Silicon-Induced Mitigation of NaCl Stress in Barley (Hordeum vulgare L.), Associated with Enhanced Enzymatic and Non-Enzymatic Antioxidant Activities
Abstract
:1. Introduction
2. Results
2.1. Plants Vegetative Growth
2.2. Total Soluble Proteins (TSP)
2.3. Total Free Amino Acids (TFAA)
2.4. H2O2 and MDA Content
2.5. Activity of Enzymatic Antioxidants
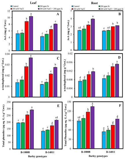
2.6. Non-Enzymatic Antioxidants
2.7. Correlations
2.8. Principal Component Analysis (PCA)
3. Discussion
4. Materials and Methods
4.1. Morphological Attributes
4.2. Estimation of Biochemical Attributes
4.2.1. Total Soluble Proteins (TSP)
4.2.2. Total Free Amino Acids (TFAA)
4.3. Enzymatic Antioxidants
4.3.1. Superoxide Dismutase (SOD)
4.3.2. Peroxidase (POD) and Catalase (CAT)
4.3.3. Ascorbate Peroxidase (APX)
4.3.4. Glutathione Reductase (GR)
4.4. Non-Enzymatic Antioxidants
4.4.1. Total Phenolics
4.4.2. Ascorbic acid (AsA)
4.4.3. α-Tocopherol (Vitamin E)
4.4.4. Glutathione Contents
4.4.5. Proline
4.5. Hydrogen Peroxide (H2O2) and Malondialdehyde (MDA)
4.6. Statistical Analysis
5. Conclusions
Author Contributions
Funding
Institutional Review Board Statement
Informed Consent Statement
Data Availability Statement
Acknowledgments
Conflicts of Interest
References
- Thorne, S.J.; Hartley, S.E.; Maathuis, F.J. Is silicon a panacea for alleviating drought and salt stress in crops? Front. Plant Sci. 2020, 11, 1221. [Google Scholar] [CrossRef] [PubMed]
- Qureshi, A. Perspectives for bio-management of salt-affected and waterlogged soils in Pakistan. In Agroforestry for the Management of Waterlogged Saline Soils and Poor-Quality Waters; Springer: Berlin/Heidelberg, Germany, 2016; pp. 97–108. [Google Scholar]
- Naveed, M.; Sajid, H.; Mustafa, A.; Niamat, B.; Ahmad, Z.; Yaseen, M.; Kamran, M.; Rafique, M.; Ahmar, S.; Chen, J.-T. Alleviation of Salinity-Induced Oxidative Stress, Improvement in Growth, Physiology and Mineral Nutrition of Canola (Brassica napus L.) through Calcium-Fortified Composted Animal Manure. Sustainability 2020, 12, 846. [Google Scholar] [CrossRef]
- Acosta-Motos, J.R.; Ortuño, M.F.; Bernal-Vicente, A.; Diaz-Vivancos, P.; Sanchez-Blanco, M.J.; Hernandez, J.A. Plant responses to salt stress: Adaptive mechanisms. Agronomy 2017, 7, 18. [Google Scholar] [CrossRef]
- Ben Mansour, R.; Ben Fattoum, R.; Gouia, H.; Haouari, C.C. Salt stress effects on enzymes activities involved in carbon metabolism and nitrogen availability of two Tunisian durum wheat varieties. J. Plant Nutr. 2019, 42, 1142–1151. [Google Scholar] [CrossRef]
- Arif, Y.; Singh, P.; Siddiqui, H.; Bajguz, A.; Hayat, S. Salinity induced physiological and biochemical changes in plants: An omic approach towards salt stress tolerance. Plant Physiol. Biochem. 2020, 156, 64–77. [Google Scholar] [CrossRef]
- Torabian, S.; Zahedi, M.; Khoshgoftar, A.H. Effects of foliar spray of two kinds of zinc oxide on the growth and ion concentration of sunflower cultivars under salt stress. J. Plant Nutr. 2016, 39, 172–180. [Google Scholar] [CrossRef]
- Ahmad, P.; Tripathi, D.K.; Deshmukh, R.; Singh, V.P.; Corpas, F.J. Revisiting the role of ROS and RNS in plants under changing environment. Environ. Exp. Bot. 2019, 161, 1–3. [Google Scholar] [CrossRef]
- Hasanuzzaman, M.; Bhuyan, M.; Zulfiqar, F.; Raza, A.; Mohsin, S.M.; Mahmud, J.A.; Fujita, M.; Fotopoulos, V. Reactive oxygen species and antioxidant defense in plants under abiotic stress: Revisiting the crucial role of a universal defense regulator. Antioxidants 2020, 9, 681. [Google Scholar] [CrossRef]
- Miller, G.; Suzuki, N.; Ciftci-Yilmaz, S.; Mittler, R. Reactive oxygen species homeostasis and signalling during drought and salinity stresses. Plant Cell Environ. 2010, 33, 453–467. [Google Scholar] [CrossRef]
- Chen, T.-W.; Gomez Pineda, I.M.; Brand, A.M.; Stützel, H. Determining Ion Toxicity in Cucumber under Salinity Stress. Agronomy 2020, 10, 677. [Google Scholar] [CrossRef]
- Ahmad, P.; Ahanger, M.A.; Alam, P.; Alyemeni, M.N.; Wijaya, L.; Ali, S.; Ashraf, M. Silicon (Si) supplementation alleviates NaCl toxicity in mung bean [Vigna radiata (L.) Wilczek] through the modifications of physio-biochemical attributes and key antioxidant enzymes. J. Plant Growth Regul. 2019, 38, 70–82. [Google Scholar] [CrossRef]
- Zamljen, T.; Medic, A.; Hudina, M.; Veberic, R.; Slatnar, A. Salt stress differentially affects the primary and secondary metabolism of peppers (Capsicum annuum L.) according to the genotype, fruit part, and salinity Level. Plants 2022, 11, 853. [Google Scholar] [CrossRef] [PubMed]
- Noreen, S.; Faiz, S.; Akhter, M.S.; Shah, K.H. Influence of foliar application of osmoprotectants to ameliorate salt stress in sunflower (Helianthus annuus L.). Sarhad J. Agric. 2019, 35, 1316–1325. [Google Scholar] [CrossRef]
- Chen, L.; Hu, W.-f.; Long, C.; Wang, D. Exogenous plant growth regulator alleviate the adverse effects of U and Cd stress in sunflower (Helianthus annuus L.) and improve the efficacy of U and Cd remediation. Chemosphere 2020, 262, 127809. [Google Scholar] [CrossRef]
- Pathak, J.; Ahmed, H.; Kumari, N.; Pandey, A.; Sinha, R.P. Role of Calcium and Potassium in Amelioration of Environmental Stress in Plants. In Protective Chemical Agents in the Amelioration of Plant Abiotic Stress: Biochemical and Molecular Perspectives; John Wiley & Sons Ltd.: Chichester, UK, 2020; pp. 535–562. [Google Scholar]
- Zamljen, T.; Hudina, M.; Veberič, R.; Slatnar, A. Biostimulative effect of amino acids and green algae extract on capsaicinoid and other metabolite contents in fruits of Capsicum spp. Chem. Biol. Technol. Agric. 2021, 8, 63. [Google Scholar] [CrossRef]
- Parveen, A.; Liu, W.; Hussain, S.; Asghar, J.; Perveen, S.; Xiong, Y. Silicon priming regulates morpho-physiological growth and oxidative metabolism in Maize under drought stress. Plants 2019, 8, 431. [Google Scholar] [CrossRef]
- Akhter, M.S.; Noreen, S.; Saleem, N.; Saeed, M.; Ahmad, S.; Khan, T.M.; Saeed, M.; Mahmood, S. Silicon Can Alleviate Toxic Effect of NaCl Stress by Improving K+ and Si Uptake, Photosynthetic Efficiency with Reduced Na+ Toxicity in Barley (Hordeum vulgare L.). Silicon 2021, 14, 4991–5000. [Google Scholar] [CrossRef]
- Epstein, E. Silicon. Ann. Review Plant Bio. 1999, 50, 641–664. [Google Scholar] [CrossRef]
- Bakhat, H.F.; Bibi, N.; Zia, Z.; Abbas, S.; Hammad, H.M.; Fahad, S.; Ashraf, M.R.; Shah, G.M.; Rabbani, F.; Saeed, S. Silicon mitigates biotic stresses in crop plants: A review. Crop Protect. 2018, 104, 21–34. [Google Scholar] [CrossRef]
- Vivancos, J.; Deshmukh, R.; Grégoire, C.; Rémus-Borel, W.; Belzile, F.; Bélanger, R.R. Identification and characterization of silicon efflux transporters in horsetail (Equisetum arvense). J. Plant Physiol. 2016, 200, 82–89. [Google Scholar] [CrossRef]
- Wade, R.N.; Donaldson, S.M.; Karley, A.J.; Johnson, S.N.; Hartley, S.E. Uptake of silicon in barley under contrasting drought regimes. Plant Soil 2022, 1–13. [Google Scholar] [CrossRef]
- Farouk, S.; Elhindi, K.M.; Alotaibi, M.A. Silicon supplementation mitigates salinity stress on Ocimum basilicum L. via improving water balance, ion homeostasis, and antioxidant defense system. Ecotox. Environ. Safety 2020, 206, 111396. [Google Scholar] [CrossRef] [PubMed]
- Ali, M.; Afzal, S.; Parveen, A.; Kamran, M.; Javed, M.R.; Abbasi, G.H.; Malik, Z.; Riaz, M.; Ahmad, S.; Chattha, M.S. Silicon mediated improvement in the growth and ion homeostasis by decreasing Na+ uptake in maize (Zea mays L.) cultivars exposed to salinity stress. Plant Physiol. Biochem. 2021, 158, 208–218. [Google Scholar] [CrossRef] [PubMed]
- Balakhnina, T.I.; Matichenkov, V.V.; Wlodarczyk, T.; Borkowska, A.; Nosalewicz, M.; Fomina, I.R. Effects of silicon on growth processes and adaptive potential of barley plants under optimal soil watering and flooding. Plant Growth Regul. 2012, 67, 35–43. [Google Scholar] [CrossRef]
- Kim, Y.H.; Khan, A.L.; Waqas, M.; Shim, J.K.; Kim, D.H.; Lee, K.Y.; Lee, I.J. Silicon application to rice root zone influenced the phytohormonal and antioxidant responses under salinity stress. J. Plant Growth Regul. 2014, 33, 137–149. [Google Scholar] [CrossRef]
- Hoffmann, J.; Berni, R.; Hausman, J.-F.; Guerriero, G. A Review on the Beneficial Role of Silicon against Salinity in Non-Accumulator Crops: Tomato as a Model. Biomolecules 2020, 10, 1284. [Google Scholar] [CrossRef]
- Mushtaq, A.; Khan, Z.; Khan, S.; Rizwan, S.; Jabeen, U.; Bashir, F.; Ismail, T.; Anjum, S.; Masood, A. Effect of Silicon on Antioxidant Enzymes of Wheat (Triticum aestivum L.) Grown under Salt Stress. Silicon 2020, 12, 2783–2788. [Google Scholar] [CrossRef]
- Khan, W.; Aziz, T.; Maqsood, M.; Farooq, M.; Abdullah, Y.; Ramzani, P.; Bilal, H. Silicon nutrition mitigates salinity stress in maize by modulating ion accumulation, photosynthesis, and antioxidants. Photosynthetica 2018, 56, 1047–1057. [Google Scholar] [CrossRef]
- Khan, A.; Khan, A.L.; Muneer, S.; Kim, Y.-H.; Al-Rawahi, A.; Al-Harrasi, A. Silicon and salinity: Cross-talk in crop mediated stress tolerance mechanisms. Front. Plant Sci. 2019, 10, 1429. [Google Scholar] [CrossRef]
- Zeeshan, M.; Lu, M.; Sehar, S.; Holford, P.; Wu, F. Comparison of biochemical, anatomical, morphological, and physiological responses to salinity stress in wheat and barley genotypes deferring in salinity tolerance. Agronomy 2020, 10, 127. [Google Scholar] [CrossRef] [Green Version]
- Majeed, A.; Muhammad, Z. Salinity: A major agricultural problem—causes, impacts on crop productivity and management strategies. In Plant Abiotic Stress Tolerance; Springer: Berlin/Heidelberg, Germany, 2019; pp. 83–99. [Google Scholar]
- Raza, M.M.; Ullah, S.; Tariq, A.; Abbas, T.; Yousaf, M.M.; Altay, V.; Ozturk, M. Alleviation of Salinity Stress in Maize Using Silicon Nutrition. Not. Bot. Horti Agrobot. Cluj Napoca 2019, 47, 1340–1347. [Google Scholar] [CrossRef]
- Hafez, E.M.; Omara, A.E.D.; Alhumaydhi, F.A.; El-Esawi, M.A. Minimizing hazard impacts of soil salinity and water stress on wheat plants by soil application of vermicompost and biochar. Physiol. Plant. 2021, 172, 587–602. [Google Scholar] [CrossRef] [PubMed]
- Belouchrani, A.S.; Bouderbala, A.; Drouiche, N.; Lounici, H. The interaction effect to fertilization on the mineral nutrition of canola under different salinity levels. J. Plant Growth Regul. 2021, 40, 848–854. [Google Scholar] [CrossRef]
- Noreen, S.; Sultan, M.; Akhter, M.S.; Shah, K.H.; Ummara, U.; Manzoor, H.; Ulfat, M.; Alyemeni, M.N.; Ahmad, P. Foliar fertigation of ascorbic acid and zinc improves growth, antioxidant enzyme activity and harvest index in barley (Hordeum vulgare L.) grown under salt stress. Plant Physiol. Biochem. 2021, 158, 244–254. [Google Scholar] [CrossRef] [PubMed]
- Yan, G.; Fan, X.; Peng, M.; Yin, C.; Xiao, Z.; Liang, Y. Silicon improves rice salinity resistance by alleviating ionic toxicity and osmotic constraint in an organ-specific pattern. Front. Plant Sci. 2020, 11, 260. [Google Scholar] [CrossRef]
- Laifa, I.; Hajji, M.; Farhat, N.; Elkhouni, A.; Smaoui, A.; M’nif, A.; Hamzaoui, A.H.; Savouré, A.; Abdelly, C.; Zorrig, W. Beneficial Effects of Silicon (Si) on Sea Barley (Hordeum marinum Huds.) under Salt Stress. Silicon 2020, 13, 4501–4517. [Google Scholar] [CrossRef]
- Liang, W.; Ma, X.; Wan, P.; Liu, L. Plant salt-tolerance mechanism: A review. Biochem. Biophys. Res. Commun. 2018, 495, 286–291. [Google Scholar] [CrossRef]
- Narimani, T.; Toorchi, M.; Tarinejad, A.; Mohammadi, S.; Mohammadi, H. Physiological and Biochemical Evaluation of Barley (Hordeum vulgare L.) under Salinity Stress. J. Agric. Sci. Technol. 2020, 22, 1009–1021. [Google Scholar]
- Xu, R.; Yamada, M.; Fujiyama, H. Lipid peroxidation and antioxidative enzymes of two turfgrass species under salinity stress. Pedosphere 2013, 23, 213–222. [Google Scholar] [CrossRef]
- AbdElgawad, H.; Zinta, G.; Hegab, M.M.; Pandey, R.; Asard, H.; Abuelsoud, W. High salinity induces different oxidative stress and antioxidant responses in maize seedlings organs. Front. Plant Sci. 2016, 7, 276. [Google Scholar] [CrossRef]
- Conceição, S.S.; Oliveira Neto, C.F.d.; Marques, E.C.; Barbosa, A.V.C.; Galvão, J.R.; Oliveira, T.B.d.; Okumura, R.S.; Martins, J.T.d.S.; Costa, T.C.; Gomes-Filho, E. Silicon modulates the activity of antioxidant enzymes and nitrogen compounds in sunflower plants under salt stress. Archiv. Agron. Soil Sci. 2019, 65, 1237–1247. [Google Scholar] [CrossRef]
- Jacoby, R.P.; Millar, A.H.; Taylor, N.L. Wheat mitochondrial proteomes provide new links between antioxidant defense and plant salinity tolerance. J. Prot. Res. 2010, 9, 6595–6604. [Google Scholar] [CrossRef]
- Radi, A.A.; Farghaly, F.A.; Hamada, A.M. Physiological and biochemical responses of salt-tolerant and salt-sensitive wheat and bean cultivars to salinity. J. Biol. Earth Sci. 2013, 3, 72–88. [Google Scholar]
- Meng, Y.; Yin, Q.; Yan, Z.; Wang, Y.; Niu, J.; Zhang, J.; Fan, K. Exogenous Silicon Enhanced Salt Resistance by Maintaining K+/Na+ Homeostasis and Antioxidant Performance in Alfalfa Leaves. Front. Plant Sci. 2020, 11, 1183. [Google Scholar] [CrossRef] [PubMed]
- Abdel-Haliem, M.E.; Hegazy, H.S.; Hassan, N.S.; Naguib, D.M. Effect of silica ions and nano silica on rice plants under salinity stress. Eco. Eng. 2017, 99, 282–289. [Google Scholar] [CrossRef]
- Li, H.; Zhu, Y.; Hu, Y.; Han, W.; Gong, H. Beneficial effects of silicon in alleviating salinity stress of tomato seedlings grown under sand culture. Acta Physiol. Plant. 2015, 37, 71. [Google Scholar] [CrossRef]
- Mahmoud, A.W.M.; Abdeldaym, E.A.; Abdelaziz, S.M.; El-Sawy, M.B.; Mottaleb, S.A. Synergetic Effects of Zinc, Boron, Silicon, and Zeolite Nanoparticles on Confer Tolerance in Potato Plants Subjected to Salinity. Agronomy 2020, 10, 19. [Google Scholar] [CrossRef]
- Basilio-Apolinar, A.; Vara, L.E.G.-d.l.; Ramírez-Pimentel, J.G.; Aguirre-Mancilla, C.L.; Iturriaga, G.; Covarrubias-Prieto, J.; Raya-Pérez, J.C. Silicon induces changes in the antioxidant system of millet cultivated in drought and salinity. Chilean J. Agric. Res. 2021, 81, 655–663. [Google Scholar] [CrossRef]
- Younas, H.S.; Abid, M.; Shaaban, M.; Ashraf, M. Influence of silicon and chitosan on growth and physiological attributes of maize in a saline field. Physiol. Mol. Bio. Plants 2021, 27, 387–397. [Google Scholar] [CrossRef]
- El Moukhtari, A.; Carol, P.; Mouradi, M.; Savoure, A.; Farissi, M. Silicon improves physiological, biochemical, and morphological adaptations of alfalfa (Medicago sativa L.) during salinity stress. Symbiosis 2021, 85, 305–324. [Google Scholar] [CrossRef]
- Zia, A.; Hegazy, H.S.; Hassan, N.S.; Naguib, D.M.; Abdel-Haliem, M.E. Biochemical responses of wheat to silicon application under salinity. J. Plant Nutr. Soil Sci. 2021, 184, 255–262. [Google Scholar] [CrossRef]
- Kafi, M.; Nabati, J.; Masoumi, A.; Mehrgerdi, M.Z. Effect of salinity and silicon application on oxidative damage of sorghum [Sorghum bicolor (L.) Moench.]. Pak. J. Bot. 2011, 43, 2457–2462. [Google Scholar]
- Liang, Y.; Zhang, W.; Chen, Q.; Liu, Y.; Ding, R. Effect of exogenous silicon (Si) on H+-ATPase activity, phospholipids and fluidity of plasma membrane in leaves of salt-stressed barley (Hordeum vulgare L.). Environ. Exp. Bot. 2006, 57, 212–219. [Google Scholar] [CrossRef]
- Morgan, S.H.; Maity, P.J.; Geilfus, C.-M.; Lindberg, S.; Mühling, K.H. Leaf ion homeostasis and plasma membrane H+-ATPase activity in Vicia faba change after extra calcium and potassium supply under salinity. Plant Physiol. Biochem. 2014, 82, 244–253. [Google Scholar] [CrossRef]
- Meloni, D.A.; Oliva, M.A.; Martinez, C.A.; Cambraia, J. Photosynthesis and activity of superoxide dismutase, peroxidase and glutathione reductase in cotton under salt stress. Environ. Exp. Bot. 2003, 49, 69–76. [Google Scholar] [CrossRef]
- Annunziata, M.G.; Ciarmiello, L.F.; Woodrow, P.; Maximova, E.; Fuggi, A.; Carillo, P. Durum wheat roots adapt to salinity remodeling the cellular content of nitrogen metabolites and sucrose. Front. Plant Sci. 2017, 7, 2035. [Google Scholar] [CrossRef]
- Fan, Y.; Zhu, M.; Shabala, S.; Li, C.; Johnson, P.; Zhou, M. Antioxidant Activity in Salt-Stressed Barley Leaves: Evaluating Time- and Age-Dependence and Suitability for the Use as a Biochemical Marker in Breeding Programs. J. Agron. Crop Sci. 2014, 200, 261–272. [Google Scholar] [CrossRef]
- Zhu, J.; Fan, Y.; Shabala, S.; Li, C.; Lv, C.; Guo, B.; Xu, R.; Zhou, M. Understanding mechanisms of salinity tolerance in barley by proteomic and biochemical analysis of near-isogenic lines. Int. J. Mol. Sci. 2020, 21, 1516. [Google Scholar] [CrossRef]
- Zhu, Y.; Jiang, X.; Zhang, J.; He, Y.; Zhu, X.; Zhou, X.; Gong, H.; Yin, J.; Liu, Y. Silicon confers cucumber resistance to salinity stress through regulation of proline and cytokinins. Plant Physiol. Biochem. 2020, 156, 209–220. [Google Scholar] [CrossRef]
- Tuna, A.L.; Kaya, C.; Higgs, D.; Murillo-Amador, B.; Aydemir, S.; Girgin, A.R. Silicon improves salinity tolerance in wheat plants. Environ. Exp. Bot. 2008, 62, 10–16. [Google Scholar] [CrossRef]
- Soylemezoglu, G.; Demir, K.; Inal, A.; Gunes, A. Effect of silicon on antioxidant and stomatal response of two grapevine (Vitis vinifera L.) rootstocks grown in boron toxic, saline and boron toxic-saline soil. Sci. Hortic. 2009, 123, 240–246. [Google Scholar] [CrossRef]
- Yin, L.; Wang, S.; Li, J.; Tanaka, K.; Oka, M. Application of silicon improves salt tolerance through ameliorating osmotic and ionic stresses in the seedling of Sorghum bicolor. Acta Physiol. Plant. 2013, 35, 3099–3107. [Google Scholar] [CrossRef]
- Gunes, A.; Inal, A.; Bagci, E.; Coban, S.; Sahin, O. Silicon increases boron tolerance and reduces oxidative damage of wheat grown in soil with excess boron. Biol. Plant. 2007, 51, 571–574. [Google Scholar] [CrossRef]
- Hoagland, D.R.; Arnon, D.I. The water-culture method for growing plants without soil. Circ. Calif. Agric. Exp. Stn. 1950, 347, 32. [Google Scholar]
- Bradford, M.M. A rapid and sensitive method for the quantitation of microgram quantities of protein utilizing the principle of protein-dye binding. Anal. Biochem. 1976, 72, 248–254. [Google Scholar] [CrossRef]
- Hamilton, P.B.; Van Slyke, D.D.; Lemish, S. The gasometric determination of free amino acids in blood filtrates by the ninhydrin-carbon dioxide method. J. Biol. Chem. 1943, 150, 231–250. [Google Scholar] [CrossRef]
- Beauchamp, C.; Fridovich, I. Superoxide dismutase: Improved assays and an assay applicable to acrylamide gels. Anal. Biochem. 1971, 44, 276–287. [Google Scholar] [CrossRef]
- Chance, B.; Maehly, A. Assay of catalases and peroxidases. Meth. Enzymol. 1955, 2, 764–817. [Google Scholar]
- Nakano, Y.; Asada, K. Hydrogen peroxide is scavenged by ascorbate-specific peroxidase in spinach chloroplasts. Plant Cell Physiol. 1981, 22, 867–880. [Google Scholar]
- Jiang, M.; Zhang, J. Water stress-induced abscisic acid accumulation triggers the increased generation of reactive oxygen species and up-regulates the activities of antioxidant enzymes in maize leaves. J. Exp. Bot. 2002, 53, 2401–2410. [Google Scholar] [CrossRef]
- Julkunen-Tiitto, R. Phenolic constituents in the leaves of northern willows: Methods for the analysis of certain phenolics. J. Agric. Food Chem. 1985, 33, 213–217. [Google Scholar] [CrossRef]
- Mukherjee, S.; Choudhuri, M. Implication of hydrogen peroxide–ascorbate system on membrane permeability of water stressed vigna seedlings. New Phytol. 1985, 99, 355–360. [Google Scholar] [CrossRef]
- Backer, J.; Weinstein, I. Mitochondrial DNA is a major cellular target for a dihydrodiol-epoxide derivative of benzo [a] pyrene. Science 1980, 209, 297–299. [Google Scholar] [CrossRef]
- Griffith, O.W. Determination of glutathione and glutathione disulfide using glutathione reductase and 2-vinylpyridine. Anal. Biochem. 1980, 106, 207–212. [Google Scholar] [CrossRef]
- Bates, L.S.; Waldren, R.P.; Teare, I. Rapid determination of free proline for water-stress studies. Plant Soil 1973, 39, 205–207. [Google Scholar] [CrossRef]
- Gniazdowska, A.; Krasuska, U.; Bogatek, R. Dormancy removal in apple embryos by nitric oxide or cyanide involves modifications in ethylene biosynthetic pathway. Planta 2010, 232, 1397–1407. [Google Scholar] [CrossRef]
- Heath, R.L.; Packer, L. Photoperoxidation in isolated chloroplasts: I. Kinetics and stoichiometry of fatty acid peroxidation. Arch. Biochem. Biophy. 1968, 125, 189–198. [Google Scholar] [CrossRef]






| Genotype | Treatment | Shoot Length (cm) | Root Length (cm) | Shoot Fresh Weight (g) | Shoot Dry Weight (g) | Root Fresh Weight (g) | Root Dry Weight (g) |
|---|---|---|---|---|---|---|---|
| B-10008 | Control | 68.53 ± 3.72 b | 52.04 ± 1.46 b | 124.13 ± 1.65 b | 15.73 ± 0.72 b | 70.90 ± 3.49 ab | 7.53 ± 0.11 ab |
| 200 ppm Si | 81.40 ± 1.51 a | 61.13 ± 1.87 a | 146.80 ± 2.63 a | 19.34 ± 0.54 a | 77.91 ± 1.85 a | 8.34 ± 0.48 a | |
| 200 mM NaCl | 50.14 ± 1.59 d | 42.13 ± 2.42 c | 86.52 ± 2.43 e | 9.74 ± 0.73 d | 49.63 ± 1.69 c | 5.12 ± 0.32 e | |
| 200 mM NaCl + 200 ppm Si | 63.71 ± 1.32 c | 53.04 ± 2.07 b | 105.33 ± 3.10 c | 14.50 ± 1.14 bc | 67.62 ± 2.35 b | 6.99 ± 0.25 bc | |
| B-14011 | Control | 51.14 ± 0.67 d | 30.21 ± 1.68 d | 96.04 ± 4.10 d | 10.71 ± 0.91 d | 53.24 ± 4.71 c | 5.74 ± 0.35 de |
| 200 ppm Si | 61.12 ± 1.83 c | 32.10 ± 3.58 d | 107.62 ± 2.05 c | 12.73 ± 0.46 c | 62.42 ± 2.13 b | 6.32 ± 0.22 cd | |
| 200 mM NaCl | 20.31 ± 0.99 f | 13.04 ± 1.20 e | 25.53 ± 1.26 g | 2.90 ± 0.40 e | 7.73 ± 0.56 d | 0.77 ± 0.09 f | |
| 200 mM NaCl + 200 ppm Si | 27.33 ± 1.22 e | 18.02 ± 0.75 e | 34.03 ± 1.65 f | 4.29 ± 0.34 e | 10.35 ± 0.32 d | 1.00 ± 0.01 f |
| Leaf | ||||||
|---|---|---|---|---|---|---|
| Genotype | Treatments | TSP (mg g−1 f.wt.) | TFAA (mg g−1 f.wt.) | H2O2 (µmol g−1 f.wt.) | MDA (nmol g−1 f.wt.) | Proline (µM f.wt.) |
| B-10008 | Control | 29.03 ± 0.30 e | 7.56 ± 0.41 c | 0.22 ± 0.017 f | 29.04 ± 0.64 c | 3.92 ± 0.52 f |
| 200 ppm Si | 32.21 ± 0.75 c | 7.69 ± 0.08 c | 0.26 ± 0.006 e | 28.52 ± 0.76 c | 4.04 ± 0.71 f | |
| 200 mM NaCl | 35.53 ± 0.98 b | 8.96 ± 0.33 b | 0.59 ± 0.028 c | 33.01 ± 0.77 b | 35.72 ± 3.08 c | |
| 200 mM NaCl + 200 ppm Si | 41.62 ± 1.06 a | 8.43 ± 0.40 b | 0.38 ± 0.007 d | 19.63 ± 1.18 d | 25.55 ± 1.19 d | |
| B-14011 | Control | 24.24 ± 0.32 g | 6.07 ± 0.22 d | 0.19 ± 0.005 f | 33.80 ± 1.79 b | 14.76 ± 1.10 e |
| 200 ppm Si | 26.90 ± 0.78 f | 6.19 ± 0.07 d | 0.24 ± 0.018 ef | 27.04 ± 1.39 c | 16.77 ± 3.41 e | |
| 200 mM NaCl | 29.62 ± 1.38 de | 10.50 ± 0.15 a | 0.91 ± 0.028 a | 43.61 ± 0.63 a | 178.09 ± 3.10 a | |
| 200 mM NaCl + 200 ppm Si | 31.34 ± 0.30 cd | 9.04 ± 0.10 b | 0.77 ± 0.029 b | 35.43 ± 2.11 b | 143.44 ± 2.11 b | |
| Root | ||||||
| Genotype | Treatments | TSP | TFAA | H2O2 | MDA | Proline |
| B-10008 | Control | 11.04 ± 0.30 c | 1.20 ± 0.06 d | 0.18 ± 0.020 de | 11.70 ± 1.01 bc | 2.15 ± 0.13 d |
| 200 ppm Si | 11.72 ± 0.41 bc | 1.25 ± 0.07 d | 0.19 ± 0.007 de | 10.80 ± 0.97 cd | 3.01 ± 0.24 d | |
| 200 mM NaCl | 14.91 ± 0.77 a | 1.48 ± 0.13 bc | 0.45 ± 0.028 a | 13.75 ± 1.09 ab | 9.45 ± 0.36 b | |
| 200 mM NaCl + 200 ppm Si | 16.03 ± 0.63 a | 1.38 ± 0.08 cd | 0.35 ± 0.029 b | 8.66 ± 0.54 de | 6.65 ± 0.91 bc | |
| B-14011 | Control | 6.73 ± 0.38 e | 0.93 ± 0.04 e | 0.26 ± 0.041 c | 8.58 ± 0.58 de | 3.15 ± 0.16 d |
| 200 ppm Si | 7.35 ± 0.57 e | 0.88 ± 0.07 e | 0.15 ± 0.013 e | 7.99 ± 1.00 e | 3.85 ± 0.26 cd | |
| 200 mM NaCl | 8.82 ± 0.34 d | 1.88 ± 0.05 a | 0.41 ± 0.013 a | 14.36 ± 1.65 a | 18.12 ± 3.19 a | |
| 200 mM NaCl + 200 ppm Si | 12.74 ± 0.67 b | 1.59 ± 0.06 b | 0.24 ± 0.022 cd | 7.84 ± 0.49 e | 15.43 ± 1.52 a | |
Publisher’s Note: MDPI stays neutral with regard to jurisdictional claims in published maps and institutional affiliations. |
© 2022 by the authors. Licensee MDPI, Basel, Switzerland. This article is an open access article distributed under the terms and conditions of the Creative Commons Attribution (CC BY) license (https://creativecommons.org/licenses/by/4.0/).
Share and Cite
Akhter, M.S.; Noreen, S.; Ummara, U.; Aqeel, M.; Saleem, N.; Ahmed, M.M.; Mahmood, S.; Athar, H.-u.-R.; Alyemeni, M.N.; Kaushik, P.; et al. Silicon-Induced Mitigation of NaCl Stress in Barley (Hordeum vulgare L.), Associated with Enhanced Enzymatic and Non-Enzymatic Antioxidant Activities. Plants 2022, 11, 2379. https://doi.org/10.3390/plants11182379
Akhter MS, Noreen S, Ummara U, Aqeel M, Saleem N, Ahmed MM, Mahmood S, Athar H-u-R, Alyemeni MN, Kaushik P, et al. Silicon-Induced Mitigation of NaCl Stress in Barley (Hordeum vulgare L.), Associated with Enhanced Enzymatic and Non-Enzymatic Antioxidant Activities. Plants. 2022; 11(18):2379. https://doi.org/10.3390/plants11182379
Chicago/Turabian StyleAkhter, Muhammad Salim, Sibgha Noreen, Ume Ummara, Muhammad Aqeel, Nawishta Saleem, Muhammad Mahboob Ahmed, Seema Mahmood, Habib-ur-Rehman Athar, Mohammed Nasser Alyemeni, Prashant Kaushik, and et al. 2022. "Silicon-Induced Mitigation of NaCl Stress in Barley (Hordeum vulgare L.), Associated with Enhanced Enzymatic and Non-Enzymatic Antioxidant Activities" Plants 11, no. 18: 2379. https://doi.org/10.3390/plants11182379
APA StyleAkhter, M. S., Noreen, S., Ummara, U., Aqeel, M., Saleem, N., Ahmed, M. M., Mahmood, S., Athar, H.-u.-R., Alyemeni, M. N., Kaushik, P., & Ahmad, P. (2022). Silicon-Induced Mitigation of NaCl Stress in Barley (Hordeum vulgare L.), Associated with Enhanced Enzymatic and Non-Enzymatic Antioxidant Activities. Plants, 11(18), 2379. https://doi.org/10.3390/plants11182379

