Magnetic Water Treatment: An Eco-Friendly Irrigation Alternative to Alleviate Salt Stress of Brackish Water in Seed Germination and Early Seedling Growth of Cotton (Gossypium hirsutum L.)
Abstract
:1. Introduction
2. Materials and Methods
2.1. Study Site and Irrigation Water Quality Description
2.2. Magnetizer and Magnetized Water Device
2.3. Experimental Design
2.3.1. Experiment 1—Soaking Process
2.3.2. Experiment 2—Germination Tests
2.3.3. Experiment 3—Pot Experiments
2.4. Statistical Analysis
3. Results
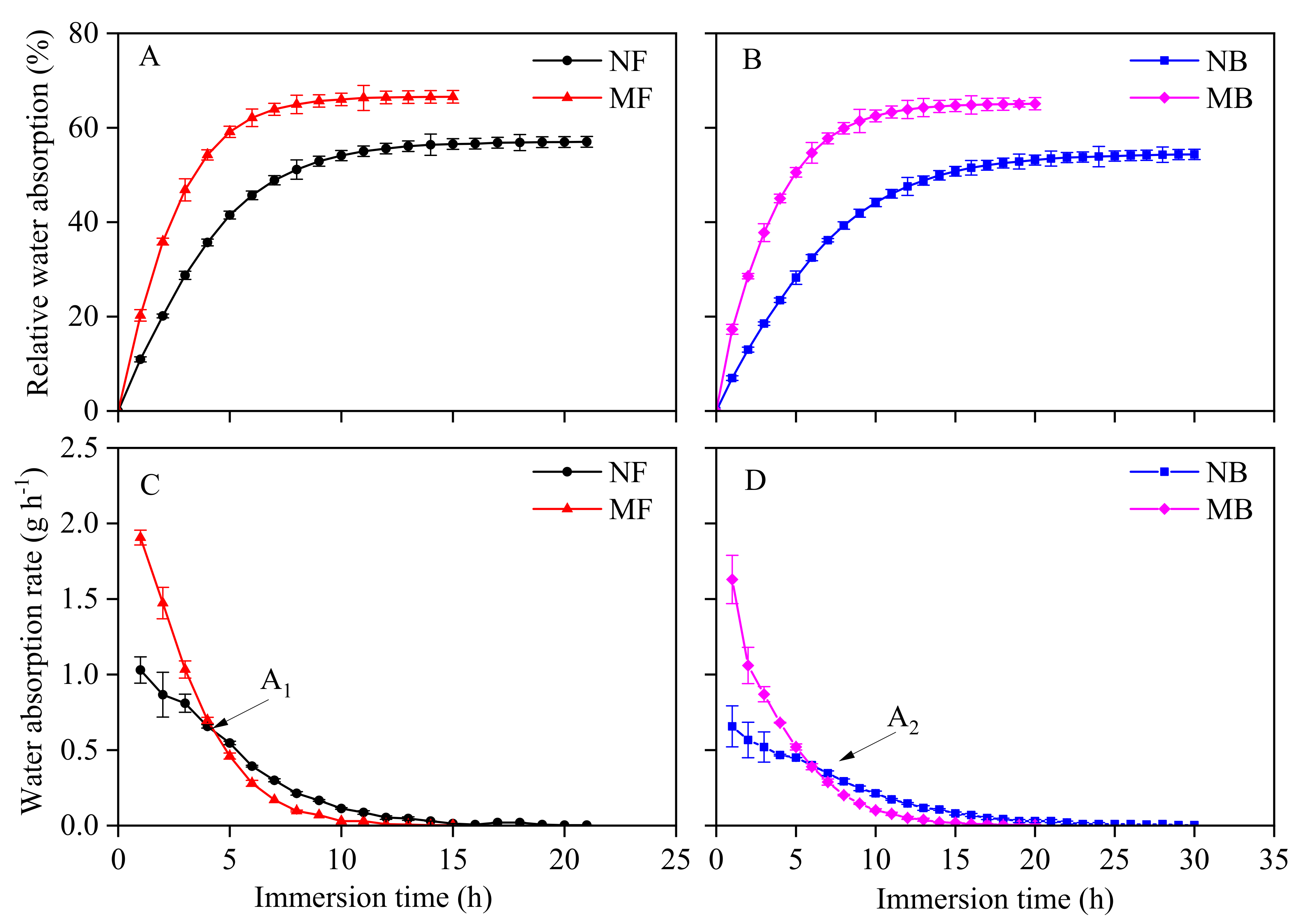
3.1. Water Absorption Characteristics of Cotton Seed
3.2. Germination Characteristics of Cotton Seed
3.3. Emergence Rate and Seedling Activity of Cotton
3.4. Morphological Development of Cotton Seedling
3.5. Morphological Development of Cotton Seedlings
3.6. Biomass and Its Allocation of Cotton Seedlings
3.7. Correlation Analysis of Physiological Growth Indexes
4. Discussion
4.1. Magnetic Water Treatment Improves Water Absorption, Germination, Emergence, and Seedling Vigor of Cotton Seeds
4.2. Magnetic Water Treatment Promotes Development of Cotton Root System and Morphology, and Changes the Distribution Pattern of Biomass
4.3. Magnetic Water Treatment Improves Utilization Efficiency of Light Energy and Water in Cotton
5. Conclusions
Author Contributions
Funding
Data Availability Statement
Acknowledgments
Conflicts of Interest
References
- Tan, S.; Wang, Q.; Zhang, J.; Chen, Y.; Shan, Y.; Xu, D. Performance of AquaCrop model for cotton growth simulation under film-mulched drip irrigation in southern Xinjiang, China. Agric. Water Manag. 2018, 196, 99–113. [Google Scholar] [CrossRef]
- Yang, M.H.; Jahufer, M.Z.Z.; He, J.; Dong, R.; Hofmann, R.; Siddique, K.H.M.; Li, F.M. Effect of traditional soybean breeding on water use strategy in arid and semi-arid areas. Eur. J. Agron. 2020, 120, 126128. [Google Scholar] [CrossRef]
- Pang, H.C.; Li, Y.Y.; Yang, J.S.; Liang, Y.S. Effect of brackish water irrigation and straw mulching on soil salinity and crop yields under monsoonal climatic conditions. Agric. Water Manag. 2010, 97, 1971–1977. [Google Scholar] [CrossRef]
- Sekhon, K.S.; Kaur, A.; Thaman, S.; Sidhu, A.S.; Garg, N.; Choudhary, O.P.; Buttar, G.S.; Chawla, N. Irrigation water quality and mulching effects on tuber yield and soil properties in potato (Solanum tuberosum L.) under semi-arid conditions of Indian Punjab. F. Crop. Res. 2020, 247, 107544. [Google Scholar] [CrossRef]
- Baath, G.S.; Shukla, M.K.; Bosland, P.W.; Steiner, R.L.; Walker, S.J. Irrigation water salinity influences at various growth stages of Capsicum annuum. Agric. Water Manag. 2017, 179, 246–253. [Google Scholar] [CrossRef] [Green Version]
- Ren, Y.; Wang, W.; He, J.; Zhang, L.; Wei, Y.; Yang, M. Nitric oxide alleviates salt stress in seed germination and early seedling growth of pakchoi (Brassica chinensis L.) by enhancing physiological and biochemical parameters. Ecotoxicol. Environ. Saf. 2020, 187, 109785. [Google Scholar] [CrossRef]
- Talebnejad, R.; Sepaskhah, A.R. Effect of different saline groundwater depths and irrigation water salinities on yield and water use of quinoa in lysimeter. Agric. Water Manag. 2015, 148, 177–188. [Google Scholar] [CrossRef]
- Ren, F.; Yang, G.; Li, W.; He, X.; Gao, Y.; Tian, L. Yield-compatible salinity level for growing cotton (Gossypium hirsutum L.) under mulched drip irrigation using saline water. Agric. Water Manag. 2021, 250, 106859. [Google Scholar] [CrossRef]
- Esmaeilnezhad, E.; Choi, H.J.; Schaffie, M.; Gholizadeh, M.; Ranjbar, M. Characteristics and applications of magnetized water as a green technology. J. Clean. Prod. 2017, 161, 908–921. [Google Scholar] [CrossRef]
- Abobatta, W.F. Overview of role of magnetizing treated water in agricultural sector development. Adv. Agric. Technol. Plant Sci. 2019, 2, 180023. [Google Scholar]
- Kronenberg, K. Experimental evidence for effects of magnetic fields on moving water. IEEE Trans. Magn. 1985, 21, 2059–2061. [Google Scholar] [CrossRef]
- Pang, X.; Zhong, L. The Suspension of water using a superconductive magnetic-field and Its features. IEEE Trans. Appl. Supercond 2016, 26, 4403804. [Google Scholar] [CrossRef]
- Pang, X.F. The experimental evidences of the magnetism of water by magnetic-field treatment. IEEE Trans. Appl. Supercond 2014, 24, 4402806. [Google Scholar]
- Moosavi, F.; Gholizadeh, M. Magnetic effects on the solvent properties investigated by molecular dynamics simulation. J. Magn. Magn. Mater. 2014, 354, 239–247. [Google Scholar] [CrossRef]
- Pang, X.F.; Deng, B. Investigation of changes in properties of water under the action of a magnetic field. Sci. China Ser. G Phys. Mech. Astron. 2008, 51, 1621–1632. [Google Scholar] [CrossRef]
- El-Zawily, A.E.S.; Meleha, M.; El-Sawy, M.; El-Attar, E.H.; Bayoumi, Y.; Alshaal, T. Application of magnetic field improves growth, yield and fruit quality of tomato irrigated alternatively by fresh and agricultural drainage water. Ecotoxicol. Environ. Saf. 2019, 181, 248–254. [Google Scholar] [CrossRef]
- Maheshwari, B.L.; Grewal, H.S. Magnetic treatment of irrigation water: Its effects on vegetable crop yield and water productivity. Agric. Water Manag. 2009, 96, 1229–1236. [Google Scholar] [CrossRef]
- Khoshravesh, M.; Mostafazadeh-Fard, B.; Mousavi, S.F.; Kiani, A.R.; Mostafazadeh-Fard, B.; Mousavi, S.F.; Kiani, A.R. Effects of magnetized water on the distribution pattern of soil water with respect to time in trickle irrigation. Soil Use Manag. 2011, 27, 515–522. [Google Scholar] [CrossRef]
- Mostafazadeh-Fard, B.; Khoshravesh, M.; Mousavi, S.F.F.; Kiani, A.R.R. Effects of magnetized water and irrigation water salinity on soil moisture distribution in trickle irrigation. J. Irrig. Drain. Eng. 2010, 137, 398–402. [Google Scholar] [CrossRef]
- Selim, D.A.-F.H.; Nassar, R.M.A.; Boghdady, M.S.; Bonfill, M. Physiological and anatomical studies of two wheat cultivars irrigated with magnetic water under drought stress conditions. Plant Physiol. Biochem. 2019, 135, 480–488. [Google Scholar] [CrossRef]
- Mohamed, A.I. Effects of magnetized low quality water on some soil properties and plant growth. Int. J. Res. Chem. Environ. 2013, 3, 140–147. [Google Scholar]
- Surendran, U.; Sandeep, O.; Joseph, E. The impacts of magnetic treatment of irrigation water on plant, water and soil characteristics. Agric. Water Manag. 2016, 178, 21–29. [Google Scholar]
- Hozayn, M.M.; Salim, M.A.; Abd El-Monem, A.A.; El-Mahdy, A.A. Effect of magnetic brackish water treatments on morphology, anatomy and yield productivity of wheat (Triticum aestivum). Alex. Sci. Exch. J. 2019, 40, 604–617. [Google Scholar] [CrossRef]
- Aghamir, F.; Bahrami, H.; Malakouti, M.J.; Eshghi, S.; Sharifi, F. Seed germination and seedling growth of bean (Phaseolus vulgaris) as influenced by magnetized saline water. Eurasian J. Soil Sci. 2016, 5, 39–46. [Google Scholar] [CrossRef] [Green Version]
- Morejon, L.P.; Castro Palacio, J.C.; Velazquez Abad, L.; Govea, A.P.; Morejón, L.P.; Castro Palacio, J.C.; Velázquez Abad, L.; Govea, A.P. Stimulation of Pinus tropicalis M. seeds by magnetically treated water. Int. Agrophysics 2007, 21, 173–177. [Google Scholar]
- Aghamir, F.; Bahrami, H.A.; Malakouti, M.J.; Eshghi, S. Magnetized water effects on seed germination and seedling growth of corn (Zea mays) under saline conditions. Am. J. Life Sci. Res. 2015, 3, 184–195. [Google Scholar]
- El Sayed, H.E.S.A. Impact of magnetic water irrigation for improve the growth, chemical composition and yield production of broad bean (Vicia faba L.) plant. Am. J. Exp. Agric. 2014, 4, 476–496. [Google Scholar]
- Alfaidi, M.A.; Al-Toukhy, A.A.; Al-Zahrani, H.S.; Howladar, M.M. Effect of irrigation by magnetized sea water on Guinea grass (Panicum maximum) leaf content of chlorophyll a, b, carotenoids, pigments, protein and proline. Adv. Environ. Biol. 2017, 11, 73–84. [Google Scholar]
- Liu, X.; Zhu, H.; Meng, S.; Bi, S.; Zhang, Y.; Wang, H.; Song, C.; Ma, F. The effects of magnetic treatment of irrigation water on seedling growth, photosynthetic capacity and nutrient contents of Populus × euramericana ‘Neva’ under NaCl stress. Acta Physiol. Plant 2019, 41, 11. [Google Scholar] [CrossRef]
- Feike, T.; Khor, L.Y.; Mamitimin, Y.; Ha, N.; Li, L.; Abdusalih, N.; Xiao, H.; Doluschitz, R. Determinants of cotton farmers’ irrigation water management in arid Northwestern China. Agric. Water Manag 2017, 187, 1–10. [Google Scholar] [CrossRef]
- Li, F.; Fan, G.; Lu, C.; Xiao, G.; Zou, C.; Kohel, R.J.; Ma, Z.; Shang, H.; Ma, X.; Wu, J. Genome sequence of cultivated upland cotton (Gossypium hirsutum TM-1) provides insights into genome evolution. Nat. Biotechnol. 2015, 33, 524. [Google Scholar] [CrossRef] [PubMed] [Green Version]
- Roth, G.; Harris, G.; Gillies, M.; Montgomery, J.; Wigginton, D. Water-use efficiency and productivity trends in Australian irrigated cotton: A review. Crop Pasture Sci. 2014, 64, 1033–1048. [Google Scholar] [CrossRef] [Green Version]
- Tan, S.; Wang, Q.; Xu, D.; Zhang, J.; Shan, Y. Evaluating effects of four controlling methods in bare strips on soil temperature, water, and salt accumulation under film-mulched drip irrigation. F. Crop. Res. 2017, 214, 350–358. [Google Scholar] [CrossRef]
- Yang, P.; Hu, H.; Tian, F.; Zhang, Z.; Dai, C. Crop coefficient for cotton under plastic mulch and drip irrigation based on eddy covariance observation in an arid area of northwestern China. Agric. Water Manag 2016, 171, 21–30. [Google Scholar] [CrossRef] [Green Version]
- Tian, F.; Yang, P.; Hu, H.; Liu, H. Energy balance and canopy conductance for a cotton field under film mulched drip irrigation in an arid region of northwestern China. Agric. Water Manag. 2017, 179, 110–121. [Google Scholar] [CrossRef]
- Li, M.; Du, Y.; Zhang, F.; Bai, Y.; Fan, J.; Zhang, J.; Chen, S. Simulation of cotton growth and soil water content under film-mulched drip irrigation using modified CSM-CROPGRO-cotton model. Agric. Water Manag. 2019, 218, 124–138. [Google Scholar] [CrossRef]
- Liang, J.; Shi, W. Poly-γ-glutamic acid improves water-stable aggregates, nitrogen and phosphorus uptake efficiency, water-fertilizer productivity, and economic benefit in barren desertified soils of Northwest China. Agric. Water Manag. 2021, 245, 106551. [Google Scholar] [CrossRef]
- Shafaei, S.M.; Masoumi, A.A.; Roshan, H. Analysis of water absorption of bean and chickpea during soaking using Peleg model. J. Saudi Soc. Agric. Sci. 2016, 15, 135–144. [Google Scholar] [CrossRef] [Green Version]
- Coffigniez, F.; Briffaz, A.; Mestres, C.; Akissoé, L.; Bohuon, P.; El Maâtaoui, M. Impact of soaking process on the microstructure of cowpea seeds in relation to solid losses and water absorption. Food Res. Int. 2019, 119, 268–275. [Google Scholar] [CrossRef]
- Zhang, J.; Wei, K.; Wang, Q.; Sun, Y.; Mu, W. Effects of magnetized brackish water on seed germination, seeding growth, photosynthesis and dry matter distrubution of cotton (Gossypium hirsutum L.). Appl. Ecol. Env. Res. 2021, 19, 683–697. [Google Scholar] [CrossRef]
- Zhang, J.; Wei, K.; Wang, Q.; Sun, Y.; Mu, W. Effects of magnetized fresh water on seed germination and seeding growth of cotton. Water Supply 2021, 21, 2863–2874. [Google Scholar] [CrossRef]
- Mosse, K.P.; Verheyen, T.V.; Cruickshank, A.J.; Patti, A.F.; Cavagnaro, T.R. Soluble organic components of winery wastewater and implications for reuse. Agric. Water Manag. 2013, 120, 5–10. [Google Scholar] [CrossRef]
- Chen, W.; Jin, M.; Ferré, T.P.A.; Liu, Y.; Xian, Y.; Shan, T.; Ping, X. Spatial distribution of soil moisture, soil salinity, and root density beneath a cotton field under mulched drip irrigation with brackish and fresh water. F. Crop. Res. 2018, 215, 207–221. [Google Scholar] [CrossRef]
- Liu, X.; Ma, F.; Zhu, H.; Ma, X.; Guo, J.; Wan, X.; Wang, L.; Wang, H.; Wang, Y. Effects of magnetized water treatment on growth characteristics and ion absorption, transportation, and distribution in Populus× euramericana ‘Neva’under NaCl stress. Can. J. For. Res. 2017, 47, 828–838. [Google Scholar] [CrossRef] [Green Version]
- De Groot, G.J.J.B.; Hundt, A.; Murphy, A.B.; Bange, M.P.; Mai-Prochnow, A. Cold plasma treatment for cotton seed germination improvement. Sci. Rep. 2018, 8, 14372. [Google Scholar] [CrossRef] [PubMed] [Green Version]
- Alves Junior, C.; de Oliveira Vitoriano, J.; da Silva, D.L.S.; de Lima Farias, M.; de Lima Dantas, N.B. Water uptake mechanism and germination of Erythrina velutina seeds treated with atmospheric plasma. Sci. Rep. 2016, 6, 33722. [Google Scholar] [CrossRef]
- Li, X.; Liu, X.; Hua, Y.; Chen, Y.; Kong, X.; Zhang, C. Effects of water absorption of soybean seed on the quality of soymilk and the release of flavor compounds. RSC Adv. 2019, 9, 2906–2918. [Google Scholar] [CrossRef] [Green Version]
- Suleman, P.; Al-Musallam, A.; Menezes, C.A. The effect of solute potential and water stress on black scorch caused by Chalara paradoxa and Chalara radicicola on date palms. Plant Dis. 2001, 85, 80–83. [Google Scholar] [CrossRef] [Green Version]
- Hasaani, A.S.; Hadi, Z.L.; Rasheed, K.A. Experimental study of the interaction of magnetic fields with flowing water. Int. J. Basics Appl. Sci. 2015, 3, 1–8. [Google Scholar]
- Wang, Y.; Zhang, B.; Gong, Z.; Gao, K.; Ou, Y.; Zhang, J. The effect of a static magnetic field on the hydrogen bonding in water using frictional experiments. J. Mol. Struct. 2013, 1052, 102–104. [Google Scholar] [CrossRef]
- Toledo, E.J.L.; Ramalho, T.C.; Magriotis, Z.M. Influence of magnetic field on physical–chemical properties of the liquid water: Insights from experimental and theoretical models. J. Mol. Struct. 2008, 888, 409–415. [Google Scholar] [CrossRef]
- Holysz, L.; Szczes, A.; Chibowski, E. Effects of a static magnetic field on water and electrolyte solutions. J. Colloid Interface Sci. 2007, 316, 996–1002. [Google Scholar] [CrossRef] [PubMed]
- Mensah, J.K.; Akomeah, P.A.; Ikhajiagbe, B.; Ekpekurede, E.O. Effects of salinity on germination, growth and yield of five groundnut genotypes. Afr. J. Biotechnol. 2006, 5, 1973–1979. [Google Scholar]
- Abedinpour, M.; Rohani, E. Effects of magnetized water application on soil and maize growth indices under different amounts of salt in the water. J. Water Reuse Desalin 2017, 7, 319–325. [Google Scholar] [CrossRef] [Green Version]
- Boe, A.A.; Salunkhe, D.K. Effects of magnetic fields on tomato ripening. Nature 1963, 199, 91–92. [Google Scholar] [CrossRef]
- Ahmadvand, G.; Soleymani, F.; Saadatian, B.; Pouya, M. Effects of seed priming on seed germination and seedling emergence of cotton under salinity stress. World Appl. Sci. J. 2012, 20, 1453–1458. [Google Scholar]
- Krauss, K.W.; Chambers, J.L.; Allen, J.A.; Luse, B.P.; DeBosier, A.S. Root and shoot responses of Taxodium distichum seedlings subjected to saline flooding. Environ. Exp. Bot. 1999, 41, 15–23. [Google Scholar] [CrossRef]
- Moussa, H.R. The impact of magnetic water application for improving common bean (Phaseolus vulgaris L.) production. N. Y. Sci. J. 2011, 4, 15–20. [Google Scholar]
- Huang, M.; Zhang, Z.; Zhu, C.; Zhai, Y.; Lu, P. Effect of biochar on sweet corn and soil salinity under conjunctive irrigation with brackish water in coastal saline soil. Sci. Hortic. 2019, 250, 405–413. [Google Scholar] [CrossRef]
- Hefner, M.; Labouriau, R.; Nørremark, M.; Kristensen, H.L. Controlled traffic farming increased crop yield, root growth, and nitrogen supply at two organic vegetable farms. Soil Tillage Res. 2019, 191, 117–130. [Google Scholar] [CrossRef]
- Audus, L.J. Magnetotropism: A new plant-growth response. Nature 1960, 185, 132–134. [Google Scholar] [CrossRef]
- Pasternak, D.; De Malach, Y. Irrigation with brackish water under desert conditions X. Irrigation management of tomatoes (Lycopersicon esculentum Mills) on desert sand dunes. Agric. Water Manag. 1995, 28, 121–132. [Google Scholar] [CrossRef]
- Qiu, N.; Tan, Y.; Shen, X.; Han, R.; Lin, Y.; Ma, Z. Biological effects of magnetized water on seed germination, seedling growth and physiological characteristics of wheat. Plant Physiol. Commun. 2011, 47, 803–810. [Google Scholar]
- Wang, Y.; Wei, H.; Li, Z. Effect of magnetic field on the physical properties of water. Results Phys. 2018, 8, 262–267. [Google Scholar] [CrossRef]
- Ul Haq, Z.; Iqbal, M.; Jamil, Y.; Anwar, H.; Younis, A.; Arif, M.; Fareed, M.Z.; Hussain, F. Magnetically treated water irrigation effect on turnip seed germination, seedling growth and enzymatic activities. Inf. Process. Agric. 2016, 3, 99–106. [Google Scholar]








| Water Quality Type | Salinity (g L−1) | pH | Anions (mmol L−1) | Cations (mmol L−1) | SAR | ||||||
|---|---|---|---|---|---|---|---|---|---|---|---|
| CO32− | HCO3− | Cl− | SO42− | Ca2+ | Mg2+ | Na+ | K+ | (mmol L−1)0.5 | |||
| Fresh water | 0.72 | 7.80 | 0.12 | 4.91 | 2.21 | 1.66 | 1.82 | 1.61 | 2.37 | 0.09 | 1.81 |
| Brackish water | 2.75 | 7.84 | 6.18 | 5.87 | 12.58 | 11.94 | 4.68 | 6.58 | 17.73 | 0.57 | 5.29 |
| Treatments | GP (%) | GR (%) | GI | VI |
|---|---|---|---|---|
| NF | 53.3 ± 1.2 b | 71.3 ± 1.2 b | 17.6 ± 0.7 b | 26.4 ± 0.8 b |
| MF | 67.3 ± 3.1 a | 87.3 ± 1.2 a | 22.4 ± 0.8 a | 47.0 ± 2.5 a |
| NB | 22.0 ± 2.0 d | 34.0 ± 2.0 d | 8.0 ± 0.3 d | 7.0 ± 1.4 d |
| MB | 35.3 ± 1.2 c | 50.7 ± 4.2 c | 12.8 ± 0.5 c | 24.2 ± 1.7 c |
| Treatments | Hs (cm) | TLs (cm) | FWs (g) | DWs (g) | MCs (%) |
|---|---|---|---|---|---|
| NF | 7.5 ± 0.1 b | 4.6 ± 0.2 b | 5.89 ± 0.11 b | 0.87 ± 0.02 b | 85.17 ± 0.04 b |
| MF | 8.1 ± 0.1 a | 5.9 ± 0.2 a | 9.57 ± 0.28 a | 1.07 ± 0.03 a | 88.81 ± 0.06 a |
| NB | 4.2 ± 0.1 d | 2.9 ± 0.2 d | 2.64 ± 0.07 c | 0.58 ± 0.02 d | 78.13 ± 0.09 d |
| MB | 6.5 ± 0.1 c | 4.5 ± 0.4 c | 4.65 ± 0.42 b | 0.78 ± 0.03 c | 83.03 ± 2.09 c |
| Treatments | iWUE (μmol mmol−1) | Ls |
|---|---|---|
| NF | 3.14 ± 0.89 b | 0.53 ± 0.06 b |
| MF | 3.30 ± 0.58 a | 0.28 ± 0.07 c |
| NB | 2.68 ± 0.63 c | 0.65 ± 0.03 a |
| MB | 3.35 ± 0.46 a | 0.45 ± 0.07 b |
| Treatments | DWs (g) | DWl (g) | DWr (g) | DWt (g) | Stem-to-Total Ratio (%) | Leaf-to-Total Ratio (%) | Root-to-Stem Ratio (%) |
|---|---|---|---|---|---|---|---|
| NF | 5.76 ± 0.12 b | 11.49 ± 0.2 b | 1.57 ± 0.12 b | 18.82 ± 0.42 b | 30.61 ± 0.21 ab | 61.06 ± 0.33 ab | 9.10 ± 0.57 a |
| MF | 6.11 ± 0.12 a | 12.83 ± 0.15 a | 1.93 ± 0.09 a | 20.87 ± 0.18 a | 29.28 ± 0.33 b | 61.47 ± 0.18 ab | 10.2 ± 0.62 a |
| NB | 5.01 ± 0.07 c | 9.87 ± 0.19 c | 1.05 ± 0.09 c | 15.94 ± 0.22 c | 31.47 ± 0.85 a | 61.93 ± 0.35 a | 7.07 ± 0.58 b |
| MB | 5.93 ± 0.17 ab | 11.62 ± 0.22 b | 1.68 ± 0.13 b | 19.24 ± 0.25 b | 30.84 ± 0.51 ab | 60.41 ± 0.36 ab | 9.60 ± 0.92 a |
Publisher’s Note: MDPI stays neutral with regard to jurisdictional claims in published maps and institutional affiliations. |
© 2022 by the authors. Licensee MDPI, Basel, Switzerland. This article is an open access article distributed under the terms and conditions of the Creative Commons Attribution (CC BY) license (https://creativecommons.org/licenses/by/4.0/).
Share and Cite
Zhang, J.; Wang, Q.; Wei, K.; Guo, Y.; Mu, W.; Sun, Y. Magnetic Water Treatment: An Eco-Friendly Irrigation Alternative to Alleviate Salt Stress of Brackish Water in Seed Germination and Early Seedling Growth of Cotton (Gossypium hirsutum L.). Plants 2022, 11, 1397. https://doi.org/10.3390/plants11111397
Zhang J, Wang Q, Wei K, Guo Y, Mu W, Sun Y. Magnetic Water Treatment: An Eco-Friendly Irrigation Alternative to Alleviate Salt Stress of Brackish Water in Seed Germination and Early Seedling Growth of Cotton (Gossypium hirsutum L.). Plants. 2022; 11(11):1397. https://doi.org/10.3390/plants11111397
Chicago/Turabian StyleZhang, Jihong, Quanjiu Wang, Kai Wei, Yi Guo, Weiyi Mu, and Yan Sun. 2022. "Magnetic Water Treatment: An Eco-Friendly Irrigation Alternative to Alleviate Salt Stress of Brackish Water in Seed Germination and Early Seedling Growth of Cotton (Gossypium hirsutum L.)" Plants 11, no. 11: 1397. https://doi.org/10.3390/plants11111397
APA StyleZhang, J., Wang, Q., Wei, K., Guo, Y., Mu, W., & Sun, Y. (2022). Magnetic Water Treatment: An Eco-Friendly Irrigation Alternative to Alleviate Salt Stress of Brackish Water in Seed Germination and Early Seedling Growth of Cotton (Gossypium hirsutum L.). Plants, 11(11), 1397. https://doi.org/10.3390/plants11111397

