Effects of Different Hedgerow Patterns on the Soil Physicochemical Properties, Erodibility, and Fractal Characteristics of Slope Farmland in the Miyun Reservoir Area
Abstract
:1. Introduction
2. Results
2.1. Effects of Different Hedgerow Patterns on Soil Mechanical Composition
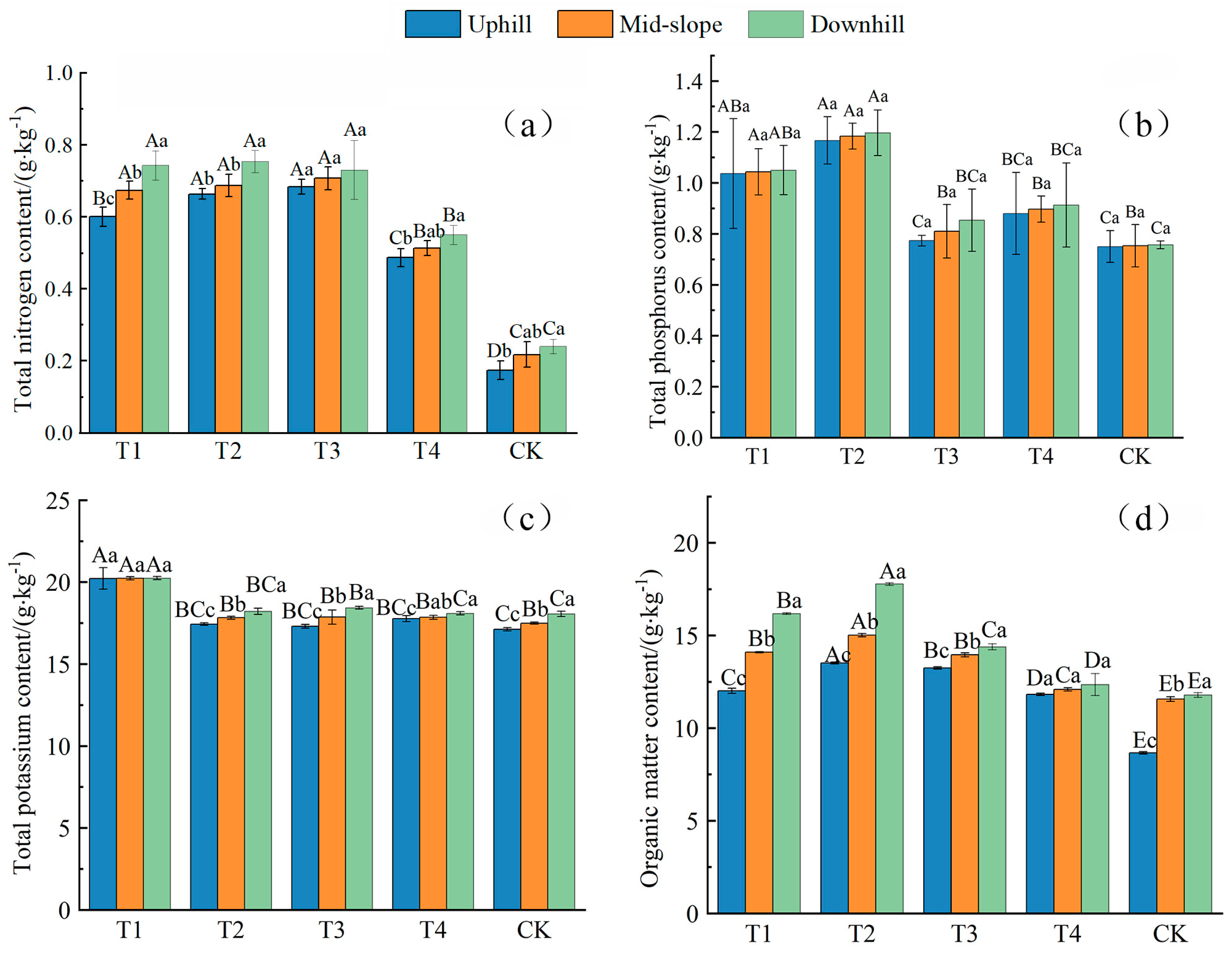
2.2. Effects of Different Hedgerow Patterns on Soil Nutrients
2.3. Effects of Different Hedgerow Patterns on Various Soil Fractal Characteristics
2.3.1. Effects of Different Hedgerow Patterns on Soil Fractal Dimension
2.3.2. Relationship between Fractal Dimension and Soil Particles
2.4. Effects of Different Hedgerow Patterns on the Soil Erodibility Factor K
2.4.1. Change Features of Soil Erodibility Factor K
2.4.2. Influencing Factors of Soil Erodibility
3. Materials and Methods
3.1. Overview of the Study Area
3.2. Experimental Design
3.3. Experimental Method
Sample Collection and Treatment
3.4. Calculation of Soil Fractal Dimension
3.5. Calculation of Soil Erodibility Factor K
3.6. Statistical Analysis
4. Discussion
5. Conclusions
Author Contributions
Funding
Data Availability Statement
Acknowledgments
Conflicts of Interest
References
- van Zelm, R.; van der Velde, M.; Balkovic, J.; Čengić, M.; Elshout, P.M.; Koellner, T.; Núñez, M.; Obersteiner, M.; Schmid, E.; Huijbregts, M.A. Spatially explicit life cycle impact assessment for soil erosion from global crop production. Ecosyst. Serv. 2018, 30, 220–227. [Google Scholar] [CrossRef]
- Zhang, Y.; Xiao, H.; Nie, X.; Li, Z.; Deng, C.; Zhou, M.; Liu, J. Research progress of soil erosion at home and abroad in recent 30 years based on bibliometric analysis. J. Soil 2020, 57, 797–810. [Google Scholar]
- Borrelli, P.; Robinson, D.A.; Fleischer, L.R.; Lugato, E.; Ballabio, C.; Alewell, C.; Meusburger, K.; Modugno, S.; Schütt, B.; Ferro, V.; et al. An assessment of the global impact of 21st century land use change on soil erosion. Nat. Commun. 2017, 8, 2013. [Google Scholar] [CrossRef]
- Eekhout, J.P.; de Vente, J. Global impact of climate change on soil erosion and potential for adaptation through soil conservation. Earth-Sci. Rev. 2022, 226, 103921. [Google Scholar] [CrossRef]
- Liu, B.; Xie, Y.; Li, Z.; Liang, Y.; Zhang, W.; Fu, S.; Yin, S.; Wei, X.; Zhang, K.; Wang, Z.; et al. The assessment of soil loss by water erosion in China. Int. Soil Water Conserv. Res. 2020, 8, 430–439. [Google Scholar] [CrossRef]
- Shi, Z.; Liu, Q.; Zhang, H.; Wang, L.; Huang, X.; Fang, N.; Yue, Z. Research progress and prospects of soil erosion and soil and water conservation in the past decade. J. Soil 2020, 57, 1117–1127. [Google Scholar]
- Zhang, J.; Wang, N.; Wang, Y.; Wang, L.; Hu, A.; Zhang, D.; Su, X.; Chen, J. Responses of soil erosion to land-use changes in the largest tableland of the Loess Plateau. Land Degrad. Dev. 2021, 32, 3598–3613. [Google Scholar] [CrossRef]
- Li, H.; Zhu, H.; Wei, X.; Liu, B.; Shao, M. Soil erosion leads to degradation of hydraulic properties in the agricultural region of Northeast China. Agric. Ecosyst. Environ. 2021, 314, 107388. [Google Scholar] [CrossRef]
- Panagos, P.; Ballabio, C.; Poesen, J.; Lugato, E.; Scarpa, S.; Montanarella, L.; Borrelli, P. A Soil Erosion Indicator for Supporting Agricultural, Environmental and Climate Policies in the European Union. Remote Sens. 2020, 12, 1365. [Google Scholar] [CrossRef]
- Yang, X.; Leys, J.; Gray, J.; Zhang, M. Hillslope erosion improvement targets: Towards sustainable land management across New South Wales, Australia. CATENA 2022, 211, 105956. [Google Scholar] [CrossRef]
- Bi, B.; Yang, J.; Qian, Y.; Shi, C.; Ai, X. Effects of different rainfall patterns on slope runoff characteristics in the upper reaches of Miyun reservoir. J. Zhejiang Agric. For. Univ. 2022, 39, 607–615. [Google Scholar]
- Kumar, D.; Dhaloiya, A.; Nain, A.S.; Sharma, M.P.; Singh, A. Prioritization of Watershed Using Remote Sensing and Geographic Information System. Sustainability 2021, 13, 9456. [Google Scholar] [CrossRef]
- Wischmeier, W.H.; Smith, D.D. Predicting Rainfall Erosion Losses; Agriculture Handbook: Washington, DC, USA, 1978; Volume 537. [Google Scholar]
- Zheng, H.; Li, H.; Mo, M.; Song, Y.; Liu, Z.; Zhang, H. Quantified benefits of cultivating day-lily (Hemerocallis citrina) hedgerows over multiple years on sloped red-soil farmland, southern China. J. Soil Sci. Plant Nutr. 2021, 21, 69–80. [Google Scholar] [CrossRef]
- Caulfield, M.; Groot, J.C.J.; Fonte, S.J.; Sherwood, S.; Oyarzun, P.; Borja, R.M.; Dumble, S.; Tittonell, P. Live barriers and associated organic amendments mitigate land degradation and improve crop productivity in hillside agricultural systems of the Ecuadorian Andes. Land Degrad. Dev. 2020, 31, 1650–1661. [Google Scholar] [CrossRef]
- Zheng, Y.; Wang, H.; Qin, Q.; Wang, Y. Effect of plant hedgerows on agricultural non-point source pollution: A meta-analysis. Environ. Sci. Pollut. Res. 2020, 27, 24831–24847. [Google Scholar] [CrossRef] [PubMed]
- Muoni, T.; Koomson, E.; Öborn, I.; Marohn, C.; Watson, C.A.; Bergkvist, G.; Barnes, A.; Cadisch, G.; Duncan, A. Reducing soil erosion in smallholder farming systems in east Africa through the introduction of different crop types. Exp. Agric. 2020, 56, 183–195. [Google Scholar] [CrossRef]
- Guo, P.; Xia, Z.; Gao, F.; Hu, H.; Zhang, Q.; Yang, Y.; Xiao, H. Effect of vetiver hedgerow on purple soil erosion on slope land in the Three Gorges Reservoir area. J. Agric. Eng. 2021, 37, 105–112. [Google Scholar]
- Chen, X.; Liang, Z.; Zhang, Z.; Zhang, L. Effects of soil and water conservation measures on runoff and sediment yield in red soil slope farmland under natural rainfall. Sustainability 2020, 12, 3417. [Google Scholar] [CrossRef]
- Huang, X.; Ding, S.; Ke, H.; Deng, Y.; Lin, L.; Li, B.; Guo, J. Effects of hedgerow patterns on soil physical and chemical properties and Erodibility in the Three Gorges Reservoir area. J. Soil Water Conserv. 2021, 35, 9–15+22. [Google Scholar] [CrossRef]
- Zhao, C.; Gao, J.E.; Huang, Y.; Wang, G.; Xu, Z. The contribution of Astragalus adsurgens roots and canopy to water erosion control in the water–wind crisscrossed erosion region of the Loess Plateau, China. Land Degrad. Dev. 2017, 28, 265–273. [Google Scholar] [CrossRef]
- Li, C.; Pan, C. The relative importance of different grass components in controlling runoff and erosion on a hillslope under simulated rainfall. J. Hydrol. 2018, 558, 90–103. [Google Scholar] [CrossRef]
- Zhang, B.J.; Zhang, G.H.; Zhu, P.Z.; Yang, H.Y. Temporal variations in soil erodibility indicators of vegetation-restored steep gully slopes on the Loess Plateau of China. Agric. Ecosyst. Environ. 2019, 286, 106661. [Google Scholar] [CrossRef]
- Wang, L.; Sou, L.; Wei, D.; Jin, L.; Ding, J.; Su, L.; An, Z. Nitrogen and phosphorus inhibition and control effects under different hedgerow patterns in Miyun Reservoir area. J. Water Ecol. 2022, 1–13. Available online: http://kns.cnki.net/kcms/detail/42.1785.x.20220614.1340.002.html (accessed on 16 June 2022).
- Bao, S. Agrochemical Analysis of Soil; Agricultural Press of China: Beijing, China, 2000. [Google Scholar]
- Liu, X.; Zhang, G.; Heathman, G.C.; Wang, Y.; Huang, C.-H. Fractal features of soil particle-size distribution as affected by plant communities in the forested region of Mountain Yimeng, China. Geoderma 2009, 154, 123–130. [Google Scholar] [CrossRef]
- Williams, J.R.; Arnold, J.G. A system of erosion-sediment yield models. Soil Technol. 1997, 11, 43–55. [Google Scholar] [CrossRef]
- Lv, W.; Dang, H.; Wang, L.; Dang, H.; He, X. Spatial differentiation characteristics of soil physical and chemical properties of zonal vegetation on the Loess Plateau. J. Prataculture 2016, 25, 21–30. [Google Scholar]
- Yang, X.; Gray, J.; Chapman, G.; Zhu, Q.; Tulau, M.; McInnes-Clarke, S. Digital mapping of soil erodibility for water erosion in New South Wales, Australia. Soil Res. 2017, 56, 158–170. [Google Scholar] [CrossRef]
- Li, B.; Li, Y.; Zhao, S.; Xiao, H.; Li, H. Effects of Hedgerows on the geographical properties and phosphorus loss of lime soil slope tillage. J. Soil Water Conserv. 2017, 31, 14–18+24. [Google Scholar] [CrossRef]
- Ren, L.; Jia, T.; Li, X.; Sui, X.; Guo, B. Effects of hedgerow on soil physical properties in Sloping Farmland in Eastern Liaoning mountain area. Appl. Technol. Water Soil Conserv. 2018, 6–8. [Google Scholar]
- Wang, Z.; Liu, X.; Chen, Y.; Xiang, M.; Qiang, J.; Fu, X. Study on soil erosion resistance in front of hedgerow and under hedgerow in purple soil area. J. Soil Water Conserv. 2020, 34, 61–67. [Google Scholar] [CrossRef]
- Yan, P. Effects of different hedgerows on soil erosion and spatial distribution of soil nutrients in Sloping Farmland in western Liaoning. Appl. Technol. Water Soil Conserv. 2017, 4–6. [Google Scholar]
- Lei, P.; Ni, C.; Chen, F.; Wang, S.; Zhong, S.; Tan, S.; Ni, J.; Xie, D. Effects of Crop–Hedgerow Intercropping on the Soil Physicochemical Properties and Crop Yield on Sloping Cultivated Lands in a Purple Soil of Southwestern China. Forests 2021, 12, 962. [Google Scholar] [CrossRef]
- Lu, W.; Zhang, H.; Cheng, J.; Wu, Y.; Wang, H.; Li, J.; Wang, W. Effect of a hedgerow agroforestry system on the soil properties of sloping cultivated lands in the Three-Gorges area in China. J. Food Agric. Environ. 2012, 10, 1368–1375. [Google Scholar]
- Li, J.; Zhang, H.; Chen, Q.; Zhou, H. Fractal characteristics of soil particles in the Hedgerow System in the Three Gorges Reservoir area and their relationship with soil physical and chemical properties. Res. Soil Water Conserv. 2014, 21, 129–133+139. [Google Scholar] [CrossRef]
- Huang, H.; He, B.; Bao, Y.; Wei, J.; Guo, X. Effects of different models of ridges and hedgerows on characteristic parameters of soil particle composition. J. Soil Water Conserv. 2014, 28, 256–261. [Google Scholar] [CrossRef]
- Li, J.; Zhang, H.; Chen, Q.; Zhou, H. An analysis of soil fractal dimension in a sloping hedgerow agroforestry system in the Three Gorges Reservoir Area, China. Agrofor. Syst. 2015, 89, 983–990. [Google Scholar] [CrossRef]
- Zhu, G.; Tang, Z.; Shangguan, Z.; Peng, C.; Deng, L. Factors affecting the spatial and temporal variations in soil erodibility of china. J. Geophys. Res. Earth Surf. 2019, 124, 737–749. [Google Scholar] [CrossRef]
- Yang, S.; Li, Y.; Gao, Z.; Niu, Y.; Bai, H.; Wang, K. Study on sediment reduction benefits of hedgerow in loess accumulation and fractal characteristics of sediment particles. J. Agric. Mach. 2017, 48, 270–278. [Google Scholar]
- Yang, S.; Gao, Z.L.; Li, Y.H.; Niu, Y.B.; Su, Y.; Wang, K. Erosion control of hedgerows under soils affected by disturbed soil accumulation in the slopes of loess plateau, China. Catena 2019, 181, 104079. [Google Scholar] [CrossRef]
- Chen, J.; He, B.; Wang, X.; Ma, Y.; Xi, W. The effects of Herba Andrographitis hedgerows on soil erodibility and fractal features on sloping cropland in the Three Gorges Reservoir Area. Environ. Sci. Pollut. Res. 2013, 20, 7063–7070. [Google Scholar] [CrossRef]
- Zhang, B.J.; Zhang, G.H.; Yang, H.Y.; Wang, H.; Li, N.N. Soil erodibility affected by vegetation restoration on steep gully slopes on the Loess Plateau of China. Soil Res. 2018, 56, 712. [Google Scholar] [CrossRef]







| STN | STP | STK | SOM | ||||||
|---|---|---|---|---|---|---|---|---|---|
| Plot | Slope Position | Value (g·kg−1) | CV (%) | Value (g·kg−1) | CV (%) | Value (g·kg−1) | CV (%) | Value (g·kg−1) | CV (%) |
| T1 | Upper | 0.60 ± 0.026 | 4.4% | 1.04 ± 0.216 | 20.8% | 20.22 ± 0.654 | 3.2% | 12.01 ± 0.139 | 1.2% |
| Middle | 0.67 ± 0.025 | 3.7% | 1.04 ± 0.091 | 8.7% | 20.23 ± 0.095 | 0.5% | 14.09 ± 0.032 | 0.2% | |
| Lower | 0.74 ± 0.040 | 5.4% | 1.05 ± 0.096 | 9.2% | 20.24 ± 0.096 | 0.5% | 16.18 ± 0.046 | 0.3% | |
| T2 | Upper | 0.66 ± 0.015 | 2.3% | 1.17 ± 0.093 | 8.0% | 17.43 ± 0.078 | 0.5% | 13.51 ± 0.055 | 0.4% |
| Middle | 0.69 ± 0.031 | 4.5% | 1.18 ± 0.051 | 4.3% | 17.82 ± 0.093 | 0.5% | 15.01 ± 0.087 | 0.6% | |
| Lower | 0.75 ± 0.031 | 4.1% | 1.20 ± 0.089 | 7.5% | 18.22 ± 0.191 | 1.1% | 17.77 ± 0.071 | 0.4% | |
| T3 | Upper | 0.68 ± 0.021 | 3.1% | 0.77 ± 0.021 | 2.7% | 17.30 ± 0.110 | 0.6% | 13.24 ± 0.061 | 0.5% |
| Middle | 0.71 ± 0.32 | 4.6% | 0.81 ± 0.105 | 13.0% | 17.86 ± 0.427 | 2.4% | 13.95 ± 0.107 | 0.8% | |
| Lower | 0.73 ± 0.082 | 11.2% | 0.85 ± 0.122 | 14.3% | 18.43 ± 0.081 | 0.4% | 14.39 ± 0.164 | 1.1% | |
| T4 | Upper | 0.49 ± 0.025 | 5.2% | 0.88 ± 0.161 | 18.3% | 17.77 ± 0.190 | 1.1% | 11.82 ± 0.065 | 0.6% |
| Middle | 0.51 ± 0.021 | 4.1% | 0.90 ± 0.051 | 5.7% | 17.85 ± 0.121 | 0.7% | 12.09 ± 0.089 | 0.7% | |
| Lower | 0.55 ± 0.026 | 4.8% | 0.91 ± 0.165 | 18.1% | 18.09 ± 0.098 | 0.5% | 12.35 ± 0.595 | 4.8% | |
| CK | Upper | 0.17 ± 0.025 | 14.5% | 0.75 ± 0.062 | 8.3% | 17.12 ± 0.097 | 0.6% | 8.66 ± 0.062 | 0.7% |
| Middle | 0.22 ± 0.035 | 16.2% | 0.75 ± 0.083 | 11.1% | 17.49 ± 0.061 | 0.4% | 11.56 ± 0.131 | 1.1% | |
| Lower | 0.24 ± 0.020 | 8.3% | 0.76 ± 0.015 | 2.0% | 18.06 ± 0.162 | 0.9% | 11.79 ± 0.131 | 1.1% | |
| Plot | Mean Value (t·hm2·h·MJ−1·mm−1·hm−2) | Minimum Value (t·hm2·h·MJ−1·mm−1·hm−2) | Maximum Value (t·hm2·h·MJ−1·mm−1·hm−2) | CV (%) |
|---|---|---|---|---|
| T1 | 0.0576c | 0.0575 | 0.0576 | 0.0120% |
| T2 | 0.0575c | 0.0574 | 0.0576 | 0.1846% |
| T3 | 0.0584ab | 0.0581 | 0.0589 | 0.7403% |
| T4 | 0.0580bc | 0.0576 | 0.0583 | 0.5899% |
| CK | 0.0585a | 0.0585 | 0.0586 | 0.0830% |
| Sand Particle | Silt Particle | Clay Particle | Fractal Dimension | STN | STP | STK | SOM | |
|---|---|---|---|---|---|---|---|---|
| Correlation | 0.571 | −0.543 | −0.619 | −0.656 | 0.200 | −0.564 | 0.213 | −0.036 |
| Significance (two-tail) | 0.033 | 0.045 | 0.018 | 0.011 | 0.494 | 0.036 | 0.464 | 0.904 |
| Plot | Hedgerow Pattern | Plant Height (cm) | Slope | Land Use Type |
|---|---|---|---|---|
| T1 | Scutellaria baicalensis + Buchloe dactyloides | 40 | 10 | Forest and grass land |
| T2 | Morus alba + Buchloe dactyloides | 230 | 10 | Forest and grass land |
| T3 | Salvia miltiorrhiza + Cynodon dactylon | 45 | 10 | Forest and grass land |
| T4 | Platycodon grandiflorus + Cynodon dactylon | 50 | 10 | Forest and grass land |
| CK | Bare land | - | 10 | Bare land |
Publisher’s Note: MDPI stays neutral with regard to jurisdictional claims in published maps and institutional affiliations. |
© 2022 by the authors. Licensee MDPI, Basel, Switzerland. This article is an open access article distributed under the terms and conditions of the Creative Commons Attribution (CC BY) license (https://creativecommons.org/licenses/by/4.0/).
Share and Cite
Wang, L.; Wu, J.; Xie, J.; Wei, D.; Li, Y.; Wang, J.; Xu, T.; Yang, Z.; Jin, L. Effects of Different Hedgerow Patterns on the Soil Physicochemical Properties, Erodibility, and Fractal Characteristics of Slope Farmland in the Miyun Reservoir Area. Plants 2022, 11, 2537. https://doi.org/10.3390/plants11192537
Wang L, Wu J, Xie J, Wei D, Li Y, Wang J, Xu T, Yang Z, Jin L. Effects of Different Hedgerow Patterns on the Soil Physicochemical Properties, Erodibility, and Fractal Characteristics of Slope Farmland in the Miyun Reservoir Area. Plants. 2022; 11(19):2537. https://doi.org/10.3390/plants11192537
Chicago/Turabian StyleWang, Lei, Jiajun Wu, Jianzhi Xie, Dan Wei, Yan Li, Junqiang Wang, Ting Xu, Zhixin Yang, and Liang Jin. 2022. "Effects of Different Hedgerow Patterns on the Soil Physicochemical Properties, Erodibility, and Fractal Characteristics of Slope Farmland in the Miyun Reservoir Area" Plants 11, no. 19: 2537. https://doi.org/10.3390/plants11192537
APA StyleWang, L., Wu, J., Xie, J., Wei, D., Li, Y., Wang, J., Xu, T., Yang, Z., & Jin, L. (2022). Effects of Different Hedgerow Patterns on the Soil Physicochemical Properties, Erodibility, and Fractal Characteristics of Slope Farmland in the Miyun Reservoir Area. Plants, 11(19), 2537. https://doi.org/10.3390/plants11192537
