Co-Responses of Soil Organic Carbon Pool and Biogeochemistry to Different Long-Term Fertilization Practices in Paddy Fields
Abstract
1. Introduction
2. Materials and Methods
2.1. Study Area and Land Management Practice
2.2. Soil Collection
2.3. Analytical
2.3.1. SOC Fractions
2.3.2. Soil Physical and Chemical Parameters
2.3.3. Emission of CH4 and N2O
2.4. Statistical Analysis
3. Results
3.1. SOC Fractions
3.2. Physicochemical Soil Properties
3.3. GHG Emission
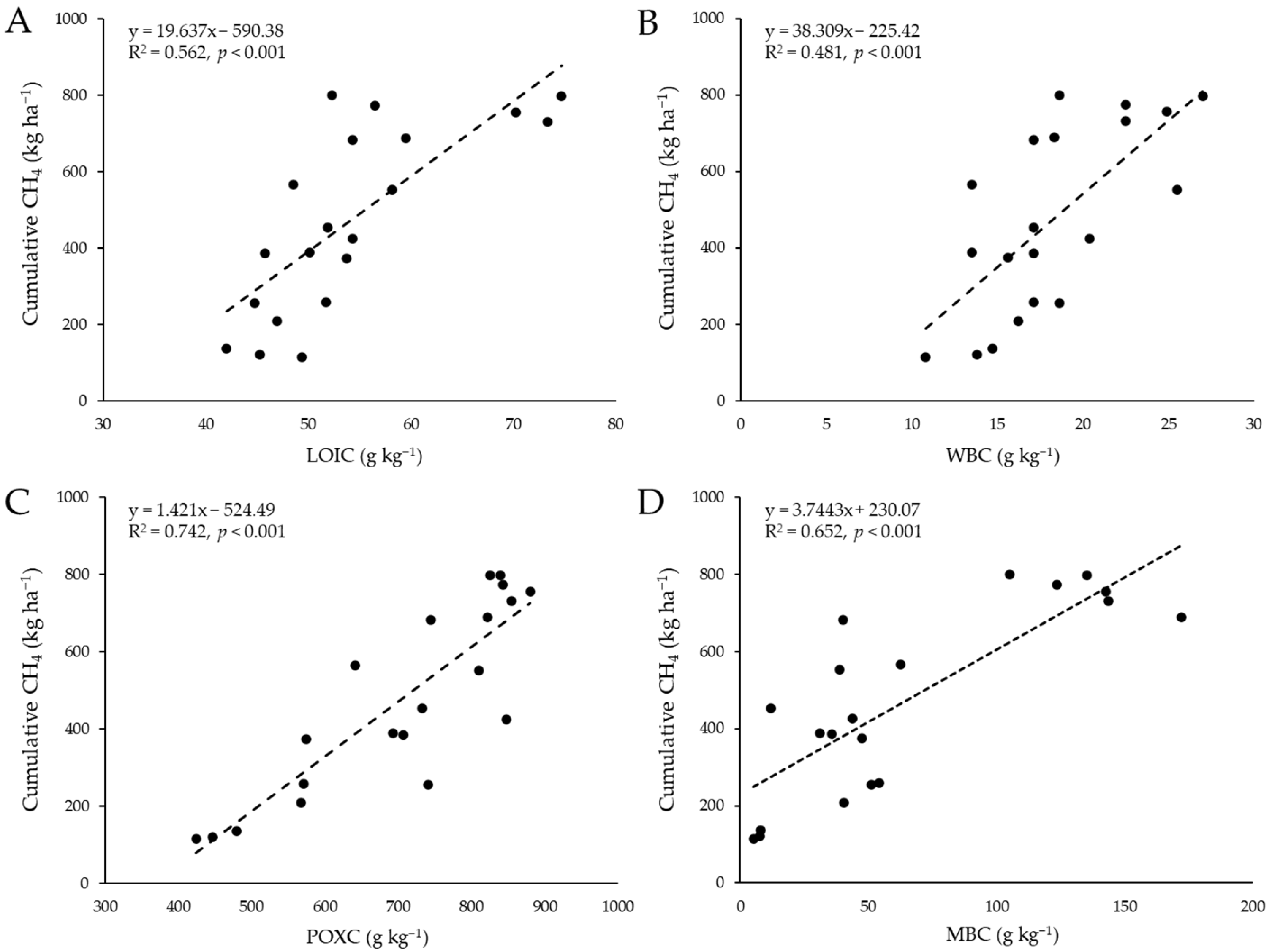
3.4. Relationships of SOC Fractions with Soil Prameters and GHGs
3.5. Interpretation of PCA
4. Discussion
5. Conclusions
Supplementary Materials
Author Contributions
Funding
Data Availability Statement
Acknowledgments
Conflicts of Interest
References
- Wu, L.; Jiang, Y.; Zhao, F.; He, X.; Liu, H.; Yu, K. Increased Organic Fertilizer Application and Reduced Chemical Fertilizer Application Affect the Soil Properties and Bacterial Communities of Grape Rhizosphere Soil. Sci. Rep. 2020, 10, 9568. [Google Scholar] [CrossRef] [PubMed]
- Kim, Y.-N.; Cho, Y.-S.; Lee, J.-H.; Seo, H.-R.; Kim, B.-H.; Lee, D.-B.; Lee, Y.B.; Kim, K.-H. Short-Term Responses of Soil Organic Carbon Pool and Crop Performance to Different Fertilizer Applications. Agronomy 2022, 12, 1106. [Google Scholar] [CrossRef]
- Clark, S. Organic Farming and Climate Change: The Need for Innovation. Sustainability 2020, 12, 7012. [Google Scholar] [CrossRef]
- Xu, C.; Wang, J.; Wu, D.; Li, C.; Wang, L.; Ji, C.; Zhang, Y.; Ai, Y. Optimizing Organic Amendment Applications to Enhance Carbon Sequestration and Economic Benefits in an Infertile Sandy Soil. J. Environ. Manag. 2022, 303, 114129. [Google Scholar] [CrossRef]
- Kelly, C.; Fonte, S.J.; Shrestha, A.; Daane, K.M.; Mitchell, J.P. Winter Cover Crops and No-till Promote Soil Macrofauna Communities in Irrigated, Mediterranean Cropland in California, USA. Appl. Soil Ecol. 2021, 166, 104068. [Google Scholar] [CrossRef]
- Kumar, R.; Mishra, J.S.; Rao, K.K.; Mondal, S.; Hazra, K.K.; Choudhary, J.S.; Hans, H.; Bhatt, B.P. Crop Rotation and Tillage Management Options for Sustainable Intensification of Rice-Fallow Agro-Ecosystem in Eastern India. Sci. Rep. 2020, 10, 11146. [Google Scholar] [CrossRef]
- Franzluebbers, A.J. Soil Organic Matter Stratification Ratio as an Indicator of Soil Quality. Soil Tillage Res. 2002, 66, 95–106. [Google Scholar] [CrossRef]
- Kim, Y.-N.; Lee, K.-A.; Lee, M.; Kim, K.-R. Synergetic Effect of Complex Soil Amendments to Improve Soil Quality and Alleviate Toxicity of Heavy Metal(Loid)s in Contaminated Arable Soil: Toward Securing Crop Food Safety and Productivity. Environ. Sci. Pollut. Res. 2022, 29, 87555–87567. [Google Scholar] [CrossRef]
- Deb, S.; Bhadoria, P.B.S.; Mandal, B.; Rakshit, A.; Singh, H.B. Soil Organic Carbon: Towards Better Soil Health, Productivity and Climate Change Mitigation. Clim. Change Environ. Sustain. 2015, 3, 26. [Google Scholar] [CrossRef]
- van Zwieten, L. The Long-Term Role of Organic Amendments in Addressing Soil Constraints to Production. Nutr. Cycl. Agroecosystems 2018, 111, 99–102. [Google Scholar] [CrossRef]
- Bongiorno, G.; Bünemann, E.K.; Oguejiofor, C.U.; Meier, J.; Gort, G.; Comans, R.; Mäder, P.; Brussaard, L.; de Goede, R. Sensitivity of Labile Carbon Fractions to Tillage and Organic Matter Management and Their Potential as Comprehensive Soil Quality Indicators across Pedoclimatic Conditions in Europe. Ecol. Indic. 2019, 99, 38–50. [Google Scholar] [CrossRef]
- Luo, G.; Li, L.; Friman, V.-P.; Guo, J.; Guo, S.; Shen, Q.; Ling, N. Organic Amendments Increase Crop Yields by Improving Microbe-Mediated Soil Functioning of Agroecosystems: A Meta-Analysis. Soil Biol. Biochem. 2018, 124, 105–115. [Google Scholar] [CrossRef]
- Ge, G.F.; Li, Z.J.; Zhang, J.; Wang, L.G.; Xu, M.G.; Zhang, J.B.; Wang, J.K.; Xie, X.L.; Liang, Y.C. Geographical and Climatic Differences in Long-Term Effect of Organic and Inorganic Amendments on Soil Enzymatic Activities and Respiration in Field Experimental Stations of China. Ecol. Complex. 2009, 6, 421–431. [Google Scholar] [CrossRef]
- Li, J.; Wen, Y.; Li, X.; Li, Y.; Yang, X.; Lin, Z.; Song, Z.; Cooper, J.M.; Zhao, B. Soil Labile Organic Carbon Fractions and Soil Organic Carbon Stocks as Affected by Long-Term Organic and Mineral Fertilization Regimes in the North China Plain. Soil Tillage Res. 2018, 175, 281–290. [Google Scholar] [CrossRef]
- Kaye, J.P.; Hart, S.C. Competition for Nitrogen between Plants and Soil Microorganisms. Trends Ecol. Evol. 1997, 12, 139–143. [Google Scholar] [CrossRef]
- Culman, S.W.; Snapp, S.S.; Green, J.M.; Gentry, L.E. Short- and Long-Term Labile Soil Carbon and Nitrogen Dynamics Reflect Management and Predict Corn Agronomic Performance. Agron. J. 2013, 105, 493–502. [Google Scholar] [CrossRef]
- Hurisso, T.T.; Culman, S.W.; Horwath, W.R.; Wade, J.; Cass, D.; Beniston, J.W.; Bowles, T.M.; Grandy, A.S.; Franzluebbers, A.J.; Schipanski, M.E.; et al. Comparison of Permanganate-Oxidizable Carbon and Mineralizable Carbon for Assessment of Organic Matter Stabilization and Mineralization. Soil Sci. Soc. Am. J. 2016, 80, 1352–1364. [Google Scholar] [CrossRef]
- Mirsky, S.B.; Lanyon, L.E.; Needelman, B.A. Evaluating Soil Management Using Particulate and Chemically Labile Soil Organic Matter Fractions. Soil Sci. Soc. Am. J. 2008, 72, 180–185. [Google Scholar] [CrossRef]
- Gong, W.; Yan, X.; Wang, J.; Hu, T.; Gong, Y. Long-Term Manuring and Fertilization Effects on Soil Organic Carbon Pools under a Wheat–Maize Cropping System in North China Plain. Plant Soil 2009, 314, 67–76. [Google Scholar] [CrossRef]
- Haynes, R.J. Labile Organic Matter Fractions as Central components of the Quality of Agricultural Soils: An overview. Adv. Agron. 2005, 5, 221–268. [Google Scholar]
- Weil, R.R.; Islam, K.R.; Stine, M.A.; Gruver, J.B.; Samson-Liebig, S.E. Estimating Active Carbon for Soil Quality Assessment: A Simplified Method for Laboratory and Field Use. Am. J. Altern. Agric. 2003, 18, 3–17. [Google Scholar]
- Kumar, U.; Kumar Nayak, A.; Shahid, M.; Gupta, V.V.S.R.; Panneerselvam, P.; Mohanty, S.; Kaviraj, M.; Kumar, A.; Chatterjee, D.; Lal, B.; et al. Continuous Application of Inorganic and Organic Fertilizers over 47 Years in Paddy Soil Alters the Bacterial Community Structure and Its Influence on Rice Production. Agric. Ecosyst. Environ. 2018, 262, 65–75. [Google Scholar] [CrossRef]
- Haque, M.M.; Biswas, J.C.; Islam, M.R.; Islam, A.; Kabir, M.S. Effect of Long-Term Chemical and Organic Fertilization on Rice Productivity, Nutrient Use-Efficiency, and Balance under a Rice-Fallow-Rice System. J. Plant Nutr. 2019, 42, 2901–2914. [Google Scholar] [CrossRef]
- Mi, W.; Wu, L.; Brookes, P.C.; Liu, Y.; Zhang, X.; Yang, X. Changes in Soil Organic Carbon Fractions under Integrated Management Systems in a Low-Productivity Paddy Soil given Different Organic Amendments and Chemical Fertilizers. Soil Tillage Res. 2016, 163, 64–70. [Google Scholar] [CrossRef]
- Nguyen, T.T.; Sasaki, Y.; Katahira, M.; Singh, D. Cow Manure Application Cuts Chemical Phosphorus Fertilizer Need in Silage Rice in Japan. Agronomy 2021, 11, 1483. [Google Scholar] [CrossRef]
- Win, E.P.; Win, K.K.; Bellingrath-Kimura, S.D.; Oo, A.Z. Influence of Rice Varieties, Organic Manure and Water Management on Greenhouse Gas Emissions from Paddy Rice Soils. PLoS ONE 2021, 16, e0253755. [Google Scholar] [CrossRef]
- Heiri, O.; Lotter, A.F.; Lemcke, G. Loss on Ignition as a Method for Estimating Organic and Carbonate Content in Sediments: Reproducibility and Comparability of Results. J. Paleolimnol. 2001, 25, 101–110. [Google Scholar] [CrossRef]
- Nelson, D.W.; Sommers, L.E. Total Carbon, Organic Carbon, and Organic Matter. In Methods Soil Analsis: Part 3 Chemical Methods; Sparks, D.L., Page, A.L., Helmke, P.A., Loeppert, R.H., Soltanpour, P.N., Tabatabai, M.A., Johnston, C.T., Summer, M.E., Eds.; Soil Science Society of America–American Society of Agronomy: Madison, WI, USA, 1996; Chapter 34; pp. 961–1010. [Google Scholar]
- Vance, E.D.; Brookes, P.C.; Jenkinson, D.S. An Extraction Method for Measuring Soil Microbial Biomass C. Soil Biol. Biochem. 1987, 19, 703–707. [Google Scholar] [CrossRef]
- NIAST. Methods of Analysis of Soil and Plant; RDA: Suwon, Republic of Korea, 2000. [Google Scholar]
- Miller, W.P.; Miller, D.M. A Micro-pipette Method for Soil Mechanical Analysis. Commun. Soil Sci. Plant Anal. 1987, 18, 1–15. [Google Scholar] [CrossRef]
- Mulvaney, R.L. Nitrogen-Inorganic Forms. In SSSA Book Series; Sparks, D.L., Page, A.L., Helmke, P.A., Loeppert, R.H., Soltanpour, P.N., Tabatabai, M.A., Johnston, C.T., Sumner, M.E., Eds.; Soil Science Society of America–American Society of Agronomy: Madison, WI, USA, 2018; pp. 1123–1184. ISBN 978-0-89118-866-7. [Google Scholar]
- Bray, R.H.; Kurtz, L.T. Determination of Total, Organic, and Available Forms of Phosphorus in Soils. Soil Sci. 1945, 59, 39–46. [Google Scholar] [CrossRef]
- NAAS. Fertilization Standard on Crops. National Academy of Agricultural Science; Rural Development Administration: Suwon, Republic of Korea, 2010. [Google Scholar]
- Ferreira, C.S.S.; Seifollahi-Aghmiuni, S.; Destouni, G.; Ghajarnia, N.; Kalantari, Z. Soil Degradation in the European Mediterranean Region: Processes, Status and Consequences. Sci. Total Environ. 2022, 805, 150106. [Google Scholar] [CrossRef] [PubMed]
- Ding, X.; Yuan, Y.; Liang, Y.; Li, L.; Han, X. Impact of Long-Term Application of Manure, Crop Residue, and Mineral Fertilizer on Organic Carbon Pools and Crop Yields in a Mollisol. J. Soils Sediments 2014, 14, 854–859. [Google Scholar] [CrossRef]
- Brar, B.S.; Singh, K.; Dheri, G.S. Carbon Sequestration and Soil Carbon Pools in a Rice–Wheat Cropping System: Effect of Long-Term Use of Inorganic Fertilizers and Organic Manure. Soil Tillage Res. 2013, 128, 30–36. [Google Scholar] [CrossRef]
- Yan, X.; Zhou, H.; Zhu, Q.H.; Wang, X.F.; Zhang, Y.Z.; Yu, X.C.; Peng, X. Carbon Sequestration Efficiency in Paddy Soil and Upland Soil under Long-Term Fertilization in Southern China. Soil Tillage Res. 2013, 130, 42–51. [Google Scholar] [CrossRef]
- Manna, M.C.; Swarup, A.; Wanjari, R.H.; Mishra, B.; Shahi, D.K. Long-Term Fertilization, Manure and Liming Effects on Soil Organic Matter and Crop Yields. Soil Tillage Res. 2007, 94, 397–409. [Google Scholar] [CrossRef]
- Kumar, U.; Shahid, M.; Tripathi, R.; Mohanty, S.; Kumar, A.; Bhattacharyya, P.; Lal, B.; Gautam, P.; Raja, R.; Panda, B.B.; et al. Variation of Functional Diversity of Soil Microbial Community in Sub-Humid Tropical Rice-Rice Cropping System under Long-Term Organic and Inorganic Fertilization. Ecol. Indic. 2017, 73, 536–543. [Google Scholar] [CrossRef]
- Xia, Y.; Chen, X.; Zheng, S.; Gunina, A.; Ning, Z.; Hu, Y.; Tang, H.; Rui, Y.; Zhang, Z.; He, H.; et al. Manure Application Accumulates More Nitrogen in Paddy Soils than Rice Straw but Less from Fungal Necromass. Agric. Ecosyst. Environ. 2021, 319, 107575. [Google Scholar] [CrossRef]
- Yan, D.; Wang, D.; Yang, L. Long-Term Effect of Chemical Fertilizer, Straw, and Manure on Labile Organic Matter Fractions in a Paddy Soil. Biol. Fertil. Soils 2007, 44, 93–101. [Google Scholar] [CrossRef]
- Su, W.; Lu, J.; Wang, W.; Li, X.; Ren, T.; Cong, R. Influence of Rice Straw Mulching on Seed Yield and Nitrogen Use Efficiency of Winter Oilseed Rape (Brassica Napus L.) in Intensive Rice–Oilseed Rape Cropping System. Field Crops Res. 2014, 159, 53–61. [Google Scholar] [CrossRef]
- Liu, S.; Huang, D.; Chen, A.; Wei, W.; Brookes, P.C.; Li, Y.; Wu, J. Differential Responses of Crop Yields and Soil Organic Carbon Stock to Fertilization and Rice Straw Incorporation in Three Cropping Systems in the Subtropics. Agric. Ecosyst. Environ. 2014, 184, 51–58. [Google Scholar] [CrossRef]
- Wang, W.; Lai, D.Y.F.; Wang, C.; Pan, T.; Zeng, C. Effects of Rice Straw Incorporation on Active Soil Organic Carbon Pools in a Subtropical Paddy Field. Soil Tillage Res. 2015, 152, 8–16. [Google Scholar] [CrossRef]
- Mohamed, I.; Bassouny, M.A.; Abbas, M.H.H.; Ming, Z.; Cougui, C.; Fahad, S.; Saud, S.; Khan Khattak, J.Z.; Ali, S.; Salem, H.M.S.; et al. Rice Straw Application with Different Water Regimes Stimulate Enzymes Activity and Improve Aggregates and Their Organic Carbon Contents in a Paddy Soil. Chemosphere 2021, 274, 129971. [Google Scholar] [CrossRef] [PubMed]
- Lee, J.H.; Lee, J.G.; Jeong, S.T.; Gwon, H.S.; Kim, P.J.; Kim, G.W. Straw Recycling in Rice Paddy: Trade-off between Greenhouse Gas Emission and Soil Carbon Stock Increase. Soil Tillage Res. 2020, 199, 104598. [Google Scholar] [CrossRef]
- Wang, H.J.; Shi, X.Z.; Yu, D.S.; Weindorf, D.C.; Huang, B.; Sun, W.X.; Ritsema, C.J.; Milne, E. Factors Determining Soil Nutrient Distribution in a Small-Scaled Watershed in the Purple Soil Region of Sichuan Province, China. Soil Tillage Res. 2009, 105, 300–306. [Google Scholar] [CrossRef]
- Arunrat, N.; Sereenonchai, S.; Kongsurakan, P.; Hatano, R. Assessing Soil Organic Carbon, Soil Nutrients and Soil Erodibility under Terraced Paddy Fields and Upland Rice in Northern Thailand. Agronomy 2022, 12, 537. [Google Scholar] [CrossRef]
- Hontoria, C.; Saa, A.; Rodríguez-Murillo, J.C. Relationships Between Soil Organic Carbon and Site Characteristics in Peninsular Spain. Soil Sci. Soc. Am. J. 1999, 63, 614–621. [Google Scholar] [CrossRef]
- Wang, J.L.; Liu, K.L.; Zhao, X.Q.; Zhang, H.Q.; Li, D.; Li, J.J.; Shen, R.F. Balanced Fertilization over Four Decades Has Sustained Soil Microbial Communities and Improved Soil Fertility and Rice Productivity in Red Paddy Soil. Sci. Total Environ. 2021, 793, 148664. [Google Scholar] [CrossRef]
- IPCC. Sixth Assessment Report (AR6), Climate Change 2022: Mitigation of Climate Change; Working Group III; IPCC: London, UK, 2022. [Google Scholar]
- Shcherbak, I.; Millar, N.; Robertson, G.P. Global Metaanalysis of the Nonlinear Response of Soil Nitrous Oxide (N2O) Emissions to Fertilizer Nitrogen. Proc. Natl. Acad. Sci. USA 2014, 111, 9199–9204. [Google Scholar] [CrossRef]
- Qasim, W.; Xia, L.; Lin, S.; Wan, L.; Zhao, Y.; Butterbach-Bahl, K. Global Greenhouse Vegetable Production Systems Are Hotspots of Soil N2O Emissions and Nitrogen Leaching: A Meta-Analysis. Environ. Pollut. 2021, 272, 116372. [Google Scholar] [CrossRef]
- Bhattacharyya, P.; Roy, K.S.; Neogi, S.; Adhya, T.K.; Rao, K.S.; Manna, M.C. Effects of Rice Straw and Nitrogen Fertilization on Greenhouse Gas Emissions and Carbon Storage in Tropical Flooded Soil Planted with Rice. Soil Tillage Res. 2012, 124, 119–130. [Google Scholar] [CrossRef]




| Site | Area (ha) | GPS Coordinates | Type | Basal Fertilizer | Topdressing Fertilizer |
|---|---|---|---|---|---|
| C1 | 1.155 | 36°32′47″ N 126°41′55″ E | Conventional | NPK | NK |
| C2 | 1.504 | 36°32′59″ N 126°42′07″ E | Conventional | NPK + RS | NK |
| O1 | 1.480 | 36°33′02″ N 126°42′02″ E | Organic | OCM + WS | MC |
| O2 | 2.010 | 36°32′44″ N 126°41′39″ E | Organic | OCM + WS | MC |
| O3 | 2.990 | 36°32′45″ N 126°41′54″ E | Organic | CM + WS | MC |
| O4 | 2.110 | 36°32′46″ N 126°41′48″ E | Organic | CM + WS | MC |
| O5 | 2.810 | 36°32′44″ N 126°41′45″ E | Organic | CM + RS | MC |
| O6 | 3.040 | 36°32′39″ N 126°41′50″ E | Organic | CM + RS | MC |
| Site | LOIC | WBC | POXC | PMC | MBC |
|---|---|---|---|---|---|
| (g kg−1) | (mg kg−1) | ||||
| C1 | 45.5 c | 13.2 c | 663 cd | 213 c | 45.6 b |
| C2 | 52.4 bc | 21.5 ab | 799 ab | 76.6 d | 44.6 b |
| O1 | 45.6 c | 13.1 c | 450 f | 236 bc | 6.90 b |
| O2 | 50.7 bc | 17.1 bc | 728 bc | 265 ab | 29.2 b |
| O3 | 60.0 b | 18.9 b | 630 de | 243 bc | 6.40 b |
| O4 | 50.8 bc | 16.3 bc | 571 e | 277 ab | 47.3 b |
| O5 | 72.7 a | 24.8 a | 853 a | 269 ab | 141 a |
| O6 | 56.1 bc | 19.8 ab | 835 a | 313 a | 133 a |
| Site | Bulk Density | pH1:5w | EC | T-N | NH4 | NO3 | Av. P2O5 | CEC | Ex. Ca | Ex. K | Ex. Mg | Clay | Silt | Sand |
|---|---|---|---|---|---|---|---|---|---|---|---|---|---|---|
| (dS m−1) | (g kg−1) | (mg kg−1) | (g kg−1) | (mg kg−1) | (cmolc kg−1) | (cmolc kg−1) | (cmolc kg−1) | (cmolc kg−1) | (%) | (%) | (%) | |||
| C1 | 1.53 a | 7.13 a | 0.100 b | 1.10 c | 23.8 cd | 3.09 e | 16.4 d | 15.1 b | 8.63 b | 0.43 d | 3.01 b | 7.37 a | 78.2 b | 14.4 f |
| C2 | 1.57 a | 6.27 d | 0.100 b | 1.93 a | 82.8 b | 0.878 f | 24.6 d | 12.6 b | 7.13 d | 0.30 e | 1.68 f | 3.07 bc | 58.1 d | 38.9 c |
| O1 | 1.73 a | 6.20 d | 0.233 a | 1.20 bc | 38.4 c | 3.13 e | 64.8 b | 11.5 b | 5.03 g | 0.83 b | 1.52 g | 2.83 bc | 57.4 d | 39.7 c |
| O2 | 1.63 a | 6.53 c | 0.200 a | 1.13 bc | 17.4 cd | 2.57 e | 94.5 a | 11.5 b | 4.80 h | 0.93 b | 1.47 h | 4.47 abc | 40.2 f | 55.3 a |
| O3 | 1.73 a | 6.47 c | 0.200 a | 1.50 b | 13.7 cd | 8.99 a | 35.4 cd | 15.2 b | 6.80 e | 0.60 c | 2.35 c | 4.77 abc | 76.7 bc | 18.6 e |
| O4 | 1.73 a | 6.50 c | 0.167 ab | 1.33 bc | 13.4 cd | 8.05 b | 54.9 bc | 14.2 b | 5.73 f | 0.90 b | 2.00 d | 4.43 abc | 74.0 c | 21.6 d |
| O5 | 1.73 a | 6.80 b | 0.100 b | 2.03 a | 140.8 a | 6.69 c | 60.8 bc | 21.6 a | 10.3 a | 1.23 a | 3.83 a | 5.70 ab | 82.9 a | 11.4 f |
| O6 | 1.73 a | 7.00 a | 0.200 a | 1.97 a | 11.0 d | 4.81 d | 106 a | 10.4 b | 7.43 c | 0.53 cd | 1.90 e | 1.97 c | 53.6 e | 44.5 b |
| Optimum range † | – | 5.5–6.5 | ≤2.0 | – | – | – | 80–120 | 10–15 | 5.0–6.0 | 0.25–0.30 | 1.5–2.0 | – | – | – |
| Site | CH4 | N2O |
|---|---|---|
| (kg ha−1) | (kg ha−1) | |
| C1 | 541 b | −1.23 ab |
| C2 | 411 bc | −3.49 c |
| O1 | 91 d | −2.01 bc |
| O2 | 507 b | −3.12 c |
| O3 | 903 a | −1.69 bc |
| O4 | 280 cd | −1.06 ab |
| O5 | 762 a | 0.28 a |
| O6 | 754 a | −1.65 bc |
Publisher’s Note: MDPI stays neutral with regard to jurisdictional claims in published maps and institutional affiliations. |
© 2022 by the authors. Licensee MDPI, Basel, Switzerland. This article is an open access article distributed under the terms and conditions of the Creative Commons Attribution (CC BY) license (https://creativecommons.org/licenses/by/4.0/).
Share and Cite
Kim, Y.-N.; Lee, J.-H.; Seo, H.-R.; Kim, J.-W.; Cho, Y.-S.; Lee, D.; Kim, B.-H.; Yoon, J.-H.; Choe, H.; Lee, Y.B.; et al. Co-Responses of Soil Organic Carbon Pool and Biogeochemistry to Different Long-Term Fertilization Practices in Paddy Fields. Plants 2022, 11, 3195. https://doi.org/10.3390/plants11233195
Kim Y-N, Lee J-H, Seo H-R, Kim J-W, Cho Y-S, Lee D, Kim B-H, Yoon J-H, Choe H, Lee YB, et al. Co-Responses of Soil Organic Carbon Pool and Biogeochemistry to Different Long-Term Fertilization Practices in Paddy Fields. Plants. 2022; 11(23):3195. https://doi.org/10.3390/plants11233195
Chicago/Turabian StyleKim, Young-Nam, Ji-Hyun Lee, Han-Ryul Seo, Jeong-Woo Kim, Young-Sang Cho, Danbi Lee, Bo-Hyun Kim, Jung-Hwan Yoon, Hyeonji Choe, Yong Bok Lee, and et al. 2022. "Co-Responses of Soil Organic Carbon Pool and Biogeochemistry to Different Long-Term Fertilization Practices in Paddy Fields" Plants 11, no. 23: 3195. https://doi.org/10.3390/plants11233195
APA StyleKim, Y.-N., Lee, J.-H., Seo, H.-R., Kim, J.-W., Cho, Y.-S., Lee, D., Kim, B.-H., Yoon, J.-H., Choe, H., Lee, Y. B., & Kim, K.-H. (2022). Co-Responses of Soil Organic Carbon Pool and Biogeochemistry to Different Long-Term Fertilization Practices in Paddy Fields. Plants, 11(23), 3195. https://doi.org/10.3390/plants11233195

