Abstract
Cuminum cyminum L. essential oil (cumin EO) was studied for its chemical composition, antioxidant and vibriocidal activities. Inhibition of biofilm formation and secretion of some virulence properties controlled by the quorum sensing system in Chromobacterium violaceum and Pseudomonas aeruginosa strains were also reported. The obtained results showed that cuminaldehyde (44.2%) was the dominant compound followed by β-pinene (15.1%), γ-terpinene (14.4%), and p-cymene (14.2%). Using the disc diffusion assay, cumin EO (10 mg/disc) was particularly active against all fifteen Vibrio species, and the highest diameter of growth inhibition zone was recorded against Vibrio fluvialis (41.33 ± 1.15 mm), Vibrio parahaemolyticus (39.67 ± 0.58 mm), and Vibrio natrigens (36.67 ± 0.58 mm). At low concentration (MICs value from 0.023–0.046 mg/mL), cumin EO inhibited the growth of all Vibrio strains, and concentrations as low as 1.5 mg/mL were necessary to kill them (MBCs values from 1.5–12 mg/mL). Using four antioxidant assays, cumin EO exhibited a good result as compared to standard molecules (DPPH = 8 ± 0.54 mg/mL; reducing power = 3.5 ± 0.38 mg/mL; β-carotene = 3.8 ± 0.34 mg/mL; chelating power = 8.4 ± 0.14 mg/mL). More interestingly, at 2x MIC value, cumin EO inhibited the formation of biofilm by Vibrio alginolyticus (9.96 ± 1%), V. parahaemolyticus (15.45 ± 0.7%), Vibrio cholerae (14.9 ± 0.4%), and Vibrio vulnificus (18.14 ± 0.3%). In addition, cumin EO and cuminaldehyde inhibited the production of violacein on Lauria Bertani medium (19 mm and 35 mm, respectively). Meanwhile, 50% of violacein inhibition concentration (VIC50%) was about 2.746 mg/mL for cumin EO and 1.676 mg/mL for cuminaldehyde. Moreover, elastase and protease production and flagellar motility in P. aeruginosa were inhibited at low concentrations of cumin EO and cuminaldehyde. The adopted in-silico approach revealed good ADMET properties as well as a high binding score of the main compounds with target proteins (1JIJ, 2UV0, 1HD2, and 3QP1). Overall, the obtained results highlighted the effectiveness of cumin EO to prevent spoilage with Vibrio species and to interfere with the quorum sensing system in Gram-negative bacteria by inhibiting the flagellar motility, formation of biofilm, and the secretion of some virulence enzymes.
1. Introduction
Infectious diseases, reinforced by the emergence of antibiotic resistant pathogens are known as a high leading cause of death in the world lead causing higher mortality and morbidity and increased healthcare costs [1,2]. Antimicrobial resistance (AMR) represents the acquired ability of pathogens to withstand antimicrobial treatment is an increasing global concern results from the abuse and misuse of antibiotics have been recognized as one of the top health threats to human society [3]. A recent study revealed that microorganisms responsible for various human infections (~80%) and hospital-acquired infections (60–70%), have shown a biofilm origin [4]. Biofilms as a cellular conformation confers survival properties to microbial populations which are attached to a surface, enveloped and organized in an exopolysaccharide matrix, play an important role in the development of antimicrobial resistance [5]. Many genes and environmental factors were implicated in the formation of biofilm by P. aeruginosa strains known for their high drug resistance against traditional antibiotic therapy [6,7]. In fact, P. aeruginosa is a human pathogen that is frequently responsible for hospital-acquired infections and is the main cause of morbidity and mortality in cystic fibrosis patients [8]. In P. aeruginosa, LasR and RhlR are homologous LuxR-type soluble transcription factor receptors that bind their cognate AIs and activate the expression of genes encoding functions required for virulence and biofilm formation [9]. To eradicate the problem of biofilm formation, the QS inhibitory activity remains a significant strategy. Aromatic and medicinal plants represent a rich source of novel lead compounds that have been traditionally used in phytotherapy [10,11]. Herbs, spices and derived extracts are gaining more popularity and have been used for treating several disorders and diseases due to the inherent medicinal properties, due to their antioxidant [12,13,14,15,16,17,18,19], antibacterial [16], anti-inflammatory [16], antimicrobial [17,18,19,20,21], wound healing [20], cytotoxicity [20], anti-acetylcholinesterase [21,22], and antidiabetic [22] potential. They have been largely used in food and beverages to enhance flavor, aroma and color [23,24,25].
Cuminum cyminum L., known as “KAMMOUN” is a member of the Apiaceae (Umbelliferae) family, just like parsley. Cumin is an annual, herbaceous, medicinal spice and culinary plant (15 to 50 cm high) [26]. The plant is largely cultivated in arid and semi-arid areas, including India, Middle East, China and Mediterranean region [27]. The stems are hollow and grooved, with alternate leaves, digested, light green, without stipules. The small, white flowers have five petals, in umbels. The seeds are long, straight brown, longitudinal ribs of 5–6 mm. Appear in pairs on the branches. As a condiment, cumin is extensively used as food additive and flavoring agent in different cuisines, essentially in South Asian, Northern African, and Latin American cuisines [28]. The nutritional values and health benefits of cumin seeds have been reported demonstrating their uses in the treatment of fever, flatulence, loss of appetite, wounds, diarrhea, vomiting, abdominal distension, edema and puerperal disorders as well as increase the appetite, taste perception, digestion, vision, strength and lactation [27]. The pharmacological activities of this plant have been reported, revealing the ability of this plant to exert antimicrobial, insecticidal, anti-inflammatory, analgesic, antioxidant, anticancer, antidiabetic, antiplatelet aggregation, hypotensive, bronchodilators, immunological, contraceptive, anti-amyloidogenic, anti-osteoporotic, protective, and central nervous effects [29]. Phytochemical’s analysis of cumin showed that was a reach sources of coumarin, flavonoid, anthraquinone, alkaloid, glycoside, protein, resin, saponin, tannin and steroid [30].
Hence, in view of the attributed medicinal significance of the cumin plant and its availability as medicinally resource, the present work focuses specifically on an aromatic plant commonly used in the Saudi kitchen to prepare fish and shellfish dishes. We aimed to explore the constituents of its EO and to evaluate in vitro, its anti-Vibrio activities. The ability of the obtained cumin EO to scavenge reactive oxygen species using different assays was also assessed. Moreover, a computational study has been performed to elucidate the physicochemical properties, pharmacokinetic properties, druglikeness, and toxicity prediction of the main bioactive compounds from cumin EO. To get insight into the interaction mode of these bioactive molecules with known target enzymes involved in antioxidant, antibacterial, and anti-quorum sensing activities, a molecular docking approach was adopted.
2. Results
2.1. Phytochemical Composition
Table 1 summarized the phytochemical composition of cumin EO obtained by hydrodistillation technique of seeds. Twenty chemical compounds were identified representing 99.1% of the total identified phytoconstituents. This volatile oil was dominated by oxygenated monoterpenes (51.3%) and monoterpene hydrocarbons (46.7%). The main compounds identified in cumin EO were cuminaldehyde (42.4%), β-pinene (15.1%), γ-terpinene (14.4%), p-cymene (14.2%), and α-terpin-7-al (5.2%).
Table 1.
Chemical composition of C. cyminum L. (seeds) EO assessed by GC/MS technique. a: Linear Retention Index.
2.2. Antioxidant Activities
Table 2 summarizes the results of the antioxidant activities of cumin EO as compared to well-known standard molecules evaluated by using DPPH, reducing power, β-carotene, and chelating power assays. The obtained results reveal promising antioxidant activities at low concentrations as compared to ascorbic acid (AA), butylated hydroxytoluene (BHT), and butylate hydroxyanisole (BHA). In fact, IC50 for the DPPH test was about 8 ± 0.54 mg/mL, 3.8 ± 0.34 mg/mL for the β-carotene test, and 8.4 ± 0.14 mg/mL for the chelating power test.
Table 2.
Antioxidant activities of cumin EO. The letters (a–c) indicate a significant difference between the different antioxidant methods according to the Duncan test (p < 0.05).
2.3. Antimicrobial Activity
The ability of the obtained cumin EO was tested against fifteen Vibrio species. Results revealed a bacteriostatic action of the tested oil (MBC/MIC ratio > 4). The growth of almost all Vibrio species on liquid media was inhibited at low concentrations ranging from 0.023 to 0.046 mg/mL. In addition, the same bacteria were completely killed by low concentration of cumin EO varying from 1.5 to 12 mg/mL. The mean diameter of growth inhibition zone obtained by the disc diffusion agar test at 10mg/disc confirms the high activity of cumin EO against almost all Vibrio species with mean diameter of inhibition zone (mZI) of approximately 34.33 ± 0.58 mm for V. cholerae ATCC 9459, 39.67 ± 0.58 mm for V. parahaemolyticus ATCC 17802, 34.67 ± 0.58 mm for V. alginolyticus ATCC 33787, and 30.33 ± 0.58 mm for V. vulnificus ATCC 27562. All results are summarized in Table 3.
Table 3.
Mean diameter of inhibition zone (mIZ ± mm), MICs, MBCs, and MBC/MIC ratio determination by disc diffusion and microdilution assays. The letters (a–k) indicate a significant difference between the different mZI according to the Duncan test (p < 0.05).
2.4. Biofilm Inhibition
Cumin EO was tested for its ability to inhibit the biofilm formation on polystyrene 96 well-plate by four Vibrio species including V. cholerae, V. vulnificus, V. parahaemolyticus, and V. alginolyticus by using XTT technique. Results showed that the examined oil was able to inhibit the biofilm formation of the tested Vibrio species in a concentration-dependent manner. In fact, at 2xMIC, the inhibition was about 9.96 ± 1.00% against V. alginolyticus ATCC 33787) and 18.14 ± 0.30% against V. cholerae ATCC 9459. Interestingly, at 50 mg/mL, the highest percentage of biofilm formation inhibition was recorded for all strains reaching a percentage between 66.29 ± 3% (V. cholerae ATCC 9459) and 76.29 ± 4%. All these data are summarized in Figure 1.
Figure 1.
Evaluation of the percentage of biofilm formation inhibition tested by using the colorimetric XTT technique against V. alginolyticus ATCC 33787, V. parahaemolyticus ATCC 17802, V. vulnificus ATCC 27962, and V. cholerae ATCC 9459. Errors bars represent standard deviation from three determinations.
2.5. Anti-QS Activity
2.5.1. Qualitative and Quantitative Violacein Inhibition Estimation
The ability of cumin EO and its major compound (cuminaldehyde) to inhibit the production of violacein by C. violaceum CV026 was tested at 2 mg/mL (Figure 2). The inhibition zone of the EO was about 32 mm and about 35 mm for its main compound (cuminaldehyde). Meanwhile, the anti-QS sensing zone of cuminaldehyde was interestingly higher than the EO (35 mm and 19 mm, respectively).
Figure 2.
Violacein inhibition by cumin EO (A) and its main component (cuminaldehyde, B).
More interestingly, quantitative estimation on the effect of various concentration of cumin volatile oil on the growth of C. violaceum, showed a MIC value about 5 mg/mL and the VIC50% was about 2.746 mg/mL. Meanwhile, for the main compound (Cuminaldehyde), MIC and VIC50% values were about 1.25 mg/mL about 1.676 mg/mL, respectively.
2.5.2. Anti-Swarming Activity
The starter strain (P. aeruginosa PAO1) was used to test the effect of cumin EO and cumin aldehyde at different concentrations on its motility on semi-solid agar plates. The results obtained are summarized in Table 4. At 10 mm/mL, the motility of this bacterium was more inhibited by cuminaldehyde (by 70.99 ± 0.57%) as compared to the EO (64.20 ± 0.57%). At higher concentration (500 mg/mL), the percentage of motility inhibition was about 89.77 ± 0.00% for cuminaldehyde and 90.12 ± 0.57% for the cumin EO.
Table 4.
Swarming inhibition on Lauria Bertani (0.5% agar-agar) by cumin EO and cuminaldehyde. The letters (a–f) indicate a significant difference between the diameter of colony tested at different concentrations according to the Duncan test (p < 0.05).
2.5.3. Elastase and Protease Inhibition
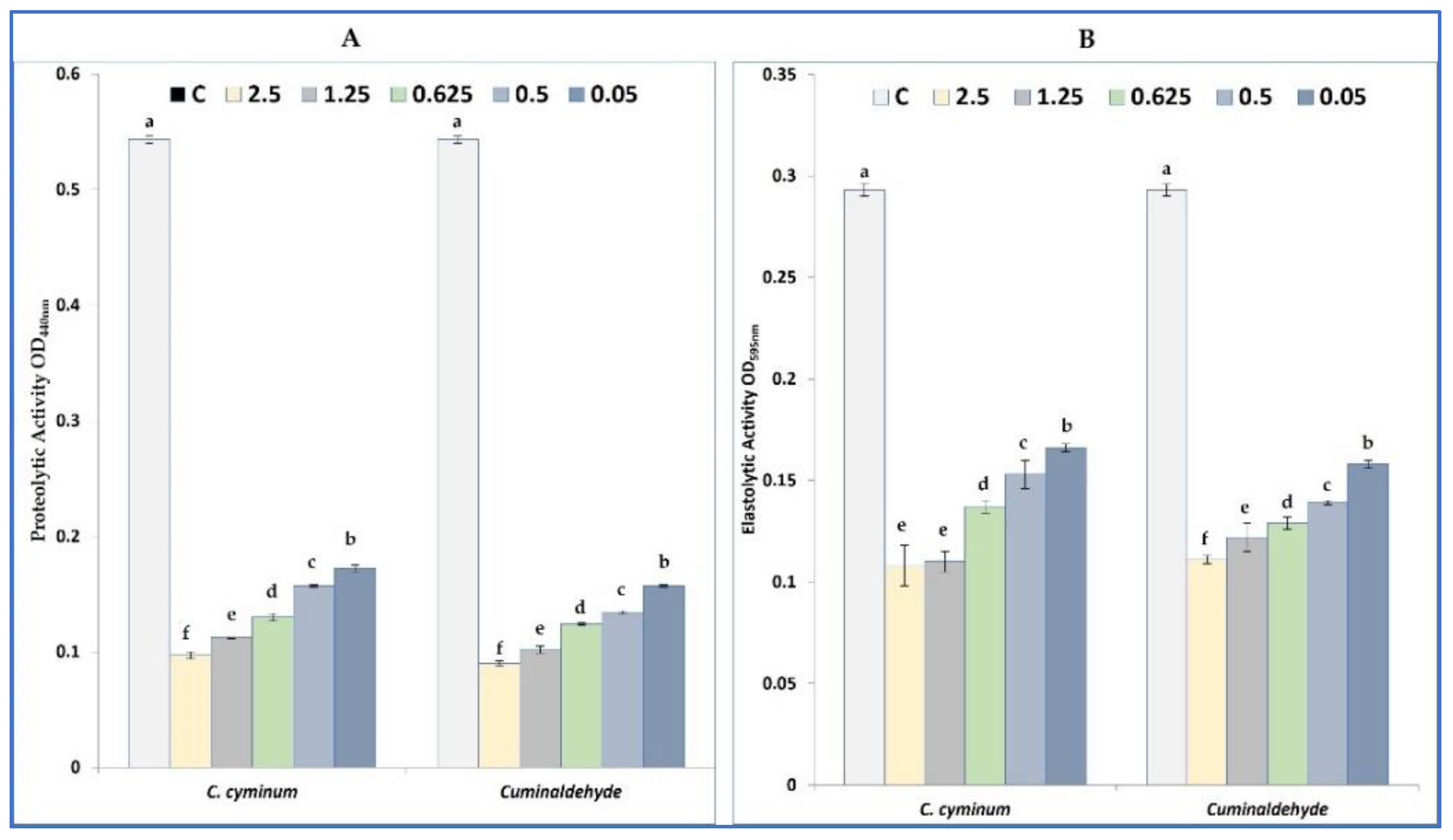
Pseudomonas aeruginosa is able to produce several virulence factors responsible for its pathogenecity like alkaline proteases, elastases, and collagenase. Our results showed that the obtained cumin EO and its main compounds are able to modulate the production of elastase and protease with different degree and in a concentration dependent manner (Figure 3). In fact, cumin EO and cuminaldehyde decreased the production of protease by 68.32% and 71.09% respectively at 0.05 mg/mL. Similarly, at high concentration (2.5 mg/mL), cumin EO inhibited the production of protease by 82.14%, and by 83.43% for cuminaldehyde. More interestingly, cumin EO inhibited the production of elastase by 46.08% for cuminaldehyde and by 43.34% for the volatile oil. At 2.5 mg/mL, elastase production in P. aeruginosa PAO1 was inhibited by 63.14% and 62.12% respectively for cumin EO and its main compound (cuminaldehyde).
Figure 3.
Inhibition of the proteolytic activity (A) and elastolytic activity (B) in P. aeruginosa PAO1 strain by different concentration of cumin EO and cuminaldehyde. Values are the average of at least three independent determinations. Means followed by the same letters are not significantly different at p < 0.05 based on Duncan’s multiple range test.
2.6. ADMET Analysis
The in silico ADMET prediction of the selected major compounds (Table 5) revealed a good permeability on intestinal Caco-2 cells and is easy to be absorbed, with values in the range of 1.373–1.517, and high intestinal human absorption (above 94%), with only 16 and 17 exhibited low skin permeability. All phytocompounds were expected to not act on P-glycoprotein, are likely to cross the blood-brain barrier (BBB) with 9, 16 and 17 are able to slightly access to the central nervous system (CNS). Another important parameter used in distribution named distribution volume which characterize the distribution of drugs in various tissues in vivo. Predictive data showed that compound 4 was well distributed, 7 and 9 were moderately, but 16 and 17 were relatively lower distributed.
Table 5.
ADMET properties of compounds the major phytocompounds. Number of the compounds are same listed in Table 1.
Cytochrome P450s is an important enzyme system for drug metabolism in liver, with the most important where subtypes are CYP2D6 and CYP3A4. Results indicate that none of the selected compounds will be metabolized by the cytochrome P450s enzymes. Regarding toxicity parameters, our phytocompounds may not inhibit the hERG channel and have no AMES nor hepatotoxicity profile.
2.7. Molecular Docking Analysis
In order to assess the potential of cumin EO to inhibit the growth of pathogenic microorganisms and to reduce hydrogen peroxide and alkyl hydroperoxides, molecular docking study was performed to gain insight into the most preferred binding mode of compound into the enzyme binding active site. Ligands have been selected based on their abundance in the EO (%) and their lowest binding score.
Staphylococcus aureus tyrosyl-tRNA synthetase (PDB ID, 1JIJ): inhibitors of tyrosyl-tRNA synthetase could be promising drug candidates leading to high selectivity and broad-spectrum antibacterial agents. As shown in Table 6 and Figure 4, cuminaldehyde form C-H bond: Gly192 (2.81). Alkyl/Pi-Alkyl: Cys37 (5.21), Leu70 (4.89) (5.39), however β-Caryophyllene was involved via Alkyl/Pi-Alkyl: Cys37(4.64), Ala39 (4.28) (4.53) (4.75), Pro53 (5.37) (4.50), His50 (4.00) (5.06) with S. aureus tyrosyl-tRNA synthetase.
Table 6.
Best phytoconstituents identified from C. cyminum L. EO with the lowest binding energies and their interaction residues with selected target proteins.
Figure 4.
Two-dimensional (2D) and three-dimensional (3D) docking pose of cuminaldehyde in active site of tyrosyl-tRNA synthetase (PDB Id: 1JIJ) enzyme.
Human peroxiredoxin 5 (PRDX5) receptor (PDB ID, 1HD2) is a potential target for the evaluation of antioxidant activity which permits the reduction of hydrogen peroxide and alkyl peroxide, with the help of thiol-containing donor molecules. The major and the most relevant docked phytocompounds were β-pinene which interact preferentially via Alkyl/Pi-Alkyl with Pro40 (4.05) (4.38), Pro45 (5.05), Cys47 (4.99), Leu116 (5.11), Phe120 (4.88) residues. On the other hand, cuminaldehyde interact with Thr147 (2.10). Alkyl: Pro45 (5.14), Cys47 (5.00) residues by H bond interactions (Table 5 and Figure 5).
Figure 5.
Two-dimensional (2D) and three-dimensional (3D) docking pose of β-pinene in active site of Human PRDX5 antioxidant enzyme (PDB ID, 1HD2).
LasR enzyme (PDB ID, 2UV0) and CviR enzyme (PDB ID, 3QP1): To combat multidrug resistant bacteria, QS inhibition strategies remains a promising strategy due to their ability to regulate pathogenicity and virulence. For this, docking studies were performed towards two target QS receptors, LasR enzyme (PDB ID, 2UV0) and CviR enzyme (PDB ID, 3QP1) able of inhibiting P. aeruginosa bacterium. CviR is receptor protein of C. violaceum 12472 and LasR is transcriptional activator of P. aeruginosa virulence factors. All the selected compounds were able to bind in the evaluated structures of the CviR and LasR with the following binding scores and binding residues (Table 4).
The best selected bioactive phytocompounds in C. cyminum L. EO with LasR enzyme were p-cymene (Figure 6A) which was able to bind via the following interactions: van der Waals with Leu110, Unfavorable Bump with Trp88 (0.69) (1.13) (1.47) (1.49), Pi-Pi T-Shaped with Tyr56 (5.01) and Alkyl/Pi-Alkyl with Leu36 (4.93), Trp88 (4.87).g-Terpinene form Unfavorable Bump with Trp88 (0.61) (1.34) (1.54) and Alkyl/Pi-Alkyl with Leu36 (4.93), Tyr56 (5.20), Tyr64 (3.76) (4.88), Trp88 (4.67). However, cuminaldehyde involved H bond (Arg61 (4.31)), Pi-Lone Pair (Tyr64 (2.79)), Unfavorable Bump (Trp88 (0.71) (0.75) (0.22) (1.39)), Pi-Pi T-Shaped (Tyr56 (4.90)), and Alkyl/Pi-Alkyl (Trp88 (4.75)) interactions.
Figure 6.
Two-dimensional (2D) and three-dimensional (3D) docking pose of p-cymene in active site of LasR (A) and CviR (B) enzymes.
The selected phytocompounds with CviR enzyme were p-Cymene, forming the CviR-p-cymene complex (−7.5 kcal/mol), which was stabilized by the following interactions (Figure 6B): Unfavorable Bump with Trp111 (1.25) (1.58), Pi-Pi T-Shaped with Tyr80 (5.80), Alkyl/Pi-Alkyl with Trp84 (3.37) Ile99 (4.80), Phe126m(4.94), Ala130 (4.88), Met135 (5.80) residues. The complex CviR-g-Terpinene (−7.5 kcal/mol) form van der Waals: Leu57, trp84, Tyr88, Ile99, Leu100. Unfavorable Bump: Trp111 (0.90) (1.41). Alkyl/Pi-Alkyl: Tyr80 (5.36), Phe115 (4.99), Phe126 (4.99), Ala130 (5.01), Met135 (3.80) (5.35), Trp111 (4.20) (4.45), however, CviR-cuminaldehyde (−7.5 kcal/mol) form Pi-Pi T-Shaped with Tyr80 (5.82) and Pi-Alkyl with Ile99 (4.76) residues
Table 6 summarizes the best obtained poses based on the binding energy with the dominant compounds.
3. Discussion
Cumin seeds are largely used as a flavoring and food preservative agent due to their richness in bio-compounds with a large array of biological activities [5].
In this study, the volatile oil extracted from cumin seeds by hydrodistillation is a rich source of cuminaldehyde (42.4%). In fact, it is well documented that the chemical composition of cumin seeds depends on several endogenous (cultivar, genetic traits) and exogenous factors (geographical region, harvesting time, and extraction procedures). Different percentages of cuminaldehyde were reported from cumin seeds around the word as summarized in Table 7.
Table 7.
Review of the chemical composition of C. cyminum EO from seeds.
Our results revealed that the obtained EO was active against fifteen Vibrio species with different degrees. The diameter of growth inhibition zone ranged from 11 ± 00 mm (V. diazotrophicus ATCC 33466) to 41.33 ± 1.15 mm (V. fluvialis ATCC 33809). Cumin EO oil exhibited bacteriostatic activity against all Vibrio species with MICs and MBCs values ranging from 0.023–0.046 mg/mL and 1.5–12 mg/mL, respectively. Our results are in agreement with previous study who demonstrated that cumin EO is active against a wide spectrum of microorganisms [32,33,47]. More recently, it has been reported that cumin EO from Iran (cuminaldehyde 38.26%) was active against multidrug resistant Staphylococcus aureus (S. aureus) strains with MICs and MBCs values ranging from 5 to 10 and 10 to 20 µL/mL, respectively [38].
This antimicrobial activity can be positively correlated with the concentration of aldehydes (cuminaldehyde) and terpene group (mainly α-pinene and β-pinene). Using cumin EO (Cuminaldehyde 39.78%), Hajlaoui and colleagues [47] have demonstrated a large antimicrobial activity against Gram-positive bacteria (S. aureus, S. epidermidis, Micrococcus luteus, Bacillus cereus), Gram negative bacteria (Escherichia coli, Enterococcus faecalis, P. aeruginosa, Salmonella typhimirium, Listeria monocytogenes), twelve Vibrio species, and yeast strains (Candida albicans, Candida tropicalis, Candida glabrata, Saccharomyces cerevisiae). More recently, our team demonstrated that caraway (Carum carvi L.) EO was active against the same Vibrio species tested in the present study with a high diameter of growth inhibition zone and low MIC and MBC values [53]. Table 8 represents a systemic review of the bibliography describing the effect of some EOs against different members of Vibrionaceae family.
Table 8.
Review of the antibacterial activities of some EO against Vibrio species.
More interestingly, our EO exhibited antioxidant activities as revealed by DPPH (IC50= 8 ± 0.54 mg/mL), reducing power (EC50 = 3.5 ± 0.03 mg/mL), β-carotene (IC50 = 3.8 ± 0.34 mg/mL), and chelating power (IC50 = 8.4 ± 0.14 mg/mL) assays in comparison with BHA, BHT, and ascorbic acid. Previous results have discussed the antioxidant activity of cumin essential oil from different origin [46,48,78,79,80].
In addition, our results showed that cumin EO (Chemotype cuminaldehyde) was able to inhibit the biofilm formation of V. alginolyticus ATCC 33787, V. parahaemolyticus ATCC 17802, V. vulnificus ATCC 27962, and V. cholerae ATCC 9454 at MICs value ranging from 9.96 to 18.14%. The biofilm formation by these strains was highly inhibited at MBCs values, and at 50 mg/mL. Similar results have reported the effectiveness of EO from P. crispum, O. basilicum, M. spicata, C. carvi to inhibit the biofilm formation by the same strains [53,67,68,69]. It has been also demonstrated that clove, garlic, and thyme volatile oils are able to inhibit the formation of biofilm by V. parahaemolyticus at 8xMIC (0.56% for clove, 0.16% for thyme, and 0.72% for garlic) after 30 min of application of the volatile oils. Cumin EO was described to inhibit the biofilm formation by clinical Klebsiella pneumoniae on semiglass lamellas [81] and the attachment of E. coli MTCC 40, Salmonella spp. MTCC 1163 and S. aureus MTCC 7443 strains on microtiter plate by 52.11% [82].
In this work, we evaluated the effect of cumin EO and cuminaldehyde to inhibit the production of violacein by C. violaceum using both qualitative and quantitative methods. Previous reports have shown that C. cyminum exhibited potent inhibition of violacein production in C. violaceum at low concentration (0.5 mg/mL of methanolic extract), as well as swarming and swimming motility in P. aeruginosa PAO1 at 60 μg/mL [83]. In addition, methanolic extract of cumin seeds was able to inhibit the violacein production by C. violaceum, exopolysaccharide production, flagellar motility, and biofilm formation [84].
Overall, the biological activity of the tested cumin EO (anti-Vibrio spp., antioxidant, antibiofilm, and anti-quorum sensing properties) can be explicated by the high percentage of cuminaldehyde (42.4%), β-pinene (15.1%), γ-terpinene (14.4%), and p-cymene (14.2%). In fact, cuminaldehyde was described to be active against biofilm-forming K. pneumoniae and P. aeruginosa strains [81,85]. In addition, this aldehyde was described to be active against planktonic B. cereus, B. licheneformis, S. aureus, E. coli, P. fluorescens, P. aeruginosa, P. fragi, S. paratyphi, S. abony, and S. Typhi strains [45,51,85,86]. More recently, it has been reported that cuminaldehyde enhances the antimicrobial potential of ciprofloxacin tested against S. aureus and E. coli strains [87]. In addition, Chen et al. [78] highlighted the role cuminaldehyde, β-pinene, p-cymene, and γ-terpinene as promising scavenging molecules of various reactive oxygen species.
4. Materials and Methods
4.1. Plant Material and Extraction Procedure
Cumin seeds (Cuminum cyminum L.) were purchased from a local market in August 2021. The taxonomic position was evaluated by Dr. Zouhair Noumi, University of Sfax, Tunisia (Voucher No: AN-0005). The volatile oil was extracted by using hydrodistillation technique [53].
4.2. Analysis of the Volatile Compounds
GC/EIMS analyses was performed with a Varian CP-3800 GC equipped with a HP-5 capillary column (30 m × 0.25 mm; coating thickness 0.25 μm) and a Varian Saturn 2000 ion trap mass detector. The identification of compounds was done by comparison of their Kovats retention indices (Ri) [determined relative to the tR of n-alkanes (C10–C35)], with either those of the literature and mass spectra of authentic compounds available in our laboratories by means of NIST 02 and Wiley 275 libraries. The components’ relative concentrations were obtained by peak area normalization [18].
4.3. Sceening of the Anti-Vibrio spp. Activity
Fifteen Vibrio species (17 bacteria) commonly isolated from aquatic environment ant their associated organisms were used in this study. Semi-quantitative disc diffusion technique on Mueller Hinton-1%NaCl Petri dishes was used to estimate the growth inhibition zone around sterile Whatmann disc impregnated with 10 mg of cumin EO [53,67,68]. For the experiment, Vibrio strains were grown on Mueller-Hinton supplemented with 1% NaCl. Fresh Petri dishes were inoculated using bacterial suspension (optical density was adjusted to 0.5 McFarland) by cotton swab technique. Sterile filter paper disks (6 mm in diameter, Biolife, Milan, Italy) were impregnated with 10 mg of cumin EO and then placed on the inoculated Petri dishes. After sitting overnight at 37 °C, the diameter of growth inhibition zone around the disks was estimated using a 1-cm flat ruler.
The determination of the lowest concentration able to inhibit the growth and/or to kill the tested Vibrio species was estimated by using microdilution technique as reviously described by Snoussi et al. [58]. In fact, a twofold serial dilution of cumin EO in DMSO-5% was prepared in 96-well plates, starting from 25 µL/mL (23.125 mg/mL), in Mueller-Hinton Broth-1% NaCl. Five microliters of microbial inoculum were added to each well containing 100 µL of the serially diluted volatile oil. After incubation at 37 °C, the minimum inhibitory concentration (MIC) was defined as the lowest concentration able to inhibit the growth of a specific microorganism. To determine the minimum bactericidal concentration (MBC), 3 µL from all the wells with no visible growth were point-inoculated in Mueller-Hinton (1% NaCl) agar. After 24 h of incubation, the concentration at which the Vibrio spp. strain presents no growth is recorded as the MBC value.
4.4. Evaluation of the Antioxidant Activities
The antioxidant activity experiments were carried out by using four different assays: DPPH, β-Carotene bleaching, and reducing/chelating power assays by using the protocols previously described Ghannay et al. [53].
4.5. Inhibition of Virulence Factors Regulated by QS System
4.5.1. Inhibition of Violacein
Chromobacterium violaceum (CV026) strain was selected to study the effect of cumin EO against the production of violacein by using disc diffusion assay on LB-agar Petri dishes (2 mm/disc). Twofold serial dilutions of cumin EO were prepared in 96-well plates starting from 5 mg/mL in LB broth and inoculated with C. violaceum ATCC 12472 [88].
4.5.2. Biofilm Inhibition
The ability of the tested cumin EO to inhibit the biofilm formation by four Vibrio species (V. alginolyticus, V. parahaemolyticus, V. vulnificus, and V. cholerae) on a 96 well plate was tested at different concentrations ranging from 2xMIC to 50 mg/mL by using the same protocol described by Ghannay et al. [53].
4.5.3. Effect on Flagellar Motility
Pseudomonas aeruginosa PAO1 was used to study the effect of cumin EO at different concentrations on its motility on semi-solid Lauria Bertani (LB-0.3% agar-agar) by using the same protocol described by Snoussi et al. [88].
4.5.4. Elastase and Protease Inhibition in P. aeruginosa PAO1
The effect of cumin on the production of elastase by P. aeruginosa PAO1 was tested in Elastin Congo Red buffer supplemented with 0.05, 0.5, 0.625, 1.25, and 2.5 mg/mL of the volatile oil. For the protease inhibition, 3 mg of azocasein (Sigma, Tokyo, Japan) was used as enzyme.
4.6. Computational Approach
The receptor proteins (PDB ID: 1HD2, 1JIJ, 2UV0, and 2QP1) were selected from the RSCB protein data bank (http://www.rcsb.org/ accessed on 15 December 2021). Water molecules and co-crystal ligands were removed from each of the protein. AutoGrid was used to create a grid map using a grid box. The grid size and grid dimensions were set for each protein according to the binding pocket are as follow: 1HD2 (Grid size 40 × 40 × 40; Grid dimension center 7.089, 41.659, 34.385; Grid spacing in Å 0.375), 1JIJ (Grid size 40 × 40 × 40; Grid dimension center-11.273, 13.817, 86.080; Grid spacing in Å 0.375), 2UVO (Grid size 440 × 40 × 40; Grid dimension center 23.998, 16.050, 80.315; Grid spacing in Å 0.375), and 3QP1(Grid size 38 × 40 × 40; Grid dimension center 20.546, 12.912, 49.410; Grid spacing in Å 0.375. Docking conditions and steps are previously described by Ghannay et al. [53].
4.7. ADMET Predicted Properties
The ADMET predictor remains one of the powerful tools for the enhancement of drug design [89,90,91,92,93]. In order to discover effective compounds with better ADMET and drug-likeliness properties, the ADMET profiles of the top major identified compounds were predicted using ADMET SAR online server (http://lmmd.ecust.edu.cn:8000/ accessed on 15 December 2021).
4.8. Statistical Analysis
Average values of three replicates were calculated using the SPSS 25.0 statistical package for Windows. Differences in means were calculated using the Duncan’s multiple-range tests for means with a 95% confidence interval (p ≤ 0.05).
5. Conclusions
In summary, our results indicated that cuminaldehyde, β-pinene, γ-terpinene, and p-cymene were the main phytoconstituents identified in cumin EO by GC/MS technique. This chemovar was particularly active against planktonic and biofilm forming V. alginolyticus, V. cholerae, V. vulnificus, and V. parahaemolyticus species. The same EO and its main compound (cuminaldehyde) were able to modulate the expression of violacein production in C. violaceum in a concentration dependent manner. At low concentrations, cumin EO and cuminaldehyde were able to inhibit the flagellar motility of P. aeruginosa PAO1 strain and attenuate the production of elastase and protease. Further analyses are necessary to elucidate the mechanism of action of cumin EO and its role in the prevention of seafood product contamination by spoilage bacteria belonging to Vibrio genus.
Author Contributions
Conceptualization M.S., K.A., S.G. and A.K.; methodology, M.S., K.A., S.G. and A.K.; formal analysis, M.S., K.A., S.G. and A.K.; software, M.S. and A.K.; investigation, M.S., K.A., S.G. and A.K.; writing—original draft preparation, M.S., K.A., S.G. and A.K.; writing—review and editing, M.S., K.A., S.G. and A.K.; supervision, A.K. and M.S.; funding acquisition, K.A.; project administration, K.A. All authors have read and agreed to the published version of the manuscript.
Funding
The authors gratefully acknowledge Qassim University, represented by the Deanship of Scientific Research, on the financial support for this research under the number (10215-cos-2020-1-3-I) during the academic year 1442 AH/2020 AD.
Institutional Review Board Statement
Not applicable.
Informed Consent Statement
Not applicable.
Data Availability Statement
The data generated and analyzed during this study are included in this article.
Conflicts of Interest
Authors declare that there are no conflict of interest.
References
- Dhingra, S.; Rahman, N.A.A.; Peile, E.; Rahman, M.; Sartelli, M.; Hassali, M.A.; Islam, T.; Islam, S.; Haque, M. Microbial Resistance Movements: An Overview of Global Public Health Threats Posed by Antimicrobial Resistance, and How Best to Counter. Front. Public Health 2020, 8, 535668. [Google Scholar] [CrossRef] [PubMed]
- Hayes, J.F. Fighting Back against Antimicrobial Resistance with Comprehensive Policy and Education: A Narrative Review. Antibiotics 2022, 11, 644. [Google Scholar] [CrossRef] [PubMed]
- Antimicrobial Resistance Collaborators. Global burden of bacterial antimicrobial resistance in 2019: A systematic analysis. Lancet 2022, 399, 629–655. [Google Scholar] [CrossRef]
- Asghar, A.; Algburi, A.; Huang, Q.; Ahmad, T.; Zhong, H.; Javed, H.U.; Ermakov, A.M.; Chikindas, M.L. Anti-biofilm Potential of Elletaria cardamomum Essential Oil Against Escherichia coli O157:H7 and Salmonella Typhimurium JSG 1748. Front. Microbiol. 2021, 12, 620227. [Google Scholar]
- Singh, S.; Datta, S.; Narayanan, K.B.; Rajnish, K.N. Bacterial exo-polysaccharides in biofilms: Role in antimicrobial resistance and treatments. J. Genet. Eng. Biotechnol. 2021, 19, 140. [Google Scholar] [CrossRef] [PubMed]
- Thi, M.T.T.; Wibowo, D.; Rehm, B.H.A. Pseudomonas aeruginosa Biofilms. Int. J. Mol. Sci. 2020, 21, 8671. [Google Scholar] [CrossRef] [PubMed]
- Tuon, F.F.; Dantas, L.R.; Suss, P.H.; Tasca Ribeiro, V.S. Pathogenesis of the Pseudomonas aeruginosa Biofilm: A Review. Pathogens 2022, 11, 300. [Google Scholar] [CrossRef]
- Rumbaugh, K.P.; Diggle, S.P.; Watters, C.M.; Ross-Gillespie, A.; Griffin, A.S.; West, S.A. Quorum Sensing and the Social Evolution of Bacterial Virulence. Curr. Biol. 2009, 19, 341. [Google Scholar] [CrossRef]
- Simanek, K.A.; Paczkowski, J.E. Resistance Is Not Futile: The Role of Quorum Sensing Plasticity in Pseudomonas aeruginosa Infections and Its Link to Intrinsic Mechanisms of Antibiotic Resistance. Microorganisms 2022, 10, 1247. [Google Scholar] [CrossRef]
- Daoud, A.; Ben Mefteh, F.; Mnafgui, K.; Turki, M.; Jmal, S.; Ben Amar, R.; Ayadi, F.; ElFeki, A.; Abid, L.; Rateb, M.E.; et al. Cardiopreventive effect of ethanolic extract of date palm pollen against isoproterenol induced myocardial infarction in rats through the inhibition of the angiotensin-converting enzyme. Exp. Toxicol. Pathol. 2017, 69, 656. [Google Scholar] [CrossRef]
- Ben Mefteh, F.; Daoud, A.; Chenari Bouket, A.; Thissera, B.; Kadri, Y.; Cherif-Silini, H.; Eshelli, M.; Alenezi, F.N.; Vallat, A.; Oszako, T.; et al. Date Palm Trees Root-Derived Endophytes as Fungal Cell Factories for Diverse Bioactive Metabolites. Int. J. Mol. Sci. 2018, 19, 1986. [Google Scholar] [CrossRef] [PubMed]
- Alminderej, F.; Bakari, S.; Almundarij, T.I.; Snoussi, M.; Aouadi, K.; Kadri, A. Antioxidant Activities of a New Chemotype of Piper cubeba L. Fruit Essential Oil (Methyleugenol/Eugenol): In Silico Molecular Docking and ADMET Studies. Plants 2020, 9, 1534. [Google Scholar] [CrossRef] [PubMed]
- Bakari, S.; Ncir, M.; Felhi, S.; Hajlaoui, H.; Saoudi, M.; Gharsallah, N.; Kadri, A. Chemical composition and in vitro evaluation of total phenolic, flavonoid, and antioxidant properties of essential oil and solvent extract from the aerial parts of Teucrium polium grown in Tunisia. Food. Sci. Biotechnol. 2015, 24, 1943. [Google Scholar] [CrossRef]
- Kadri, A.; Zarai, Z.; Chobba, I.B.; Gharsallah, N.; Damak, M.; Békir, A. Chemical composition and in vitro antioxidant activities of Thymelaea hirsuta L: Essential oil from Tunisia. Afr. J. Biotechnol. 2011, 10, 2930. [Google Scholar]
- Aouadi, K.; Hajlaoui, H.; Arraouadi, S.; Ghannay, S.; Snoussi, M.; Kadri, A. HPLC/MS Phytochemical Profiling with Antioxidant Activities of Echium humile Desf. Extracts: ADMET Prediction and Computational Study Targeting Human Peroxiredoxin 5 Receptor. Agronomy 2021, 11, 2165. [Google Scholar] [CrossRef]
- Felhi, S.; Saoudi, M.; Daoud, A.; Hajlaoui, H.; Ncir, M.; Chaabane, R.; El Feki, A.; Gharsallah, N.; Kadri, A. Investigation of phytochemical contents, in vitro antioxidant and antibacterial behavior and in vivo anti-inflammatory potential of Ecballium elaterium methanol fruits extract. Food Sci. Technol. 2017, 37, 558. [Google Scholar] [CrossRef]
- Bakari, S.; Daoud, A.; Felhi, S.; Smaoui, S.; Gharsallah, N.; Kadri, A. Proximate analysis, mineral composition, phytochemical contents antioxidant and antimicrobial activities and GC-MS investigation of various solvent extracts of Cactus cladode. Food Sci. Technol. 2017, 27, 286. [Google Scholar] [CrossRef]
- Mseddi, K.; Alimi, F.; Noumi, E.; Veettil, V.N.; Deshpande, S.; Adnan, M.; Hamdi, A.; Elkahoui, S.; Alghamdi, A.; Kadri, A.; et al. Thymus musilii Velen. as a promising source of potent bioactive compounds with its pharmacological properties: In vitro and in silico analysis. Arab. J. Chem. 2020, 13, 6782. [Google Scholar] [CrossRef]
- Bakari, S.; Hajlaoui, H.; Daoud, A.; Mighri, H.; Ross-Garcia, J.M.; Gharsallah, N.; Kadri, A. Phytochemicals, antioxidant and antimicrobial potentials and LC-MS analysis of hydroalcoholic extracts of leaves and flowers of Erodium glaucophyllum collected from Tunisian Sahara. Food Sci. Technol. 2018, 38, 310. [Google Scholar] [CrossRef]
- Alminderej, F.; Bakari, S.; Almundarij, T.I.; Snoussi, M.; Aouadi, K.; Kadri, A. Antimicrobial and Wound Healing Potential of a New Chemotype from Piper cubeba L. Essential Oil and In Silico Study on S. aureus tyrosyl-tRNA Synthetase Protein. Plants 2021, 10, 205. [Google Scholar] [CrossRef]
- Hajlaoui, H.; Mighri, H.; Aouni, M.; Gharsallah, N.; Kadri, A. Chemical composition and in vitro evaluation of antioxidant antimicrobial cytotoxicity and anti-acetylcholinesterase properties of Tunisian Origanum majorana L. essential oil. Microb. Pathog. 2016, 95, 86. [Google Scholar] [CrossRef] [PubMed]
- Merghni, A.; Noumi, E.; Hadded, O.; Dridi, N.; Panwar, H.; Ceylan, O.; Mastouri, M.; Snoussi, M. Assessment of the antibiofilm and antiquorum sensing activities of Eucalyptus globulus essential oil and its main component 1,8-cineole against methicillin-resistant Staphylococcus aureus strains. Microb. Pathog. 2018, 118, 74–80. [Google Scholar] [CrossRef] [PubMed]
- Bieżanowska-Kopeć, R.; Piątkowska, E. Total Polyphenols and Antioxidant Properties of Selected Fresh and Dried Herbs and Spices. Appl. Sci. 2022, 12, 4876. [Google Scholar] [CrossRef]
- Felhi, S.; Hajlaoui, H.; Ncir, M.; Bakari, S.; Ktari, N.; Saoudi, M.; Gharsallah, N.; Kadri, A. Nutritional, phytochemical and antioxidant evaluation and FT-IR analysis of freeze-dried extracts of Ecballium elaterium fruit juice from three localities. Food Sci. Technol. 2016, 36, 646. [Google Scholar] [CrossRef]
- Marc, R.A.; Mureșan, V.; Mureșan, A.E.; Mureșan, C.C.; Tanislav, A.E.; Pușcaș, A.; Marţiș, G.S.; Ungur, R.A. Spicy and Aromatic Plants for Meat and Meat Analogues Applications. Plants 2022, 11, 960. [Google Scholar] [CrossRef]
- Pandey, S.; Patel, M.K.; Mishra, A.; Jha, B. Physio-Biochemical Composition and Untargeted Metabolomics of Cumin (Cuminum cyminum L.) Make It Promising Functional Food and Help in Mitigating Salinity Stress. PLoS ONE 2015, 10, e0144469. [Google Scholar] [CrossRef]
- Johri, R.K. Cuminum cyminum and Carumcarvi: An update. Pharmacogn Rev. 2011, 5, 63. [Google Scholar] [CrossRef]
- Singh, R.P.; Gangadharappa, H.V.; Mruthunjaya, K. Cuminum cyminum—A Popular Spice: An Updated Review. Pharmacogn. J. 2017, 9, 292. [Google Scholar] [CrossRef]
- Aggarwal, B.B.; Prasad, S.; Reuter, S.; Kannappan, R.; Yadev, V.R.; Park, B.; Kim, J.H.; Gupta, S.C.; Phromnoi, K.; Sundaram, C.; et al. Identification of novel anti-inflammatory agents from Ayurvedic medicine for prevention of chronic diseases: “reverse pharmacology” and “bedside to bench” approach. Curr. Drug Targets. 2011, 12, 1595. [Google Scholar] [CrossRef]
- Ramya, S.; Loganathan, T.; Chandran, M.; Priyanka, R.; Kavipriya, K.; Grace Lydial Pushpalatha, G.; Aruna, D.; Ramanathan, L.; Jayakumararaj, R.; Saluja, V. Phytochemical Screening, GCMS, FTIR profile of Bioactive Natural Products in the methanolic extracts of Cuminum cyminum seeds and oil. JDDT 2022, 12, 110. [Google Scholar] [CrossRef]
- Li, R.; Jiang, Z.-T. Chemical composition of the essential oil of Cuminum cyminum L. from China. Flavour Fragr. J. 2004, 19, 311. [Google Scholar] [CrossRef]
- Gachkar, L.; Yadegari, D.; Rezaei, M.B.; Taghizadeh, M.; Astaneh, S.A.; Rasooli, I. Chemical and biological characteristics of Cuminum cyminum and Rosmarinus officinalis essential oils. Food Chem. 2007, 102, 898. [Google Scholar] [CrossRef]
- Derakhshan, S.; Sattari, M.; Bigdeli, M. Effect of subinhibitory concentrations of cumin (Cuminum cyminum L.) seed essential oil and alcoholic extract on the morphology, capsule expression and urease activity of Klebsiella pneumoniae. Int. J. Antimicrob. Agents. 2008, 32, 432. [Google Scholar] [CrossRef] [PubMed]
- Mohammadpour, H.; Moghimipour, E.; Rasooli, I.; Fakoor, M.H.; Astaneh, S.A.; Moosaie, S.S.; Jalili, Z. Chemical Composition and Antifungal Activity of Cuminum cyminum L. Essential Oil From Alborz Mountain Against Aspergillus species. Jundishapur J. Nat. Pharm. Prod. 2012, 7, 50. [Google Scholar] [CrossRef] [PubMed]
- Esmaeili, F. Composition of Essential Oil of Cuminum cyminum. TEOP 2015, 18, 507. [Google Scholar]
- Ekhtelat, M.; Khalili Borujeni, F.; Siahpoosh, A.; Ameri, A. Chemical composition and antibacterial effects of some essential oils individually and in combination with sodium benzoate against methicillin-resistant Staphylococcus aureus and Yersinia enterocolitica. Vet. Res. Forum 2020, 11, 333. [Google Scholar] [PubMed]
- Ghasemi, G.; Fattahi, M.; Alirezalu, A. A new source of oxygenated monoterpenes with phytotoxic activity: Essential oil of Cuminum Cyminum L. from Iran. Nat. Prod. Res. 2020, 34, 843. [Google Scholar] [CrossRef] [PubMed]
- Sharifi, A.; Mohammadzadeh, A.; Salehi, T.Z.; Mahmoodi, P.; Nourian, A. Cuminum cyminum L. Essential Oil: A Promising Antibacterial and Antivirulence Agent Against Multidrug-Resistant Staphylococcus aureus. Front. Microbiol. 2021, 12, 667833. [Google Scholar] [CrossRef]
- Pajohi Alamoti, M.; Bazargani-Gilani, B.; Mahmoudi, R.; Reale, A.; Pakbin, B.; Di Renzo, T.; Kaboudari, A. Essential Oils from Indigenous Iranian Plants: A Natural Weapon vs. Multidrug-Resistant Escherichia coli. Microorganisms 2022, 10, 109. [Google Scholar] [CrossRef]
- Hashemian, N.; Pirbalouti, A.G.; Hashemi, M.; Golparvar, A.; Hamedi, B. Diversity in chemical composition and antibacterial activity of essential oils of cumin (Cuminum cyminum L.) diverse from northeast of Iran. AJCS 2013, 7, 1752. [Google Scholar]
- Rana, V.S. Chemical composition of the essential oil of Cuminum cyminum L. seeds from Western India. J. Med. Plants. By-Prod. 2014, 3, 207. [Google Scholar]
- Patil, S.D.; Maknikar, P.P.; Wankhade, S.J.; Ukesh, C.S.; Rai, M.K. Chemical composition, antimicrobial and antioxidant activity of essential oils from cumin and ajowan. Nus. Biosci. 2016, 8, 60. [Google Scholar]
- Huo, Y.Y.; Li, T.T.; Yang, J.; Huang, H.Y.; Chen, C.J.; Xu, F.R.; Dong, X. Chemical Constituents of the Essential oil from Cuminum cyminum L. and Its Antifungal Activity against Panax notoginseng Pathogens. Chem. Biodivers. 2021, 18, e2100638. [Google Scholar] [CrossRef] [PubMed]
- Tanapichatsakul, C.; Khruengsai, S.; Pripdeevech, P. In vitro and in vivo antifungal activity of Cuminum cyminum essential oil against Aspergillus aculeatus causing bunch rot of postharvest grapes. PLoS ONE 2020, 15, e0242862. [Google Scholar] [CrossRef]
- Wongkattiya, N.; Sanguansermsri, P.; Fraser, I.H.; Sanguansermsri, D. Antibacterial activity of cuminaldehyde on food-borne pathogens, the bioactive component of essential oil from Cuminum cyminum L. collected in Thailand. J. Complement Integr. Med. 2019, 16, 20180195. [Google Scholar] [CrossRef] [PubMed]
- Bettaieb Rebey, R.; Jabri-Karoui, I.; Hamrouni-Sellami, I.; Bourgou, S.; Limam, F.; Marzouk, B. Effect of drought on the biochemical composition and antioxidant activities of cumin (Cuminum cyminum L.) seeds. Ind. Crops Prod. 2012, 36, 238. [Google Scholar] [CrossRef]
- Hajlaoui, H.; Mighri, H.; Noumi, E.; Snoussi, M.; Trabelsi, N.; Ksouri, R.; Bakhrouf, A. Chemical composition and biological activities of Tunisian Cuminum cyminum L. essential oil: A high effectiveness against Vibrio spp. strains. Food Chem. Toxicol. 2010, 48, 2186. [Google Scholar] [CrossRef]
- Jardak, M.; Mnif, S.; Ben Ayed, R.; Rezgui, F.; Aifa, S. Chemical composition, antibiofilm activities of Tunisian spices essential oils and combinatorial effect against Staphylococcus epidermidis biofilm. LWT 2021, 14, 110691. [Google Scholar] [CrossRef]
- Abushama, M.F.; Yasmin, H.; Abdalgadir, H.; Khalid, H. Chemical composition, antimicrobial and Brine Shrimp Lethality of the essential oil of Cuminum cyminum L. Int. J. Pharm. Chem. Sci. 2013, 2, 1666. [Google Scholar]
- Gómez-Mateos Pérez, M.; Navarro Moll, C.; Merino Espinosa, G.; Valero López, A. Evaluation of different Mediterranean essential oils as prophylactic agents in anisakidosis. Pharm. Biol. 2017, 55, 456. [Google Scholar] [CrossRef]
- Wanner, J.; Bail, S.; Jirovetz, L.; Buchbauer, G.; Schmidt, E.; Gochev, V.; Girova, T.; Atanasova, T.; Stoyanova, A. Chemical composition and antimicrobial activity of cumin oil (Cuminum cyminum, Apiaceae). Nat. Prod. Commun. 2010, 5, 1355. [Google Scholar] [CrossRef]
- Petretto, G.L.; Fancello, F.; Bakhy, K.; Faiz, C.A.L.; Sibawayh, Z.; Chessa, M.; Zara, S.; Sanna, M.L.; Maldini, M.; Rourke, J.P.; et al. Chemical composition and antimicrobial activity of essential oils from Cuminum cyminum L. collected in different areas of Morocco. Food Biosci. 2018, 22, 50. [Google Scholar] [CrossRef]
- Ghannay, S.; Aouadi, K.; Kadri, A.; Snoussi, M. GC-MS Profiling, Vibriocidal, Antioxidant, Antibiofilm, and Anti-Quorum Sensing Properties of Carum carvi L. Essential Oil: In Vitro and In Silico Approaches. Plants 2022, 11, 1072. [Google Scholar] [CrossRef] [PubMed]
- Pokhrel, N.R.; Adhikari, R.; Baral, M. In-vitro evaluation of the antimicrobial activity of Bauhinia variegata, locally known as koiralo. World J. Microbiol. Biotechnol. 2002, 18, 69. [Google Scholar] [CrossRef]
- Mahfuzul Hoque, M.D.; Bari, M.; Inatsu, Y.; Juneja, V.K.; Kawamoto, S. Antibacterial activity of guava (Psidium guajava L.) and neem (Azadirachta indica A. Juss.) extracts against foodborne pathogens and spoilage bacteria. Foodborne Pathog. Dis. 2007, 4, 481. [Google Scholar] [CrossRef]
- Mahboubi, M.; Haghi, G. Antimicrobial activity and chemical composition of Mentha pulegium L. essential oil. J. Ethnopharmacol. 2008, 119, 325. [Google Scholar] [CrossRef]
- Yano, Y.; Satomi, M.; Oikawa, H. Antimicrobial effect of spices and herbs on Vibrio parahaemolyticus. Int. J. Food Microbiol. 2006, 11, 6. [Google Scholar] [CrossRef]
- Snoussi, M.; Hajlaoui, H.; Noumi, E.; Usai, D.; Sechi, L.A.; Zanetti, S.; Bakhrouf, A. In-vitro anti-Vibrio spp. activity and chemical composition of some Tunisian aromatic plants. World J. Microbiol. Biotechnol. 2008, 24, 3071. [Google Scholar] [CrossRef]
- Hossain, M.A.; Kabir, M.; Salehuddin, S.; Rahman, S.M.; Das, A.; Singha, S.K.; Alam, M.K.; Rahman, A. Antibacterial properties of essential oils and methanol extracts of sweet basil Ocimum basilicum occurring in Bangladesh. Pharm. Biol. 2010, 48, 504. [Google Scholar] [CrossRef]
- Pirbalouti, A.G.; Hamedi, B.; Poor, F.M.; Rahimi, E.; Nejhad, R.N. Inhibitory activity of Iranian endemic medicinal plants against Vibrio parahaemolyticus and Vibrio harveyi. J. Med. Plants Res. 2011, 5, 7049. [Google Scholar]
- Wei, L.S.; Wee, W. Chemical composition and antimicrobial activity of Cymbopogon nardus citronella essential oil against systemic bacteria of aquatic animals. Iran J. Microbiol. 2013, 5, 147. [Google Scholar] [PubMed]
- Gracia-Valenzuela, M.H.; Vergara-Jiménez, M.J.; Baez-Flores, M.E.; Cabrera-Chavez, F. Antimicrobial effect of dietary oregano essential oil against Vibrio bacteria in shrimps. Arch. Biol. Sci. 2014, 66, 1367. [Google Scholar] [CrossRef]
- Melissa, M.; Ana, G.; Samuel, M.; Elizabeth, P.; Marisol, Ã.; Rocà o, S.; Julieta, O.; Manuel, J.; Carlos, C.J.; Ignacio, P.; et al. Antimicrobial activity of essential oil of Cordia globosa. Afr. J. Pharm. Pharmacol. 2016, 10, 179. [Google Scholar]
- Mahbobi, M.; Akbari, M.; Haghi, G.; Kazempuor, N. Comparison of Antimicrobial Activity of Respitol-B With Mentofin Containing Menthol, Eucalyptus Oil. Iran J. Med. Microbiol. 2007, 1, 39. [Google Scholar]
- Park, J.-W.; Wendt, M.; Heo, G.-J. Antimicrobial activity of essential oil of Eucalyptus globulus against fish pathogenic bacteria. Lab. Anim. Res. 2016, 32, 87. [Google Scholar] [CrossRef]
- Al-Sahlany, S.T.G. Effect of Mentha piperita essential oil against Vibrio spp. isolated from local cheeses. Pak. J. Food Sci. 2016, 26, 65. [Google Scholar]
- Snoussi, M.; Noumi, E.; Dehmani, A.; Flamini, G.; Aouni, M.; Alsieni, M.; Al-sieni, A. Chemical composition and antimicrobial activities of Elettaria cardamomum L. (Manton) essential oil: A high activity against a wide range of food borne and medically important bacteria and fungi. J. Chem. Biol. Phys. Sci. 2015, 6, 248. [Google Scholar]
- Snoussi, M.; Noumi, E.; Trabelsi, N.; Flamini, G.; Papetti, A.; De Feo, V. Mentha spicata essential oil: Chemical composition, antioxidant and antibacterial activities against planktonic and biofilm cultures of Vibrio spp. strains. Molecules 2015, 20, 14402. [Google Scholar] [CrossRef]
- Snoussi, M.; Dehmani, A.; Noumi, E.; Flamini, G.; Papetti, A. Chemical composition and antibiofilm activity of Petroselinum crispum and Ocimum basilicum essential oils against Vibrio spp. strains. Microb. Pathog. 2016, 90, 13. [Google Scholar] [CrossRef]
- Manju, S.; Malaikozhundan, B.; Withyachumnarnkul, B.; Vaseeharan, B. Essential oils of Nigella sativa protects Artemia from the pathogenic effect of Vibrio parahaemolyticus Dahv2. J. Invertebr. Pathol. 2016, 136, 43. [Google Scholar] [CrossRef]
- Partovi, R.; Khanjari, A.; Abbaszadeh, S.; Sharifzadeh, A. Chemical composition and antimicrobial effect of five essential oils on pathogenic and non-pathogenic Vibrio parahaemolyticus. Nut. Food Sci. Res. 2017, 4, 43. [Google Scholar] [CrossRef]
- Hamad, A.; Alifah, A.; Permadi, A.; Hartanti, D. Chemical constituents and antibacterial activities of crude extract and essential oils of Alpinia galanga and Zingiber officinale. Int. Food Res. J. 2016, 23, 837. [Google Scholar]
- See, C.; Jenwitheesuk, E. Antimicrobial Activity of a Blend of Essential Oils Extracted from Oregano and Cinnamon. J. Anim. Sci. Res. 2018, 2, 1–3. [Google Scholar]
- Mendes, J.L.; de Araújo, T.F.; Geraldo de Carvalho, M.; Catunda, A.; Júnior, F.E. Chemical composition and mechanism of vibriocidal action of essential oil from resin of Protium heptaphyllum. Sci. J. 2019, 2019, 9563213. [Google Scholar] [CrossRef] [PubMed][Green Version]
- Zheng, X.; Feyaerts, A.F.; Van Dijck, P.; Bossier, P. Inhibitory Activity of Essential Oils against Vibrio campbellii and Vibrio parahaemolyticus. Microorganisms 2020, 8, 1946. [Google Scholar] [CrossRef] [PubMed]
- Mizan, M.F.R.; Ashrafudoulla, M.; Hossain, M.I.; Cho, H.R.; Ha, S.D. Effect of essential oils on pathogenic and biofilm-forming Vibrio parahaemolyticus strains. Biofouling 2020, 36, 467. [Google Scholar] [CrossRef]
- Hajlaoui, H.; Arraouadi, S.; Noumi, E.; Aouadi, K.; Adnan, M.; Khan, M.A.; Kadri, A.; Snoussi, M. Antimicrobial, Antioxidant, Anti-Acetylcholinesterase, Antidiabetic, and Pharmacokinetic Properties of Carum carvi L. and Coriandrum sativum L. Essential Oils Alone and in Combination. Molecules 2021, 26, 3625. [Google Scholar] [CrossRef]
- Chen, Q.; Gan, Z.; Zhao, J.; Wang, Y.; Zhang, S.; Li, J.; Ni, Y. In vitro comparison of antioxidant capacity of cumin (Cuminum cyminum L.) oils and their main components. LWT-Food Sci. Technol. 2014, 55, 632. [Google Scholar] [CrossRef]
- Moghaddam, M.; Miranb, S.N.K.; Pirbalouti, A.G.; Mehdizadehd, l.; Ghaderi, Y. Variation in essential oil composition and antioxidant activity of cumin (Cuminum cyminum L.) fruits during stages of maturity. Ind. Crops Prod. 2015, 70, 163. [Google Scholar] [CrossRef]
- Akrami, F.; Rodríguez-Lafuente, A.; Bentayeb, K.; Pezo, D.; Ghalebi, S.R.; Nerín, C. Antioxidant and antimicrobial active paper based on Zataria (Zataria multiflora) and two cumin cultivars (Cuminum cyminum). LWT-Food Sci. Technol. 2015, 60, 929. [Google Scholar] [CrossRef]
- Derakhshan, S.; Sattari, M.; Bigdeli, M. Effect of cumin (Cuminum cyminum) seed essential oil on biofilm formation and plasmid Integrity of Klebsiella pneumoniae. Pharmacogn. Mag. 2010, 6, 57. [Google Scholar] [PubMed]
- Walmiki, M.R.; Rai, V.R. Cell Attachment Inhibition and Anti-biofilm Activity of Syzygium aromaticum, Cuminum cyminum and Piper nigrum Essential Oils Against Pathogenic Bacteria. J. Essent. Oil Bear. Plants 2017, 20, 59–68. [Google Scholar] [CrossRef]
- Packiavathy, I.A.S.V.; Agilandeswari, P.; Musthafa, K.S.; Pandian, S.K.; Ravi, A.V. Antibiofilm and quorum sensing inhibitory potential of Cuminum cyminum and its secondary metabolite methyl eugenol against Gram negative bacterial pathogens. Food Res. Int. 2012, 45, 85. [Google Scholar] [CrossRef]
- Jayalekshmi, S.K.; Ramasamy, S. Antibiofilm and antiquorum sensing potential of Cuminum cyminum against Aaeromonas veronii. J. Adv. Sci. Res. 2020, 11, 105. [Google Scholar]
- Chatterjee, S.; Paul, P.; Chakraborty, P.; Das, S.; Sarker, R.K.; Sarkar, S.; Das, A.; Tribedi, P. Cuminaldehyde exhibits potential antibiofilm activity against Pseudomonas aeruginosa involving reactive oxygen species (ROS) accumulation: A way forward towards sustainable biofilm management. 3 Biotech 2021, 11, 485. [Google Scholar] [CrossRef]
- Naveed, R.; Hussain, I.; Tawab, T.; Tariq, M.; Rahman, M.; Hameed, S.; Mahmood, M.S.; Siddique, A.B.; Iqbal, M. Antimicrobial activity of the bioactive components of essential oils from Pakistani spices against Salmonella and other multi-drug resistant bacteria. BMC Complement Altern. Med. 2013, 13, 265. [Google Scholar] [CrossRef]
- Monteiro-Neto, V.; de Souza, C.D.; Gonzaga, L.F.; da Silveira, B.C.; Sousa, N.C.F.; Pontes, J.P.; Santos, D.M.; Martins, W.C.; Pessoa, J.F.V.; Carvalho Júnior, A.R.; et al. Cuminaldehyde potentiates the antimicrobial actions of ciprofloxacin against Staphylococcus aureus and Escherichia coli. PLoS ONE 2020, 15, e0232987. [Google Scholar] [CrossRef]
- Snoussi, M.; Noumi, E.; Punchappady-Devasya, R.; Trabelsi, N.; Kanekar, S.; Nazzaro, F.; Fratianni, F.; Flamini, G.; De Feo, V.; Al-Sieni, A. Antioxidant properties and anti-quorum sensing potential of Carum copticum essential oil and phenolics against Chromobacterium violaceum. J. Food Sci. Technol. 2018, 55, 2824. [Google Scholar] [CrossRef]
- Othman, I.M.M.; Gad-Elkareem, M.A.M.; Anouar, E.H.; Snoussi, M.; Aouadi, K.; Kadri, A. Novel fused pyridine derivatives containing pyrimidine moiety as prospective tyrosyl-tRNA synthetase inhibitors: Design, synthesis, pharmacokinetics and molecular docking studies. J. Mol. Struct. 2020, 1219, 128651. [Google Scholar] [CrossRef]
- Othman, I.M.; Gad-Elkareem, M.A.; Aouadi, K.; Kadri, A.; Snoussi, M. Design, synthesis ADMET and molecular docking of new imidazo [4,5-b] pyridine-5-thione derivatives as potential tyrosyl-tRNA synthetase inhibitors. Bioorganic Chem. 2020, 102, 104105. [Google Scholar] [CrossRef]
- Ghannay, S.; Kadri, A.; Aouadi, K. Synthesis, in vitro antimicrobial assessment, and computational investigation of pharmacokinetic and bioactivity properties of novel trifluoromethylated compounds using in silico ADME and toxicity prediction tools. Monatsh. Chem. 2020, 151, 267–280. [Google Scholar] [CrossRef]
- Kadri, A.; Aouadi, K. In vitro antimicrobial and α-glucosidase inhibitory potential of enantiopure cycloalkylglycine derivatives: Insights into their in silico pharmacokinetic, druglikeness, and medicinal chemistry properties. J. App. Pharm. Sci. 2020, 10, 107–115. [Google Scholar]
- Ghannay, S.; Bakari, S.; Msaddek, M.; Vidal, S.; Kadri, A.; Aouadi, K. Design, synthesis, molecular properties and in vitro antioxidant and antibacterial potential of novel enantiopure isoxazolidine derivatives. Arab. J. Chem. 2020, 13, 2121–2131. [Google Scholar] [CrossRef]
Publisher’s Note: MDPI stays neutral with regard to jurisdictional claims in published maps and institutional affiliations. |
© 2022 by the authors. Licensee MDPI, Basel, Switzerland. This article is an open access article distributed under the terms and conditions of the Creative Commons Attribution (CC BY) license (https://creativecommons.org/licenses/by/4.0/).





