Optimization of the Extraction Procedure for the Phenolic-Rich Glechoma hederacea L. Herb and Evaluation of Its Cytotoxic and Antioxidant Potential
Abstract
:1. Introduction
2. Results
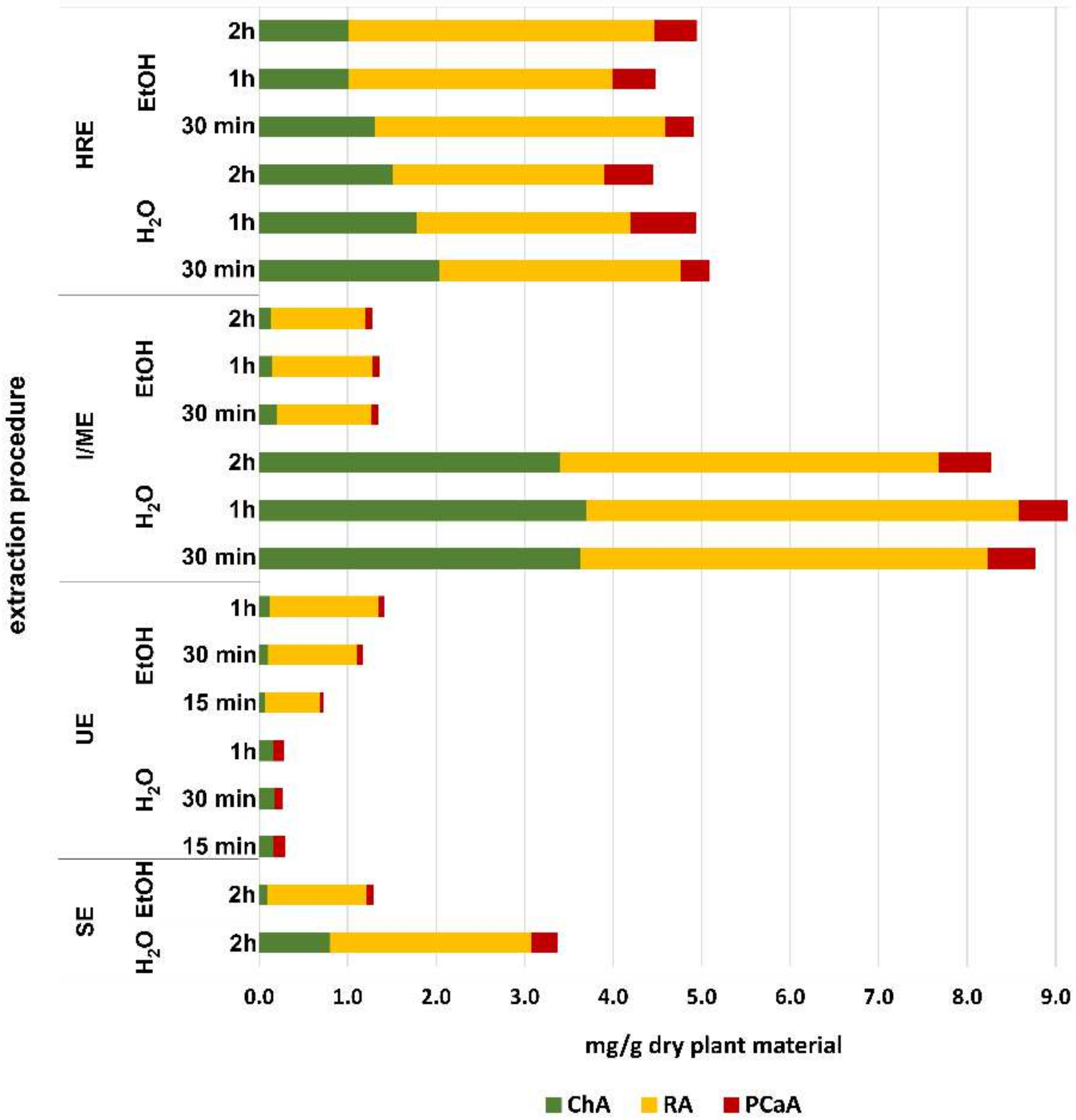
2.1. HPLC Analysis of Water and Ethanol Extracts of Dried G. hederacea L. Herb Prepared by Various Extraction Procedures
2.2. Antioxidant Activity
2.3. Cytotoxicity
3. Discussion
4. Materials and Methods
4.1. Standards and Reagents
4.2. Plant Material
4.3. Extraction Procedures
4.4. Sample Preparation
4.5. HPLC Analysis
4.6. Preparation of Standard Solutions and Calibration Curves
4.7. Cytotoxic Activity
4.8. Determination of Antioxidant Activity
4.9. Statistical Analysis
5. Conclusions
Author Contributions
Funding
Institutional Review Board Statement
Informed Consent Statement
Data Availability Statement
Acknowledgments
Conflicts of Interest
References
- Zhou, Y.; He, Y.J.; Wang, Z.J.; Hu, B.Y.; Xie, T.Z.; Xiao, X.; Zhou, Z.S.; Sang, X.Y.; Luo, X.D. A review of plant characteristics, phytochemistry and bioactivities of the genus Glechoma. J. Ethnopharmacol. 2021, 271, 113830. [Google Scholar] [CrossRef] [PubMed]
- Ouyang, X.L.; Qin, F.; Huang, R.Z.; Liang, D.; Wang, C.G.; Wang, H.S.; Liao, Z.X. NF-κB inhibitory and cytotoxic activities of hexacyclic triterpene acid constituents from Glechoma longituba. Phytomedicine 2019, 63, 153037. [Google Scholar] [CrossRef] [PubMed]
- Kumarasamy, Y.; Cox, P.J.; Jaspars, M.; Nahar, L.; Sarker, S.D. Isolation, structure elucidation and biological activity of hederacine A and B, two unique alkaloids from Glechoma hederaceae. Tetrahedron 2003, 59, 6403–6407. [Google Scholar] [CrossRef]
- Barnes, J.; Anderson, L.A.; Phillipson, J.D. Herbal Medicines: A Guide for Healthcare Professionals, 3rd ed.; Pharmaceutical Press: London, UK, 2007; pp. 342–343. [Google Scholar]
- Wang, Y.Y.; Lin, S.Y.; Chen, W.Y.; Liao, S.L.; Wu, C.C.; Pan, P.H.; Chou, S.T.; Chen, C.J. Glechoma hederacea extracts attenuate cholestatic liver injury in a bile duct-ligated rat model. J. Ethnopharmacol. 2017, 204, 58–66. [Google Scholar] [CrossRef]
- Tobyn, G.; Denham, A.; Whitelegg, M. Glechoma hederacea, ground ivy. In The Western Herbal Tradition: 2000 Years of Medicinal Plant Knowledge; Churchill Livingstone Elsevier: London, UK, 2011; pp. 181–190. [Google Scholar]
- Hutchings, M.J.; Price, E.A. Glechoma hederacea L. (Nepeta glechoma Benth., N. hederacea (L.) Trev.). J. Ecol. 1999, 87, 347–364. [Google Scholar] [CrossRef]
- An, H.J.; Jeong, H.J.; Um, J.Y.; Kim, H.M.; Hong, S.H. Glechoma hederacea inhibits inflammatory mediator release in IFN-γ and LPS-stimulated mouse peritoneal macrophages. J. Ethnopharmacol. 2006, 106, 418–424. [Google Scholar] [CrossRef]
- Qiao, Z.; Koizumi, Y.; Zhang, M.; Natsui, M.; Flores, M.J.; Gao, L.; Yusa, K.; Koyota, S.; Sugiyama, T. Anti-melanogenesis effect of Glechoma hederacea L. extract on B16 murine melanoma cells. Biosci. Biotechnol. Biochem. 2012, 76, 1877–1883. [Google Scholar] [CrossRef]
- Gwiazdowska, D.; Uwineza, P.A.; Frąk, S.; Juś, K.; Marchwińska, K.; Gwiazdowski, R.; Waśkiewicz, A. Antioxidant, antimicrobial and antibiofilm properties of Glechoma hederacea extracts obtained by supercritical fluid extraction, using different extraction conditions. Appl. Sci. 2022, 12, 3572. [Google Scholar] [CrossRef]
- Chou, S.T.; Lai, C.C.; Lai, C.P.; Chao, W.W. Chemical composition, antioxidant, anti-melanogenic and anti-inflammatory activities of Glechoma hederacea (Lamiaceae) essential oil. Ind. Crop. Prod. 2018, 122, 675–685. [Google Scholar] [CrossRef]
- Chou, S.T.; Lin, T.H.; Peng, H.Y.; Chao, W.W. Phytochemical profile of hot water extract of Glechoma hederacea and its antioxidant, and anti-inflammatory activities. Life Sci. 2019, 231, 116519. [Google Scholar] [CrossRef]
- Chou, S.T.; Chan, Y.R.; Chung, Y.C. Studies on the antimutagenicity and antioxidant activity of the hot water extract of Glechoma hederacea. J. Food Drug Anal. 2012, 20, 637–645. [Google Scholar] [CrossRef]
- Chao, W.W.; Liou, Y.J.; Ma, H.T.; Chen, Y.H.; Chou, S.T. Phytochemical composition and bioactive effects of ethyl acetate fraction extract (EAFE) of Glechoma hederacea L. J. Food Biochem. 2021, 45, e13815. [Google Scholar] [CrossRef]
- Chao, W.W.; Chan, W.C.; Ma, H.T.; Chou, S.T. Phenolic acids and flavonoids-rich Glechoma hederacea L. (Lamiaceae) water extract against H2O2-induced apoptosis in PC12 cells. J. Food Biochem. 2022, 46, e14032. [Google Scholar] [CrossRef]
- Belščak-Cvitanović, A.; Durgo, K.; Bušić, A.; Franekić, J.; Komes, D. Phytochemical attributes of four conventionally extracted medicinal plants and cytotoxic evaluation of their extracts on human laryngeal carcinoma (HEp2) cells. J. Med. Food 2014, 17, 206–217. [Google Scholar] [CrossRef]
- Šeremet, D.; Jokić, S.; Aladić, K.; Butorac, A.; Lovrić, M.; Tušek, A.J.; Obranović, M.; Mandura Jarić, A.; Vojvodić Cebin, A.; Carović-Stanko, K.; et al. Comprehensive study of traditional plant ground ivy (Glechoma hederacea L.) grown in croatia in terms of nutritional and bioactive composition. Foods 2022, 11, 658. [Google Scholar] [CrossRef]
- Šeremet, D.; Jokić, S.; Aladić, K.; Cebin, A.V.; Božac, N.; Mandura, A.; Komes, D. Optimization of heat-, microwave-assisted and subcritical water extraction of phenolic compounds from ground ivy (Glechoma hederacea L.) using response surface methodology. J. Appl. Res. Med. Aromat. Plants. 2021, 25, 100346. [Google Scholar] [CrossRef]
- Cho, K.; Choi, Y.J.; Ahn, Y.H. Identification of polyphenol glucuronide conjugates in Glechoma hederacea var. longituba hot water extracts by high-performance liquid chromatography-tandem mass spectrometry (HPLC-MS/MS). Molecules 2020, 25, 4713. [Google Scholar] [CrossRef]
- Kumarasamy, Y.; Nahar, L.; Kong-Thu-lin, P.; Jaspars, M.; Sarker, S.D. Hederacine A and hederacine B from Glechoma hederaceae inhibit the growth of colorectal cancer cells in vitro. Nat. Prod. Commun. 2006, 1, 33–35. [Google Scholar] [CrossRef]
- Radulović, N.; Đorđević, N.; Marković, M.; Palić, R. Volatile constituents of Glechoma hirsute Waldst. & Kit. and G. hederacea L. (Lamiaceae). Bull. Chem. Soc. Ethiop. 2010, 24, 67–76. [Google Scholar] [CrossRef]
- Grabowska, K.; Żmudzki, P.; Wróbel-Biedrawa, D.; Podolak, I. Simultaneous quantification of ursolic and oleanolic acids in Glechoma hederacea and Glechoma hirsuta by UPLC/MS/MS. Planta Med. 2021, 87, 305–313. [Google Scholar] [CrossRef]
- Kim, D.H.; Ham, S.L.; Khan, Z.; Kim, S.Y.; Choi, S.U.; Kim, C.S.; Lee, K.R. Terpenoids from Glechoma hederacea var. longituba and their biological activities. Beilstein J. Org. Chem. 2022, 18, 555–566. [Google Scholar] [CrossRef] [PubMed]
- Sile, I.; Krizhanovska, V.; Nakurte, I.; Mezaka, I.; Kalane, L.; Filipovs, J.; Vecvanags, A.; Pugovics, O.; Grinberga, S.; Dambrova, M.; et al. Wild-grown and cultivated Glechoma hederacea L.: Chemical composition and potential for cultivation in organic farming conditions. Plants 2022, 11, 819. [Google Scholar] [CrossRef] [PubMed]
- British Herbal Medicine Association. British Herbal Pharmacopoeia, 1st ed.; British Herbal Medicine Association: Bournemouth, UK, 1990; Volume 1, pp. 54–55. [Google Scholar]
- Komprda, T.; Štohandlová, M.; Foltýn, J.; Pozdíšek, J.; Míka, V. Content of p-coumaric and ferulic acid in forbs with potential grazing utilization. Arch. Tierernaehr. 1999, 52, 95–105. [Google Scholar] [CrossRef] [PubMed]
- Šeremet, D.; Vojvodić Cebin, A.; Mandura, A.; Žepić, I.; Marković, K.; Komes, D. An insight into the chemical composition of ground ivy (Glechoma hederacea L.) by means of macrocomponent analysis and fractionation of phenolic compounds. Hrvat. Čas. Prehrambenu. Tehnol. Biotehnol. Nutr. 2020, 15, 133–138. [Google Scholar] [CrossRef]
- Matkowski, A. Antioxidant activity of extracts and different solvent fractions of Glechoma hederacea L. and Orthosiphon stamineus (Benth.) Kudo. Adv. Clin. Exp. Med. 2008, 17, 615–624. [Google Scholar]
- Varga, L.; Engel, R.; Szabó, K.; Abrankó, L.; Gosztola, B.; Zámboriné Németh, É.; Sárosi, S. Seasonal variation in phenolic content and antioxidant activity of Glechoma hederacea L. harvested from six Hungarian populations. Acta Aliment. 2016, 45, 268–276. [Google Scholar] [CrossRef]
- Shahidi, F.; Yeo, J. Bioactivities of phenolics by focusing on suppression of chronic diseases: A review. Int. J. Mol. Sci. 2018, 19, 1573. [Google Scholar] [CrossRef]
- Toma, L.; Sanda, G.M.; Niculescu, L.S.; Deleanu, M.; Sima, A.V.; Stancu, C.S. Phenolic compounds exerting lipid-regulatory, anti-inflammatory and epigenetic effects as complementary treatments in cardiovascular diseases. Biomolecules 2020, 10, 641. [Google Scholar] [CrossRef]
- Pei, R.; Liu, X.; Bolling, B. Flavonoids and gut health. Curr. Opin. Biotechnol. 2020, 61, 153–159. [Google Scholar] [CrossRef]
- Rodríguez-García, C.; Sánchez-Quesada, C.; Gaforio, J.J. Dietary flavonoids as cancer chemopreventive agents: An updated review of human studies. Antioxidants 2019, 8, 137. [Google Scholar] [CrossRef]
- Wróbel-Biedrawa, D.; Grabowska, K.; Galanty, A.; Sobolewska, D.; Podolak, I. A flavonoid on the brain: Quercetin as a potential therapeutic agent in central nervous system disorders. Life 2022, 12, 591. [Google Scholar] [CrossRef] [PubMed]
- Chen, Q.; Wang, D.; Tan, C.; Hu, Y.; Sundararajan, B.; Zhou, Z. Profiling of flavonoid and antioxidant activity of fruit tissues from 27 Chinese local citrus cultivars. Plants 2020, 9, 196. [Google Scholar] [CrossRef] [PubMed]
- Choy, K.W.; Murugan, D.; Leong, X.F.; Abas, R.; Alias, A.; Mustafa, M.R. Flavonoids as natural anti-inflammatory agents targeting nuclear factor-kappa B (NFκB) signaling in cardiovascular diseases: A mini review. Front. Pharmacol. 2019, 10, 1295. [Google Scholar] [CrossRef] [PubMed]
- Khan, A.; Ikram, M.; Hahm, J.R.; Kim, M.O. Antioxidant and anti-inflammatory effects of citrus flavonoid hesperetin: Special focus on neurological disorders. Antioxidants 2020, 9, 609. [Google Scholar] [CrossRef]
- Oalđe, M.; Kolarević, S.; Živković, J.; Aradski, A.A.; Marić, J.J.; Kolarević, M.K.; Đorđević, J.; Marin, P.D.; Šavikin, K.; Vuković-Gačić, B.; et al. A comprehensive assessment of the chemical composition, antioxidant, genoprotective and antigenotoxic activities of Lamiaceae species using different experimental models in vitro. Food Funct. 2021, 12, 3233–3245. [Google Scholar] [CrossRef]
- Hahm, Y.H.; Cho, K.; Ahn, Y.H. Compositional characteristics of glucuronide conjugates in regional Glechoma hederacea var. longituba herbal extracts using a set of polyphenolic marker compounds. Plants 2021, 10, 2353. [Google Scholar] [CrossRef]
- Gullón, B.; Lú-Chau, T.A.; Moreira, M.T.; Lema, J.M.; Eibes, G. Rutin: A review on extraction, identification and purification methods, biological activities and approaches to enhance its bioavailability. Trends Food Sci. Technol. 2017, 67, 220–235. [Google Scholar] [CrossRef]
- Valentová, K.; Vrba, J.; Bancířová, M.; Ulrichová, J.; Křen, V. Isoquercitrin: Pharmacology, toxicology, and metabolism. Food Chem. Toxicol. 2014, 68, 267–282. [Google Scholar] [CrossRef]
- Zi, J.; Peng, B.; Yan, W. Solubilities of rutin in eight solvents at T= 283.15, 298.15, 313.15, 323.15, and 333.15 K. Fluid Phase Equilibria 2007, 261, 111–114. [Google Scholar] [CrossRef]
- Jacotet-Navarro, M.; Rombaut, N.; Fabiano-Tixier, A.S.; Danguien, M.; Bily, A.; Chemat, F. Ultrasound versus microwave as green processes for extraction of rosmarinic, carnosic and ursolic acids from rosemary. Ultrason. Sonochemistry 2015, 27, 102–109. [Google Scholar] [CrossRef]
- Nicolai, M.; Pereira, P.; Vitor, R.F.; Reis, C.P.; Roberto, A.; Rijo, P. Antioxidant activity and rosmarinic acid content of ultrasound-assisted ethanolic extracts of medicinal plants. Measurement 2016, 89, 328–332. [Google Scholar] [CrossRef]
- Dent, M.; Dragović-Uzelac, V.; Elez Garofulić, I.; Bosiljkov, T.; Ježek, D.; Brnčić, M. Comparison of conventional and ultrasound-assisted extraction techniques on mass fraction of phenolic compounds from sage (Salvia officinalis L.). Chem. Biochem. Eng. Q. 2015, 29, 475–484. [Google Scholar] [CrossRef]
- Tungmunnithum, D.; Garros, L.; Drouet, S.; Renouard, S.; Lainé, E.; Hano, C. Green ultrasound assisted extraction of trans rosmarinic acid from Plectranthus scutellarioides (L.) R. Br. leaves. Plants 2019, 8, 50. [Google Scholar] [CrossRef]
- Ciric, A.; Krajnc, B.; Heath, D.; Ogrinc, N. Response surface methodology and artificial neural network approach for the optimization of ultrasound-assisted extraction of polyphenols from garlic. Food Chem. Toxicol. 2020, 135, 110976. [Google Scholar] [CrossRef]
- Dawidowicz, A.L.; Typek, R. Thermal stability of 5-o-caffeoylquinic acid in aqueous solutions at different heating conditions. J. Agric. Food Chem. 2010, 58, 12578–12584. [Google Scholar] [CrossRef]
- Dawidowicz, A.L.; Typek, R. Thermal transformation of trans-5-O-caffeoylquinic acid (trans-5-CQA) in alcoholic solutions. Food Chem. 2015, 167, 52–60. [Google Scholar] [CrossRef]
- Wianowska, D.; Gil, M. Recent advances in extraction and analysis procedures of natural chlorogenic acids. Phytochem. Rev. 2019, 18, 273–302. [Google Scholar] [CrossRef]
- Abotaleb, M.; Liskova, A.; Kubatka, P.; Büsselberg, D. Therapeutic potential of plant phenolic acids in the treatment of cancer. Biomolecules 2020, 10, 221. [Google Scholar] [CrossRef] [PubMed]
- León-González, A.J.; Auger, C.; Schini-Kerth, V.B. Pro-oxidant activity of polyphenols and its implication on cancer chemoprevention and chemotherapy. Biochem. Pharmacol. 2015, 98, 371–380. [Google Scholar] [CrossRef] [PubMed]
- Lopez-Lazaro, M.; Galvez, M.; Martin-Cordero, C.; Ayuso, M.J. Cytotoxicity of flavonoids on cancer cell lines. Structure-activity relationship. Stud. Nat. Prod. Chem. 2002, 27, 891–932. [Google Scholar] [CrossRef]
- Sak, K. Cytotoxicity of dietary flavonoids on different human cancer types. Pharmacogn. Rev. 2014, 8, 122–146. [Google Scholar] [CrossRef] [Green Version]
- Galanty, A.; Niepsuj, M.; Grudzińska, M.; Zagrodzki, P.; Podolak, I.; Paśko, P. In the search for novel, isoflavone-rich functional foods—comparative studies of four clover species sprouts and their chemopreventive potential for breast and prostate cancer. Pharmaceuticals 2022, 15, 806. [Google Scholar] [CrossRef]
- Grabowska, K.; Pecio, Ł.; Galanty, A.; Żmudzki, P.; Oleszek, W.; Podolak, I. Serjanic acid glycosides from Chenopodium hybridum L. with good cytotoxicity and selectivity profile against several panels of human cancer cell lines. Molecules 2021, 26, 4915. [Google Scholar] [CrossRef]
- Grudzińska, M.; Paśko, P.; Wróbel-Biedrawa, D.; Podolak, I.; Galanty, A. Antimelanoma potential of Cladonia mitis acetone extracts–comparative in vitro studies in relation to usnic acid content. Chem. Biodivers. 2022, 19, e202200408. [Google Scholar] [CrossRef]
- Paśko, P.; Galanty, A.; Zagrodzki, P.; Ku, Y.G.; Luksirikul, P.; Weisz, M.; Gorinstein, S. Bioactivity and cytotoxicity of different species of pitaya fruits—A comparative study with advanced chemometric analysis. Food Biosci. 2021, 40, 100888. [Google Scholar] [CrossRef]



| Extraction Procedure | Mean Content of Compound ± SD [mg/g Dry Plant Material] in Ethanol Extracts from Dried Herb of G. hederacea L. | |||||
|---|---|---|---|---|---|---|
| Method | Time | Chlorogenic Acid | Rosmarinic Acid | Protocatechuic Acid | Rutin | Isoquercetin |
| HRE | 30 min | 1.32 ± 0.14 a | 3.28 ± 0.20 a | 0.30 ± 0.03 a | 0.84 ± 0.07 a | 0.82 ± 0.06 a |
| 1 h | 1.02 ± 0.13 b | 2.98 ± 0.44 a | 0.47 ± 0.05 b | 0.94 ± 0.18 a | 0.96 ± 0.09 b | |
| 2 h | 1.02 ± 0.06 b | 3.45 ± 0.67 a | 0.47 ± 0.02 b | 0.99 ± 0.16 a | 0.91 ± 0.12 b | |
| I/ME | 30 min | 0.21 ± 0.01 c | 1.07 ± 0.05 b,c | 0.06 ± 0.002 c | 0.28 ± 0.03 b,c | 0.34 ± 0.02 c |
| 1 h | 0.15 ± 0.02 c,d | 1.14 ± 0.03 b,c | 0.06 ± 0.003 c | 0.29 ± 0.02 b,c | 0.34 ± 0.03 c,d | |
| 2 h | 0.14 ± 0.01 c,d | 1.07 ± 0.06 b,c | 0.06 ± 0.002 c | 0.29 ± 0.02 b,c | 0.34 ± 0.01 c,d | |
| UE | 15 min | 0.07 ± 0.01 d | 0.62 ± 0.03 c | 0.02 ± 0.004 d | 0.18 ± 0.01 c | 0.24 ± 0.02 d |
| 30 min | 0.11 ± 0.01 c,d | 1.01 ± 0.12 b,c | 0.05 ± 0.002 c,d | 0.25 ± 0.02 b,c | 0.37 ± 0.04 c | |
| 1 h | 0.12 ± 0.01 c,d | 1.22 ± 0.16 b | 0.06 ± 0.01 c | 0.30 ± 0.05 b | 0.38 ± 0.04 c | |
| SE | 2 h | 0.10 ± 0.01 c,d | 1.12 ± 0.06 b,c | 0.06 ± 0.002 c | 0.33 ± 0.04 b | 0.34 ± 0.02 c,d |
| Extraction Procedure | Mean Content of Compound ± SD [mg/g Dry Plant Material] in Water Extracts from Dried Herb of G. hederacea L. | |||||
|---|---|---|---|---|---|---|
| Method | Time | Chlorogenic Acid | Rosmarinic Acid | Protocatechuic Acid | Rutin | Isoquercetin |
| HRE | 30 min | 2.04 ± 0.12 a | 2.73 ± 0.17 a | 0.31 ± 0.02 a | 0.43 ± 0.08 a | 0.29 ± 0.03 a |
| 1 h | 1.79 ± 0.09 b | 2.41 ± 0.26 a | 0.73 ± 0.09 b | 0.34 ± 0.08 a,c | 0.51 ± 0.03 b | |
| 2 h | 1.52 ± 0.10 c | 2.39 ± 0.23 a | 0.54 ± 0.05 c | 0.42 ± 0.06 a | 0.82 ± 0.07 c | |
| I/ME | 30 min | 3.64 ± 0.10 d | 4.60 ± 0.53 b,c | 0.52 ± 0.02 c | 0.58 ± 0.08 b | 0.41 ± 0.04 d |
| 1 h | 3.70 ± 0.22 d | 4.89 ± 0.31 b | 0.54 ± 0.02 c | 0.59 ± 0.19 b | 0.47 ± 0.03 b,d | |
| 2 h | 3.41 ± 0.13 d | 4.28 ± 0.49 c | 0.57 ± 0.04 c | 0.60 ± 0.13 b | 0.46 ± 0.02 b,d | |
| UE | 15 min | 0.17 ± 0.03 e | tr | 0.11 ± 0.01 d | tr | tr |
| 30 min | 0.19 ± 0.04 e | tr | 0.07 ± 0.02 d | tr | 0.02 ± 0.03 e | |
| 1 h | 0.17 ± 0.01 e | tr | 0.10 ± 0.02 d | tr | 0.04 ± 0.01 e | |
| SE | 2 h | 0.81 ± 0.07 f | 2.27 ± 0.07 a | 0.29 ± 0.02 a | 0.21 ± 0.07 c | 0.18 ± 0.07 f |
| Extraction Procedure | FRAP [µM Fe2+/g Dry Plant Material] | DPPH [µM Trolox/g Dry Plant Material] | |||
|---|---|---|---|---|---|
| Method | Time | Water Extracts | Ethanol Extracts | Water Extracts | Ethanol Extracts |
| HRE | 30 min | 238.71 ± 18.97 a | 155.03 ± 8.52 a | 133.75 ± 15.39 a | 72.95 ± 2.99 a |
| 1 h | 233.49 ± 4.62 a | 162.83 ± 15.01 a | 123.92 ± 4.23 a | 94.61 ± 11.05 a | |
| 2 h | 234.91 ± 14.87 a | 167.87 ± 9.10 a | 129.61 ± 1.94 a | 103.99 ± 11.83 a | |
| I/ME | 30 min | 301.26 ± 3.17 b | 41.17 ± 2.01 b | 156.15 ± 15.08 b | 23.00 ± 2.22 b |
| 1 h | 296.10 ± 2.03 b | 43.78 ± 2.34 b | 167.40 ± 4.72 b | 21.62 ± 0.75 b | |
| 2 h | 295.27 ± 6.20 b | 42.64 ± 1.09 b | 162.76 ± 11.51 b | 21.54 ± 2.44 b | |
| UE | 15 min | 212.37 ± 3.88 c | 22.21 ± 1.79 b | 23.91 ± 1.66 c | 11.52 ± 1.09 b |
| 30 min | 67.41 ± 3.52 d | 35.14 ± 3.06 b | 25.39 ± 0.77 c | 17.49 ± 0.46 b | |
| 1 h | 59.90 ± 3.51 d | 42.00 ± 7.30 b | 23.13 ± 4.26 c# | 21.83 ± 3.19 b# | |
| SE | 2 h | 148.73 ± 2.84 e | 42.43 ± 0.55 b | 67.68 ± 2.34 d | 20.47 ± 1.04 b |
Publisher’s Note: MDPI stays neutral with regard to jurisdictional claims in published maps and institutional affiliations. |
© 2022 by the authors. Licensee MDPI, Basel, Switzerland. This article is an open access article distributed under the terms and conditions of the Creative Commons Attribution (CC BY) license (https://creativecommons.org/licenses/by/4.0/).
Share and Cite
Grabowska, K.; Amanowicz, K.; Paśko, P.; Podolak, I.; Galanty, A. Optimization of the Extraction Procedure for the Phenolic-Rich Glechoma hederacea L. Herb and Evaluation of Its Cytotoxic and Antioxidant Potential. Plants 2022, 11, 2217. https://doi.org/10.3390/plants11172217
Grabowska K, Amanowicz K, Paśko P, Podolak I, Galanty A. Optimization of the Extraction Procedure for the Phenolic-Rich Glechoma hederacea L. Herb and Evaluation of Its Cytotoxic and Antioxidant Potential. Plants. 2022; 11(17):2217. https://doi.org/10.3390/plants11172217
Chicago/Turabian StyleGrabowska, Karolina, Kinga Amanowicz, Paweł Paśko, Irma Podolak, and Agnieszka Galanty. 2022. "Optimization of the Extraction Procedure for the Phenolic-Rich Glechoma hederacea L. Herb and Evaluation of Its Cytotoxic and Antioxidant Potential" Plants 11, no. 17: 2217. https://doi.org/10.3390/plants11172217
APA StyleGrabowska, K., Amanowicz, K., Paśko, P., Podolak, I., & Galanty, A. (2022). Optimization of the Extraction Procedure for the Phenolic-Rich Glechoma hederacea L. Herb and Evaluation of Its Cytotoxic and Antioxidant Potential. Plants, 11(17), 2217. https://doi.org/10.3390/plants11172217

