Electric Field-Enhanced Cadmium Accumulation and Photosynthesis in a Woody Ornamental Hyperaccumulator—Lonicera japonica Thunb.
Abstract
1. Introduction
2. Materials and Methods
2.1. Plant Cultivation and Treatments
2.2. Measurements of Photosynthetic Parameters
2.3. Assays of Plant Biomass and Cd Content
2.4. Data Analysis
2.5. Statistical Analyses
3. Results and Discussion
3.1. The Effect of Electric Field on Cd Accumulation in Plants
3.2. The Effect of Electric Field on Hyperaccumulation Characteristics
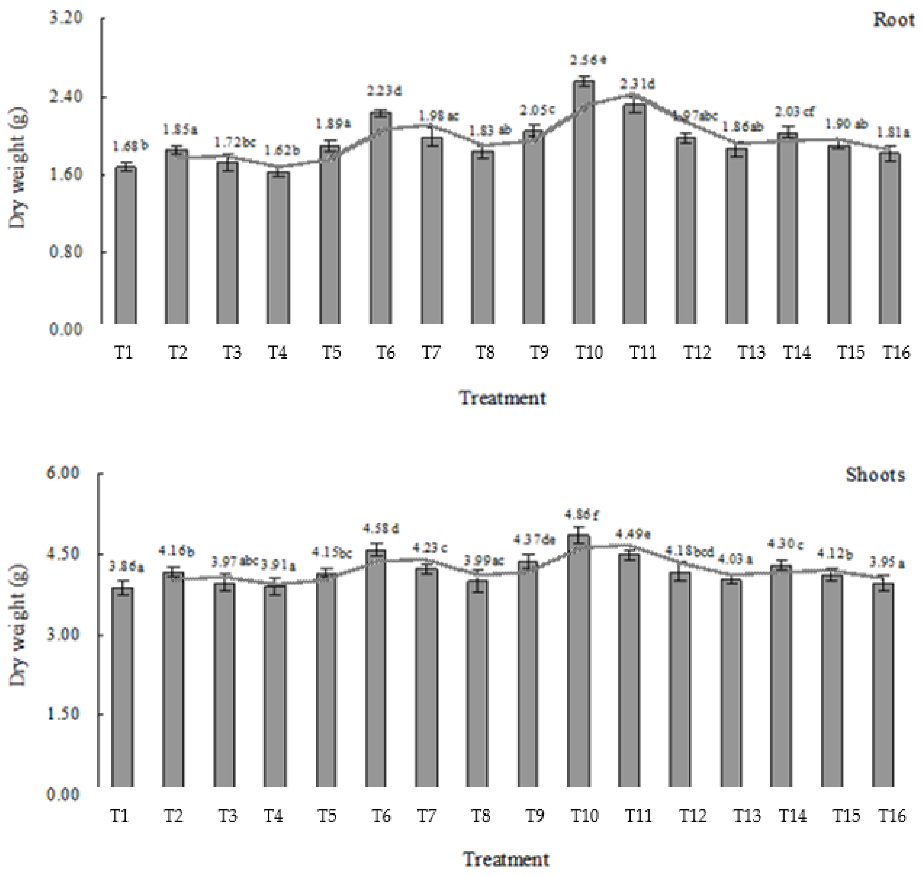
3.3. The Effect of Electric Field on Root and Shoots Dry Weight
3.4. The Effect of Electric Field on Photosynthetic Parameters
4. Conclusions
Author Contributions
Funding
Institutional Review Board Statement
Informed Consent Statement
Data Availability Statement
Conflicts of Interest
References
- Feller, U.; Anders, I.; Wei, S. Distribution and Redistribution of 109Cd and 65Zn in the heavy metal hyperaccumulator Solanum nigrum L.: Influence of cadmium and zinc concentrations in the root medium. Plants 2019, 8, 340. [Google Scholar] [CrossRef] [PubMed]
- He, J.L.; Zhuang, X.L.; Zhou, J.T.; Sun, L.Y.; Wan, H.X.; Li, H.F.; Lyu, D.G. Exogenous melatonin alleviates cadmium uptake and toxicity in apple rootstocks. Tree Physiol. 2020, 40, 746–761. [Google Scholar] [CrossRef] [PubMed]
- Irshad, M.A.; Rehman, M.Z.U.; Anwar-ul-Haq, M.; Rizwan, M.; Nawaz, R.; Shakoor, M.B.; Wijaya, L.; Alyemeni, M.N.; Ahmad, P.; Ali, S. Effect of green and chemically synthesized titanium dioxide nanoparticles on cadmium accumulation in wheat grains and potential dietary health risk: A field investigation. J. Hazard. Mater. 2021, 415, 125585. [Google Scholar] [CrossRef] [PubMed]
- Durante-Yánez, E.V.; Martínez-Macea, M.A.; Enamorado-Montes, G.; Combatt Caballero, E.; Marrugo-Negrete, J. Phytoremediation of soils contaminated with heavy metals from gold mining activities using Clidemia sericea D. Don. Plants 2022, 11, 597. [Google Scholar] [CrossRef]
- Zulkafflee, N.S.; Redzuan, N.A.M.; Nematbakhsh, S.; Selamat, J.; Ismail, M.R.; Praveena, S.M.; Lee, S.Y.; Razis, A.F.A. Heavy metal contamination in Oryza sativa L. at the eastern region of Malaysia and its risk assessment. Int. J. Environ. Res. Pub. Health 2022, 19, 739. [Google Scholar] [CrossRef]
- Andresen, E.; Kappel, S.; Stark, H.J.; Riegger, U.; Borovec, J.; Mattusch, J.; Heinz, A.; Schmelzer, C.E.H.; Matouskova, S.; Dickinson, B. Cadmium toxicity investigated at the physiological and biophysical levels under environmentally relevant conditions using the aquatic model plant Ceratophyllum demersum. New Phytol. 2016, 210, 1244–1258. [Google Scholar] [CrossRef]
- Borges, K.L.R.; Salvato, F.; Alcântara, B.K.; Nalin, R.S.; Piotto, F.Â.; Azevedo, R.A. Temporal dynamic responses of roots in contrasting tomato genotypes to cadmium tolerance. Ecotoxicology 2018, 27, 245–258. [Google Scholar] [CrossRef]
- Kapoor, D.; Singh, M.P.; Kaur, S.; Bhardwaj, R.; Zheng, B.S.; Sharma, A. Modulation of the functional components of growth, photosynthesis, and anti-oxidant stress markers in cadmium exposed Brassica juncea L. Plants 2019, 8, 260. [Google Scholar] [CrossRef]
- Zhang, Z.W.; Dong, Y.Y.; Feng, L.Y.; Deng, Z.L.; Xu, Q.; Tao, Q.; Wang, C.Q.; Chen, Y.E.; Yuan, M.; Yuan, S. Selenium enhances cadmium accumulation capability in two mustard family species—Brassica napus and B. juncea. Plants 2020, 9, 904. [Google Scholar] [CrossRef]
- Dobrikova, A.G.; Apostolova, E.L.; Hanc, A.; Yotsova, E.; Borisova, P.; Sperdouli, I.; Adamakis, I.D.S.; Moustakas, M. Cadmium toxicity in Salvia sclarea L.: An integrative response of element uptake, oxidative stress markers, leaf structure and photosynthesis. Ecotox. Environ. Saf. 2021, 209, 111851. [Google Scholar] [CrossRef]
- Singh, S.; Prasad, S. IAA alleviates Cd toxicity on growth, photosynthesis and oxidative damages in eggplant seedlings. Acta Physiol. Plant. 2015, 77, 87–98. [Google Scholar] [CrossRef]
- Zouari, M.; Ben Ahmed, C.; Zorrig, W.; Elloumi, N.; Rabhi, M.; Delmail, D.; Ben Rouina, B.; Labrousse, P.; Ben Abdallah, F. Exogenous proline mediates alleviation of cadmium stress by promoting photosynthetic activity, water status and antioxidative enzymes activities of young date palm (Phoenix dactylifera L.). Ecotox. Environ. Saf. 2016, 128, 100–108. [Google Scholar] [CrossRef] [PubMed]
- Rizwan, M.; Noureen, S.; Ali, S.; Anwar, S.; Rehman, M.Z.U.; Qayyum, M.F.; Hussain, A. Influence of biochar amendment and foliar application of iron oxide nanoparticles on growth, photosynthesis, and cadmium accumulation in rice biomass. J. Soils Sediments 2019, 19, 3749–3759. [Google Scholar] [CrossRef]
- Zhu, Y.Q.; Wang, H.J.; Lv, X.; Zhang, Y.T.; Wang, W.J. Effects of biochar and biofertilizer on cadmium-contaminated cotton growth and the antioxidative defense system. Sci. Rep. 2020, 10, 20112. [Google Scholar] [CrossRef]
- Han, Y.; Zveushe, O.K.; Dong, F.Q.; Ling, Q.; Chen, Y.; Sajid, S.; Zhou, L.; de Dios, V.R. Unraveling the effects of arbuscular mycorrhizal fungi on cadmium uptake and detoxification mechanisms in perennial ryegrass (Lolium perenne). Sci. Total Environ. 2021, 798, 149222. [Google Scholar] [CrossRef]
- Yang, F.W.; Zhang, H.B.; Wang, Y.; He, G.Q.; Wang, J.C.; Guo, D.N.; Li, T.; Sun, G.Y.; Zhang, H.H. The role of antioxidant mechanism in photosynthesis under heavy metals Cd or Zn exposure in tobacco leaves. J. Plant Interact. 2021, 16, 354–366. [Google Scholar] [CrossRef]
- An, T.T.; Wu, Y.J.; Xu, B.C.; Zhang, S.Q.; Deng, X.P.; Zhang, Y.; Siddique, K.H.M.; Chen, Y.L. Nitrogen supply improved plant growth and Cd translocation in maize at the silking and physiological maturity under moderate Cd stress. Ecotox. Environ. Saf. 2022, 230, 113137. [Google Scholar] [CrossRef]
- Gieron, Z.Z.; Sitko, K.; Zieleznik-Rusinowska, P.; Szopinski, M.; Rojek-Jelonek, M.; Rostanski, A.; Rudnicka, M.; Malkowski, E. Ecophysiology of Arabidopsis arenosa, a new hyperaccumulator of Cd and Zn. J. Hazard. Mater. 2021, 412, 125052. [Google Scholar] [CrossRef]
- Shah, V.; Daverey, A. Phytoremediation: A multidisciplinary approach to clean up heavy metal contaminated soil. Environ. Technol. Innov. 2020, 18, 100774. [Google Scholar] [CrossRef]
- Esringu, A.; Turan, M.; Cangonul, A. Remediation of Pb and Cd polluted soils with fulvic acid. Forests 2021, 12, 1608. [Google Scholar] [CrossRef]
- Placido, D.F.; Lee, C.C. Potential of industrial hemp for phytoremediation of heavy metals. Plants 2022, 11, 595. [Google Scholar] [CrossRef] [PubMed]
- Ying, R.R.; Qiu, R.L.; Tang, Y.T.; Hu, P.J.; Qiu, H.; Chen, H.R.; Shi, T.H.; Morel, J.L. Cadmium tolerance of carbon assimilation enzymes and chloroplast in Zn/Cd hyperaccumulator Picris divaricata. J. Plant Physiol. 2010, 167, 81–87. [Google Scholar] [CrossRef] [PubMed]
- Morina, F.; Kupper, H. Direct inhibition of photosynthesis by Cd dominates over inhibition caused by micronutrient deficiency in the Cd/Zn hyperaccumulator Arabidopsis halleri. Plant Physiol. Biochem. 2020, 155, 252–261. [Google Scholar] [CrossRef] [PubMed]
- Zhou, C.; Xiao, X.Y.; Guo, Z.H.; Peng, C.; Zeng, P.; Bridget, A.F. Physiological responses, tolerance efficiency, and phytoextraction potential of Hylotelephium spectabile (Boreau) H. Ohba under Cd stress in hydroponic condition. Int. J. Phytoremediat. 2021, 23, 80–88. [Google Scholar] [CrossRef]
- Kamran, M.; Malik, Z.; Parveen, A.; Zong, Y.T.; Abbasi, G.H.; Rafiq, M.T.; Shaaban, M.; Mustafa, A.; Bashir, S.; Rafay, M. Biochar alleviates Cd phytotoxicity by minimizing bioavailability and oxidative stress in pak choi (Brassica chinensis L.) cultivated in Cd-polluted soil. J. Environ. Manag. 2019, 250, 109500. [Google Scholar] [CrossRef]
- Arsenov, D.; Zupunski, M.; Borisev, M.; Nikolic, N.; Pilipovic, A.; Orlovic, S.; Kebert, M.; Pajevic, S. Citric acid as soil amendment in cadmium removal by Salix viminalis L., alterations on biometric attributes and photosynthesis. Int. J. Phytoremediat. 2020, 22, 29–39. [Google Scholar] [CrossRef]
- Chirakkara, R.A.; Reddy, K.R.; Cameselle, C. Electrokinetic amendment in phytoremediation of mixed contaminated soil. Electrochim. Acta 2015, 181, 179–191. [Google Scholar] [CrossRef]
- Harikumar, P.S.P.; Megha, T. Treatment of heavy metals from water by electro-phytoremediation technique. J. Ecol. Eng. 2017, 18, 18–26. [Google Scholar]
- Luo, J.; Cai, L.; Qi, S.; Wu, J.; Gu, X.S. Influence of direct and alternating current electric fields on efficiency promotion and leaching risk alleviation of chelator assisted phytoremediation. Ecotoxicol. Environ. Saf. 2018, 149, 241–247. [Google Scholar] [CrossRef]
- Cameselle, C.; Gouveia, S. Phytoremediation of mixed contaminated soil enhanced with electric current. J. Hazard. Mater. 2019, 361, 95–102. [Google Scholar] [CrossRef]
- Chang, J.H.; Dong, C.D.; Shen, S.Y. The lead contaminated land treated by the circulation-enhanced electrokinetics and phytoremediation in field scale. J. Hazard. Mater. 2019, 368, 894–898. [Google Scholar] [CrossRef] [PubMed]
- Cao, Y.B.; Wang, X.; Zhang, X.Y.; Misselbrook, T.; Bai, Z.H.; Ma, L. An electric field immobilizes heavy metals through promoting combination with humic substances during composting. Bioresour. Technol. 2021, 330, 124996. [Google Scholar] [CrossRef] [PubMed]
- Schmiedchen, K.; Petr, A.K.; Driessen, S.; Bailey, W.H. Systematic review of biological effects of exposure to static electric fields. Part II: Invertebrates and plants. Environ. Res. 2018, 160, 60–76. [Google Scholar] [CrossRef] [PubMed]
- Cameselle, C.; Gouveia, S.; Urrejola, S. Benefits of phytoremediation amended with DC electric field. Application to soils contaminated with heavy metals. Chemosphere 2019, 229, 481–488. [Google Scholar] [CrossRef]
- Yuan, L.Z.; Guo, P.H.; Guo, S.H.; Wang, J.N.; Huang, Y.J. Influence of electrical fields enhanced phytoremediation of multi-metal contaminated soil on soil parameters and plants uptake in different soil sections. Environ. Res. 2021, 198, 111290. [Google Scholar] [CrossRef]
- Huang, B.; Chi, G.Y.; Chen, X.; Shi, Y. Mild electrokinetic treatment of cadmium-polluted manure for improved applicability in greenhouse soil. Environ. Sci. Pollut. Res. 2017, 24, 24011–24018. [Google Scholar] [CrossRef]
- Acosta-Santoyo, G.; Herrada, R.A.; De Folter, S.; Bustos, E. Stimulation of the germination and growth of different plant species using an electric field treatment with IrO2-Ta2O5 vertical bar Ti electrodes. J. Chem. Technol. Biot. 2018, 93, 1488–1494. [Google Scholar] [CrossRef]
- Anning, A.K.; Akoto, R. Assisted phytoremediation of heavy metal contaminated soil from a mined site with Typha latifolia and Chrysopogon zizanioides. Ecotox. Environ. Saf. 2018, 148, 97–104. [Google Scholar] [CrossRef]
- Sun, Z.C.; Wu, B.; Guo, P.H.; Wang, S.; Guo, S.H. Enhanced electrokinetic remediation and simulation of cadmium-contaminated soil by superimposed electric field. Chemosphere 2019, 233, 17–24. [Google Scholar] [CrossRef]
- Xu, L.; Dai, H.P.; Skuza, L.; Wei, S.H. Optimal voltage and treatment time of electric field with assistant Solanum nigrum L. cadmium hyperaccumulation in soil. Chemosphere 2020, 253, 126575. [Google Scholar] [CrossRef]
- Bi, R.; Schlaak, M.; Siefert, E.; Lord, R.; Connolly, H. Alternating current electrical field effects on lettuce (Lactuca sativa) growing in hydroponic culture with and without cadmium contamination. J. Appl. Electrochem. 2010, 40, 1217–1223. [Google Scholar] [CrossRef]
- Wiewiórka, Z. The effects of electromagnetic and electrostatic fields on the development and yield of greenhouse tomato plants. Acta Agrobot. 2013, 43, 25–36. [Google Scholar] [CrossRef][Green Version]
- He, R.R.; Xi, G.; Liu, K. Alleviating effect of extremely low frequency pulsed electric field on drought damage of maize seedling roots. J. Lumin. 2017, 188, 441–447. [Google Scholar] [CrossRef]
- González-Casado, S.; Martín-Belloso, O.; Elez-Martínez, P.; Soliva-Fortuny, R. Enhancing the carotenoid content of tomato fruit with pulsed electric field treatments: Effects on respiratory activity and quality attributes. Postharvest Biol. Technol. 2018, 137, 113–118. [Google Scholar] [CrossRef]
- Sánchez, V.; Francisco; López-Bellido, J.; Rodrigo, M.A.; Rodríguez, L. Enhancing the removal of atrazine from soils by electrokinetic-assisted phytoremediation using ryegrass (Lolium perenne L.). Chemosphere 2019, 232, 204–212. [Google Scholar] [CrossRef]
- Klink, A.; Polechonska, L.; Dambiec, M.; Bienkowski, P.; Klink, J.; Salamacha, Z. The influence of an electric field on growth and trace metal content in aquatic plants. Int. J. Phytoremediat. 2019, 21, 246–250. [Google Scholar] [CrossRef]
- Wu, Y.; Wang, S.; Cheng, F.L.; Guo, P.H.; Guo, S.H. Enhancement of electrokinetic-bioremediation by ryegrass: Sustainability of electrokinetic effect and improvement of n-hexadecane degradation. Environ. Res. 2020, 188, 109717. [Google Scholar] [CrossRef]
- Cai, Z.P.; Sun, Y.; Deng, Y.H.; Zheng, X.J.; Sun, S.Y.; Romantschuk, M.; Sinkkonen, A. In situ electrokinetic (EK) remediation of the total and plant available cadmium (Cd) in paddy agricultural soil using low voltage gradients at pilot and full scales. Sci. Total Environ. 2021, 785, 147277. [Google Scholar] [CrossRef]
- Chaneva, G.; Parvanova, P.; Tzvetkova, N.; Uzunova, A. Photosynthetic response of maize plants against cadmium and paraquat impact. Water Air Soil Pollut. 2010, 208, 287–293. [Google Scholar] [CrossRef]
- Chen, Y.E.; Mao, H.T.; Wu, N.; Khan, A.; Din, A.M.U.; Ding, C.B.; Zhang, Z.W.; Yuan, S.; Yuan, M. Different tolerance of photosynthetic apparatus to Cd stress in two rice cultivars with the same leaf Cd accumulation. Acta Physiol. Plant. 2019, 41, 191. [Google Scholar] [CrossRef]
- Zhao, Q.Y.; Gu, C.X.; Wang, Y.; Li, G.Z.; Hao, L. Ethylene insensitive mutation alleviates cadmium-induced photosynthesis impairment in Arabidopsis plants. Acta Physiol. Plant. 2022, 44, 16. [Google Scholar] [CrossRef]
- López-Millán, A.F.; Sagardoy, R.; Solanas, M.; Abadía, A.; Abadía, J. Cadmium toxicity in tomato (Lycopersicon esculentum) plants grown in hydroponics. Ecotoxicol. Environ. Saf. 2009, 65, 376–385. [Google Scholar] [CrossRef]
- Liu, Z.L.; Chen, W.; He, X.Y. Influence of Cd2+ on Growth and Chlorophyll Fluorescence in a Hyperaccumulator: Lonicera japonica Thunb. J. Plant Growth Regul. 2015, 34, 672–676. [Google Scholar] [CrossRef]
- An, M.J.; Wang, H.J.; Fan, H.; Ippolito, J.A.; Meng, C.M.; Yu, E.; Li, Y.B.; Wang, K.Y.; Wei, C.Z. Effects of modifiers on the growth, photosynthesis, and antioxidant enzymes of cotton under cadmium toxicity. J. Plant Growth Regul. 2019, 38, 1196–1205. [Google Scholar] [CrossRef]
- Chen, H.C.; Zhang, S.L.; Wu, K.J.; Li, R.; He, X.R.; He, D.N.; Huang, C.; Wei, H. The effects of exogenous organic acids on the growth, photosynthesis and cellular ultrastructure of Salix variegata Franch. Under Cd stress. Ecotox. Environ. Saf. 2020, 187, 109790. [Google Scholar] [CrossRef]
- Haque, A.M.; Tasnim, J.; El-Shehawi, A.M.; Rahman, M.A.; Parvez, M.S.; Ahmed, M.B.; Kabir, A.H. The Cd-induced morphological and photosynthetic disruption is related to the reduced Fe status and increased oxidative injuries in sugar beet. Plant Physiol. Bioch. 2021, 166, 448–458. [Google Scholar] [CrossRef]
- Scholz, T.; Hof, A.; Schmitt, T. Cooling effects and regulating ecosystem services provided by urban trees novel analysis approaches using urban tree cadastre data. Sustainability 2018, 10, 712. [Google Scholar] [CrossRef]
- Zhang, Z.; Liu, Y.; Hu, S.; Wang, J.; Qian, J. A new type of ecological floating bed based on ornamental plants experimented in an artificially made eutrophic water body in the laboratory for nutrient removal. Bull. Environ. Contam. Toxicol. 2021, 106, 2–9. [Google Scholar] [CrossRef]
- Cheng, L.; Wang, Y.; Cai, Z.; Liu, J.; Yu, B.; Zhou, Q. Phytoremediation of petroleum hydrocarbon-contaminated saline-alkali soil by wild ornamental Iridaceae species. Int. J. Phytoremediat. 2017, 19, 300–308. [Google Scholar] [CrossRef]
- Chandanshive, V.V.; Kadam, S.K.; Khandare, R.V.; Kurade, M.B.; Jeon, B.H.; Jadhav, J.P.; Govindwar, S.P. In situ phytoremediation of dyes from textile wastewater using garden ornamental plants, effect on soil quality and plant growth. Chemosphere 2018, 210, 968–976. [Google Scholar] [CrossRef]
- Ciftcioglu, G.C.; Ebedi, S.; Abak, K. Evaluation of the relationship between ornamental plants-based ecosystem services and human wellbeing: A case study from Lefke Region of North Cyprus. Ecol. Indic. 2019, 102, 278–288. [Google Scholar] [CrossRef]
- Larson, B.M.H.; Catling, P.M.; Waldron, G.E. The biology of Canadian weeds. 135. Lonicera japonica Thunb. Can. J. Plant Sci. 2007, 87, 423–438. [Google Scholar] [CrossRef][Green Version]
- Thanabhorn, S.; Jaijoy, K.; Thamaree, S.; Ingkaninan, K.; Panthong, A. Acute and subacute toxicity study of the ethanol extract from Lonicera japonica Thunb. J. Ethnopharmacol. 2006, 107, 370–373. [Google Scholar] [CrossRef] [PubMed]
- Liu, Z.L.; He, X.Y.; Chen, W.; Yuan, F.H.; Yan, K.; Tao, D.L. Accumulation and tolerance characteristics of cadmium in a potential hyperaccumulator—Lonicera japonica Thunb. J. Hazard. Mater. 2009, 169, 170–175. [Google Scholar] [CrossRef] [PubMed]
- Liu, Z.L.; He, X.Y.; Chen, W. Effects of cadmium hyperaccumulation on the concentrations of four trace elements in Lonicera japonica Thunb. Ecotoxicology 2011, 20, 698–705. [Google Scholar] [CrossRef]
- Hoagland, D.R.; Arnon, D.I. The water-culture for growing plants without soil. Calif. Agric. Exp. Stat. Circ. 1950, 347, 1–32. [Google Scholar]
- Chen, L.; Zhu, Y.; Luo, H.; Yang, J. Characteristic of adsorption, desorption, and co-transport of vanadium on humic acid colloid. Ecotoxicol. Environ. Saf. 2020, 190, 110087. [Google Scholar] [CrossRef]
- Bi, R.; Schlaak, M.; Siefert, E.; Lord, R.; Connolly, H. Influence of electrical fields (AC and DC) on phytoremediation of metal polluted soils with rapeseed (Brassica napus) and tobacco (Nicotiana tabacum). Chemosphere 2011, 83, 318–326. [Google Scholar] [CrossRef]
- Taamalli, M.; Ghabriche, R.; Amari, T.; Mnasri, M.; Zolla, L.; Lutts, S.; Abdely, C.; Ghnaya, T. Comparative study of Cd tolerance and accumulation potential between Cakile maritima L. (halophyte) and Brassica juncea L. Ecol. Eng. 2014, 71, 623–627. [Google Scholar] [CrossRef]
- Rezapour, S.; Atashpaz, B.; Moghaddam, S.S.; Kalavrouziotis, I.K.; Damalas, C.A. Cadmium accumulation, translocation factor, and health risk potential in a wastewater-irrigated soil-wheat (Triticum aestivum L.) system. Chemosphere 2019, 231, 579–587. [Google Scholar] [CrossRef]
- Zeng, P.; Guo, G.; Xiao, X.; Peng, C.; Feng, W. Phytoextraction potential of Pteris vittata L. co-planted with woody species for As, Cd, Pb and Zn in contaminated soil. Sci. Total Environ. 2019, 650, 594–603. [Google Scholar] [CrossRef] [PubMed]
- Huang, Y.F.; Chen, J.H.; Sun, Y.M.; Wang, H.X.; Zhan, J.Y.; Huang, Y.N.; Zou, J.W.; Wang, L.; Su, N.N.; Cui, J. Mechanisms of calcium sulfate in alleviating cadmium toxicity and accumulation in pak choi seedlings. Sci. Total Environ. 2022, 805, 150115. [Google Scholar] [CrossRef] [PubMed]
- Prabakaran, K.; Li, J.; Anandkumar, A.; Leng, Z.; Zou, C.B.; Du, D. Managing environmental contamination through phytoremediation by invasive plants: A review. Ecol. Eng. 2019, 138, 28–37. [Google Scholar] [CrossRef]
- Szopinski, M.; Sitko, K.; Rusinowski, S.; Zieleznik-Rusinowska, P.; Corso, M.; Rostanski, A.; Rojek-Jelonek, M.; Verbruggen, N.; Malkowski, E. Different strategies of Cd tolerance and accumulation in Arabidopsis halleri and Arabidopsis arenosa. Plant Cell Environ. 2020, 43, 3002–3019. [Google Scholar] [CrossRef]
- Chen, L.; Hu, W.F.; Long, C.; Wang, D. Exogenous plant growth regulator alleviate the adverse effects of U and Cd stress in sunflower (Helianthus annuus L.) and improve the efficacy of U and Cd remediation. Chemosphere 2021, 262, 127809. [Google Scholar] [CrossRef]
- Li, S.L.; Yang, W.H.; Yang, T.T.; Chen, Y.; Ni, W.Z. Effects of cadmium stress on leaf chlorophyll fluorescence and photosynthesis of Elsholtzia argyi—A cadmium accumulating plant. Int. J. Phytoremediat. 2015, 17, 85–92. [Google Scholar] [CrossRef]
- Ooms, M.D.; Dinh, C.T.; Sargent, E.H.; Sinton, D. Photon management for augmented photosynthesis. Nat. Commun. 2016, 7, 12699. [Google Scholar] [CrossRef]
- Liu, L.; Shang, Y.K.; Li, L.; Chen, Y.H.; Qin, Z.Z.; Zhou, L.J.; Yuan, M.; Ding, C.B.; Liu, J.; Huang, Y. Cadmium stress in Dongying wild soybean seedlings: Growth, Cd accumulation, and photosynthesis. Photosynthetica 2018, 56, 1346–1352. [Google Scholar] [CrossRef]
- Han, T.W.; Tseng, C.C.; Cai, M.G.; Chen, K.; Cheng, S.Y.; Wang, J. Effects of cadmium on bioaccumulation, bioabsorption, and photosynthesis in Sarcodia suiae. Int. J. Environ. Res. Pubic Health 2020, 17, 1294. [Google Scholar] [CrossRef]
- Khan, N.A.; Samiullah, S.S.; Nazar, R. Activities of antioxidative enzymes, sulphur assimilation, photosynthetic activity and growth of wheat (Triticum aestivum) cultivars differing in yield potential under cadmium stress. J. Agron. Crop Sci. 2007, 193, 435–444. [Google Scholar] [CrossRef]
- Mobin, M.; Khan, N.A. Photosynthetic activity, pigment composition and antioxidative response of two mustard (Brassica juncea) cultivars differing in photosynthetic capacity subjected to cadmium stress. J. Plant Physiol. 2007, 164, 601–610. [Google Scholar] [CrossRef]
- Dai, H.P.; Wei, Y.; Zhang, Y.Z.; Gao, P.X.; Chen, J.W.; Jia, G.L.; Yang, T.X.; Feng, S.J.; Wang, C.F.; Wang, Y.; et al. Influence of photosynthesis and chlorophyll synthesis on Cd accumulation in Populusxcanescens. J. Food Agric. Environ. 2012, 10, 1020–1023. [Google Scholar]
- Pietrini, F.; Iannelli, M.A.; Pasqualini, S.; Massacci, A. Interaction of cadmium with glutathione and photosynthesis in developing leaves and chloroplasts of Phragmites australis (Cav.) Trin. ex strudel. Plant Physiol. 2003, 133, 829–837. [Google Scholar] [CrossRef] [PubMed]
- Ekmekci, Y.; Tanydoc, D.; Ayhan, B. Effect of cadmium on antioxidant enzyme and photosynthetic activities in leaves of two maize cultivars. J. Plant Physiol. 2008, 165, 600–611. [Google Scholar] [CrossRef] [PubMed]
- Pietrini, F.; Zacchini, M.; Iori, V.; Pietrosanti, L.; Bianconi, D.; Massacci, A. Screening of poplar clones for cadmium phytoremediation using photosynthesis, biomass and cadmium content analyses. Int. J. Phytoremediat. 2009, 12, 105–120. [Google Scholar] [CrossRef] [PubMed]
- Nwugo, C.C.; Huerta, A.J. Silicon-induced cadmium resistance in rice (Oryza sativa). J. Plant Nutr. Soil Sci. 2008, 171, 841–848. [Google Scholar] [CrossRef]






| Treatment | Test Number | Voltage Gradient (V cm−1) | Cd Concentration in the Medium (mg L−1) |
|---|---|---|---|
| T1 | V0-Cd0 | 0 | 0 |
| T2 | V0-Cd5 | 0 | 5 |
| T3 | V0-Cd25 | 0 | 25 |
| T4 | V0-Cd50 | 0 | 50 |
| T5 | V1-Cd0 | 1 | 0 |
| T6 | V1-Cd5 | 1 | 5 |
| T7 | V1-Cd25 | 1 | 25 |
| T8 | V1-Cd50 | 1 | 50 |
| T9 | V2-Cd0 | 2 | 0 |
| T10 | V2-Cd5 | 2 | 5 |
| T11 | V2-Cd25 | 2 | 25 |
| T12 | V2-Cd50 | 2 | 50 |
| T13 | V3-Cd0 | 3 | 0 |
| T14 | V3-Cd5 | 3 | 5 |
| T15 | V3-Cd25 | 3 | 25 |
| T16 | V3-Cd50 | 3 | 50 |
| Treatment | Test Number | Root BC | Shoots BC | TF | RE | Uptake (μg plant−1 day−1) |
|---|---|---|---|---|---|---|
| T1 | V0-Cd0 | — | — | — | — | — |
| T2 | V0-Cd5 | 20.74 a | 6.74 ab | 0.33 a | 14.02 ab | 5.43 abc ± 0.04 |
| T3 | V0-Cd25 | 13.04 b | 3.72 c | 0.29 bc | 7.39 c | 10.68 d ± 0.08 |
| T4 | V0-Cd50 | 13.15 b | 3.51 d | 0.27 d | 6.87 d | 14.68 ef ± 0.06 |
| T5 | V1-Cd0 | — | — | — | — | — |
| T6 | V1-Cd5 | 31.85 cd | 7.94 cde | 0.25 b | 18.18 ef | 8.95 de ± 0.05 |
| T7 | V1-Cd25 | 18.92 e | 7.27 ab | 0.38 a | 15.37 ab | 20.86 g ± 0.12 |
| T8 | V1-Cd50 | 18.61 e | 5.40 e | 0.29 bc | 10.77 g | 19.18 gh ± 0.23 |
| T9 | V2-Cd0 | — | — | — | — | — |
| T10 | V2-Cd5 | 57.93 ef | 13.73 cdef | 0.24 b | 33.36 h | 18.46 ghi ± 0.11 |
| T11 | V2-Cd25 | 44.43 g | 13.17 de | 0.30 a | 29.56 i | 53.02 j ± 0.38 |
| T12 | V2-Cd50 | 32.16 cd | 8.57 abc | 0.27 cd | 17.92 efgh | 16.36 abcd ± 0.15 |
| T13 | V3-Cd0 | — | — | — | — | — |
| T14 | V3-Cd5 | 65.81 h | 17.10 g | 0.26 b | 36.78 jk | 17.80 fg ± 0.09 |
| T15 | V3-Cd25 | 51.68 efg | 13.56 def | 0.26 b | 27.92 hi | 50.27 ijk ± 0.40 |
| T16 | V3-Cd50 | 33.85 cd | 8.11 ab | 0.24 bcd | 16.02 abc | 14.55 cdef ± 0.07 |
Publisher’s Note: MDPI stays neutral with regard to jurisdictional claims in published maps and institutional affiliations. |
© 2022 by the authors. Licensee MDPI, Basel, Switzerland. This article is an open access article distributed under the terms and conditions of the Creative Commons Attribution (CC BY) license (https://creativecommons.org/licenses/by/4.0/).
Share and Cite
Liu, Z.; Chen, Q.; Lin, M.; Chen, M.; Zhao, C.; Lu, Q.; Meng, X. Electric Field-Enhanced Cadmium Accumulation and Photosynthesis in a Woody Ornamental Hyperaccumulator—Lonicera japonica Thunb. Plants 2022, 11, 1040. https://doi.org/10.3390/plants11081040
Liu Z, Chen Q, Lin M, Chen M, Zhao C, Lu Q, Meng X. Electric Field-Enhanced Cadmium Accumulation and Photosynthesis in a Woody Ornamental Hyperaccumulator—Lonicera japonica Thunb. Plants. 2022; 11(8):1040. https://doi.org/10.3390/plants11081040
Chicago/Turabian StyleLiu, Zhouli, Qinglin Chen, Maosen Lin, Mengdi Chen, Cong Zhao, Qingxuan Lu, and Xiangyu Meng. 2022. "Electric Field-Enhanced Cadmium Accumulation and Photosynthesis in a Woody Ornamental Hyperaccumulator—Lonicera japonica Thunb." Plants 11, no. 8: 1040. https://doi.org/10.3390/plants11081040
APA StyleLiu, Z., Chen, Q., Lin, M., Chen, M., Zhao, C., Lu, Q., & Meng, X. (2022). Electric Field-Enhanced Cadmium Accumulation and Photosynthesis in a Woody Ornamental Hyperaccumulator—Lonicera japonica Thunb. Plants, 11(8), 1040. https://doi.org/10.3390/plants11081040

