Effect of Exogenous Plant Debris and Microbial Agents on Phytoremediation of Copper-Contaminated Soil in Shanghai
Abstract
1. Introduction
2. Materials and Methods
2.1. Site and Stand Description
2.2. Soil Sampling and Analysis
2.3. Rhizosphere Soil Sampling and Microorganism Determination
2.4. Plant Sampling and Cu Concentration Analysis
2.5. Statistical Analysis
3. Results
3.1. Changes in Soil Characteristics
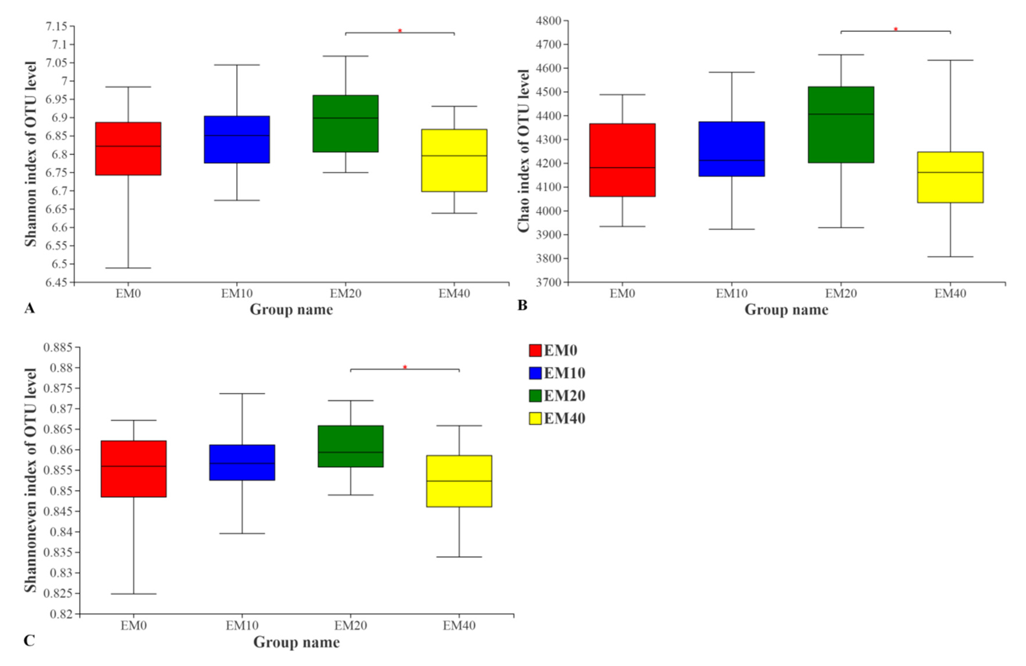
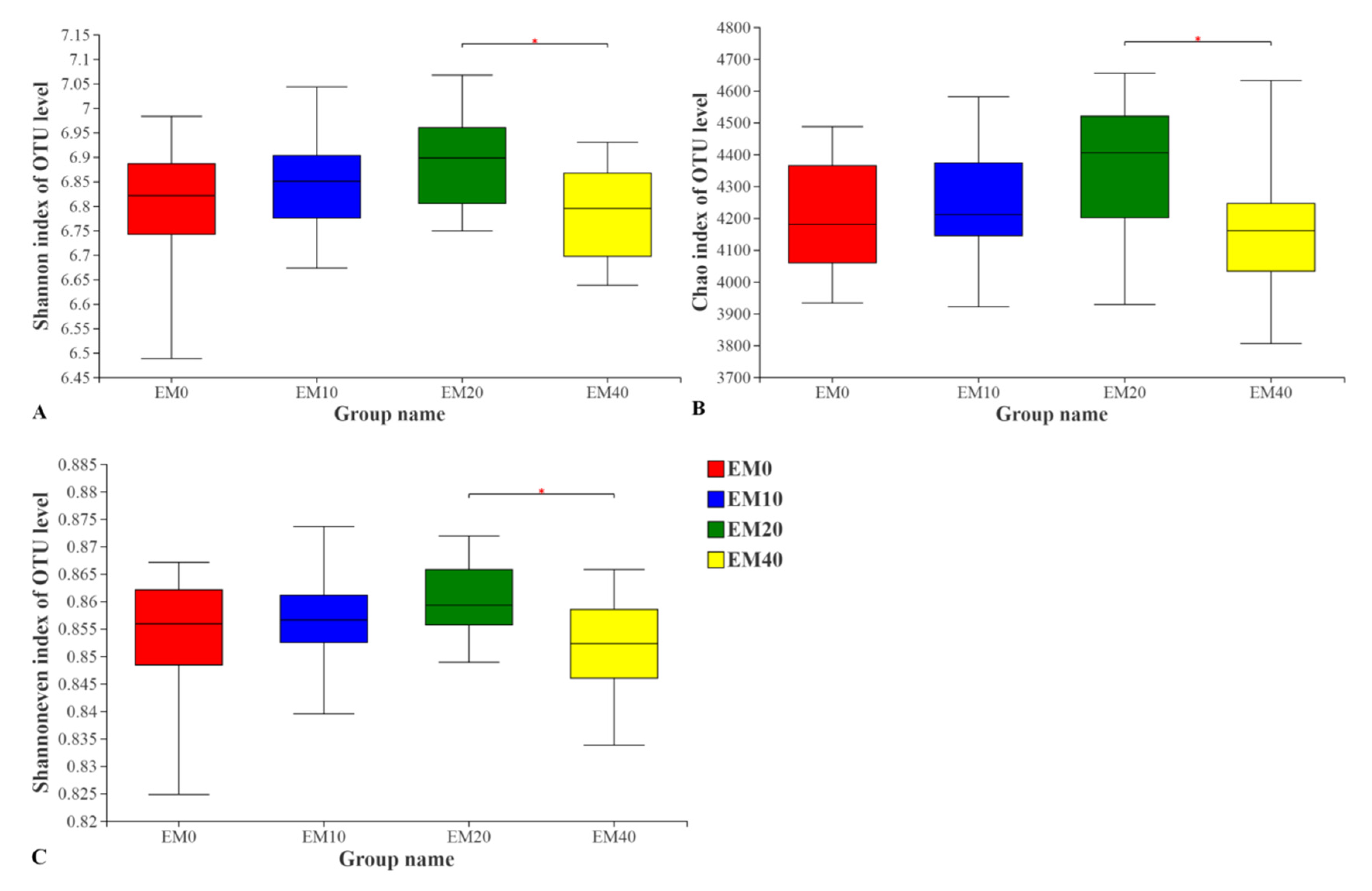
3.2. Microbial Diversity in Rhizosphere Soil
3.3. Cu Concentration in Plant Tissues
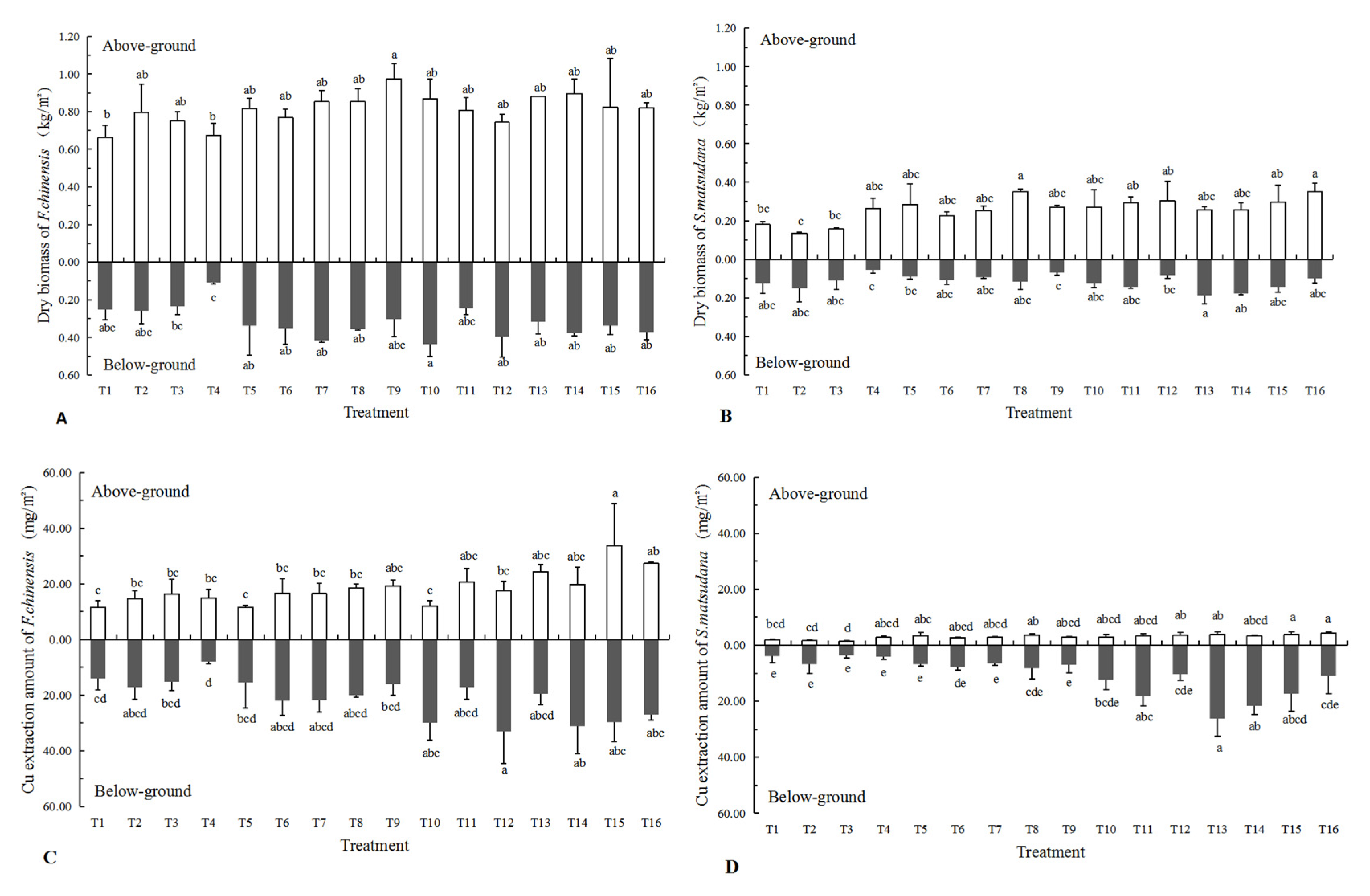
3.4. Yield and Cu Quantity Extracted by the Plants
3.5. Correlation Analysis
3.6. Comprehensive Assessment by Range Analysis
4. Discussion
4.1. Role of Exogenous Plant Debris and Microbial Agents on Phytoremediation
4.2. Phytoextraction Performance of F. chinensis and S. matsudanas × alba
5. Conclusions
Author Contributions
Funding
Data Availability Statement
Acknowledgments
Conflicts of Interest
References
- Wei, B.G.; Yang, L.S. A review of heavy metal contaminations in urban soils, urban road dusts and agricultural soils from China. Microchem. J. 2010, 94, 99–107. [Google Scholar] [CrossRef]
- Cai, M.F.; McBride, M.B.; Li, K.M. Bioaccessibility of Ba, Cu, Pb, and Zn in urban garden and orchard soils. Environ. Pollut. 2016, 208, 145–152. [Google Scholar] [CrossRef]
- Yruela, I. Copper in plants: Acquisition, transport and interactions. Funct. Plant Biol. 2009, 36, 409–430. [Google Scholar] [CrossRef] [PubMed]
- Khan, F.I.; Husain, T.; Hejazi, R. An overview and analysis of site remediation technologies. J. Environ. Manag. 2004, 71, 95–122. [Google Scholar] [CrossRef] [PubMed]
- Blasco, I.N.; Duran, A.; Sirera, R.; Fernández, J.M.; Alvarez, J.I. Solidification/stabilization of toxic metals in calcium aluminate cement matrices. J. Hazard. Mater. 2013, 260, 89–103. [Google Scholar] [CrossRef] [PubMed]
- Pulford, I.D.; Watson, C. Phytoremediation of heavy metal-contaminated land by trees-a review. Environ. Int. 2004, 29, 529–540. [Google Scholar] [CrossRef]
- Daniela, B.; Angela, C.; Alessandro, B.; Stefano, C. Different behaviours in phytoremediation capacity of two heavy metal tolerant poplar clones in relation to iron and other trace elements. J. Environ. Manag. 2014, 146, 94–99. [Google Scholar]
- Vincent, G.; Shang, K.K.; Zhang, G.W.; Labrecque, M. Preliminary results of the tolerance to inorganic contaminants and phytoextraction potential of twelve ornamental shrub species tested on an experimental contaminated site. Iforest-Biogeosci. For. 2018, 11, 442–448. [Google Scholar] [CrossRef]
- Shang, K.K.; Zhang, G.W.; Jiang, Y. The phytoextraction ability of 54 woody species on Cu, Pb, Zn in soil. Chin. J. Ecol. 2019, 38, 3723–3730. [Google Scholar]
- Liphadzi, M.S.; Kirkham, M.B.; Mankin, K.R.; Paulsen, G.M. EDTA-assisted heavy-metal uptake by poplar and sunflower grown at a long-term sewage-sludge farm. Plant Soil 2003, 257, 171–182. [Google Scholar] [CrossRef]
- Bradford, K.R.; George, O.K.; Calvin, G.M.; John, D.N.; Cathy, A.N. Long-term effects of spring wheat–soybean cropping systems on weed populations. Field Crops Res. 2005, 97, 197–208. [Google Scholar]
- Liao, X.Y.; Chen, T.B.; Yan, X.L.; Nie, C.J. Enhancement of heavy metal removal in phytoremediation of soils contaminated with heavy metals. Acta Sci. Circumstantiae 2007, 27, 881–893. [Google Scholar]
- Hande, A.S.; Deshpande, A.A. Methodology for design & fabrication of portable organic waste chopping machine to obtain compost-a review. Int. J. Innov. Res. Sci. Technol. 2014, 1, 132–135. [Google Scholar]
- Madar, R.; Singh, Y.; Meena, M.C.; Gaind, S.; Das, T.K.; Verma, R.K.; Halli, H. Crop residue and potassium management on crop and soil properties of maize and wheat in no-tillage systems. Commun. Soil Sci. Plant Anal. 2021, 52, 769–791. [Google Scholar] [CrossRef]
- Covelo, E.F.; Vega, F.A.; Andrade, M.L. Competitive sorption and desorption of heavy metals by individual soil components. J. Hazard Mater. 2007, 140, 308–315. [Google Scholar] [CrossRef] [PubMed]
- Zheljazkov, V.D.; Warman, P.R. Phytoavailability and fractionation of Cu, manganese and zinc in soil following application of two composts to four crops. Environ. Pollut. 2004, 131, 187–195. [Google Scholar] [CrossRef]
- Walker, D.J.; Clemente, R.; Roig, A.; Bernal, M.P. The effects of soil amendments on heavy metal bioavailability in two contaminated Mediterranean soils. Environ. Pollut. 2003, 122, 303–312. [Google Scholar] [CrossRef]
- Li, T.Q.; Yang, X.E. Transfer of Arsenic from Agricultural Soil to Food Chain. Guangdong Trace Elem. Sci. 2004, 11, 1–10. [Google Scholar]
- Labrecque, M.; Hu, Y.H.; Vincent, G.; Shang, K.K. The use of willow microcuttings for phytoremediation in a copper, zinc and lead contaminated field trial in Shanghai, China. Int. J. Phytoremed. 2020, 22, 1331–1337. [Google Scholar] [CrossRef] [PubMed]
- Kavita, B.; Shukla, S.; Kumar, G.N.; Archana, G. Amelioration of phytotoxic effects of Cd on mung bean seedlings by gluconic acid secreting rhizobacterium Enterobacter asburiae PSI3 and implication of role of organic acid. World J. Microbiol. Biotechnol. 2008, 24, 2965–2972. [Google Scholar] [CrossRef]
- Venkatesh, N.M.; Vedaraman, N. Remediation of soil contaminated with copper using Rhamnolipids produced from Pseudomonas aeruginosa MTCC 2297 using waste frying rice bran oil. Ann. Microbiol. 2012, 62, 85–91. [Google Scholar] [CrossRef]
- Kim, C.; Zhou, Q.; Deng, B.; Thornton, E.C.; Xu, H. Chromium(VI) reduction by hydrogen sulfide in aqueous media: Stoichiometry and kinetics. Environ. Sci. Technol. 2011, 35, 2219–2225. [Google Scholar] [CrossRef] [PubMed]
- Liu, R.W. Effects of EM and organic fertilizer on the bio-availability of heavy metal. Hubei Agric. Sci. 2009, 48, 1352–1354. [Google Scholar]
- Cui, S.; Wang, G.; Zheng, F.F.; Wang, L.H. Effects of tea polyphenols and EM on fecal pollutant emission of growing minks. Chin. J. Anim. Sci. 2018, 54, 108–112. [Google Scholar]
- Liu, S.H.; Liu, S.Q.; Zhang, Z.K.; Wei, H.; Zhang, Y.; Ma, L.; Yang, X.J.; Dou, J. Impact of effective microorganisms on microbial communities and enzyme activities in rhizosphere soil of continuously cropped garlic. Plant Nutr. Fertil. Sci. 2011, 17, 718–723. [Google Scholar]
- Yu, Z.Q.; Xu, Y.Q.; Li, F.L.; Liu, D.; He, L.B.; Wang, M.J.; Wang, X.; Dong, S.J.; Hu, B.Z. Effects of composting mulch and organic fertilizer fermented by EM on cucumber quality. Crops 2015, 3, 104–110. [Google Scholar]
- Allison, S.D.; Czimczik, C.I.; Treseder, K.K. Microbial activity and soil respiration under nitrogen addition in Alaskan boreal forest. Glob. Change Biol. 2008, 14, 1156–1168. [Google Scholar] [CrossRef]
- Shang, K.K.; Hu, Y.H.; Vincent, G.; Labrecque, M. Biomass and phytoextraction potential of three ornamental shrub species tested over three years on a large-scale experimental site in Shanghai, China. Int. J. Phytoremed. 2020, 22, 10–19. [Google Scholar] [CrossRef]
- GB/T 36197; Soil Quality—Guidance on Sampling Techniques. Standardization Administration of China: Beijing, China, 2018.
- NY/T 1121.4; Soil Testing Part 4: Method for Determination of Soil Bulk Density. Ministry of Agriculture of China: Beijing, China, 2006.
- LY/T 1237; Determination of Organic Matter in Forest Soil and Calculation Carbon-Nitrogen Ratio. National Forestry and Grassland Administration of China: Beijing, China, 1999.
- LY/T 1228; Determination of Hydrolyzable Nitrogen in Forest Soil. National Forestry and Grassland Administration of China: Beijing, China, 1999.
- LY/T 1243; Determination of Cation Exchange in Forest Soil. National Forestry and Grassland Administration of China: Beijing, China, 1999.
- LY/T 1239; Determination of pH Value in Forest Soil. National Forestry and Grassland Administration of China: Beijing, China, 1999.
- HJ 802; Soil Quality—Determination of Conductivity—Electrode Method. Ministry of Ecology and Environmental Protection of China: Beijing, China, 2016.
- Seguin, V.; Gagnon, C.; Courchesne, F. Changes in water extractable metals, pH and organic carbon concentrations at the soil-root interface of forested soils. Plant Soil 2004, 260, 1–17. [Google Scholar] [CrossRef]
- Beckers, B.; De Beeck, M.O.; Weyens, N.; Van Acker, R.; Van Montagu, M.; Boerjan, W.; Vangronsveld, J. Lignin engineering in field-grown poplar trees affects the endosphere bacterial microbiome. Proc. Natl. Acad. Sci. USA 2016, 113, 2312–2317. [Google Scholar] [CrossRef] [PubMed]
- Xu, N.; Tan, G.C.; Wang, H.Y.; Gai, X.P. Effect of biochar additions to soil on nitrogen leaching, microbial biomass and bacterial community structure. Eur. J. Soil Biol. 2016, 74, 1–8. [Google Scholar] [CrossRef]
- Caporaso, J.G.; Kuczynski, J.; Stombaugh, J.; Bittinger, K.; Bushman, F.D.; Costello, E.K.; Fierer, N.; Pena, A.G.; Goodrich, J.K.; Gordon, J.I.; et al. QIIME allows analysis of high-throughput community sequencing data. Nat. Methods 2010, 7, 335–336. [Google Scholar] [CrossRef]
- Kou, S.M.; Vincent, G.; Gonzalez, E.; Pitre, F.E.; Labrecque, M.; Brereton, N.J.B. The response of a 16S ribosomal RNA gene fragment amplified community to lead, zinc, and copper pollution in a Shanghai field trial. Front. Microbiol. 2018, 9, 366–388. [Google Scholar] [CrossRef] [PubMed]
- Ali, H.; Khan, E.; Sajad, M.A. Phytoremediation of heavy metals—Concepts and applications. Chemosphere 2013, 91, 869–881. [Google Scholar] [CrossRef] [PubMed]
- Wang, X.; Jia, Z.X.; Liu, L.J.; Li, J.Q.; Zhang, C.C.; Wang, S.F. Optimization of molding process parameters for sheet molding compound composites based on range analysis. China Plast. 2022, 36, 77–83. [Google Scholar]
- Schmid, C.J.; Murphy, J.A.; Murphy, S. Effect of tillage and compost amendment on turfgrass establishment on a compacted sandy loam. J. Soil Water Conserv. 2017, 72, 55–64. [Google Scholar] [CrossRef]
- Logsdon, S.D.; Sauer, P.A.; Shipitalo, M.J. Compost improves urban soil and water quality. J. Water Resour. Protect. 2017, 9, 345–357. [Google Scholar] [CrossRef]
- Zhang, X.; Zheng, C.Y.; Li, S.M.; Xie, F.J.; Deng, A.X.; Zhang, J.; Song, Z.W.; Zhang, W.J. Long-term combined application of chemical and organic fertilizers decrease net greenhouse gas emission in wheat-soybean system in Huang-Huai-Hai region. J. Plant Nutr. Fertil. 2020, 26, 2204–2215. [Google Scholar]
- Xue, Q.; Zhou, J.F. Effect of organic fertilizer application on soil microbiodiversity in winter wheat fields. Mod. Chem. Res. 2020, 22, 127–128. [Google Scholar]
- Zhou, N.Q.; Zhao, S.; Shen, X.P. Nitrogen cycle in the hyporheic zone of natural wetlands. Chin. Sci. Bull. 2014, 59, 2945–2956. [Google Scholar] [CrossRef]
- Song, L.L.; Tie, M.; Zhang, C.H.; Hui, X.J.; Jing, K.; Chen, Z.L.; Zhang, Y. Effects of applying sewage sludge on chemical form distribution and bioavailability of heavy metals in soil. Chin. J. Appl. Ecol. 2012, 23, 2701–2707. [Google Scholar]
- Pernezny, K.; Nagata, R.; Havranek, N.; Sanchez, J. Comparison of two culture media for determination of the copper resistance of Xanthomonas strains and their usefulness for prediction of control with copper bactericides. Crop Prot. 2007, 27, 256–262. [Google Scholar] [CrossRef]
- Wang, C.L.; Zheng, W.J.; Wang, H.J.; Zeng, X.D.; Ji, S.L. The relationship between heavy metals enrichment characteristics and soil acidification for environmental media in Yantai of Shandong province. Rock Miner. Anal. 2012, 31, 361–369. [Google Scholar]
- Lv, J.; Wen, T.C.; Guo, K.L.; Kang, J.C. Effects of distiller’s grains bio-organic fertilizer and microbial agent on microbial quantities and sorghum yield. Res. Agric. Mod. 2013, 34, 502–506. [Google Scholar]
- Ma, Y.; Rajkumar, M.; Vicente, J.A.F.; Freitas, H. Inoculation of Ni-resistant plant growth promoting bacterium Psychrobacter sp. strain SRS8 for the improvement of nickel phytoextraction by energy crops. Int. J. Phytoremed. 2011, 13, 126–139. [Google Scholar] [CrossRef] [PubMed]
- Gill, S.S.; Tuteja, N. Reactive oxygen species and antioxidant machinery in abiotic stress tolerance in crop plants. Plant Physiol. Biochem. 2010, 48, 909–930. [Google Scholar] [CrossRef] [PubMed]
- Babu, A.G.; Shea, P.J.; Oh, B.T. Trichoderma sp. PDR1-7 promotes Pinus sylvestris reforestation of lead-contaminated mine tailing sites. Sci. Total Environ. 2014, 476–477, 561–567. [Google Scholar] [CrossRef]
- Garg, N.; Aggarwal, N. Effect of mycorrhizal inoculations on heavy metal uptake and stress alleviation of Cajanus cajan (L.) Millsp. genotypes grown in cadmium and lead contaminated soils. Plant Growth Regul. 2012, 66, 9–26. [Google Scholar] [CrossRef]
- Landberg, T.; Greger, M. Differences in uptake and tolerance to heavy metals in Salix from unpolluted and polluted areas. Appl. Geochem. 1996, 11, 175–180. [Google Scholar] [CrossRef]
- Massenet, A.; Bonet, A.; Laur, J.; Labrecque, M. Co-planting Brassica napus and Salix nigra as a phytomanagement alternative for Cu contaminated soil. Chemosphere 2021, 279, 130517. [Google Scholar] [CrossRef]
- Borghi, M.; Tognetti, R.; Monteforti, G.; Sebastiani, L. Responses of two poplar species (Populus alba and Populus ×canadensis) to high copper concentrations. Environ. Exp. Bot. 2008, 62, 290–299. [Google Scholar] [CrossRef]
- Tian, S.K.; Li, T.X.; Yang, X.E.; Lu, L.L.; Peng, H.Y. Mechanisms of copper uptake, transportation and detoxification in plants. Chin. J. Soil Sci. 2006, 37, 387–394. [Google Scholar]
- Li, Y.J. Physiological Response and Tolerance Evaluation on Six Urban Greening Seedlings under Soil Cu and Pb Contamination. Ph.D. Thesis, Beijing Forestry University, Beijing, China, 2010. [Google Scholar]
- Pilipović, A.; Zalesny, R.S.; Rončević, S.; Nikolić, N.; Orlović, S.; Beljin, J.; Katanić, M. Growth, physiology, and phytoextraction potential of poplar and willow established in soils amended with heavy-metal contaminated, dredged river sediments. J. Environ. Manag. 2019, 239, 352–365. [Google Scholar] [CrossRef]




| Treatments | Factors | ||
|---|---|---|---|
| Plant Composts (%vol) | Wood Chips (%vol) | EM Agents (mL·m−2) | |
| T1 | 0 | 0 | 0 |
| T2 | 0 | 3.75 | 40 |
| T3 | 0 | 7.5 | 20 |
| T4 | 0 | 15 | 10 |
| T5 | 7.5 | 0 | 40 |
| T6 | 7.5 | 3.75 | 0 |
| T7 | 7.5 | 7.5 | 10 |
| T8 | 7.5 | 15 | 20 |
| T9 | 15 | 0 | 20 |
| T10 | 15 | 3.75 | 10 |
| T11 | 15 | 7.5 | 0 |
| T12 | 15 | 15 | 40 |
| T13 | 30 | 0 | 10 |
| T14 | 30 | 3.75 | 20 |
| T15 | 30 | 7.5 | 40 |
| T16 | 30 | 15 | 0 |
| Parameters | Soils | Plant Composts | Wood Chips |
|---|---|---|---|
| PS (cm) | / | 0.3–1.0 | 2.0–3.0 |
| BD (g·cm−3) | 1.31 | 0.40 | 0.38 |
| pH | 8.20 | 7.57 | 7.85 |
| SOM (g·kg−1) | 24.2 | 69.89 | 109.20 |
| TN (g·kg−1) | 2.36 | 2.37 | 2.45 |
| TP (g·kg−1) | 1.62 | 1.74 | 1.75 |
| Treatments | BD (g·cm−3) | MWHC (g·kg−1) | SOM (g·kg−1) | HN (mg·kg−1) | CEC (cmol(+)·kg−1) | EC (uS·cm−1) | pH | WS-Cu (mg·kg−1) |
|---|---|---|---|---|---|---|---|---|
| T1 | 1.21 ± 0.07 a | 437.40 ± 28.68 f | 24.54 ± 2.60 c | 111.53 ± 16.52 cd | 12.48 ± 0.02 f | 140.57 ± 12.14 b | 8.08 ± 0.04 abcd | 1.38 ± 0.07 bcd |
| T2 | 1.05 ± 0.07 abc | 528.14 ± 53.95 def | 33.24 ± 7.18 bc | 109.79 ± 23.04 cd | 11.98 ± 0.33 f | 149.60 ± 7.61 ab | 8.09 ± 0.05 abcd | 1.79 ± 0.08 abcd |
| T3 | 1.06 ± 0.09 abc | 497.35 ± 59.23 ef | 31.83 ± 4.79 bc | 124.79 ± 20.55 bcd | 14.72 ± 1.20 cdef | 153.57 ± 7.83 ab | 8.05 ± 0.07 abcd | 1.96 ± 0.44 abcd |
| T4 | 1.05 ± 0.04 abc | 524.69 ± 39.71 def | 30.02 ± 5.82 bc | 107.21 ± 30.57 cd | 14.29 ± 1.56 def | 155.70 ± 7.75 ab | 8.12 ± 0.10 abcd | 1.29 ± 0.51 cd |
| T5 | 1.13 ± 0.00 ab | 489.68 ± 3.17 ef | 31.50 ± 3.02 bc | 117.01 ± 13.58 bcd | 16.12 ± 0.88 abcde | 154.73 ± 8.86 ab | 7.94 ± 0.13 cd | 1.50 ± 0.07 abcd |
| T6 | 1.02 ± 0.11 abcd | 548.64 ± 70.62 cdef | 27.95 ± 2.63 bc | 100.38 ± 11.95 d | 14.43 ± 0.54 def | 139.43 ± 6.99 b | 8.15 ± 0.02 ab | 1.50 ± 0.63 abcd |
| T7 | 0.92 ± 0.06 cde | 630.13 ± 50.67 bcde | 38.48 ± 3.43 ab | 134.45 ± 8.31 bcd | 15.56 ± 0.10 abcde | 155.03 ± 5.41 ab | 8.20 ± 0.02 a | 2.50 ± 0.14 ab |
| T8 | 1.12 ± 0.04 ab | 481.39 ± 37.33 ef | 33.16 ± 2.16 bc | 127.72 ± 15.07 bcd | 15.58 ± 1.46 abcde | 153.63 ± 8.23 ab | 8.13 ± 0.02 abc | 2.12 ± 0.45 abcd |
| T9 | 1.05 ± 0.03 abc | 531.46 ± 19.81 def | 45.71 ± 1.11 a | 192.89 ± 14.62 a | 17.48 ± 0.22 abc | 167.00 ± 10.48 a | 7.93 ± 0.07 d | 2.58 ± 0.76 a |
| T10 | 0.95 ± 0.04 bcde | 615.15 ± 25.45 bcde | 33.39 ± 0.97 bc | 119.32 ± 3.27 bcd | 13.65 ± 0.50 ef | 152.90 ± 7.54 ab | 8.08 ± 0.07 abcd | 2.46 ± 0.30 abc |
| T11 | 0.98 ± 0.12 bcd | 588.66 ± 93.14 bcdef | 29.63 ± 2.04 bc | 114.19 ± 12.96 bcd | 16.15 ± 0.07 abcde | 152.60 ± 4.48 ab | 8.15 ± 0.07 ab | 2.56 ± 0.11 a |
| T12 | 1.08 ± 0.10 abc | 504.64 ± 71.29 ef | 29.04 ± 6.89 bc | 113.37 ± 23.85 bcd | 15.47 ± 1.13 bcde | 149.07 ± 12.71 ab | 8.17 ± 0.07 ab | 2.00 ± 0.36 abcd |
| T13 | 0.77 ± 0.07 e | 814.32 ± 78.91 a | 36.00 ± 2.85 abc | 132.13 ± 9.54 bcd | 15.63 ± 0.69 abcde | 155.77 ± 8.94 ab | 8.04 ± 0.03 abcd | 1.42 ± 0.15 abcd |
| T14 | 0.89 ± 0.10 cde | 688.07 ± 87.69 abcd | 38.48 ± 4.53 ab | 154.42 ± 24.39 abc | 17.09 ± 1.32 abcd | 159.30 ± 8.80 ab | 8.00 ± 0.03 bcd | 1.81 ± 0.32 abcd |
| T15 | 0.84 ± 0.06 de | 709.82 ± 85.97 abc | 31.25 ± 2.41 bc | 115.36 ± 10.50 bcd | 18.07 ± 2.34 ab | 148.93 ± 5.39 ab | 8.05 ± 0.05 abcd | 1.25 ± 0.14 d |
| T16 | 0.84 ± 0.02 de | 741.86 ± 31.75 ab | 39.01 ± 5.02 ab | 162.86 ± 13.84 ab | 18.46 ± 0.57 a | 161.93 ± 4.97 ab | 7.99 ± 0.05 bcd | 1.50 ± 0.07 abcd |
| Index | Cu Concentration | Dry Biomass | Cu Phytoextraction | |||
|---|---|---|---|---|---|---|
| F. chinensis | S. Matsudanas × alba | F. chinensis | S. Matsudanas × alba | F. chinensis | S. Matsudanas × alba | |
| BD | −0.625 ** | −0.596 * | −0.480 | −0.309 | −0.729 ** | −0.706 ** |
| MWHC | 0.617 * | 0.662 ** | 0.473 | 0.339 | 0.720 ** | 0.692 ** |
| SOM | 0.072 | 0.080 | 0.832 ** | 0.252 | 0.295 | 0.259 |
| HN | 0.115 | −0.059 | 0.710 ** | 0.305 | 0.301 | 0.248 |
| CEC | 0.622 * | 0.229 | 0.651 ** | 0.392 | 0.251 | 0.135 |
| EC | 0.088 | −0.036 | −0.440 | −0.071 | −0.162 | −0.046 |
| pH | −0.007 | −0.193 | 0.503 * | 0.095 | −0.227 | −0.047 |
| WS-Cu | −0.374 | −0.438 | 0.527 * | 0.727 ** | 0.736 ** | 0.647 ** |
| Shannon | 0.079 | / | 0.617 * | / | 0.216 | / |
| Chao | 0.079 | / | 0.612 * | / | 0.238 | / |
| Shannoneven | 0.128 | / | 0.563 * | / | 0.241 | / |
| Index | Cu-extraction Amount | |
|---|---|---|
| F. chinensis | S. matsudana × alba | |
| Cu concentration | 0.949 ** | 0.520 * |
| Dry biomass | 0.308 | 0.921 ** |
| Species | Factors | |||
|---|---|---|---|---|
| Plant Composts | Wood Chips | EM Agents | ||
| F. chinensis | K1 | 57.54 | 66.53 | 76.01 |
| K2 | 63.05 | 63.23 | 67.80 | |
| K3 | 69.54 | 87.12 | 74.01 | |
| K4 | 105.06 | 78.31 | 77.37 | |
| R value | 47.52 | 23.89 | 9.57 | |
| Optimal level | 30% | 7.5% | 40 mL·m−2 | |
| S. matsudana × alba | K1 | 7.88 | 12.07 | 12.32 |
| K2 | 12.75 | 10.66 | 12.36 | |
| K3 | 12.73 | 11.47 | 11.32 | |
| K4 | 15.29 | 14.45 | 12.65 | |
| R value | 7.41 | 3.79 | 1.33 | |
| Optimal level | 30% | 15% | 40 mL·m−2 | |
Publisher’s Note: MDPI stays neutral with regard to jurisdictional claims in published maps and institutional affiliations. |
© 2022 by the authors. Licensee MDPI, Basel, Switzerland. This article is an open access article distributed under the terms and conditions of the Creative Commons Attribution (CC BY) license (https://creativecommons.org/licenses/by/4.0/).
Share and Cite
Zhang, Q.; Fang, H.; Shang, K. Effect of Exogenous Plant Debris and Microbial Agents on Phytoremediation of Copper-Contaminated Soil in Shanghai. Plants 2022, 11, 3056. https://doi.org/10.3390/plants11223056
Zhang Q, Fang H, Shang K. Effect of Exogenous Plant Debris and Microbial Agents on Phytoremediation of Copper-Contaminated Soil in Shanghai. Plants. 2022; 11(22):3056. https://doi.org/10.3390/plants11223056
Chicago/Turabian StyleZhang, Qian, Hailan Fang, and Kankan Shang. 2022. "Effect of Exogenous Plant Debris and Microbial Agents on Phytoremediation of Copper-Contaminated Soil in Shanghai" Plants 11, no. 22: 3056. https://doi.org/10.3390/plants11223056
APA StyleZhang, Q., Fang, H., & Shang, K. (2022). Effect of Exogenous Plant Debris and Microbial Agents on Phytoremediation of Copper-Contaminated Soil in Shanghai. Plants, 11(22), 3056. https://doi.org/10.3390/plants11223056
