Potential Markers for Selecting Self-Eliminating Apple Genotypes
Abstract
:1. Introduction
2. Results
2.1. Evaluation of Dynamics of Blossom and Fruitlet Self-Elimination during Vegetation
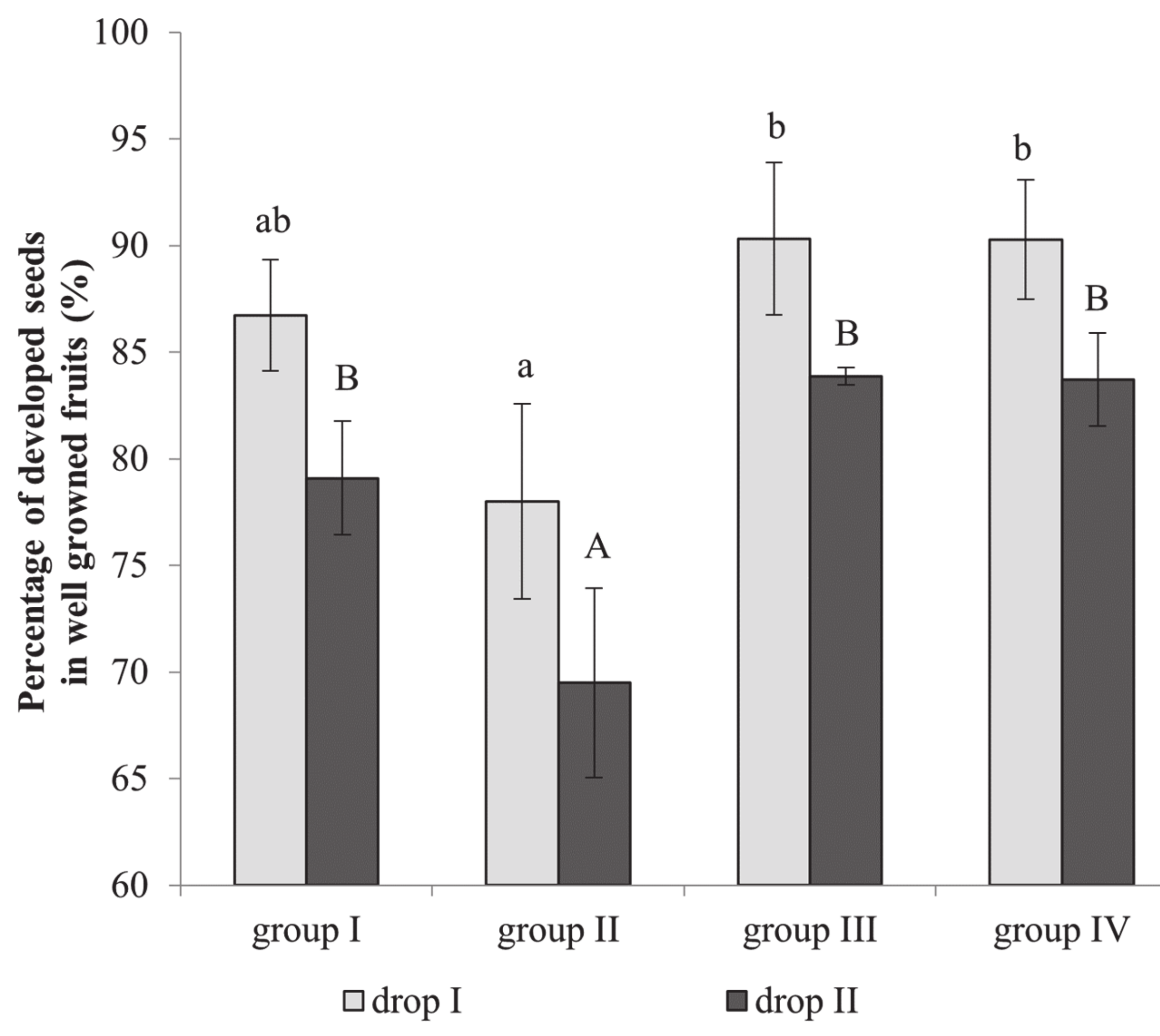
2.2. Seed Number in Fruitlets
2.3. Impact of Leaf Number and Area on Fruit Development
2.4. Amount of Carbohydrates in Leaves
2.5. Plant Hormone Dynamics
3. Discussion
4. Materials and Methods
4.1. Meteorological Conditions
4.2. Evaluation of Blooming Abundance
4.3. Evaluation of Dynamics of Blossom and Fruitlet Self-Elimination
4.4. Assessment of Seed Development
4.5. Assessment of Leaves Number and Area
4.6. Phytohormone Analysis
4.7. Analysis of Soluble Carbohydrates
4.8. Statistical Analysis
5. Conclusions
Supplementary Materials
Author Contributions
Funding
Institutional Review Board Statement
Informed Consent Statement
Data Availability Statement
Conflicts of Interest
References
- Din, S.; Wani, R.A.; Wani, A.W.; Nisar, F.; Farwah, S.; Rizvi, S.; Wani, T.F.; Nisar, S. Fruit set and development: Pre-requisites and enhancement in temperate fruit crops. Int. J. Pharmacogn. Phytochem. Res. 2019, 8, 1203–1216. [Google Scholar]
- Dennis, F.G., Jr. The history of fruit thinning. J. Plant Growth Regul. 2000, 31, 1–16. [Google Scholar] [CrossRef]
- Olsson, V.; Butenko, M.A. Abscission in plants. Curr. Biol. 2018, 28, 329–341. [Google Scholar] [CrossRef] [Green Version]
- Wertheim, S.J. Developments in the chemical thinning of apple and pear. J. Plant Growth Regul. 2000, 31, 85–100. [Google Scholar] [CrossRef]
- Bangerth, F. Abscissio and thinning of young fruitant their regulation by plant hormones and bioregulators. J. Plant Growth Regul. 2000, 31, 43–59. [Google Scholar] [CrossRef]
- Meir, S.; Philosoph-Hadas, S.; Sundaresan, S.; Selvaraj, K.S.; Selvaraj, V.; Burd, S.; Ophir, R.; Kochanek, B.; Reid, M.S.; Jiang, C.Z.; et al. Microarray analysis of the abscission-related transcriptome in the tomato flow abscission zone in response to auxin depletion. Plant Physiol. 2010, 154, 1929–1956. [Google Scholar] [CrossRef] [PubMed]
- Meir, S.; Hunter, D.A.; Chen, J.; Halaly, V.; Reid, M.S. Molecular changes occurring during acquisition of abscission competence following auxin depletion in Mirabilis jalapa. Plant Physiol. 2006, 141, 1604–1616. [Google Scholar] [CrossRef] [PubMed] [Green Version]
- Botton, A.; Eccher, G.; Forcato, C.; Ferrarini, A.; Begheldo, M.; Zermiani, M.; Moscatello, S.; Battistelli, A.; Velasco, R.; Ruperti, B.; et al. Signaling pathways mediating the induction of apple fruitlet abscission. Plant Physiol. 2011, 155, 185–208. [Google Scholar] [CrossRef] [Green Version]
- Eccher, G.; Botton, A.; Dimauro, M.; Boschetti, A.; Ruperti, B.; Ramina, A. Early induction of apple fruitlet abscission is characterized by an increase of both isoprene emission and abscisic acid content. Plant Physiol. 2013, 161, 1952–1969. [Google Scholar]
- Robinson, T.L.; Lakso, A.N. Advances in Predicting Chemical Thinner Response of Apple Using a Carbon Balance Model. N. Y. Fruit Q. 2011, 19, 15–20. [Google Scholar] [CrossRef]
- Greene, D.W.; Lakso, A.N.; Robinson, T.L.; Schwallier, P. Development of a Fruitlet Growth Model to Predict Thinner Response on Apples. HortScience 2013, 48, 584–587. [Google Scholar] [CrossRef]
- Lee, Y.; Van, G.D.; Kim, S.; Kweon, H.; McGhie, T. Cold stress triggers abscission through ABA-dependent signal transduction in early developing apple. Authorea 2020. [Google Scholar] [CrossRef]
- Heo, S.; Chung, Y.S. Validation of MADS-box genes from apple fruit pedicels during early fruit abscission by transcriptome analysis and real-time PCR. Genes Genom. 2019, 41, 1241–1251. [Google Scholar] [CrossRef]
- Kolarič, J. Abscission of young apple fruits (Malus domestica Borkh.): A review. Agricultura 2010, 7, 31–36. [Google Scholar]
- Cortijo, S.; Locke, J.C.W. Does Gene Expression Noise Play a Functional Role in Plants? Trends Plant Sci. 2020, 25, 10. [Google Scholar] [CrossRef]
- Racskó, J.; Leite, G.B.; Petri, J.L.; Zhongfu, S.; Wang, Y.; Szabó, Z.; Soltész, M.; Nyéki, J. Fruit drop: The role of inner agents and environmental factors in the drop of flowers and fruits. Int. J. Hortic. Sci. Technol. 2007, 13, 13–23. [Google Scholar] [CrossRef]
- Ackerman, M.; Samach, A. Daubts regarding carbohydrates shortage as a trigger toward abscission af specific Apple (Malus domestica) freuitlets. New Negat. Plant Sci. 2015, 1–2, 46–52. [Google Scholar] [CrossRef] [Green Version]
- Lauri, P.E.; Terouanne, E.; Lespinasse, J.M. Quantitative analysis of relationships between inflorescence size, bearing-axis size and fruit-set—An apple tree case study. Ann. Bot. 1996, 77, 277–286. [Google Scholar] [CrossRef] [Green Version]
- Rodrigo, J.; Hormaza, J.I.; Herrero, M. Ovary starch rezerve and flower development in apricot (Prunus armeniaca). Physiol. Plant. 2000, 108, 35–41. [Google Scholar] [CrossRef]
- Alburquerque, N.; Burgos, L.; Egea, J. Influence of flower bud density, flower bud drop and fruit set on apricot productivity. Sci. Hortic. 2004, 102, 397–406. [Google Scholar] [CrossRef]
- Starkus, A.; Gelvonauskienė, D.; Sasnauskas, A.; Stanys, V. Parameters for characterizing of flowering abundance and fruitlet elimination in domestica apple-tree. Sodininkystė ir Daržininkystė. Sci. Artic. 2017, 36, 15–29. [Google Scholar]
- Arseneault, M.H.; Cline, J.A. A reviev of apple preharvest drop and practices for horticultural management. Sci. Hortic. 2016, 211, 40–52. [Google Scholar] [CrossRef]
- Kumar, S.; Bink, M.C.A.M.; Volz, R.K.; Bus, V.G.M.; Change, D. Towards genomic selection in apple (Malus × domestica Borkh.) breeding programmes: Prospects, challenges and strategies. Tree Genet. Genomes 2012, 8, 1–14. [Google Scholar] [CrossRef]
- Eccher, G.; Ferrero, S.; Populin, F.; Colombo, L.; Botton, A. Apple (Malus domestica L. Borkh) as an emerging model for fruit development. Plant. Biosyst. 2014, 148, 157–168. [Google Scholar] [CrossRef]
- Tromp, J.; Wertheim, S.J. Fruit growth and development. In Fundamentals of Temperate Zone Tree Fruit Production; Tromp, L.J., Webster, A.D., Wertheim, S.J., Eds.; Backhuys Publishers: Leiden, The Netherlands, 2005; pp. 240–266. [Google Scholar]
- Soltész, M. Integrated Fruit Production; Mezõgazdasági Kiadó: Budapest, Hungary, 2002; 843p. [Google Scholar]
- Li, M.; Li, P.; Ma, F.; Dandekar, A.M.; Cheng, L. Sugar metabolism and accumulation in the fruit of transgenic apple trees with decreased sorbitol synthesis. Hortic. Res. 2018, 5, 60. [Google Scholar] [CrossRef] [PubMed] [Green Version]
- Baïram, E.; leMorvan, C.; Delaire, M.; Buck-Sorlin, G. Fruit and Leaf Response to Different Source-Sink Ratios in Apple, at the Scale of the Fruit-Bearing Branch. Front. Plant Sci. 2019, 10, 1039. [Google Scholar] [CrossRef]
- Bouzayen, M.; Latché, A.; Nath, P.; Pech, J.C. Mechanism of Fruit Ripening Chapter 16. In Plant Developmental Biology—Biotechnological Perspectives; Springer: Berlin/Heidelberg, Germany, 2010; Volume 1, pp. 319–340. [Google Scholar]
- Klee, H.J.; Giovannoni, J.J. Genetics and control of tomato fruit ripening and quality attributes. Ann. Rev. Genet. 2011, 45, 41–59. [Google Scholar] [CrossRef] [PubMed]
- Yuan, B.; Li, Q.; Leng, P. Abscisic Acid Regulates Fleshy Fruit Ripening and Stress Resistance. Annu. Plant Rev. Online 2020, 3. [Google Scholar] [CrossRef]
- Osorio, S.; Fernie, A.R. Biochemistry of fruit ripening. In The Molecular Biology and Biochemistry of Fruit Ripening; Seymour, G.B., Poole, M., Giovannoni, J.J., Tucker, G.A., Eds.; John Wiley & Sons, Inc: Ames, IA, USA, 2013; pp. 1–19. [Google Scholar]
- Ozga, J.A.; Yu, J.; Reinecke, D.M. Pollination, development and auxin specific regulation of gibberellin 3beta-hydroxylase gene expression in pea fruit and seeds. Plant Physiol. 2003, 131, 1137–1146. [Google Scholar] [CrossRef]
- Wang, Y.; Mopper, S.; Hasenstein, K.H. Effects of salinity on endogenous ABA, IAA, JA and SA in Iris hexagona. J. Chem. Ecol. 2001, 27, 327–342. [Google Scholar] [CrossRef]
- Ma, C.; Sun, Z.; Chen, C.; Zhang, L.; Zhu, S. Simultaneous separation and determination of fructose, sorbitol, glucose and sucrose in fruits by HPLC–ELSD. Food Chem. 2014, 145, 784–788. [Google Scholar] [CrossRef] [PubMed]
- Tarakanovas, P.; Raudonius, S. Agronominių Tyrimų Duomenų Statistinė Analizė Taikant Kompiuterines Programas ANOVA, STAT, SPLIT-PLAT iš Paketo SELEKCIJA ir IRRISTAT; LŽŪU Leidybos Centras: Akademija, Lithuania, 2003. [Google Scholar]




| Cultivar | 3-Year Average Number of Blossoms per 1 m of Branch ± SD 1 | Coefficient of Variation (%) | Drop I Number of Fruitlets per 1 m of Branch (%) | Drop II Number of Fruitlets per 1 m of Branch (%) | ||||
|---|---|---|---|---|---|---|---|---|
| 2015 | 2016 | 2017 | 2015 | 2016 | 2017 | |||
| Orlovim | 79.4 ± 18.3 | 23.1 | 38.4 | 21.4 | 8.5 | 19.1 | 10.9 | 6.2 | 
| Ottawa | 49.9 ± 12.0 | 24.0 | 59.7 | 33.5 | 34.9 | 23.7 | 19.0 | 17.1 | 
| Sonata | 63.7 ± 10.1 | 15.9 | 22.8 | 16.4 | 18.8 | 8.1 | 6.4 | 5.6 | 
| Lord Lemburne | 77.3 ± 56.2 | 72.7 | 16.0 | 9.7 | 5.8 | 6.0 | 4.6 | 3.1 | 
| Melrose | 52.8 ± 15.4 | 29.2 | 25.5 | 27.0 | 11.0 | 6.3 | 18.6 | 4.8 | 
| Selena | 81.3 ± 15.5 | 19.0 | 61.8 | 47.7 | 28.7 | 20.6 | 20.0 | 12.9 | 
| Makresa | 61.3 ± 21.8 | 35.6 | 28.8 | 31.4 | 26.5 | 9.9 | 17.7 | 7.9 | 
| Montvilinis | 88.2 ± 4.7 | 5.3 | 46.8 | 61.4 | 19.5 | 20.0 | 23.7 | 12.8 | 
| McIntosh | 52.7 ± 16.3 | 30.9 | 9.8 | 13.2 | 2.7 | 3.4 | 0.6 | 2.7 | 
| Average of group I | 67.4 ± 11.6 | 17.2 | 32.3 | 30.9 | 18.6 | 14.5 | 14.0 | 8.9 | 
| Yellow Arkad | 46.4 ± 15.1 | 32.5 | 36.9 | 20.6 | 16.3 | 23.3 | 13.6 | 11.4 | 
| Discovery | 88.4 ± 36.3 | 41.0 | 10.7 | 3.2 | 3.2 | 8.7 | 1.9 | 2.3 | 
| Albrechtapfel | 96.2 ± 35.3 | 36.7 | 30.8 | 5.1 | 3.3 | 20.5 | 3.8 | 2.2 | 
| Osvald | 57.7 ± 1.3 | 2.3 | 25.9 | 9.6 | 21.3 | 10.2 | 7.8 | 9.9 | 
| Voshod | 67.8 ± 1.3 | 1.9 | 0 | 0.7 | - | 0 | 0.3 | 0 | 
| Average of group II | 71.1 ± 14.1 | 19.9 | 20.1 | 7.7 | 8.9 | 12.8 | 5.4 | 5.1 | 
| Port Oxford beauty | 44.1 ± 16.6 | 37.6 | 29.3 | 54.0 | 43.5 | 15.1 | 13.2 | 14.5 | 
| Aldas | 29.8 ± 13.1 | 43.9 | 40.8 | 32.1 | 36.4 | 16.7 | 17.2 | 30.9 | 
| Sandov | 36.2 ± 4.2 | 11.5 | 54.7 | 66.2 | 52.9 | 17.2 | 24.3 | 20.0 | 
| Average of group III | 35.6 ± 5.3 | 14.8 | 49.6 | 50.8 | 38.8 | 20.2 | 18.5 | 16.3 | 
| Wonchester permine | 44.5 ± 13.9 | 31.3 | 16.2 | 10.4 | 7.3 | 12.3 | 5.8 | 5.9 | 
| Hume | 32.2 ± 5.5 | 17.0 | 15.9 | 5.5 | 11.1 | 9.6 | 1.6 | 11.1 | 
| Average of group IV | 38.3 ± 9.3 | 24.2 | 16.0 | 8.4 | 8.6 | 10.8 | 4.1 | 7.8 | 
| Group I | Group II | Group III | Group IV | All Groups | ||||||
|---|---|---|---|---|---|---|---|---|---|---|
| Drop I | Drop II | Drop I | Drop II | Drop I | Drop II | Drop I | Drop II | Drop I | Drop II | |
| fruitlet survival | well-developed seeds | |||||||||
| 0.141 | 0.300 | 0.063 | 0.536 * | 0.430 | 0.669 * | 0.995 * | 0.801 * | 0.045 | 0.045 | |
| non-developed seeds | ||||||||||
| 0.045 | -0.654* | 0.141 | −0.650 * | 0.430 | −0.879 * | −0.995 * | 0.427 * | 0.173 | 0.095 | |
| Group I | Group II | Group III | Group IV | |
|---|---|---|---|---|
| Leaf number on first year shoot at drop I | ||||
| Tree load (blossoms) | −0.686 * | −0.732 * | −0.224 | −0.913 * | 
| Fruit survival, % | −0.825 * | −0.984 * | −0.224 | −0.938 * | 
| Number of developing seeds in fruit at drop I | 0.371 | 0.666 * | 0.766 * | 0.970 * | 
| Leaf number on fruiting branch at drop I | ||||
| Tree load (blossoms) | 0.624 * | 0.326 | 0.919 * | 0.995 * | 
| Fruit survival, % | 0.618 * | 0.998 * | 0.928 * | 0.792 * | 
| Number of developing seeds in fruit at drop I | 0.796 * | 0.891 * | −0.063 | −0.728 * | 
| Leaf area on first year shoot at drop I | ||||
| Tree load (blossoms) | −0.598 * | −0.138 | −0.599 | −0.774 * | 
| Fruit survival, % | −0.095 | −0.976 * | −0.618 | −0.314 | 
| Number of developing seeds in fruit at drop I | 0.445 | 0.848 * | 0.443 | 0.200 | 
| Leaf area on fruiting branch at drop I | ||||
| Tree load (blossoms) | 0.814 * | 0.451 | 0.445 | 1.000 * | 
| Fruit survival, % | 0.624 * | 0.929 * | 0.423 | 0.807 * | 
| Number of developing seeds in fruit at drop I | 0.363 | 0.300 | 0.999 * | 0.861 * | 
| Number of developing seeds in fruit at drop II | 0.956 * | −0.373 | 0.966 * | −1.000 * | 
| Fructose | Sorbitol | Glucose | Total | |||||
|---|---|---|---|---|---|---|---|---|
| Cultivar | Difference mg/g | Amount (%) | Difference mg/g | Amount (%) | Difference mg/g | Amount (%) | Difference mg/g | Amount (%) | 
| Orlovim | −3.04 * | 71.2 | −12.93 * | 76.9 | −5.78 | 83.3 | −21.76 * | 78.5 | 
| Otava | −2.68 * | 80.2 | −19.63 * | 71.6 | −6.14 | 83.1 | −28.45 * | 76.1 | 
| Sonata | −2.75 * | 70.4 | −7.54 * | 82.4 | −15.56 * | 62.4 | −25.84 * | 62.4 | 
| Lord Lembourne | 0.11 | 101.2 | −4.69 | 89.9 | −1.37 | 94.4 | −5.95 | 94.4 | 
| Melrose | −1.51 | 84.0 | −12.29 * | 80.0 | −3.23 | 92.4 | −17.03 * | 85.0 | 
| Selena | −1.99 | 79.0 | −9.97 * | 81.4 | −0.68 | 98.0 | −12.64 | 87.0 | 
| Mackresa | 0.42 | 103.8 | −0.02 | 99.6 | −9.19 * | 75.8 | −8.97 | 90.5 | 
| McIntosh | 1.59 | 128.1 | 6.78 | 118.5 | 4.67 | 119.7 | 13.04 | 119.8 | 
| Average of group I | −1.23 | 89.7 | −7.54 * | 87.5 | −4.66 | 88.6 | −13.45 * | 86.7 | 
| Yellow Arkad | 1.98 | 135.1 | −0.56 | 98.6 | −12.93 * | 70.8 | −11.52 | 87.2 | 
| Discover | 1.35 | 114.2 | 5.89 | 113.0 | 1.38 | 104.4 | 8.62 | 110.0 | 
| Albrechtapfel | −1.65 | 84.9 | −4.28 | 89.4 | −13.11 * | 67.9 | −19.04 * | 79.4 | 
| Osvald | −1.70 | 85.9 | −6.20 | 88.1 | −6.14 | 82.4 | −14.04 * | 82.4 | 
| Voshad | −1.63 | 80.4 | 10.73 * | 134.1 | −6.94 | 81.9 | 2.16 | 102.8 | 
| Average of group II | −0.33 | 100.1 | 1.12 | 104.6 | −7.55 | 81.5 | −6.76 | 92.7 | 
| Aldas | −3.59 * | 68.2 | −14.76 * | 72.8 | −4.00 | 91.6 | −22.34 * | 80.2 | 
| Sandow | 0.23 | 102.7 | −20.88 * | 65.3 | −17.27 * | 58.3 | −37.92 * | 65.6 | 
| Average of group III | −1.68 | 85.5 | 17.82 * | 69.1 | −10.64 * | 75.0 | −30.13 * | 72.9 | 
| Worchester Permain | −2.50 * | 78.1 | −2.18 | 95.4 | −13.83 * | 69.5 | −18.52 * | 82.2 | 
| Hume | 0.59 | 106.3 | 2.46 | 105.1 | 5.01 | 116.9 | 8.06 | 109.3 | 
| Average of group IV | −0.96 | 92.2 | 0.14 | 100.3 | −4.41 | 93.2 | −5.23 | 95.8 | 
| LSD 0.05 | 2.49 | 7.23 | 7.60 | 13.16 | ||||
| Plant Hormone | Group I 1,2 | Group II | Group III | Group IV | 
|---|---|---|---|---|
| IAA ng/g FW | ||||
| 2015 drop I | 274.7 ± 50.0 ab | 358.1 ± 50.0 b | 224.6 ± 67.1 a | 168.0 ± 39.1 a | 
| 2016 drop I | 715.5 ± 73.6 d | 490.0 ± 70.8 c | 320.3 ± 82.9 b | 121.3 ± 48.5 a | 
| 2017 drop I | 213.3 ± 55.6 c | 200.2 ± 44.1 c | 88.9 ± 9.2 a | 132.9 ± 28.7 b | 
| Average drop I | 401.2 ± 31.3 c | 349.4 ± 20.7 c | 211.3 ± 33.0 b | 140.7 ± 6.4 a | 
| 2015 drop II | 305.3 ± 57.9 B | 351.2 ± 60.0 B | 277.6 ± 65.0 AB | 192.9 ± 13.4A | 
| 2016 drop II | 148.8 ± 15.7 A | 241.1 ± 40.2 B | 274.12 ± 53.4 B | 155.3 ± 19.2 A | 
| 2017 drop II | 262.5 ± 66.4 B | 362.8 ± 50.3 B | 91.5 ± 12.8 A | 319.2 ± 14.4 B | 
| Average drop II | 238.9 ± 29.2 A | 318.4 ± 27.8 B | 214.4 ± 18.3 A | 222.5 ± 6.8 A | 
| Z ng/g FW | ||||
| 2015 drop I | 6.9 ± 0.6 a | 18.6 ± 9.5 b | 47.3 ± 10.5 c | 46.5 ± 9.8 c | 
| 2016 drop I | 42.0 ± 5.1 ab | 39.0 ± 2.3 a | 55.4 ± 10.1 b | 41.3 ± 7.3 ab | 
| 2017 drop I | 56.0 ± 3.2 b | 57.2 ± 5.0 b | 48.5 ± 3.4 a | 45.5 ± 4.4 a | 
| Average drop I | 34.9 ± 1.1 a | 38.3 ± 1.2a | 50.4 ± 8.6 b | 44.4 ± 2.3 ab | 
| 2015 drop II | 6.8 ± 0.62 A | 22.6 ± 11.4 B | 29.5 ± 9.7 B | 46.3 ± 4.5 C | 
| 2016 drop II | 36.6 ± 2.1 A | 73.9 ± 6.2 C | 45.7 ± 3.8 B | 31.2 ± 3.4A | 
| 2017 drop II | 51.1 ± 4.7 AB | 55.0 ± 3.0 B | 48.2 ± 1.4 A | 49.3 ± 2.4 A | 
| Average drop II | 31.5 ± 2.3 A | 59.7 ± 7.1 C | 41.2 ± 5.7B | 42.2 ± 0.8 B | 
| GA3 µg/g FW | ||||
| 2015 drop I | 1.6 ± 0.1 b | 3.0 ± 0.2 c | 1.2 ± 0.1 a | 1.1 ± 0.1 a | 
| 2016 drop I | 2.3 ± 0.1 a | 2.5 ± 0.3 a | 1.9 ± 0.4 a | 2.3 ± 0.5 a | 
| 2017 drop I | 1.0 ± 0.3 b | 1.4 ± 0.3 b | 0.6 ± 0.05 a | 0.45 ± 0.05 a | 
| Average drop I | 1.7 ± 0.2 ab | 2.3 ± 0.2 b | 1.2 ± 0.2 a | 1.3 ± 0.2 a | 
| 2015 drop II | 1.5 ± 0.1 A | 2.8 ± 0.2C | 2.2± 0.2 B | 2.6 ± 0.3C | 
| 2016 drop II | 2.6 ± 0.4 A | 2.5 ± 0.4 A | 3.2 ± 0.1 B | 2.0 ± 0.7 A | 
| 2017 drop II | 0.6 ± 0.1 A | 1.4 ± 0.3 B | 0.6 ± 0.4 A | 1.0 ± 0.1 AB | 
| Average drop II | 1.6 ± 0.2 A | 2.2 ± 0.3 B | 2.0 ± 0.2 AB | 2.0 ± 0.3 AB | 
| ABA ng/g FW | ||||
| 2015 drop I | 14.0 ± 1.6 a | 10.6 ± 1.5 a | 20.5 ± 2.0 b | 31.1 ± 2.5 c | 
| 2016 drop I | 23.4 ± 2.5 a | 29.4 ± 2.1 b | 29.1 ± 3.2 ab | 26.4 ± 5.2 ab | 
| 2017 drop I | 24.6 ± 7.9 a | 27.4 ± 6.6 a | 20.7 ± 8.8 a | 20.4 ± 7.2 a | 
| Average drop I | 20.7 ± 3.6 a | 22.5 ± 2.8 ab | 23.4 ± 2.2 ab | 25.9 ± 0.7 b | 
| 2015 drop II | 17.7 ± 3.4 A | 12.3 ± 3.0 A | 28.0 ± 2.5 B | 30.6 ± 3.0 B | 
| 2016 drop II | 32.1 ± 0.6 A | 37.9 ± 2.4 B | 41.6 ± 2.0 C | 30.4 ± 1.2 A | 
| 2017 drop II | 24.2 ± 5.7 B | 22.7 ± 6.0 AB | 16.8 ± 0.6 A | 17.0 ± 1.1 A | 
| Average drop II | 24.7 ± 2.9 A | 24.3 ± 1.7 A | 28.8 ± 2.3 A | 26.0 ± 1.8 A | 
| IAA/Z ratio | ||||
| 2015 drop I | 39.6 ± 6.9 c | 28.0 ± 3.3 b | 22.2 ± 4.0 b | 3.9 ± 1.5 a | 
| 2016 drop I | 18.2 ± 2.3 d | 12.2 ± 1.9 c | 7.6 ± 2.1 b | 2.8 ± 0.7 a | 
| 2017 drop I | 3.7 ± 0.8 a | 3.7 ± 0.9 a | 2.0 ± 0.5 a | 2.9 ± 0.1 a | 
| Average drop I | 20.5 ± 3.0 c | 14.6 ± 2.3 b | 10.6 ± 4.5 b | 3.2 ± 0.3 a | 
| 2015 drop II | 47.5 ± 7.1 C | 16.6 ± 2.3B | 17.3 ± 5.8 B | 4.2 ± 0.7 A | 
| 2016 drop II | 4.1 ± 0.4 B | 4.4 ± 1.0 A | 6.1 ± 1.7 AB | 5.1 ± 1.2 A | 
| 2017 drop II | 5.4 ± 0.8 B | 6.2 ± 2.0 B | 1.9 ± 0.2 A | 6.5 ± 0.8 B | 
| Average drop II | 19.0 ± 3.6 B | 7.8 ± 2.2 A | 8.42 ± 3.9 A | 5.3 ± 0.4 A | 
| Publisher’s Note: MDPI stays neutral with regard to jurisdictional claims in published maps and institutional affiliations. | 
© 2021 by the authors. Licensee MDPI, Basel, Switzerland. This article is an open access article distributed under the terms and conditions of the Creative Commons Attribution (CC BY) license (https://creativecommons.org/licenses/by/4.0/).
Share and Cite
Starkus, A.; Frercks, B.; Gelvonauskiene, D.; Mazeikiene, I.; Rugienius, R.; Bendokas, V.; Stanys, V. Potential Markers for Selecting Self-Eliminating Apple Genotypes. Plants 2021, 10, 1612. https://doi.org/10.3390/plants10081612
Starkus A, Frercks B, Gelvonauskiene D, Mazeikiene I, Rugienius R, Bendokas V, Stanys V. Potential Markers for Selecting Self-Eliminating Apple Genotypes. Plants. 2021; 10(8):1612. https://doi.org/10.3390/plants10081612
Chicago/Turabian StyleStarkus, Aurelijus, Birute Frercks, Dalia Gelvonauskiene, Ingrida Mazeikiene, Rytis Rugienius, Vidmantas Bendokas, and Vidmantas Stanys. 2021. "Potential Markers for Selecting Self-Eliminating Apple Genotypes" Plants 10, no. 8: 1612. https://doi.org/10.3390/plants10081612
APA StyleStarkus, A., Frercks, B., Gelvonauskiene, D., Mazeikiene, I., Rugienius, R., Bendokas, V., & Stanys, V. (2021). Potential Markers for Selecting Self-Eliminating Apple Genotypes. Plants, 10(8), 1612. https://doi.org/10.3390/plants10081612
 
         
                                                



 
       