MIR390 Is Involved in Regulating Anthracnose Resistance in Apple
Abstract
1. Introduction
2. Results
2.1. Bioinformatics Analysis of miR390
2.2. Expression Patterns of mdm-MIR390b in Apple
2.3. Overexpressing MIR390b in Apple ‘GL-3′
2.4. Overexpression of mdm-MIR390b Gene Elevates Apple Anthracnose Resistance
2.5. Physiological Changes in Apple Leaves after C. gloeosporioides Infection
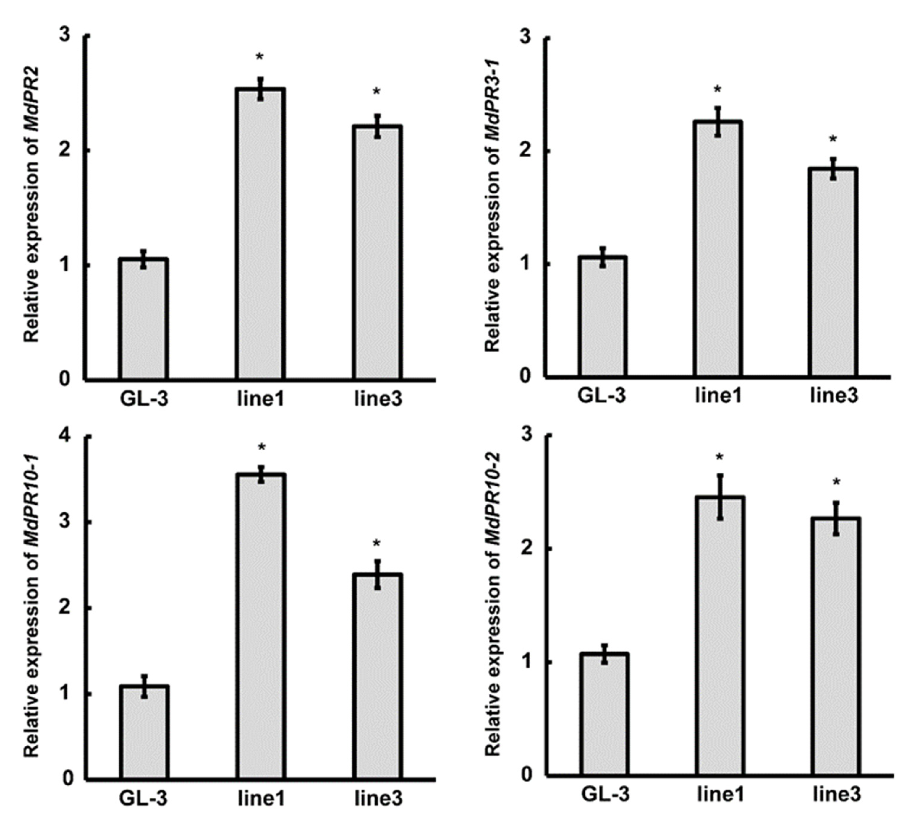
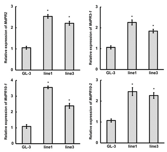
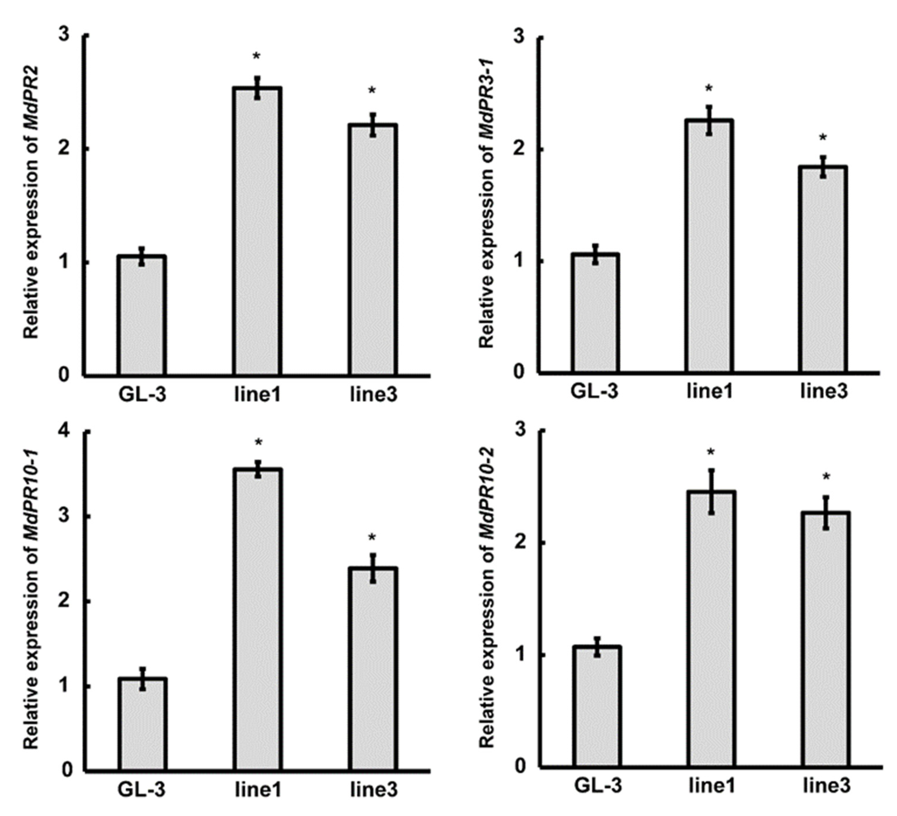
2.6. Changes in Disease-Resistant Genes in MIR390b-Overexpressing Plants
3. Discussion
4. Materials and Methods
4.1. Plant Materials and Growth Conditions
4.2. Pathogen Culture and Inoculation Method
4.3. Phylogenetic and Sequence Analysis
4.4. Nucleic Acid Extraction and qRT-PCR Analysis
4.5. Vector Construction and Transformation into Apple
4.6. Confirmation of Transgenic Plants
4.7. Agroinfiltration in Apple Fruit
4.8. Histochemical Staining
4.9. Determination of Antioxidant Enzymes
4.10. Statistical Analysis
5. Conclusions
Supplementary Materials
Author Contributions
Funding
Data Availability Statement
Acknowledgments
Conflicts of Interest
References
- Wang, N.; Wolf, J.; Zhang, F. Towards Sustainable Intensification of Apple Production in China—Yield Gaps and Nutrient Use Efficiency in Apple Farming Systems. J. Integr. Agric. 2016, 15, 716–725. [Google Scholar] [CrossRef]
- Liang, X.; Zhang, R.; Gleason, M.L.; Sun, G. Sustainable Apple Disease Management in China: Challenges and Future Directions for a Transforming Industry. Plant Dis. 2022, 106, 786–799. [Google Scholar] [CrossRef] [PubMed]
- Qiao, L.; Lan, C.; Capriotti, L.; Ah-Fong, A.; Nino Sanchez, J.; Hamby, R.; Heller, J.; Zhao, H.; Glass, N.L.; Judelson, H.S.; et al. Spray-Induced Gene Silencing for Disease Control Is Dependent on the Efficiency of Pathogen RNA Uptake. Plant Biotechnol. J. 2021, 19, 1756–1768. [Google Scholar] [CrossRef] [PubMed]
- Brodersen, P.; Voinnet, O. Revisiting the Principles of MicroRNA Target Recognition and Mode of Action. Nat. Rev. Mol. Cell Biol. 2009, 10, 141–148. [Google Scholar] [CrossRef]
- Rogers, K.; Chen, X. Biogenesis, Turnover, and Mode of Action of Plant MicroRNAs. Plant Cell 2013, 25, 2383–2399. [Google Scholar] [CrossRef]
- Iwakawa, H.; Tomari, Y. The Functions of MicroRNAs: MRNA Decay and Translational Repression. Trends Cell Biol. 2015, 25, 651–665. [Google Scholar] [CrossRef]
- Yu, Y.; Jia, T.; Chen, X. The ‘How’ and ‘Where’ of Plant MicroRNAs. New Phytol. 2017, 216, 1002–1017. [Google Scholar] [CrossRef]
- Wang, J.; Mei, J.; Ren, G. Plant MicroRNAs: Biogenesis, Homeostasis, and Degradation. Front. Plant Sci. 2019, 10, 360. [Google Scholar] [CrossRef]
- Park, W.; Li, J.; Song, R.; Messing, J.; Chen, X. CARPEL FACTORY, a Dicer Homolog, and HEN1, a Novel Protein, Act in MicroRNA Metabolism in Arabidopsis Thaliana. Curr. Biol. 2002, 12, 1484–1495. [Google Scholar] [CrossRef]
- Dong, Z.; Han, M.-H.; Fedoroff, N. The RNA-Binding Proteins HYL1 and SE Promote Accurate in Vitro Processing of Pri-MiRNA by DCL1. Proc. Natl. Acad. Sci. USA 2008, 105, 9970–9975. [Google Scholar] [CrossRef]
- Cuperus, J.T.; Montgomery, T.A.; Fahlgren, N.; Burke, R.T.; Townsend, T.; Sullivan, C.M.; Carrington, J.C. Identification of MIR390a Precursor Processing-Defective Mutants in Arabidopsis by Direct Genome Sequencing. Proc. Natl. Acad. Sci. USA 2010, 107, 466–471. [Google Scholar] [CrossRef]
- Cambiagno, D.A.; Giudicatti, A.J.; Arce, A.L.; Gagliardi, D.; Li, L.; Yuan, W.; Lundberg, D.S.; Weigel, D.; Manavella, P.A. HASTY Modulates MiRNA Biogenesis by Linking Pri-MiRNA Transcription and Processing. Mol. Plant 2021, 14, 426–439. [Google Scholar] [CrossRef] [PubMed]
- Chávez Montes, R.A.; De Rosas-Cárdenas, F.F.; De Paoli, E.; Accerbi, M.; Rymarquis, L.A.; Mahalingam, G.; Marsch-Martínez, N.; Meyers, B.C.; Green, P.J.; de Folter, S. Sample Sequencing of Vascular Plants Demonstrates Widespread Conservation and Divergence of MicroRNAs. Nat. Commun. 2014, 5, 3722. [Google Scholar] [CrossRef] [PubMed]
- Gustafson, A.M.; Allen, E.; Givan, S.; Smith, D.; Carrington, J.C.; Kasschau, K.D. ASRP: The Arabidopsis Small RNA Project Database. Nucleic Acids Res. 2005, 33, D637–D640. [Google Scholar] [CrossRef] [PubMed]
- Sunkar, R.; Girke, T.; Jain, P.K.; Zhu, J.-K. Cloning and Characterization of MicroRNAs from Rice. Plant Cell 2005, 17, 1397–1411. [Google Scholar] [CrossRef]
- Tang, S.; Wang, Y.; Li, Z.; Gui, Y.; Xiao, B.; Xie, J.; Zhu, Q.-H.; Fan, L. Identification of Wounding and Topping Responsive Small RNAs in Tobacco (Nicotiana tabacum). BMC Plant Biol. 2012, 12, 28. [Google Scholar] [CrossRef]
- Kravchik, M.; Sunkar, R.; Damodharan, S.; Stav, R.; Zohar, M.; Isaacson, T.; Arazi, T. Global and Local Perturbation of the Tomato MicroRNA Pathway by a Trans-Activated DICER-LIKE 1 Mutant. J. Exp. Bot. 2014, 65, 725–739. [Google Scholar] [CrossRef]
- Zhang, L.; Chia, J.-M.; Kumari, S.; Stein, J.C.; Liu, Z.; Narechania, A.; Maher, C.A.; Guill, K.; McMullen, M.D.; Ware, D. A Genome-Wide Characterization of MicroRNA Genes in Maize. PLoS Genet. 2009, 5, e1000716. [Google Scholar] [CrossRef]
- Xia, R.; Zhu, H.; An, Y.; Beers, E.P.; Liu, Z. Apple MiRNAs and TasiRNAs with Novel Regulatory Networks. Genome Biol. 2012, 13, R47. [Google Scholar] [CrossRef]
- Axtell, M.J.; Jan, C.; Rajagopalan, R.; Bartel, D.P. A Two-Hit Trigger for SiRNA Biogenesis in Plants. Cell 2006, 127, 565–577. [Google Scholar] [CrossRef] [PubMed]
- Montgomery, T.A.; Howell, M.D.; Cuperus, J.T.; Li, D.; Hansen, J.E.; Alexander, A.L.; Chapman, E.J.; Fahlgren, N.; Allen, E.; Carrington, J.C. Specificity of ARGONAUTE7-MiR390 Interaction and Dual Functionality in TAS3 Trans-Acting SiRNA Formation. Cell 2008, 133, 128–141. [Google Scholar] [CrossRef]
- Jouannet, V.; Moreno, A.B.; Elmayan, T.; Vaucheret, H.; Crespi, M.D.; Maizel, A. Cytoplasmic Arabidopsis AGO7 Accumulates in Membrane-Associated SiRNA Bodies and Is Required for Ta-SiRNA Biogenesis. EMBO J. 2012, 31, 1704–1713. [Google Scholar] [CrossRef] [PubMed]
- Rajeswaran, R.; Pooggin, M.M. RDR6-Mediated Synthesis of Complementary RNA Is Terminated by MiRNA Stably Bound to Template RNA. Nucleic Acids Res. 2012, 40, 594–599. [Google Scholar] [CrossRef]
- Sakurai, Y.; Baeg, K.; Lam, A.Y.W.; Shoji, K.; Tomari, Y.; Iwakawa, H. Cell-Free Reconstitution Reveals the Molecular Mechanisms for the Initiation of Secondary SiRNA Biogenesis in Plants. Proc. Natl. Acad. Sci. USA 2021, 118, e2102889118. [Google Scholar] [CrossRef] [PubMed]
- Allen, E.; Xie, Z.; Gustafson, A.M.; Carrington, J.C. MicroRNA-Directed Phasing during Trans-Acting SiRNA Biogenesis in Plants. Cell 2005, 121, 207–221. [Google Scholar] [CrossRef] [PubMed]
- Marin, E.; Jouannet, V.; Herz, A.; Lokerse, A.S.; Weijers, D.; Vaucheret, H.; Nussaume, L.; Crespi, M.D.; Maizel, A. MiR390, Arabidopsis TAS3 TasiRNAs, and Their AUXIN RESPONSE FACTOR Targets Define an Autoregulatory Network Quantitatively Regulating Lateral Root Growth. Plant Cell 2010, 22, 1104–1117. [Google Scholar] [CrossRef]
- Xia, R.; Xu, J.; Meyers, B.C. The Emergence, Evolution, and Diversification of the MiR390-TAS3-ARF Pathway in Land Plants. Plant Cell 2017, 29, 1232–1247. [Google Scholar] [CrossRef]
- Ma, J.; Li, C.; Gao, P.; Qiu, Y.; Zong, M.; Zhang, H.; Wang, J. Melon Shoot Organization 1, Encoding an AGRONAUTE7 Protein, Plays a Crucial Role in Plant Development. Theor. Appl. Genet. 2022, 135, 2875–2890. [Google Scholar] [CrossRef]
- Hobecker, K.V.; Reynoso, M.A.; Bustos-Sanmamed, P.; Wen, J.; Mysore, K.S.; Crespi, M.; Blanco, F.A.; Zanetti, M.E. The MicroRNA390/TAS3 Pathway Mediates Symbiotic Nodulation and Lateral Root Growth. Plant Physiol. 2017, 174, 2469–2486. [Google Scholar] [CrossRef]
- Yoon, E.K.; Yang, J.H.; Lim, J.; Kim, S.H.; Kim, S.-K.; Lee, W.S. Auxin Regulation of the MicroRNA390-Dependent Transacting Small Interfering RNA Pathway in Arabidopsis Lateral Root Development. Nucleic Acids Res. 2010, 38, 1382–1391. [Google Scholar] [CrossRef] [PubMed]
- Dong, X.; Guan, Y.; Zhang, Z.; Li, H. MiR390-TasiRNA3-ARF4 Pathway Is Involved in Regulating Flowering Time in Woodland Strawberry. Plant Cell Rep. 2022, 41, 921–934. [Google Scholar] [CrossRef]
- He, F.; Xu, C.; Fu, X.; Shen, Y.; Guo, L.; Leng, M.; Luo, K. The MicroRNA390/TRANS-ACTING SHORT INTERFERING RNA3 Module Mediates Lateral Root Growth under Salt Stress via the Auxin Pathway. Plant Physiol. 2018, 177, 775–791. [Google Scholar] [CrossRef] [PubMed]
- Chen, M.; Wang, F.; Zhang, Z.; Fu, J.; Ma, Y. Characterization of Fungi Resistance in Two Autotetraploid Apple Cultivars. Sci. Hortic. 2017, 220, 27–35. [Google Scholar] [CrossRef]
- Ma, Y.; Xue, H.; Zhang, L.; Zhang, F.; Ou, C.; Wang, F.; Zhang, Z. Involvement of Auxin and Brassinosteroid in Dwarfism of Autotetraploid Apple (Malus × domestica). Sci. Rep. 2016, 6, 26719. [Google Scholar] [CrossRef]
- Blaszczyk, J.; Tropea, J.E.; Bubunenko, M.; Routzahn, K.M.; Waugh, D.S.; Court, D.L.; Ji, X. Crystallographic and Modeling Studies of RNase III Suggest a Mechanism for Double-Stranded RNA Cleavage. Structure 2001, 9, 1225–1236. [Google Scholar] [CrossRef] [PubMed]
- Zhang, Q.; Xu, C.; Wei, H.; Fan, W.; Li, T. Two Pathogenesis-Related Proteins Interact with Leucine-Rich Repeat Proteins to Promote Alternaria Leaf Spot Resistance in Apple. Hortic. Res. 2021, 8, 219. [Google Scholar] [CrossRef] [PubMed]
- Zhang, F.; Wang, F.; Yang, S.; Zhang, Y.; Xue, H.; Wang, Y.; Yan, S.; Wang, Y.; Zhang, Z.; Ma, Y. MdWRKY100 Encodes a Group I WRKY Transcription Factor in Malus Domestica That Positively Regulates Resistance to Colletotrichum Gloeosporioides Infection. Plant Sci. 2019, 286, 68–77. [Google Scholar] [CrossRef]
- Li, S.; Castillo-González, C.; Yu, B.; Zhang, X. The Functions of Plant Small RNAs in Development and in Stress Responses. Plant J. 2017, 90, 654–670. [Google Scholar] [CrossRef]
- Axtell, M.J.; Bartel, D.P. Antiquity of MicroRNAs and Their Targets in Land Plants. Plant Cell 2005, 17, 1658–1673. [Google Scholar] [CrossRef]
- Ma, Y.; Xue, H.; Zhang, F.; Jiang, Q.; Yang, S.; Yue, P.; Wang, F.; Zhang, Y.; Li, L.; He, P.; et al. The MiR156/SPL Module Regulates Apple Salt Stress Tolerance by Activating MdWRKY100 Expression. Plant Biotechnol. J. 2021, 19, 311–323. [Google Scholar] [CrossRef]
- Yue, H.; Zhang, H.; Su, N.; Sun, X.; Zhao, Q.; Weining, S.; Nie, X.; Yue, W. Integrate Small RNA and Degradome Sequencing to Reveal Drought Memory Response in Wheat (Triticum aestivum L.). Int. J. Mol. Sci. 2022, 23, 5917. [Google Scholar] [CrossRef]
- Wu, F.; Xu, J.; Gao, T.; Huang, D.; Jin, W. Molecular Mechanism of Modulating MiR482b Level in Tomato with Botrytis cinerea Infection. BMC Plant Biol. 2021, 21, 496. [Google Scholar] [CrossRef]
- Cho, S.H.; Coruh, C.; Axtell, M.J. MiR156 and MiR390 Regulate TasiRNA Accumulation and Developmental Timing in Physcomitrella Patens. Plant Cell 2012, 24, 4837–4849. [Google Scholar] [CrossRef]
- Xu, Z.; Liu, Q.; Chen, Y.; He, Y.; Hu, F. MiR390 Family of Cymbidium goeringii Is Involved in the Development of Reproductive Organs in Transgenic Arabidopsis. BMC Plant Biol. 2022, 22, 149. [Google Scholar] [CrossRef] [PubMed]
- Shine, M.B.; Zhang, K.; Liu, H.; Lim, G.; Xia, F.; Yu, K.; Hunt, A.G.; Kachroo, A.; Kachroo, P. Phased Small RNA–Mediated Systemic Signaling in Plants. Sci. Adv. 2022, 8, eabm8791. [Google Scholar] [CrossRef]
- Wang, N.; Fan, X.; He, M.; Hu, Z.; Tang, C.; Zhang, S.; Lin, D.; Gan, P.; Wang, J.; Huang, X.; et al. Transcriptional Repression of TaNOX10 by TaWRKY19 Compromises ROS Generation and Enhances Wheat Susceptibility to Stripe Rust. Plant Cell 2022, 34, 1784–1803. [Google Scholar] [CrossRef]
- Kandhol, N.; Singh, V.P.; Wang, Y.; Chen, Z.-H.; Tripathi, D.K. Ca2+ Sensor-Mediated ROS Homeostasis: Defense without Yield Penalty. Trends Plant Sci. 2022, 27, 834–836. [Google Scholar] [CrossRef]
- Lehmann, S.; Serrano, M.; L’Haridon, F.; Tjamos, S.E.; Metraux, J.-P. Reactive Oxygen Species and Plant Resistance to Fungal Pathogens. Phytochemistry 2015, 112, 54–62. [Google Scholar] [CrossRef] [PubMed]
- Chae, H.B.; Kim, M.G.; Kang, C.H.; Park, J.H.; Lee, E.S.; Lee, S.-U.; Chi, Y.H.; Paeng, S.K.; Bae, S.B.; Wi, S.D.; et al. Redox Sensor QSOX1 Regulates Plant Immunity by Targeting GSNOR to Modulate ROS Generation. Mol. Plant 2021, 14, 1312–1327. [Google Scholar] [CrossRef]
- Hu, B.; Zhou, Y.; Zhou, Z.; Sun, B.; Zhou, F.; Yin, C.; Ma, W.; Chen, H.; Lin, Y. Repressed OsMESL Expression Triggers Reactive Oxygen Species-Mediated Broad-Spectrum Disease Resistance in Rice. Plant Biotechnol. J. 2021, 19, 1511–1522. [Google Scholar] [CrossRef] [PubMed]
- Chen, S.; Yin, C.; Strasser, R.J.; Govindjee; Yang, C.; Qiang, S. Reactive Oxygen Species from Chloroplasts Contribute to 3-Acetyl-5-Isopropyltetramic Acid-Induced Leaf Necrosis of Arabidopsis Thaliana. Plant Physiol. Biochem. 2012, 52, 38–51. [Google Scholar] [CrossRef] [PubMed]
- Sun, J.; Lin, H.; Zhang, S.; Lin, Y.; Wang, H.; Lin, M.; Hung, Y.-C.; Chen, Y. The Roles of ROS Production-Scavenging System in Lasiodiplodia Theobromae (Pat.) Griff. & Maubl.-Induced Pericarp Browning and Disease Development of Harvested Longan Fruit. Food Chem. 2018, 247, 16–22. [Google Scholar] [CrossRef] [PubMed]
- Yang, Q.; Yang, J.; Wang, Y.; Du, J.; Zhang, J.; Luisi, B.F.; Liang, W. Broad-Spectrum Chemicals Block ROS Detoxification to Prevent Plant Fungal Invasion. Curr. Biol. 2022, 32, 3886–3897.e6. [Google Scholar] [CrossRef]
- Wang, Y.; Zeng, J.; Xia, X.; Xu, Y.; Sun, J.; Gu, J.; Sun, H.; Lei, H.; Chen, F.; Jiang, J.; et al. Comparative Analysis of Leaf Trichomes, Epidermal Wax And Defense Enzymes Activities in Response to Puccinia Horiana in Chrysanthemum and Ajania Species. Hortic. Plant J. 2020, 6, 191–198. [Google Scholar] [CrossRef]
- Deng, Q.; Wu, J.; Chen, J.; Shen, W. Physiological Mechanisms of Improved Smut Resistance in Sugarcane Through Application of Silicon. Front. Plant Sci. 2020, 11, 568130. [Google Scholar] [CrossRef]
- Jiang, X.; Lin, H.; Lin, M.; Chen, Y.; Wang, H.; Lin, Y.; Shi, J.; Lin, Y. A Novel Chitosan Formulation Treatment Induces Disease Resistance of Harvested Litchi Fruit to Peronophythora Litchii in Association with ROS Metabolism. Food Chem. 2018, 266, 299–308. [Google Scholar] [CrossRef] [PubMed]
- Duan, Y.; Ma, S.; Chen, X.; Shen, X.; Yin, C.; Mao, Z. Transcriptome Changes Associated with Apple (Malus domestica) Root Defense Response after Fusarium proliferatum f. Sp. malus domestica Infection. BMC Genomics 2022, 23, 484. [Google Scholar] [CrossRef] [PubMed]
- Wang, F.; Yang, S.; Wang, Y.; Zhang, B.; Zhang, F.; Xue, H.; Jiang, Q.; Ma, Y. Overexpression of Chitinase Gene Enhances Resistance to Colletotrichum gloeosporioides and Alternaria alternata in Apple (Malus × domestica). Sci. Hortic. 2021, 277, 109779. [Google Scholar] [CrossRef]
- Kozomara, A.; Birgaoanu, M.; Griffiths-Jones, S. MiRBase: From MicroRNA Sequences to Function. Nucleic Acids Res. 2019, 47, D155–D162. [Google Scholar] [CrossRef]
- Guo, Z.; Kuang, Z.; Zhao, Y.; Deng, Y.; He, H.; Wan, M.; Tao, Y.; Wang, D.; Wei, J.; Li, L.; et al. PmiREN2.0: From Data Annotation to Functional Exploration of Plant MicroRNAs. Nucleic Acids Res. 2022, 50, D1475–D1482. [Google Scholar] [CrossRef]
- Kumar, S.; Stecher, G.; Li, M.; Knyaz, C.; Tamura, K. MEGA X: Molecular Evolutionary Genetics Analysis across Computing Platforms. Mol. Biol. Evol. 2018, 35, 1547–1549. [Google Scholar] [CrossRef]
- Subramanian, B.; Gao, S.; Lercher, M.J.; Hu, S.; Chen, W.-H. Evolview v3: A Webserver for Visualization, Annotation, and Management of Phylogenetic Trees. Nucleic Acids Res. 2019, 47, W270–W275. [Google Scholar] [CrossRef]
- Chen, K.; Tang, X.; Song, M.; Guo, Y.; Liu, L.; Xue, H.; Dai, H.; Zhang, Z.; Chen, K.; Tang, X.; et al. Functional Identification of MdMYB5 Involved in Secondary Cell Wall Formation in Apple. Fruit Res. 2021, 1, 6. [Google Scholar] [CrossRef]
- Dai, H.; Li, W.; Han, G.; Yang, Y.; Ma, Y.; Li, H.; Zhang, Z. Development of a Seedling Clone with High Regeneration Capacity and Susceptibility to Agrobacterium in Apple. Sci. Hortic. 2013, 164, 202–208. [Google Scholar] [CrossRef]
- Li, Y.-Y.; Mao, K.; Zhao, C.; Zhao, X.-Y.; Zhang, H.-L.; Shu, H.-R.; Hao, Y.-J. MdCOP1 Ubiquitin E3 Ligases Interact with MdMYB1 to Regulate Light-Induced Anthocyanin Biosynthesis and Red Fruit Coloration in Apple. Plant Physiol. 2012, 160, 1011–1022. [Google Scholar] [CrossRef]
- Yang, S.; Zhang, F.; Wang, Y.; Xue, H.; Jiang, Q.; Shi, J.; Dai, H.; Zhang, Z.; Li, L.; He, P.; et al. MdHAL3, a 4′-Phosphopantothenoylcysteine Decarboxylase, Is Involved in the Salt Tolerance of Autotetraploid Apple. Plant Cell Rep. 2020, 39, 1479–1491. [Google Scholar] [CrossRef] [PubMed]
- Chen, K.; Guo, Y.; Song, M.; Liu, L.; Xue, H.; Dai, H.; Zhang, Z. Dual Role of MdSND1 in the Biosynthesis of Lignin and in Signal Transduction in Response to Salt and Osmotic Stress in Apple. Hortic. Res. 2020, 7, 204. [Google Scholar] [CrossRef] [PubMed]
- Jiang, N.; Li, Z.; Yang, J.; Zu, Y. Responses of Antioxidant Enzymes and Key Resistant Substances in Perennial Ryegrass (Lolium perenne L.) to Cadmium and Arsenic Stresses. BMC Plant Biol. 2022, 22, 145. [Google Scholar] [CrossRef] [PubMed]







| Type | miRBase Name | miRBase ID | PmiREN Name |
|---|---|---|---|
| Precursors | mdm-MIR390a | MI0023073 | Mdo-MIR390e |
| mdm-MIR390b | MI0023074 | Mdo-MIR390d | |
| mdm-MIR390c | MI0023075 | Mdo-MIR390c | |
| mdm-MIR390d | MI0023076 | Mdo-MIR390f | |
| mdm-MIR390e | MI0023077 | Mdo-MIR390a | |
| mdm-MIR390f | MI0023078 | Mdo-MIR390b | |
| Mature miRNAs | mdm-miR390a | MIMAT0025969 | Mdo-miR390e |
| mdm-miR390b | MIMAT0025970 | Mdo-miR390d | |
| mdm-miR390c | MIMAT0025971 | Mdo-miR390c | |
| mdm-miR390d | MIMAT0025972 | Mdo-miR390f | |
| mdm-miR390e | MIMAT0025973 | Mdo-miR390a | |
| mdm-miR390f | MIMAT0025974 | Mdo-miR390b |
Publisher’s Note: MDPI stays neutral with regard to jurisdictional claims in published maps and institutional affiliations. |
© 2022 by the authors. Licensee MDPI, Basel, Switzerland. This article is an open access article distributed under the terms and conditions of the Creative Commons Attribution (CC BY) license (https://creativecommons.org/licenses/by/4.0/).
Share and Cite
Shi, J.; Jiang, Q.; Zhang, S.; Dai, X.; Wang, F.; Ma, Y. MIR390 Is Involved in Regulating Anthracnose Resistance in Apple. Plants 2022, 11, 3299. https://doi.org/10.3390/plants11233299
Shi J, Jiang Q, Zhang S, Dai X, Wang F, Ma Y. MIR390 Is Involved in Regulating Anthracnose Resistance in Apple. Plants. 2022; 11(23):3299. https://doi.org/10.3390/plants11233299
Chicago/Turabian StyleShi, Jiajun, Qiu Jiang, Shuyuan Zhang, Xinyu Dai, Feng Wang, and Yue Ma. 2022. "MIR390 Is Involved in Regulating Anthracnose Resistance in Apple" Plants 11, no. 23: 3299. https://doi.org/10.3390/plants11233299
APA StyleShi, J., Jiang, Q., Zhang, S., Dai, X., Wang, F., & Ma, Y. (2022). MIR390 Is Involved in Regulating Anthracnose Resistance in Apple. Plants, 11(23), 3299. https://doi.org/10.3390/plants11233299

