Effect of Rhizome Severing on Survival and Growth of Rhizomatous Herb Phragmites communis Is Regulated by Sand Burial Depth
Abstract
1. Introduction
2. Results
2.1. Ramet Survival of Various Clonal Fragment Sizes under Different sand Burial Depths
2.2. Effects of Sand Burial Depth and Clonal Fragment Size on Biomass Pattern
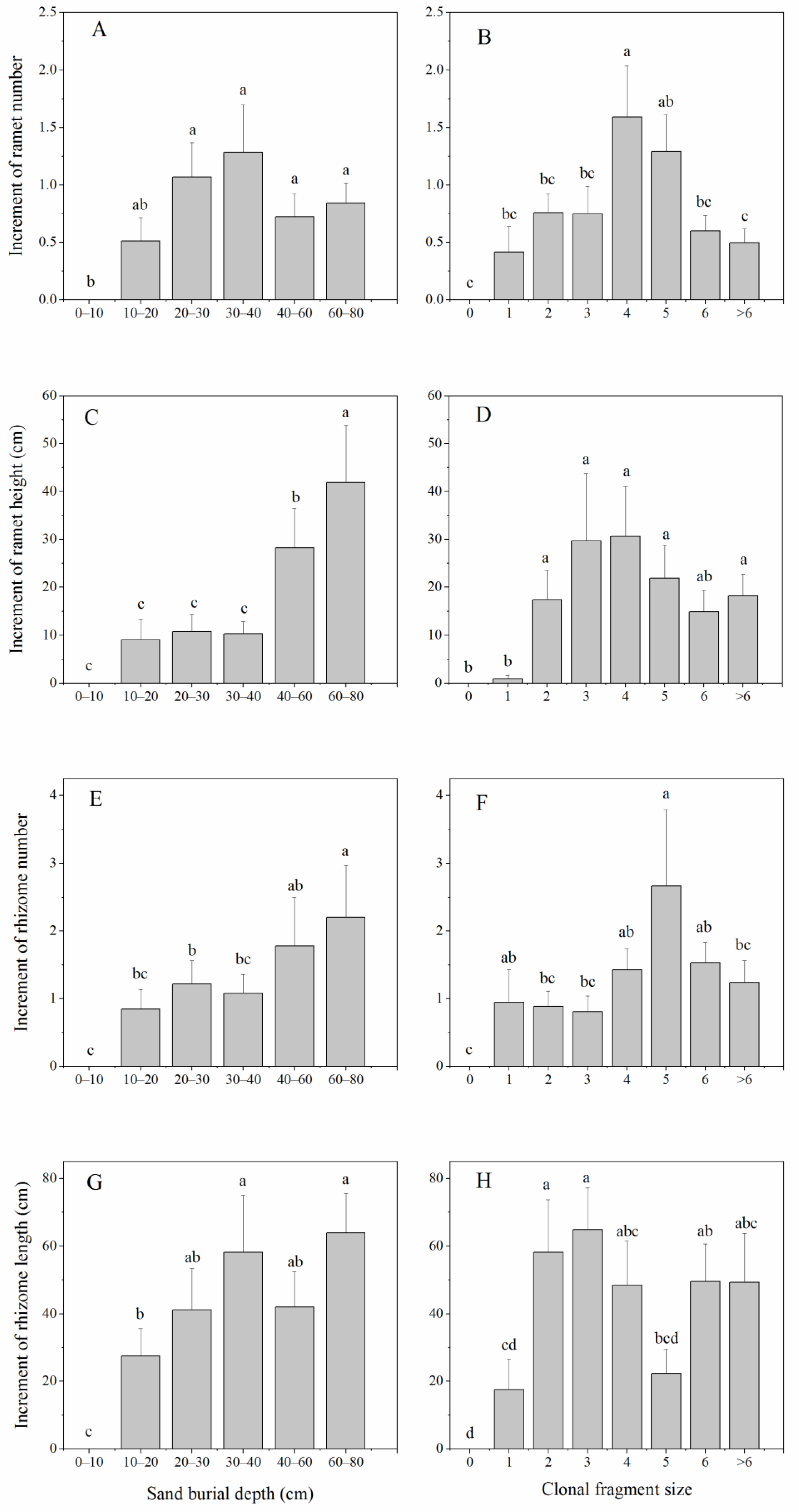
2.3. Effects of Sand Burial Depth and Clonal Fragment Size on Clonal Traits
3. Discussion
3.1. Effects of Clonal Fragment Size and Sand Burial Depth on Ramet Survival
3.2. Effects of Sand Burial Depth and Clonal Fragment Size on Biomass Pattern and Ramet Production and Growth
3.3. Effects of Sand Burial Depth and Clonal Fragment Size on the Population Expansion Potential
4. Materials and Methods
4.1. Study Site
4.2. Target Species
4.3. Experimental Design
4.4. Investigation and Sampling
4.5. Statistical Analysis
5. Conclusions
Author Contributions
Funding
Data Availability Statement
Acknowledgments
Conflicts of Interest
References
- Herben, T.; Klimešová, J. Evolution of clonal growth forms in angiosperms. New Phytol. 2020, 225, 999–1010. [Google Scholar] [CrossRef] [PubMed]
- Klimeš, L.; Klimešová, J.; Hendriks, R.; van Groenendael, J. Clonal plant architecture, A comparative analysis of form and function. In The Ecology and Evolution of Clonal Plants; de Kroon, H., van Groenendael, J., Eds.; Backhuys Publishers: Leiden, The Netherlands, 1997; pp. 1–29. [Google Scholar]
- Wang, J.; Xu, T.; Wang, Y.; Li, G.; Abdullah, I.; Zhong, Z.; Liu, J.; Zhu, W.; Wang, L.; Wang, D.; et al. A meta-analysis of effects of physiological integration in clonal plants under homogeneous vs. Heterogeneous environments. Funct. Ecol. 2021, 35, 578–589. [Google Scholar] [CrossRef]
- Jónsdóttir, I.S.; Watson, M.A. Ecological significance of physiological integration in plants. In The Ecology and Evolution of Clonal Plants; de Kroon, H., van Groenendael, J., Eds.; Backhuys Publishers: Leiden, The Netherlands, 1997; pp. 109–136. [Google Scholar]
- Jaafry, W.H.; Li, D.; Fatima, S.A.; Hassan, M. Role of Clonal Integration among Different Environmental Conditions (A Review). Nat. Sci. 2016, 8, 475–486. [Google Scholar] [CrossRef]
- Caraco, T.; Kelly, C.K. On the adaptive value of physiological integraton in clonal plants. Ecology 1991, 72, 81–93. [Google Scholar] [CrossRef]
- Gao, Y.; Wang, D.; Xing, F.; Liu, J.; Wang, L. Combined effects of resource heterogeneity and simulated herbivory on plasticity of clonal integration in a rhizomatous perennial herb. Plant Biol. 2014, 16, 774–782. [Google Scholar] [CrossRef] [PubMed]
- Bakacsy, L.; Bagi, I. Survival and regeneration ability of clonal common milkweed (Asclepias syriaca L.) after a single herbicide treatment in natural open sand grasslands. Sci. Rep. 2020, 10, 14222. [Google Scholar] [CrossRef]
- Eisen, K.E.; Siegmund, G.; Watson, M.A.; Geber, M.A. Variation in the location and timing of experimental severing demonstrates that the persistent rhizome serves multiple functions in a clonal forest understory herb. Funct. Ecol. 2022, 36, 356–367. [Google Scholar] [CrossRef]
- Marbà, N.; Duarte, C.M. Rhizome elongation and seagrass clonal growth. Mar. Ecol. Prog. Ser. 1998, 174, 269–280. [Google Scholar] [CrossRef]
- Dong, B.-C.; Liu, R.-H.; Zhang, Q.; Li, H.-L.; Zhang, M.-X.; Lei, G.-C.; Yu, F.-H. Burial Depth and Stolon Internode Length Independently Affect Survival of Small Clonal Fragments. PLoS ONE 2011, 6, e23942. [Google Scholar] [CrossRef][Green Version]
- Luo, W.; Zhao, W. Burial depth and diameter of the rhizome fragments affect the regenerative capacity of a clonal shrub. Ecol. Complex. 2015, 23, 34–40. [Google Scholar] [CrossRef]
- Bai, W.; Sun, X.; Wang, Z.; Li, L. Nitrogen addition and rhizome severing modify clonal growth and reproductive modes of Leymus chinensis population. Plant Ecol. 2009, 205, 13–21. [Google Scholar] [CrossRef]
- Yu, F.-H.; Wang, N.; He, W.-M.; Chu, Y.; Dong, M. Adaptation of Rhizome Connections in Drylands: Increasing Tolerance of Clones to Wind Erosion. Ann. Bot. 2008, 102, 571–577. [Google Scholar] [CrossRef]
- Balestri, E.; Lardicci, C. The Impact of Physical Disturbance and Increased Sand Burial on Clonal Growth and Spatial Colonization of Sporobolus virginicus in a Coastal Dune System. PLoS ONE 2013, 8, e72598. [Google Scholar] [CrossRef] [PubMed]
- Cordazzo, C.V.; Davy, A.J. Vegetative regeneration of Panicum racemosum from rhizome fragments on southern Brazilian coastal dunes. J. Coast. Res. 1999, 15, 520–525. [Google Scholar]
- Terrados, J.; Duarte, C.M.; Kenworthy, W.J. Is the apical growth of Cymodocea nodosa dependent on clonal integration? Mar. Ecol. Prog. Ser. 1997, 158, 103–110. [Google Scholar] [CrossRef][Green Version]
- Huber, H.; Whigham, D.F.; O’Neill, J. Timing of disturbance changes the balance between growth and survival of parent and offspring ramets in the clonal forest understory herb Uvularia perfoliata. Evol. Ecol. 2004, 18, 521–539. [Google Scholar] [CrossRef]
- Landa, K.; Benner, B.; Watson, M.A.; Gartner, J. Physiological Integration for Carbon in Mayapple (Podophyllum peltatum), a Clonal Perennial Herb. Oikos 1992, 63, 348–356. [Google Scholar] [CrossRef]
- Watson, M.A.; Scott, K.; Griffith, J.; Dieter, S.; Jones, C.S.; Nanda, S. The developmental ecology of mycorrhizal associations in mayapple, Podophyllum peltatum Berberidaceae. Evol. Ecol. 2002, 15, 425–442. [Google Scholar] [CrossRef]
- Werger, M.J.A.; Huber, H. Tuber size variation and organ preformation constrain growth responses of a spring geophyte. Oecologia 2006, 147, 396–405. [Google Scholar] [CrossRef]
- Huber, H.; Visser, E.J.W.; Clements, G.; Peters, J. Flooding and fragment size interact to determine survival and regrowth after fragmentation in two stoloniferous Trifolium species. AoB PLANTS 2014, 6, plu024. [Google Scholar] [CrossRef][Green Version]
- Maun, M.A. Adaptations of plants to burial in coastal sand dunes. Can. J. Bot. 1998, 76, 713–738. [Google Scholar] [CrossRef]
- Brown, J.F. Effects of Experimental Burial on Survival, Growth, and Resource Allocation of Three Species of Dune Plants. J. Ecol. 1997, 85, 151–158. [Google Scholar] [CrossRef]
- Klimes, L.; Klimešová, J.; Osbornová, J. Regeneration capacity and carbohydrate reserves in a clonal plant Rumex alpinus: Effect of burial. Vegetatio 1993, 109, 153–160. [Google Scholar] [CrossRef]
- Levin, N.; Kidron, G.J.; Ben-Dor, E. A field quantification of coastal dune perennial plants as indicators of surface stability, erosion or deposition. Sedimentology 2008, 55, 751–772. [Google Scholar] [CrossRef]
- Yu, F.-H.; Chen, Y.; Dong, M. Clonal integration enhances survival and performance of Potentilla anserina, suffering from partial sand burial on Ordos plateau, China. Evol. Ecol. 2002, 15, 303–318. [Google Scholar] [CrossRef]
- Liu, B.; Liu, Z.; Wang, L.; Wang, Z. Responses of rhizomatous grass Phragmites communis to wind erosion: Effects on biomass allocation. Plant Soil 2014, 380, 389–398. [Google Scholar] [CrossRef]
- Liu, B.; Liu, Z.; Wang, L. The colonization of active sand dunes by rhizomatous plants through vegetative propagation and its role in vegetation restoration. Ecol. Eng. 2012, 44, 344–347. [Google Scholar] [CrossRef][Green Version]
- Yan, Q.; Liu, Z.; Ma, J.; Jiang, D. The Role of Reproductive Phenology, Seedling Emergence and Establishment of Perennial Salix gordejevii in Active Sand Dune Fields. Ann. Bot. 2007, 99, 19–28. [Google Scholar] [CrossRef][Green Version]
- Liu, F.-H.; Liu, J.; Yu, F.-H.; Dong, M. Water integration patterns in two rhizomatous dune perennials of different clonal fragment size. Flora 2007, 202, 106–110. [Google Scholar] [CrossRef]
- Ma, Q.; Qian, J.; Tian, L.; Liu, Z. Responses of belowground bud bank to disturbance and stress in the sand dune ecosystem. Ecol. Indic. 2019, 106, 105521. [Google Scholar] [CrossRef]
- Xu, L.; Huber, H.; During, H.J.; Dong, M.; Anten, N.P.R. Intraspecific variation of a desert shrub species in phenotypic plasticity in response to sand burial. New Phytol. 2013, 199, 991–1000. [Google Scholar] [CrossRef] [PubMed]
- Shen, J.; Shen, M.; Wang, X.; Lu, Y. Effect of environmental factors on shoot emergence and vegetative growth of alligatorweed (Alternanthera philoxcroides). Weed Sci. 2005, 53, 471–478. [Google Scholar] [CrossRef]
- Suzuki, J.-I.; Stuefer, J. On the ecological and evolutionary significance of storage in clonal plants. Plant Species Biol. 1999, 14, 11–17. [Google Scholar] [CrossRef]
- van Groenendael, J.M.; Klimeš, L.; Klimešová, J.; Hendriks, R.J.J. Comparative ecology of clonal plants. Philos. Trans. R. Soc. B Biol. Sci. 1996, 351, 1331–1339. [Google Scholar]
- Harris, D.; Davy, A.J. Regenerative potential of Elymus farctus from rhizome fragments and seed. J. Ecol. 1986, 74, 1057–1067. [Google Scholar] [CrossRef]
- Xiao, Y.; Tang, J.; Qing, H.; Zhou, C.; An, S. Effects of salinity and clonal integration on growth and sexual reproduction of the invasive grass Spartina alterniflora. Flora 2011, 206, 736–741. [Google Scholar] [CrossRef]
- Klimeš, L. Phragmites australis at an extreme altitude: Rhizome architecture and its modelling. Folia Geobot. 2000, 35, 403–417. [Google Scholar] [CrossRef]
- Zhang, J.; Mu, C.; Wang, D.; Wang, J.; Chen, G. Shoot population recruitment from a bud bank, over two seasons of undisturbed growth of Leymus chinensis. Botany 2009, 87, 1242–1249. [Google Scholar] [CrossRef]
- Zhang, L.-M.; Alpert, P.; Si, C.; Yu, F.-H. Interactive effects of fragment size, nutrients, and interspecific competition on growth of the floating, clonal plant Salvinia natans. Aquat. Bot. 2018, 153, 81–87. [Google Scholar] [CrossRef]
- Sampaio, M.C.; Araújo, T.F.; Scarano, F.R.; Stuefer, J.F. Directional growth of a clonal bromeliad species in response to spatial habitat heterogeneity. Evol. Ecol. 2004, 18, 429–442. [Google Scholar] [CrossRef]
- Klimešová, J.; Klimeš, L. Bud banks and their role in vegetative regeneration—A literature review and proposal for simple classification and assessment. Perspect. Plant Ecol. Evol. Syst. 2007, 8, 115–129. [Google Scholar] [CrossRef]
- Martínková, J.; Klimešová, J. Position of tillers in a clone determines their ontogeny: Example of the clonal grass Phalaris arundinacea. Folia Geobot. 2017, 52, 317–325. [Google Scholar] [CrossRef]
- Ott, J.P.; Klimešová, J.; Hartnett, D.C. The ecology and significance of below-ground bud banks in plants. Ann. Bot. 2019, 123, 1099–1118. [Google Scholar] [CrossRef] [PubMed]




| Variables | SBD | CFS | SBD × CFS | |||
|---|---|---|---|---|---|---|
| F | p | F | p | F | p | |
| Ramet survival | 26.43 | <0.01 | 21.12 | <0.01 | 1.50 | 0.04 |
| Horizontal biomass | 9.69 | <0.01 | 2.66 | 0.01 | 0.93 | 0.56 |
| Vertical biomass | 11.59 | <0.01 | 2.72 | <0.01 | 1.34 | 0.10 |
| Increment in ramet number | 3.69 | <0.01 | 3.42 | <0.01 | 0.83 | 0.74 |
| Increment in ramet height | 12.63 | <0.01 | 5.28 | <0.01 | 1.91 | <0.01 |
| Increment in rhizome number | 6.07 | <0.01 | 3.37 | <0.01 | 2.14 | <0.01 |
| Increment in rhizome length | 5.92 | <0.01 | 4.31 | <0.01 | 1.01 | 0.46 |
Publisher’s Note: MDPI stays neutral with regard to jurisdictional claims in published maps and institutional affiliations. |
© 2022 by the authors. Licensee MDPI, Basel, Switzerland. This article is an open access article distributed under the terms and conditions of the Creative Commons Attribution (CC BY) license (https://creativecommons.org/licenses/by/4.0/).
Share and Cite
Zhai, S.; Qian, J.; Ma, Q.; Liu, Z.; Ba, C.; Xin, Z.; Tian, L.; Zong, L.; Liang, W.; Zhu, J. Effect of Rhizome Severing on Survival and Growth of Rhizomatous Herb Phragmites communis Is Regulated by Sand Burial Depth. Plants 2022, 11, 3191. https://doi.org/10.3390/plants11233191
Zhai S, Qian J, Ma Q, Liu Z, Ba C, Xin Z, Tian L, Zong L, Liang W, Zhu J. Effect of Rhizome Severing on Survival and Growth of Rhizomatous Herb Phragmites communis Is Regulated by Sand Burial Depth. Plants. 2022; 11(23):3191. https://doi.org/10.3390/plants11233191
Chicago/Turabian StyleZhai, Shanshan, Jianqiang Qian, Qun Ma, Zhimin Liu, Chaoqun Ba, Zhiming Xin, Liang Tian, Lu Zong, Wei Liang, and Jinlei Zhu. 2022. "Effect of Rhizome Severing on Survival and Growth of Rhizomatous Herb Phragmites communis Is Regulated by Sand Burial Depth" Plants 11, no. 23: 3191. https://doi.org/10.3390/plants11233191
APA StyleZhai, S., Qian, J., Ma, Q., Liu, Z., Ba, C., Xin, Z., Tian, L., Zong, L., Liang, W., & Zhu, J. (2022). Effect of Rhizome Severing on Survival and Growth of Rhizomatous Herb Phragmites communis Is Regulated by Sand Burial Depth. Plants, 11(23), 3191. https://doi.org/10.3390/plants11233191
