Preceding Phenological Events Rather than Climate Drive the Variations in Fruiting Phenology in the Desert Shrub Nitraria tangutorum
Abstract
1. Introduction
2. Results
2.1. Inter-Annual Dynamics of Meteorological Factors
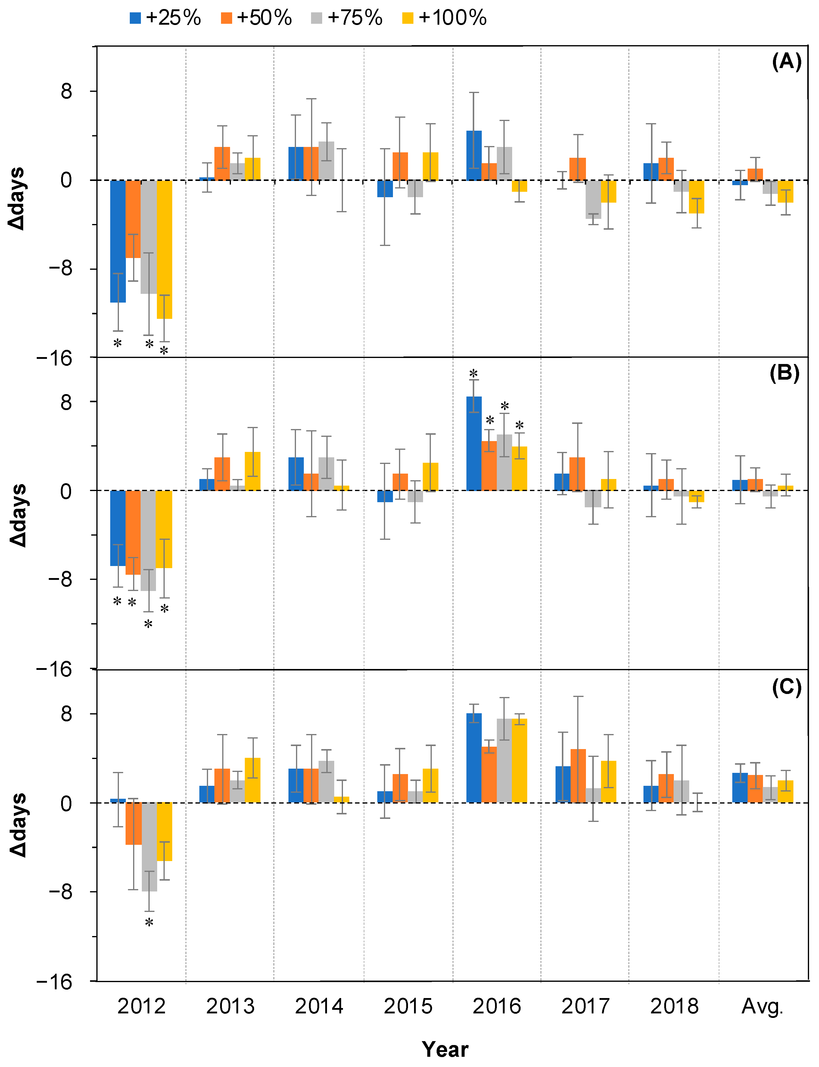
2.2. Changes in Fruit Setting
2.3. Changes in Fruit Ripening
2.4. Changes in the Duration of Fruiting Period
2.5. Comparison with Other Phenological Events
2.6. The Correlations between Fruiting Events and Water Addition Amounts
2.7. The Correlations between Fruiting Events and Water Climatic Factors
2.8. The Correlations between Fruiting Events and the Other Phenological Events
3. Discussion
3.1. Effects of Water Addition Treatments on Fruiting Events
3.2. Relative Stable Fruiting Phenology Relative to Leaf and Flower Phenology
3.3. Drivers of Inter-Annual Variations in Fruiting Phenology
4. Materials and Methods
4.1. Sample Area Description
4.2. Simulated Enhancement in Precipitation
4.3. Phenological Observations
4.4. Data Processing
4.5. Statistical Analysis
5. Conclusions
Author Contributions
Funding
Acknowledgments
Conflicts of Interest
References
- Rathcke, B.; Lacey, E.P. Phenological patterns of terrestrial plants. Annu. Rev. Ecol. Evol. 1985, 16, 179–214. [Google Scholar] [CrossRef]
- Li, H.; Ren, L.; Xie, M.; Gao, Y.; He, M.; Hassan, B.; Lu, Y.; Cheng, D. Egg-surface bacteria are indirectly associated with oviposition aversion in Bactrocera dorsalis. Curr. Biol. 2020, 30, 4432–4440. [Google Scholar] [CrossRef] [PubMed]
- Thompson, J.N.; Willson, M.F. Evolution of temperate fruit/bird interactions: Phenological strategies. Evolution 1979, 33, 973–982. [Google Scholar] [CrossRef] [PubMed]
- Kagoro-Rugunda, G.; Hashimoto, C. Fruiting phenology of tree species and chimpanzees’ choice of consumption in Kalinzu Forest Reserve, Uganda. Open J. Ecol. 2015, 5, 477–490. [Google Scholar] [CrossRef][Green Version]
- Du, Y.; Li, D.; Yang, X.; Peng, D.; Tang, X.; Liu, H.; Li, D.; Hong, X.; Song, X. Reproductive phenology and its drivers in a tropical rainforest national park in China: Implications for Hainan gibbon Nomascus hainanus conservation. Glob. Ecol. Con. 2020, 24, e01317. [Google Scholar] [CrossRef]
- Garcia-Barreda, S.; Sangüesa-Barreda, G.; Madrigal-González, J.; Seijo, F.; Andrés, E.G.; Camarero, J.J. Reproductive phenology determines the linkages between radial growth, fruit production and climate in four Mediterranean tree species. Agric. For. Meteorol. 2021, 307, 108493. [Google Scholar] [CrossRef]
- Hanya, G.; Tsuji, Y.; Grueter, C.C. Fruiting and flushing phenology in Asian tropical and temperate forests: Implications for primate ecology. Primates 2013, 54, 101–110. [Google Scholar] [CrossRef]
- Luna-Nieves, A.L.; Meave, J.A.; Morellato, L.P.C.; Ibarra-Manríquez, G. Reproductive phenology of useful seasonally dry tropical forest trees: Guiding patterns for seed collection and plant propagation in nurseries. For. Ecol. Manag. 2017, 393, 52–62. [Google Scholar] [CrossRef]
- Dunham, A.E.; Razafindratsima, O.H.; Rakotonirina, P.; Wright, P.C. Fruiting phenology is linked to rainfall variability in a tropical rain forest. Biotropica 2018, 503, 396–404. [Google Scholar] [CrossRef]
- Cortés-Flores, J.; Cornejo-Tenorio, G.; Urrea-Galeano, L.A.; Andresen, E.; González-Rodríguez, A.; Ibarra-Manríquez, G. Phylogeny, fruit traits, and ecological correlates of fruiting phenology in a Neotropical dry forest. Oecologia 2019, 189, 159–169. [Google Scholar] [CrossRef]
- Huang, Y.; Lee, Y.; Kuo, Y.; Chang, S.; Wu, C. Fruiting phenology and nutrient content variation among sympatric figs and the ecological correlates. Bot. Stud. 2019, 60, 27. [Google Scholar] [CrossRef] [PubMed]
- Gallinat, A.S.; Primack, R.B.; Willis, C.G.; Nordt, B.; Stevens, A.D.; Fahey, R.; Whittemore, A.T.; Du, Y.; Panchen, Z.A. Patterns and predictors of fleshy fruiting phenology at five international botanical gardens. Am. J. Bot. 2018, 105, 1824–1834. [Google Scholar] [CrossRef] [PubMed]
- Journé, V.; Caignard, T.; Hacket-Pain, A.; Bogdziewicz, M. Leaf phenology correlates with fruit production in European beech Fagus sylvatica and in temperate oaks Quercus robur and Quercus petraea. Eur. J. For. Res. 2021, 140, 733–744. [Google Scholar] [CrossRef]
- Sherry, R.A.; Zhou, X.; Gu, S.; Arnone, J.A., III; Schimel, D.S.; Verburg, P.S.J.; Wallace, L.L.; Luo, Y. Divergence of reproductive phenology under climate warming. Proc. Natl. Acad. Sci. USA 2007, 104, 198–202. [Google Scholar] [CrossRef]
- Sherry, R.A.; Zhou, X.; Gu, S.; Arnone, J.A., III; Johnson, D.W.; Schimel, D.S.; Verburg, P.S.J.; Wallace, L.L.; Luo, Y. Changes in duration of reproductive phases and lagged phenological response to experimental climate warming. Plant Ecol. Divers. 2011, 41, 23–35. [Google Scholar] [CrossRef]
- Zhang, L.; Turkington, R.; Tang, Y. Flowering and Fruiting Phenology of 24 Plant Species on the North Slope of Mt. Qomolangma. Mt. Everest. J. Mt. Sci. 2010, 7, 45–54. [Google Scholar] [CrossRef]
- Jiang, L.L.; Wang, S.P.; Meng, F.D.; Duan, J.C.; Niu, H.S.; Xu, G.P.; Zhu, X.X.; Zhang, Z.H.; Luo, C.Y.; Cui, S.J.; et al. Relatively stable response of fruiting stage to warming and cooling relative to other phenological events. Ecology 2016, 97, 1961–1969. [Google Scholar] [CrossRef]
- Alatalo, J.M.; Jägerbrand, A.K.; Dai, J.; Mollazehi, M.D.; Abdel-Salam, A.S.G.; Pandey, R.; Molau, U. Effects of ambient climate and three warming treatments on fruit production in an alpine, subarctic meadow community. Am. J. Bot. 2021, 1083, 411–422. [Google Scholar] [CrossRef]
- Kagoro-Rugunda, G.; Baranga, J. The fruiting phenology of Musanga leo-erreae and its importance for chimpanzee diet in Kalinzu Forest Uganda. Afr. J. Ecol. 2009, 47, 14–19. [Google Scholar] [CrossRef]
- Wu, D.; Gao, T.; Yang, H.; Du, Y.; Li, C.; Wei, L.; Zhou, T.; Lu, J.; Bi, H. Simultaneous microwave/ultrasonic-assisted enzymatic extraction of antioxidant ingredients from Nitraria tangutorun Bobr. juice by-products. Ind. Crop. Prod. 2015, 66, 229–238. [Google Scholar] [CrossRef]
- Zhao, J.; Wang, Y.; Yang, Y.; Zeng, Y.; Wang, Q.; Shao, Y.; Mei, L.; Shi, Y.; Tao, Y. Isolation and identification of antioxidant and a-glucosidase inhibitory compounds from fruit juice of Nitraria tangutorum. Food Chem. 2017, 227, 93–101. [Google Scholar] [CrossRef] [PubMed]
- Liu, Z.; Mei, L.; Wang, Q.; Shao, Y.; Tao, Y. Optimization of subcritical fluid extraction of seed oil from Nitraria tangutorum using response surface methodology. Food Sci. Technol. 2014, 56, 168–174. [Google Scholar] [CrossRef]
- Liu, N.; Geng, Z. Feeding habit and seasonal variation of ingesting of Erimias multiocellata. Chin. J. Appl. Ecol. 1995, 6, 74–78. [Google Scholar]
- Gao, X.J.; Shi, Y.; Zhang, D.F.; Giorgi, F. Climate change in China in the 21st century as simulated by a high-resolution regional climate model. Chin. Sci. Bull. 2012, 57, 1188–1195. [Google Scholar] [CrossRef]
- Chen, H. Projected change in extreme rainfall events in China by the end of the 21st century using CMIP5 models. Chin. Sci. Bull. 2013, 58, 1462–1472. [Google Scholar] [CrossRef]
- Wang, Y.; Zhou, B.; Qin, D.; Wu, J.; Gao, R.; Song, L. Changes in mean and extreme temperature and precipitation over the arid region of northwestern China: Observation and projection. Adv. Atmos. Sci. 2017, 343, 289–305. [Google Scholar] [CrossRef]
- Bao, F.; Liu, M.; Cao, Y.L.; Li, J.; Yao, B.; Xin, Z.; Lu, Q.; Wu, B. Water addition prolonged the length of the growing season of the desert shrub Nitraria tangutorum in a temperate desert. Front. Plant Sci. 2020, 11, 1099. [Google Scholar] [CrossRef]
- Bao, F.; Xin, Z.; Li, J.; Liu, M.; Cao, Y.; Lu, Q.; Gao, Y.; Wu, B. Effects of the simulated enhancement of precipitation on the phenology of Nitraria tangutorum under extremely dry and wet years. Plants 2021, 10, 1474. [Google Scholar] [CrossRef]
- Melampy, M.N. Flowering phenology, pollen flow and fruit production in the Andean shrub Befaria resinosa. Oecologia 1987, 73, 293–300. [Google Scholar] [CrossRef]
- Polansky, L.; Boesch, C. Long-term changes in fruiting phenology in a West African lowland tropical rain forest are not explained by rainfall. Biotropica 2013, 454, 434–440. [Google Scholar] [CrossRef]
- Aronson, J.; Kigel, J.; Shmida, A.; Klein, J. Adaptive phenology of desert and Mediterranean populations of annual plants grown with and without water stress. Oecologia 1992, 89, 17–26. [Google Scholar] [CrossRef] [PubMed]
- Li, D.; Du, Y.; Xu, W.; Peng, D.; Primack, R.; Chen, G.; Mao, L.; Ma, K. Phylogenetic conservatism of fruit development time in Chinese angiosperms and the phylogenetic and climatic correlates. Glob. Ecol. Con. 2021, 27, e01543. [Google Scholar] [CrossRef]
- Mizunaga, Y.; Kudo, G. A linkage between flowering phenology and fruit-set success of alpine plant communities with reference to the seasonality and pollination effectiveness of bees and flies. Oecologia 2017, 185, 453–464. [Google Scholar] [CrossRef] [PubMed]
- Collins, C.G.; Elmendorf, S.C.; Hollister, R.D.; Henry, G.H.R.; Clark, K.; Bjorkman, A.D.; Myers-Smith, I.H.; Prevéy, J.S.; Ashton, I.W.; Assmann, J.J.; et al. Experimental warming differentially affects vegetative and reproductive phenology of tundra plants. Nat. Commun. 2021, 12, 3442. [Google Scholar] [CrossRef]
- Donnelly, A.; Yu, R. Temperate deciduous shrub phenology: The overlooked forest layer. Int. J. Biometerol. 2021, 65, 343–355. [Google Scholar] [CrossRef]
- Seghieri, J.; Carreau, J.; Boulain, N.; Rosnay, P.; Arjounin, M.; Timouk, F. Is water availability really the main environmental factor controlling the phenology of woody vegetation in the central Sahel? Plant Ecol. 2012, 213, 861–870. [Google Scholar] [CrossRef]
- Silvestro, R.; Rossi, S.; Zhang, S.K.; Froment, I.; Huang, J.G.; Saracino, A. From phenology to forest management: Ecotypes selection can avoid early or late frosts, but not both. For. Ecol. Manag. 2019, 436, 21–26. [Google Scholar] [CrossRef]
- Ghazanfar, S.A. The phenology of desert plants: A 3-year study in a gravel desert wadi in northern Oman. J. Arid Environ. 1997, 35, 407–417. [Google Scholar] [CrossRef]
- Díaz, M.; Granadillo, E. The significance of episodic rains for reproductive phenology and productivity of trees in semiarid regions of northwestern Venezuela. Trees 2005, 19, 336–348. [Google Scholar] [CrossRef]
- Abdallah, L.; Chaieb, M. Water status and growth phenology of a Saharan shrub in North Africa. Afr. J. Ecol. 2006, 45, 80–85. [Google Scholar] [CrossRef]
- Günter, S.; Stimm, B.; Cabrera, M.; Diaz, M.L.; Lojan, M.; Ordoñez, E.; Richter, M.; Weber, M. Tree phenology in montane forests of southern Ecuador can be explained by precipitation, radiation and photoperiodic control. J. Trop. Ecol. 2008, 24, 247–258. [Google Scholar] [CrossRef]
- Galindoa, A.; Rodríguezb, P.; Collado-Gonzáleza, J.; Cruzb, Z.N.; Torrecillasc, E.; Ondoñoc, S.; Corelld, M.; Morianad, A.; Torrecillasa, A. Rainfall intensifies fruit peel cracking in water stressed pomegranate trees. Agric. For. Meteorol. 2014, 194, 29–35. [Google Scholar] [CrossRef]
- Farahat, E.A.; Galal, T.M.; El-Midany, M.M.; Hassan, L.M. Phenology, biomass and reproductive characteristics of Calotropis procera (Aiton) W. T. Aiton in South Cairo, Egypt. Rend. Lincei 2016, 27, 197–204. [Google Scholar] [CrossRef]
- Mendoza, I.; Peres, C.A.; Morellato, L.P.C. Continental-scale patterns and climatic drivers of fruiting phenology: A quantitative Neotropical review. Glob. Planet Change 2017, 148, 227–241. [Google Scholar] [CrossRef]
- Estabrook, G.F.; Winsor, J.A.; Stephenson, A.G.; Howe, H.F. When are two phenological patterns different? Bot. Gaz. 1982, 1433, 374–378. [Google Scholar] [CrossRef]
- Eriksson, O.; Ehrlén, J. Phenological variation in fruit characteristics in vertebrate-dispersed plants. Oecologica 1991, 86, 463–470. [Google Scholar] [CrossRef]
- Venter, S.M.; Witkowski, E.T.F. Phenology, flowering and fruit-set patterns of baobabs, Adansonia digitata, in southern Africa. For. Ecol. Manag. 2019, 453, 117593. [Google Scholar] [CrossRef]
- Ovaskainena, O.; Skorokhodova, S.V.; Yakovleva, M.; Sukhov, A.; Kutenkovb, A.; Kutenkova, N.; Shcherbakov, A.; Meykea, E.; Delgado, M.M. Community-level phenological response to climate change. Proc. Natl. Acad. Sci. USA 2013, 11033, 13434–13439. [Google Scholar] [CrossRef]
- Wan, M.W.; Liu, X. Phenology Observation Methodology in China; Science Press: Beijing, China, 1979. [Google Scholar]








| OFS | PFS | EFS | OFR | PFR | EFR | DF | |
|---|---|---|---|---|---|---|---|
| Water | 0.27 | 0.50 | 0.81 | 0.12 | 0.55 | 0.13 | 0.07 |
| Year | <0.01 | <0.01 | <0.01 | <0.01 | <0.01 | <0.01 | 0.01 |
| Water × Year | 0.90 | 0.72 | 0.54 | 0.18 | 0.20 | 0.39 | 0.97 |
| OFS | PFS | EFS | |||||||||||||
|---|---|---|---|---|---|---|---|---|---|---|---|---|---|---|---|
| Ctrl | +25% | +50% | +75% | +100% | Ctrl | +25% | +50% | +75% | +100% | Ctrl | +25% | +50% | +75% | +100% | |
| AMP | 0.40 | 0.49 | 0.75 | 0.82 | 0.59 | 0.27 | 0.40 | 0.66 | 0.57 | 0.43 | 0.66 | 0.55 | 0.30 | 0.43 | 0.59 |
| AMT | 0.37 | 0.39 | 0.43 | 0.37 | 0.52 | 0.37 | 0.32 | 0.36 | 0.38 | 0.53 | 0.38 | 0.43 | 0.55 | 0.45 | 0.22 |
| TWin | 0.44 | 0.65 | 0.81 | 0.77 | 0.69 | 0.24 | 0.42 | 0.62 | 0.45 | 0.47 | −0.68 | −0.48 | −0.41 | −0.44 | −0.66 |
| TSpr | 0.45 | 0.46 | 0.48 | 0.59 | 0.33 | 0.59 | 0.63 | 0.61 | 0.63 | 0.43 | −0.15 | −0.25 | −0.11 | −0.21 | −0.31 |
| TSum | 0.64 | 0.66 | 0.72 | 0.72 | 0.53 | 0.75 | 0.82 | 0.78 | 0.75 | 0.57 | −0.08 | −0.11 | 0.02 | −0.13 | −0.22 |
| TAut | 0.66 | 0.44 | 0.20 | 0.25 | 0.27 | 0.89 | 0.67 | 0.34 | 0.46 | 0.44 | −0.33 | −0.06 | 0.17 | 0.09 | −0.01 |
| PWin | 0.91 | 0.89 | 0.81 | 0.90 | 0.97 | 0.80 | 0.99 | 0.96 | 0.76 | 0.86 | −0.17 | 0.03 | −0.01 | −0.12 | −0.22 |
| PSpr | 0.41 | 0.61 | 0.75 | 0.48 | 0.48 | 0.66 | 0.78 | 0.69 | 0.61 | 0.60 | 0.17 | 0.15 | 0.10 | 0.26 | 0.14 |
| PSum | 0.44 | 0.54 | 0.71 | 0.87 | 0.60 | 0.25 | 0.39 | 0.65 | 0.55 | 0.43 | 0.67 | 0.55 | 0.35 | 0.41 | 0.67 |
| PAut | 0.76 | 0.92 | 0.80 | 0.93 | 0.80 | 0.67 | 0.80 | 0.83 | 0.76 | 0.81 | −0.22 | −0.17 | −0.23 | −0.10 | −0.35 |
| OFR | PFR | EFR | |||||||||||||
|---|---|---|---|---|---|---|---|---|---|---|---|---|---|---|---|
| Ctrl | +25% | +50% | +75% | +100% | Ctrl | +25% | +50% | +75% | +100% | Ctrl | +25% | +50% | +75% | +100% | |
| AMP | 0.59 | 0.43 | 0.41 | 0.44 | 0.34 | 0.33 | 0.31 | 0.61 | 0.46 | 0.47 | 0.36 | 0.21 | 0.49 | 0.38 | 0.30 |
| AMT | 0.45 | 0.26 | 0.55 | 0.26 | 0.35 | 0.15 | 0.47 | 0.12 | 0.34 | 0.25 | 0.12 | 0.25 | 0.08 | 0.18 | 0.24 |
| TWin | −0.61 | −0.39 | −0.40 | −0.51 | −0.24 | 0.24 | 0.33 | 0.55 | 0.40 | 0.42 | 0.20 | 0.16 | 0.36 | 0.25 | 0.25 |
| TSpr | −0.15 | −0.17 | −0.18 | −0.19 | −0.46 | 0.91 | 0.62 | 0.73 | 0.75 | 0.53 | 0.94 | 0.84 | 1.00 | 0.98 | 0.65 |
| TSum | 0.00 | −0.02 | 0.02 | −0.10 | −0.27 | 0.85 | 0.92 | 0.83 | 0.94 | 0.87 | 0.74 | 0.90 | 0.66 | 0.79 | 0.96 |
| TAut | −0.23 | 0.11 | 0.05 | 0.18 | 0.35 | 0.71 | 0.78 | 0.70 | 0.62 | 0.70 | 0.56 | 0.63 | 0.78 | 0.92 | 0.81 |
| PWin | 0.01 | 0.21 | 0.18 | −0.06 | 0.10 | 0.99 | 0.71 | 0.53 | 0.95 | 0.84 | 0.93 | 0.93 | 0.72 | 0.91 | 0.75 |
| PSpr | 0.04 | −0.35 | 0.02 | −0.16 | 0.33 | 0.75 | 0.64 | 0.95 | 0.92 | 0.62 | 0.76 | 0.97 | 0.90 | 0.86 | 0.86 |
| PSum | 0.65 | 0.57 | 0.47 | 0.56 | 0.33 | 0.31 | 0.17 | 0.48 | 0.36 | 0.40 | 0.33 | 0.14 | 0.41 | 0.27 | 0.20 |
| PAut | −0.31 | −0.26 | −0.28 | −0.27 | −0.17 | 0.59 | 0.49 | 0.46 | 0.68 | 0.50 | 0.56 | 0.47 | 0.49 | 0.56 | 0.33 |
| Phenological Events | Observation Methods | |
|---|---|---|
| Leaf unfolding | Onset (OLU) | At least one young leaf has completely extended and spread out completely from one or more leaf buds observed on the whole nebkha. |
| End (ELU) | More than 90% of the young leaves on leaf buds of the whole nebkha have been completely spread. | |
| Flowering | Onset (OFL) | At least one flower bud on the whole nebkha has fully opened. |
| End (EFL) | More than 90% of the flower buds in each nebkha have fully opened. | |
| Fruit setting | Onset (OFS) | At least one flower on the whole nebkha has at least one green berry visible. |
| Peak (PFS) | More than 50% of flowers on the whole nebkha have their green berries developed. | |
| End (EFS) | More than 90% of flowers on the whole nebkha have their green berries developed. | |
| Fruit ripening | Onset (OFR) | At least one berry on the whole nebkha is developing a red color. |
| Peak (PFR) | More than 50% of berries on the whole nebkha are developing red colors. | |
| End (EFR) | More than 90% of berries on the whole nebkha are developing red colors. | |
| Leaf cessation | End of leaf coloring (ELC) | More than 90% of the leaves on the whole nebkha have turned yellow. |
| End of leaf fall (ELF) | More than 90% of the leaves on the whole nebkha have fallen off. | |
Publisher’s Note: MDPI stays neutral with regard to jurisdictional claims in published maps and institutional affiliations. |
© 2022 by the authors. Licensee MDPI, Basel, Switzerland. This article is an open access article distributed under the terms and conditions of the Creative Commons Attribution (CC BY) license (https://creativecommons.org/licenses/by/4.0/).
Share and Cite
Bao, F.; Xin, Z.; Liu, M.; Li, J.; Gao, Y.; Lu, Q.; Wu, B. Preceding Phenological Events Rather than Climate Drive the Variations in Fruiting Phenology in the Desert Shrub Nitraria tangutorum. Plants 2022, 11, 1578. https://doi.org/10.3390/plants11121578
Bao F, Xin Z, Liu M, Li J, Gao Y, Lu Q, Wu B. Preceding Phenological Events Rather than Climate Drive the Variations in Fruiting Phenology in the Desert Shrub Nitraria tangutorum. Plants. 2022; 11(12):1578. https://doi.org/10.3390/plants11121578
Chicago/Turabian StyleBao, Fang, Zhiming Xin, Minghu Liu, Jiazhu Li, Ying Gao, Qi Lu, and Bo Wu. 2022. "Preceding Phenological Events Rather than Climate Drive the Variations in Fruiting Phenology in the Desert Shrub Nitraria tangutorum" Plants 11, no. 12: 1578. https://doi.org/10.3390/plants11121578
APA StyleBao, F., Xin, Z., Liu, M., Li, J., Gao, Y., Lu, Q., & Wu, B. (2022). Preceding Phenological Events Rather than Climate Drive the Variations in Fruiting Phenology in the Desert Shrub Nitraria tangutorum. Plants, 11(12), 1578. https://doi.org/10.3390/plants11121578

