15.28 | 14.00 ± 9.44 | 32.89 ± 17.81 | 12.22 ± 7.28 |
| MZ (0.25 µg/mL) | 13.44 ± 7.29 ## | 11.22 ± 14.32 | 58.67 ± 22.53 | 16.56 ± 10.41 |
| MZ + WNAE (0.11 µg/mL) | 29.55 ± 17.63 | 8.44 ± 5.96 | 49.22 ± 23.37 | 12.78 ± 5.63 |
| MZ + WNAE (0.22 µg/mL) | 34.44 ± 16.52 | 10.00 ± 8.28 | 41.89 ± 21.93 | 12.56 ± 11.44 |
| MZ + WNAE (0.44 µg/mL) | 28.78 ± 19.43 | 12.11 ± 8.43 | 48.11 ± 28.27 | 10.89 ± 7.15 |
| MZ + Vit E (0.41 µg/mL) | 26.13 ± 19.63 | 7.25 ± 3.33 | 50.87 ± 16.04 | 16.00 ± 8.52 |
| Group | Number of Normal Sperm | Number of Abnormal Sperm | ||
|---|---|---|---|---|
| Head Only | Head and Tail | Tail Only | ||
| Control | 77.67 ± 5.75 | 1.78 ± 0.83 | 3.78 ± 6.53 | 17.11 ± 7.99 |
| MZ (0.25 µg/mL) | 72.00 ± 5.94 | 1.77 ± 1.86 | 1.55 ± 1.59 | 24.88 ± 4.31 ## |
| MZ + WNAE (0.11 µg/mL) | 83.78 ± 4.99 # | 0.33 ± 0.71 * | 0.44 ± 0.53 | 15.44 ± 5.15 |
| MZ + WNAE (0.22 µg/mL) | 76.33 ± 8.00 | 0.89 ± 1.05 | 1.11 ± 1.05 | 21.67 ± 6.75 |
| MZ + WNAE (0.44 µg/mL) | 74.67 ± 9.77 | 1.78 ± 1.72 | 1.00 ± 1.12 | 22.56 ± 9.10 |
| MZ + Vit E (0.41 µg/mL) | 73.38 ± 5.93 | 3.25 ± 6.02 | 0.88 ± 1.13 | 22.50 ± 9.84 |
Publisher’s Note: MDPI stays neutral with regard to jurisdictional claims in published maps and institutional affiliations. |
© 2022 by the authors. Licensee MDPI, Basel, Switzerland. This article is an open access article distributed under the terms and conditions of the Creative Commons Attribution (CC BY) license (https://creativecommons.org/licenses/by/4.0/).
Share and Cite
Laoung-on, J.; Jaikang, C.; Saenphet, K.; Sudwan, P. Effect of Nelumbo nucifera Petals Extract on Antioxidant Activity and Sperm Quality in Charolais Cattle Sperm Induced by Mancozeb. Plants 2022, 11, 637. https://doi.org/10.3390/plants11050637
Laoung-on J, Jaikang C, Saenphet K, Sudwan P. Effect of Nelumbo nucifera Petals Extract on Antioxidant Activity and Sperm Quality in Charolais Cattle Sperm Induced by Mancozeb. Plants. 2022; 11(5):637. https://doi.org/10.3390/plants11050637
Chicago/Turabian StyleLaoung-on, Jiraporn, Churdsak Jaikang, Kanokporn Saenphet, and Paiwan Sudwan. 2022. "Effect of Nelumbo nucifera Petals Extract on Antioxidant Activity and Sperm Quality in Charolais Cattle Sperm Induced by Mancozeb" Plants 11, no. 5: 637. https://doi.org/10.3390/plants11050637
APA StyleLaoung-on, J., Jaikang, C., Saenphet, K., & Sudwan, P. (2022). Effect of Nelumbo nucifera Petals Extract on Antioxidant Activity and Sperm Quality in Charolais Cattle Sperm Induced by Mancozeb. Plants, 11(5), 637. https://doi.org/10.3390/plants11050637

