Effects of Silver Fir (Abies alba Mill.) Needle Extract Produced via Hydrodynamic Cavitation on Seed Germination
Abstract
:1. Introduction
2. Materials and Methods
2.1. Plant Materials to Test AWE on Germination
2.2. Manufacturing of A. alba Needles Water Extract (AWE) by Hydrodynamic Cavitation
2.3. Characterization of A. alba Needles and Water Extract (AWE)
2.4. Phytotoxicity Tests of AWE
2.5. Effects of AWE on the Germination of Weeds and Horticultural Species
2.6. Statistical Analysis
- model<- try(drm(propCum~timeBef, data = dataset, curveid = group, fct = LL2.3()))
- where:
- group is the replicate (petri dish)
3. Results
3.1. Terpene Composition of A. alba Needles Water Extract and Other Properties
3.2. Phytotoxicity Tests of AWE
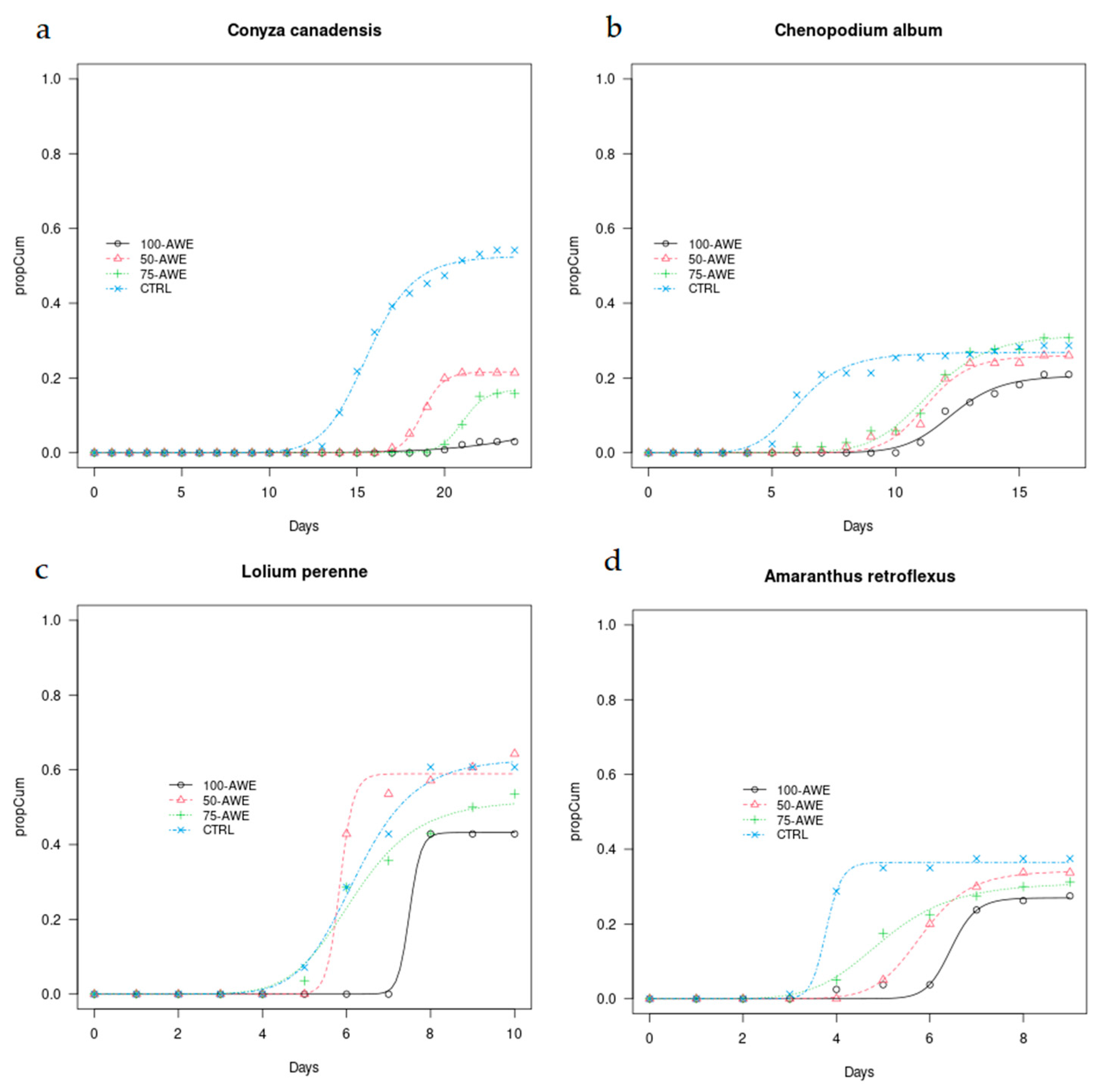
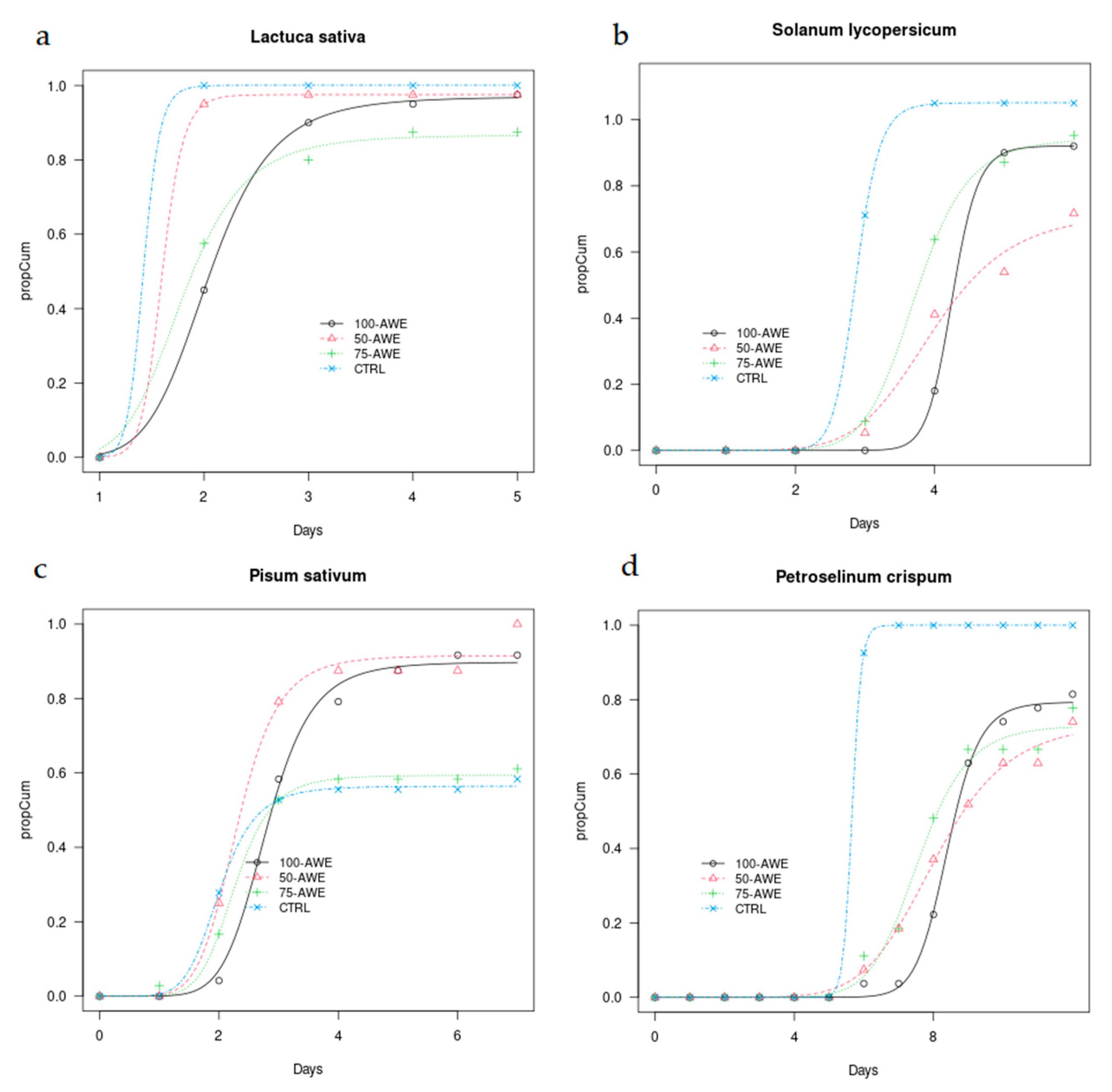
3.3. Effects of AWE on Final Germination of Weeds and Horticultural Species
4. Discussion
5. Conclusions
Supplementary Materials
Author Contributions
Funding
Institutional Review Board Statement
Informed Consent Statement
Data Availability Statement
Conflicts of Interest
References
- Swanton, C.J.; Nkoa, R.; Blackshaw, R.E. Experimental methods for crop–weed competition studies. Weed Sci. 2015, 63, 2–11. [Google Scholar] [CrossRef] [Green Version]
- ISPRA. Sostenibilità Dell’uso dei Pesticidi. In Rapporti ISPRA; ISPRA: Rome, Italy, 2017; 256/17; ISBN 978-88-448-0808-2. [Google Scholar]
- Greymore, M.; Stagnitti, F.; Allinson, G. Impacts of atrazine in aquatic ecosystems. Environ. Int. 2001, 26, 483–495. [Google Scholar] [CrossRef]
- Belluck, D.A.; Benjamin, S.L.; Dawson, T. Groundwater contamination by atrazine and its metabolites: Risk assessment, policy, and legal implications. In Pesticides Transformation Products: Fate and Significance in the Environment; Somasundaram, L., Coats, J.R., Eds.; American Chemical Society: Washington, DC, USA, 1991; pp. 254–273. [Google Scholar]
- Meftaul, I.M.; Venkateswarlu, K.; Dharmarajan, R.; Annamalai, P.; Asaduzzaman, M.; Parven, A.; Megharaj, M. Controversies over human health and ecological impacts of glyphosate: Is it to be banned in modern agriculture? Environ. Pollut. 2020, 114372. [Google Scholar] [CrossRef] [PubMed]
- Lugowska, K. The effects of Roundup on gametes and early development of common carp (Cyprinus carpio L.). Fish Physiol. Biochem. 2018, 44, 1109–1117. [Google Scholar] [CrossRef] [PubMed]
- Bai, S.H.; Ogbourne, S.M. Glyphosate: Environmental contamination, toxicity and potential risks to human health via food contamination. Environ. Sci. Pollut. Res. 2016, 23, 18988–19001. [Google Scholar] [CrossRef]
- Carpenter, J.K.; Monks, J.M.; Nelson, N. The effect of two glyphosate formulations on a small, diurnal lizard (Oligosoma polychroma). Ecotoxicology 2016, 25, 548–554. [Google Scholar] [CrossRef] [PubMed]
- Myers, J.P.; Antoniou, M.N.; Blumberg, B.; Carroll, L.; Colborn, T.; Everett, L.G.; Hansen, M.; Landrigan, P.J.; Lanphear, B.P.; Mesnage, R. Concerns over use of glyphosate-based herbicides and risks associated with exposures: A consensus statement. Environ. Health 2016, 15, 1–13. [Google Scholar] [CrossRef] [Green Version]
- Moore, L.J.; Fuentes, L.; Rodgers, J.H., Jr.; Bowerman, W.W.; Yarrow, G.K.; Chao, W.Y.; Bridges, W.C., Jr. Relative toxicity of the components of the original formulation of Roundup® to five North American anurans. Ecotoxicol. Environ. Saf. 2012, 78, 128–133. [Google Scholar] [CrossRef]
- Howe, C.M.; Berrill, M.; Pauli, B.D.; Helbing, C.C.; Werry, K.; Veldhoen, N. Toxicity of glyphosate-based pesticides to four North American frog species. Environ. Toxicol. Chem. 2004, 23, 1928–1938. [Google Scholar] [CrossRef]
- Mesnage, R.; Bernay, B.; Seralini, G.E. Ethoxylated adjuvants of glyphosate-based herbicides are active principles of human cell toxicity. Toxicology 2013, 313, 122–128. [Google Scholar] [CrossRef]
- Mesnage, R.; Defarge, N.; de Vendomois, J.S.; Seralini, G. Potential toxic effects of glyphosate and its commercial formulations below regulatory limits. Food Chem. Toxicol. 2015, 84, 133–153. [Google Scholar] [CrossRef] [PubMed] [Green Version]
- Van Bruggen, A.; He, M.; Shin, K.; Mai, V.; Jeong, K.; Finckh, M.; Morris, J., Jr. Environmental and health effects of the herbicide glyphosate. Sci. Total Environ. 2018, 616, 255–268. [Google Scholar] [CrossRef]
- Powles, S.B. Evolved glyphosate-resistant weeds around the world: Lessons to be learnt. Pest. Manag. Sci. 2008, 64, 360–365. [Google Scholar] [CrossRef]
- Heap, I.; Duke, S.O. Overview of glyphosate-resistant weeds worldwide. Pest. Manag. Sci. 2018, 74, 1040–1049. [Google Scholar] [CrossRef]
- Ahmed, S.A.; El-Rokiek, K.G.; El-Masry, R.R.; Messiha, N.K. The efficiency of allelochemicals in the seed powder of Eruca sativa in controlling weeds in Pisum sativum. Middle East J. Agric. Res. 2014, 3, 757–762. Available online: http://www.curresweb.com/mejar/mejar/2014/757-762.pdf (accessed on 8 April 2021).
- Zimdahl, R.L. Fundamentals of Weed Science, 5th ed.; Academic Press: Cambridge, MA, USA, 2018; pp. 253–270. [Google Scholar] [CrossRef]
- Srikrishnah, S.; Begam, U.J. Review on Use of Plant Extracts in Weed Control. Curr. Trends Biomed. Eng. Biosci. 2019, 18, 555993. [Google Scholar] [CrossRef]
- Khanh, T.; Huu, T.; La, A.; Dang Xuan, T. Allelopathy of Barnyardgrass (Echinochloa crusgalli) Weed: An Allelopathic Interaction with Rice (Oryza sativa L). Vietnam J. Agric. Sci. 2018, 1, 97–116. [Google Scholar] [CrossRef]
- Kato-Noguchi, H. Barnyard grass-induced rice allelopathy and momilactone B. J. Plant Physiol. 2011, 168, 1016–1020. [Google Scholar] [CrossRef] [PubMed]
- Putnam, A.R. Phytotoxicity of plant residues. In Managing Agricultural Residues; Unger, P.W., Ed.; Lewis Publishers: Boca Raton, FL, USA, 1994; pp. 285–314. [Google Scholar]
- Latif, S.; Chiapusio, G.; Weston, L.A. Chapter Two—Allelopathy and the Role of Allelochemicals in Plant Defence. In Advances in Botanical Research–How Plants Communicate with Their Biotic Environment, 1st ed.; Becard, G., Ed.; Academic Press: Cambridge, MA, USA, 2017; Volume 82, pp. 19–54. [Google Scholar] [CrossRef]
- Li, Z.H.; Wang, Q.; Ruan, X.; Pan, C.D.; Jiang, D.A. Phenolics and plant allelopathy. Molecules 2010, 15, 8933–8952. [Google Scholar] [CrossRef] [PubMed] [Green Version]
- Cheng, F.; Cheng, Z. Research Progress on the use of Plant Allelopathy in Agriculture and the Physiological and Ecological Mechanisms of Allelopathy. Front. Plant Sci. 2015, 6, 1020. Available online: https://www.frontiersin.org/article/10.3389/fpls.2015.01020 (accessed on 8 April 2021). [CrossRef]
- Bachheti, A.; Sharma, A.; Bachheti, R.K.; Husen, A.; Pandey, D.P. Plant allelochemicals and their various applications. Co-Evol. Second. Metab. 2020, 441–465. [Google Scholar] [CrossRef]
- Khan, I.A.; Khan, M.I.; Khan, I.; Imran, M.; Idrees, M.; Bıbı, S. Effect of different herbicides and plant extracts on yield and yield components of wheat (Triticum aestivum L.). Pak. J. Bot. 2013, 45, 981–985. Available online: https://pdfs.semanticscholar.org/0576/456d83446ef7c0300802c84c6d91c916be5c.pdf (accessed on 8 April 2021).
- Randhawa, M.A.; Cheema, Z.A.; Ali, M.A. Allelopathic effect of sorghum water extract on the germination and seedling growth of Trianthema portulacastrum. Int. J. Agric. Biol. 2002, 4, 383–384. [Google Scholar]
- Jabran, K. Maize allelopathy for weed control. In Manipulation of Allelopathic Crops for Weed Control. SpringerBriefs in Plant Science; Jabran, K., Ed.; Springer: Cham, Switzerland, 2017; pp. 29–34. [Google Scholar] [CrossRef]
- Miri, H.R.; Armin, M. The use of plant water extracts in order to reduce herbicide application in wheat. Eur. J. Exp. Biol. 2013, 3, 155–164. Available online: http://www.imedpub.com/articles/the-use-of-plant-water-extracts-in-order-to-reduce-herbicide-application-in-wheat.pdf (accessed on 8 April 2021).
- Mendoza, F.C.; Celis, F.A.; Pachón, S.M.E. Herbicide effects of Piper extracts on a seed bank in Fusagasuga (Colombia). Acta Hortic. 2014, 1030, 77–82. [Google Scholar] [CrossRef]
- Uslu, Ö.S.; Gedik, O.; Kaya, A.R.; Erol, A.; Khan, M.A. Allelopathic Effects of Flower Extract of Oleander (Nerium oleander) on the Germination of Seed and Seedling Growth of Lolium multiflorum. Iğdır Univ. J. Inst. Sci. Technol. 2018, 8, 309–317. [Google Scholar] [CrossRef] [Green Version]
- Al-Samarai, G.F.; Mahdi, W.M.; Al-Hilali, B.M. Reducing environmental pollution by chemical herbicides using natural plant derivatives—Allelopathy effect. Ann. Agric. Environ. Med. 2018, 25, 449–452. [Google Scholar] [CrossRef]
- Baličević, R.; Ravlić, M.; Knežević, M.; Marić, K.; Mikić, I. Effect of marigold (Calendula officinalis L.) cogermination, extracts and residues on weed species hoary cress (Cardaria draba (L.) Desv. Herbologia 2014, 14, 23–32. [Google Scholar] [CrossRef]
- Kil, B.S.; Youb, S.L. Allelopathic effects of Chrysanthemum mori-folium on germination and growth of several herbaceous plants. J. Chem. Ecol. 1987, 13, 299–308. [Google Scholar] [CrossRef]
- Akhtar, N.; Javaid, A.; Bajwa, R. Herbicidal activity of aqueous ex-tracts of Cirsium arvense and Ageratum conyzoides against weeds of wheat. Pak. J. Biol. Sci. 2001, 4, 1364–1367. [Google Scholar]
- Elakovich, S.D.; Wooten, J.W. Allelopathic woody plants. Part I. Abies alba through Lyonia lucida. Allelopath. J. 1995, 2, 117–146. [Google Scholar]
- Moukhtar, S.; Couret, C.; Rouil, L.; Simon, V. Biogenic volatile organic compounds (BVOCs) emissions from Abies alba in a French forest. Sci. Total Environ. 2006, 354, 232–245. [Google Scholar] [CrossRef]
- Duquesnoy, E.; Castola, V.; Casanova, J. Composition and chemical variability of the twig oil of Abies alba Miller from Corsica. Flavour Frag. J. 2007, 22, 293–299. [Google Scholar] [CrossRef]
- Wajs, A.; Urbańska, J.; Zaleśkiewicz, E.; Bonikowski, R. Composition of essential oil from seeds and cones of Abies alba. Nat. Prod. Commun. 2010, 5, 1291–1294. [Google Scholar] [CrossRef] [Green Version]
- Becker, M.; Drapier, J. The part of allelopathy in the difficulties of white fir regeneration (Abies alba Mill.). Phytotoxic properties of the aqueous extracts of fir needles natural regeneration, forest site, humus, autotoxicity, mycorrhiza, chromatography. Acta Oecologica Oecologia Plantarum 1984, 5, 347–356. [Google Scholar]
- Becker, M.; Drapier, J. The part of allelopathy in the difficulties of white fir regeneration (Abies alba): II. In-situ study of natural leachates of needles, litter and humus. Acta Oecologica Oecologia Plantarum 1985, 6, 31–40. [Google Scholar]
- Meneguzzo, F.; Brunetti, C.; Fidalgo, A.; Ciriminna, R.; Delisi, R.; Albanese, L.; Zabini, F.; Gori, A.; dos Santos Nascimento, L.B.; de Carlo, A.; et al. Real-Scale Integral Valorization of Waste Orange Peel via Hydrodynamic Cavitation. Processes 2019, 7, 581. [Google Scholar] [CrossRef] [Green Version]
- Scurria, A.; Sciortino, M.; Presentato, A.; Lino, C.; Piacenza, E.; Albanese, L.; Zabini, F.; Meneguzzo, F.; Nuzzo, D.; Pagliaro, M.; et al. Volatile Compounds of Lemon and Grapefruit IntegroPectin. Molecules 2021, 26, 51. [Google Scholar] [CrossRef]
- Panda, D.; Manickam, S. Cavitation technology-the future of greener extraction method: A review on the extraction of natural products and process intensification mechanism and perspectives. Appl. Sci. 2019, 9, 766. [Google Scholar] [CrossRef] [Green Version]
- Carpenter, J.; Badve, M.; Rajoriya, S.; George, S.; Saharan, V.K.; Pandit, A.B. Hydrodynamic cavitation: An emerging technology for the intensification of various chemical and physical processes in a chemical process industry. Rev. Chem. Eng. 2017, 33, 433–468. [Google Scholar] [CrossRef]
- Pawar, S.K.; Mahulkar, A.V.; Pandit, A.B.; Roy, K.; Moholkar, V.S. Sonochemical effect induced by hydrodynamic cavitation: Comparison of venturi/orifice flow geometries. AIChE J. 2017, 63, 4705–4716. [Google Scholar] [CrossRef]
- Cravotto, G.; Mariatti, F.; Gunjevic, V.; Secondo, M.; Villa, M.; Parolin, J.; Cavaglià, G. Pilot Scale Cavitational Reactors and Other Enabling Technologies to Design the Industrial Recovery of Polyphenols from Agro-Food By-Products, a Technical and Economical Overview. Foods 2018, 7, 130. [Google Scholar] [CrossRef] [Green Version]
- Albanese, L.; Bonetti, A.; D’Acqui, L.P.; Meneguzzo, F.; Zabini, F. Affordable Production of Antioxidant Aqueous Solutions by Hydrodynamic Cavitation Processing of Silver Fir (Abies Alba Mill.) Needles. Foods 2019, 8, 65. [Google Scholar] [CrossRef] [Green Version]
- Albanese, L.; Meneguzzo, F. Hydrodynamic Cavitation Technologies: A Pathway to More Sustainable, Healthier Beverages, and Food Supply Chains. In Processing and Sustainability of Beverages. Volume 2: The Science of Beverages, 1st ed.; Grumezescu, A., Holban, A.M., Eds.; Elsevier: Amsterdam, The Netherlands, 2019; Volume 2, pp. 319–372. ISBN 9780128152591. [Google Scholar]
- Fierascu, R.C.; Fierascu, I.C.; Dinu-Pirvu, C.E.; Fierascu, I.; Paunescu, A. The application of essential oils as a next-generation of pesticides: Recent developments and future perspectives. Z. Nat. Sect. C Biosci. 2020, 75, 183–204. [Google Scholar] [CrossRef] [PubMed]
- Van Gessel, M.J. Confirming glyphosate-resistant horseweed (Conyza canadensis) in Delaware. Weed Sci. 2001, 49, 703–712. [Google Scholar] [CrossRef]
- CABI. Lolium Perenne (Perennial Ryegrass). Invasive Species Compendium. Detailed Coverage of Invasive Species Threatening Livelihoods and the Environment Worldwide. Available online: https://www.cabi.org/isc/datasheet/31166 (accessed on 15 December 2019).
- APAT. Metodi microbiologici di analisi del compost. In Manuali e Linee Guida 20/2003; APAT, Ed.; APAT: Roma, Italy, 2003; pp. 42–43. ISBN 88-448-0090-X. [Google Scholar]
- R Core Team. R: A Language and Environment for Statistical Computing; R Foundation for Statistical Computing: Vienna, Austria, 2021; Available online: https://www.R-project.org/ (accessed on 5 June 2021).
- Onofri, A.; Benincasa, P.; Mesgaran, M.B.; Ritz, C. Hydrothermal-time-to-event models for seed germination. Eur. J. Agron. 2018, 101, 129–139. [Google Scholar] [CrossRef] [Green Version]
- Ritz, C.; Baty, F.; Streibig, J.C.; Gerhard, D. Dose-Response Analysis Using R. PLoS ONE 2015, 10, e0146021. [Google Scholar] [CrossRef] [PubMed] [Green Version]
- Zeileis, A.; Hothorn, T. Diagnostic Checking in Regression Relationships. R News 2002, 2, 7–10. Available online: https://CRAN.R-project.org/doc/Rnews/ (accessed on 5 June 2021).
- Fox, J.; Weisberg, S. An {R} Companion to Applied Regression, 3rd ed.; Sage: Thousand Oaks, CA, USA, 2019; Available online: https://socialsciences.mcmaster.ca/jfox/Books/Companion/ (accessed on 22 June 2021).
- Ciriminna, R.; Fidalgo, A.; Ilharco, L.M.; Pagliaro, M. Herbicides based on pelargonic acid: Herbicides of the bioeconomy. Biofuel Bioprod. Bior. 2019, 13, 1476–1482. [Google Scholar] [CrossRef]
- Abrahim, D.; Braguini, W.L.; Kelmer-Bracht, A.M.; Ishii-Iwamoto, E.L. Effects of Four Monoterpenes on Germination, Primary Root Growth, and Mitochondrial Respiration of Maize. J. Chem. Ecol. 2000, 26, 611–624. [Google Scholar] [CrossRef]
- Scrivanti, L.R.; Zunino, M.P.; Zygadlo, J.A. Tagetes minuta and Schinus areira essential oils as allelopathic agents. Biochem. Syst. Ecol. 2003, 31, 563D572. [Google Scholar] [CrossRef]
- Singh, H.P.; Batish, D.R.; Kaur, S.; Ramezani, H.; Kohli, R.K. Comparative phytotoxicity of four monoterpenes against Cassia occidentalis. Ann. Appl. Biol. 2002, 141, 111D116. [Google Scholar] [CrossRef]
- Singh, H.P.; Batish, D.R.; Kaur, S.; Vaid, S.; Kohli, R. Weed suppressing ability of some monoterpenes. Z. Pflanzenkrankh. J. Plant. Dis. Protect. 2004, 111, 821D828. [Google Scholar]
- Salamnci, E.; Kordali, S.; Kotan, R.; Cakir, A.; Kaya, Y. Chemical compositions, antimicrobial and herbicidal effects of essential oils isolated from Turkish Tanacetum aucheranum and Tanacetum chiliophyllum var. chiliophyllum. Biochem. Syst. Ecol. 2007, 35, 569–581. [Google Scholar] [CrossRef]
- Kordali, S.; Cakir, A.; Sutay, S. Inhibitory Effects of Monoterpenes on Seed Germination and Seedling Growth. Z. Nat. Sect. C Biosci. 2007, 62, 207–214. [Google Scholar] [CrossRef] [PubMed] [Green Version]
- Ismail, A.; Lamia, H.; Mohsen, H.; Bassem, J. Chemical composition and herbicidal effects of Pistacia lentiscus L. essential oil against weeds. Int. J. Med. Aromat. Plants 2012, 2, 558–565. [Google Scholar] [CrossRef] [Green Version]
- Ishii-Iwamoto, L.; Pergo Coelho, M.; Reis, B.; Moscheta, S.; Bonato, M. Effects of Monoterpenes on Physiological Processes during Seed Germination and Seedling Growth. Curr. Bioact. Compd. 2012, 8, 50–64. [Google Scholar] [CrossRef]
- Zunino, M.P.; Zygadlo, J.A. Effect of mono-terpenes on lipid oxidation in maize. Planta 2004, 219, 303–309. [Google Scholar]
- Nishida, N.; Tamotsu, S.; Nagata, N.; Saito, C.; Sakai, A. Allelopathic effects of volatile monoterpenoids produced by Salvia leucophylla: Inhibition of cell proliferation and DNA synthesis in root apical meristem of Brassica campestris seedlings. J. Chem. Ecol. 2005, 31, 1187–1203. [Google Scholar] [CrossRef]
- Saroj, A.; Oriyomi, O.V.; Nayak, A.K.; Haider, S.Z. Phytochemicals of Plant-Derived Essential Oils: A Novel Green Approach Against Pests. In Natural Remedies for Pest Disease and Weed Control; Egbuna, C., Sawicka, B., Eds.; Elsevier Academic Press: Cambridge, MA, USA, 2020; pp. 65–79. ISBN 978-0-12-819304-4. [Google Scholar]
- Walia, S.; Saha, S.; Vandana, T.; Sharma, K. Phytochemical biopesticides: Some recent developments. Phytochem. Rev. 2017, 16, 989–1007. [Google Scholar] [CrossRef]
- Chenni, M.; El Abed, D.; Neggaz, S.; Rakotomanomana, N.; Fernandez, X.; Chemat, F. Solvent free microwave extraction followed by encapsulation of O. basilicum L. essential oil for insecticide purpose. J. Stored Prod. Res. 2020, 86, 101575. [Google Scholar] [CrossRef]
- Feng, J.; Wang, R.; Chen, Z.; Zhang, S.; Yuan, S.; Cao, H.; Jafari, S.M.; Yang, W. Formulation optimization of D-limonene-loaded nanoemulsions as a natural and efficient biopesticide. Colloids Surf. A Physicochem. Eng. 2020, 596. [Google Scholar] [CrossRef]
- Kala, S.; Sogan, N.; Agarwal, A.; Naik, S.N.N.; Patanjali, P.K.K.; Kumar, J. Biopesticides: Formulations and Delivery Techniques. In Natural Remedies Pest. Disease Weed Control; Egbuna, C., Sawicka, B., Eds.; Elsevier Academic Press: Cambridge, MA, USA, 2020; pp. 209–220. [Google Scholar] [CrossRef]
- Ibáñez, M.D.; Sanchez-Ballester, N.M.; Blázquez, M.A. Encapsulated limonene: A pleasant lemon-like aroma with promising application in the agri-food industry. A review. Molecules 2020, 25, 2598. [Google Scholar] [CrossRef] [PubMed]
- Singh, A.; Dhiman, N.; Kar, A.K.; Singh, D.; Purohit, M.P.; Ghosh, D.; Patnaik, S. Advances in controlled release pesticide formulations: Prospects to safer integrated pest management and sustainable agriculture. J. Hazard. Mater. 2020, 385, 121525. [Google Scholar] [CrossRef]
- Kumar, S.; Nehra, M.; Dilbaghi, N.; Marrazza, G.; Hassan, A.A.; Kim, K.H. Nano-based smart pesticide formulations: Emerging opportunities for agriculture. J. Control. Release 2019, 294, 131–153. [Google Scholar] [CrossRef] [PubMed]
- Tavares, M.; Mattos Da Silva, R.; de Oliveira, B.; de Siqueira, L.; Aparecida, R.; Rodrigues, S.; Bodjolle-D’Almeida, L.; Pereira, E.; Santos, D.; Ricci-Júnior, E. Review Trends in insect repellent formulations: A review. Int. J. Pharm. 2018, 539, 190–209. [Google Scholar] [CrossRef] [PubMed]
- Pavela, R.; Benelli, G. Essential Oils as Ecofriendly Biopesticides? Challenges and Constraints. Trends Plant. Sci. 2016, 21, 1000–1007. [Google Scholar] [CrossRef]


| α-Pinene | Camphene | β-Pinene | Myrcene | Limonene | |
|---|---|---|---|---|---|
| 100% AWE a | 11.87 ng/mL 712 ng/g | 10.56 ng/mL 634 ng/g | 0.69 ng/mL 42 ng/g | 0.38 ng/mL 23 ng/g | 15.99 ng/mL 959 ng/g |
| Raw fir needles b | 114 ng/g | 45 ng/g | |||
| Extraction yield c | 37% | 51% | |||
| Solid residues d | 177 ng/g | 237 ng/g | 37 ng/g | 15 ng/g | |
| 100% AWE/Solid residues e | 402% | 268% | 112% | 153% | |
| Losses f | 31% | 16% |
| C. canadensis | C. album | |||||
|---|---|---|---|---|---|---|
| Estimate | Lower | Upper | Estimate | Lower | Upper | |
| 100% AWE: T10 | 24 | NaN | NaN | 10.3 | 9.34 | 11.43 |
| 100% AWE: T50 | 33.1 | NaN | NaN | 12.3 | 11.37 | 13.30 |
| 100% AWE: T90 | 45.8 | NaN | NaN | 14.6 | 12.14 | 17.65 |
| 75% AWE: T10 | 19.7 | 18.54 | 20.87 | 9 | 8.06 | 10.13 |
| 75% AWE: T50 | 21.1 | 20.34 | 21.78 | 11.4 | 10.80 | 11.99 |
| 75% AWE: T90 | 22.5 | 20.85 | 24.32 | 14.3 | 12.29 | 16.71 |
| 50% AWE: T10 | 17.5 | 16.60 | 18.51 | 9.5 | 8.39 | 10.86 |
| 50% AWE: T50 | 18.8 | 18.27 | 19.25 | 11.3 | 10.78 | 11.79 |
| 50% AWE: T90 | 20 | 18.98 | 21.22 | 13.3 | 11.68 | 15.20 |
| CTRL: T10 | 13 | 12.53 | 13.53 | 4.4 | 3.70 | 5.22 |
| CTRL: T50 | 15.6 | 15.26 | 15.99 | 6.1 | 5.61 | 6.68 |
| CTRL: T90 | 18.7 | 17.69 | 19.84 | 8.5 | 6.65 | 10.93 |
| L. perenne | A. retroflexus | |||||
| Estimate | Lower | Upper | Estimate | Lower | Upper | |
| 100% AWE: T10 | 7.2 | 6.30 | 8.24 | 5.9 | 5.26 | 6.62 |
| 100% AWE: T50 | 7.5 | 6.67 | 8.43 | 6.5 | 5.93 | 7.03 |
| 100% AWE: T90 | 7.8 | 6.79 | 8.95 | 7 | 6.08 | 8.22 |
| 75% AWE: T10 | 4.7 | 3.94 | 5.58 | 4.8 | 4.08 | 5.67 |
| 75% AWE: T50 | 6.2 | 5.39 | 7.06 | 5.8 | 5.35 | 6.35 |
| 75% AWE: T90 | 8.1 | 5.84 | 11.28 | 7.1 | 5.78 | 8.66 |
| 50% AWE: T10 | 5.5 | NaN | NaN | 3.6 | 2.77 | 4.60 |
| 50% AWE: T50 | 5.8 | NaN | NaN | 5 | 4.23 | 5.89 |
| 50% AWE: T90 | 6.2 | NaN | NaN | 7 | 4.63 | 10.50 |
| CTRL: T10 | 4.9 | 4.23 | 5.59 | 3.4 | NaN | NaN |
| CTRL: T50 | 6.2 | 5.73 | 6.76 | 3.8 | NaN | NaN |
| CTRL: T90 | 8 | 6.59 | 9.65 | 4.2 | NaN | NaN |
| Germination Rate | Chi Square Value | Degree of Freedom | p-Value |
|---|---|---|---|
| Species | 3580 | 5 | <2.2 × 10−16 |
| Treatment | 75 | 3 | 3.685 × 10−16 |
| Species * Treatment | 275 | 15 | <2.2 × 10−16 |
| Root length | |||
| Species | 668.78 | 5 | <2.2 × 10−16 |
| Treatment | 230.15 | 3 | <2.2 × 10−16 |
| Species * Treatment | 91.35 | 15 | 5.559 × 10−13 |
| Species | Treatment | Gfin (%) | Average Radicle Length (mm) | |
|---|---|---|---|---|
| Weeds | Conyza canadensis L. | CTRL | 65 ± 7 a | 4.1 ± 0.3 |
| 50% AWE | 19 ± 5 b | 3.3 ± 1 | ||
| 75% AWE | 15 ± 10 bc | 2.9 ± 0.8 | ||
| 100% AWE | 2 ± 3 c | 2.6 | ||
| Chenopodium album L. | CTRL | 27 ± 9 ab | 11 ± 1.5 a | |
| 50% AWE | 31 ± 4 a | 7.3 ± 1.4 b | ||
| 75% AWE | 25 ± 9 ab | 5.7 ± 0.9 b | ||
| 100% AWE | 14 ± 4 b | 5.2 ± 1.1 b | ||
| Lolium perenne L. | CTRL | 100 | 10.3 ± 1.3 a | |
| 50% AWE | 64 ± 27 | 10.3 ± 1.4 ab | ||
| 75% AWE | 57 ± 20 | 8.8 ± 3 ab | ||
| 100% AWE | 57 ± 26 | 3.9 ± 1.3 b | ||
| Amaranthus retroflexus L. | CTRL | 38 ± 12 a | 16 ± 2.4 | |
| 50% AWE | 34 ± 17 a | 12.9 ± 1.5 | ||
| 75% AWE | 31 ± 18 a | 12.4 ± 1.3 | ||
| 100% AWE | 28 ± 15 a | 8.3 ± 0.5 | ||
| Horticultural species | Lactuca sativa L. | CTRL | 100 | 15.6 ± 0.9 a |
| 50% AWE | 98 ± 5 | 7.5 ± 0.3 ab | ||
| 75% AWE | 88 ± 5 | 5.1 ± 0.5 c | ||
| 100% AWE | 98 ± 5 | 7 ± 2 b | ||
| Pisum sativum L. | CTRL | 88 ± 8 | 25.5 ± 7.9 | |
| 50% AWE | 83 ± 0 | 27.5 ± 7.3 | ||
| 75% AWE | 83 ± 0 | 23.9 ± 0.5 | ||
| 100% AWE | 92 ± 17 | 28.4 ± 7.5 | ||
| Solanum lycopersicum L. | CTRL | 100 | 18.5 ± 1.7 a | |
| 50% AWE | 100 | 13.8 ± 1.8 b | ||
| 75% AWE | 100 | 12.7 ± 0.7 b | ||
| 100% AWE | 100 | 13.4 ± 1.5 b | ||
| Petroselinum crispum (Mill.) | CTRL | 100 | 14.9±1.5 a | |
| 50% AWE | 74 ± 17 | 10.3 ± 0.5 b | ||
| 75% AWE | 78 ± 29 | 10.3 ± 0.9 b | ||
| 100% AWE | 78 ± 11 | 9.9 ± 1.19 b |
| L. sativa | S. lycopersicum | |||||
|---|---|---|---|---|---|---|
| Estimate | Lower | Upper | Estimate | Lower | Upper | |
| 100% AWE: T10 | 1.5 | 1.15 | 1.88 | 3.9 | 3.73 | 4.01 |
| 100% AWE: T50 | 2 | 1.90 | 2.20 | 4.3 | 4.01 | 4.51 |
| 100% AWE: T90 | 2.8 | 2.12 | 3.80 | 4.7 | 4.06 | 5.39 |
| 75% AWE: T10 | 1.4 | 0.13 | 14.70 | 2.9 | 2.57 | 3.27 |
| 75% AWE: T50 | 1.6 | 0.37 | 6.94 | 4 | 3.56 | 4.43 |
| 75% AWE: T90 | 1.8 | 0.99 | 3.38 | 5.4 | 4.15 | 7.11 |
| 50% AWE: T10 | 1.3 | 0.87 | 1.81 | 3 | 2.75 | 3.26 |
| 50% AWE: T50 | 1.8 | 1.62 | 2.01 | 3.7 | 3.58 | 3.88 |
| 50% AWE: T90 | 2.6 | 1.97 | 3.37 | 4.6 | 4.24 | 5.08 |
| CTRL: T10 | 1.3 | 0.20 | 7.84 | 2.5 | 1.66 | 3.86 |
| CTRL: T50 | 1.4 | 0.25 | 8.13 | 2.9 | 2.58 | 3.19 |
| CTRL: T90 | 1.6 | 0.25 | 10.34 | 3.3 | 2.64 | 4.05 |
| P. sativum | P. crispum | |||||
| Estimate | Lower | Upper | Estimate | Lower | Upper | |
| 100% AWE: T10 | 2.1 | 1.76 | 2.44 | 7. 5 | 6.92 | 8.01 |
| 100% AWE: T50 | 2.8 | 2.62 | 2.99 | 8.4 | 8.09 | 8.72 |
| 100% AWE: T90 | 3.8 | 3.19 | 4.45 | 9.5 | 8.66 | 10.38 |
| 75% AWE: T10 | 1.7 | 1.45 | 1.91 | 6 | 5.28 | 6.88 |
| 75% AWE: T50 | 2.3 | 2.13 | 2.50 | 8 | 7.28 | 8.89 |
| 75% AWE: T90 | 3.2 | 2.65 | 3.85 | 10.7 | 8.40 | 13.71 |
| 50% AWE: T10 | 1.7 | 1.38 | 2.05 | 6.2 | 5.41 | 7.02 |
| 50% AWE: T50 | 2.3 | 2.02 | 2.55 | 7.6 | 7.14 | 8.01 |
| 50% AWE: T90 | 3.1 | 2.31 | 4.06 | 9.3 | 7.94 | 10.86 |
| CTRL: T10 | 1.4 | 0.95 | 2.19 | 5.4 | 4.02 | 7.22 |
| CTRL: T50 | 2 | 1.80 | 2.25 | 5.7 | 4.83 | 6.64 |
| CTRL: T90 | 2.8 | 1.84 | 4.26 | 6 | 5.68 | 6.24 |
Publisher’s Note: MDPI stays neutral with regard to jurisdictional claims in published maps and institutional affiliations. |
© 2021 by the authors. Licensee MDPI, Basel, Switzerland. This article is an open access article distributed under the terms and conditions of the Creative Commons Attribution (CC BY) license (https://creativecommons.org/licenses/by/4.0/).
Share and Cite
Ugolini, F.; Crisci, A.; Albanese, L.; Cencetti, G.; Maienza, A.; Michelozzi, M.; Zabini, F.; Meneguzzo, F. Effects of Silver Fir (Abies alba Mill.) Needle Extract Produced via Hydrodynamic Cavitation on Seed Germination. Plants 2021, 10, 1399. https://doi.org/10.3390/plants10071399
Ugolini F, Crisci A, Albanese L, Cencetti G, Maienza A, Michelozzi M, Zabini F, Meneguzzo F. Effects of Silver Fir (Abies alba Mill.) Needle Extract Produced via Hydrodynamic Cavitation on Seed Germination. Plants. 2021; 10(7):1399. https://doi.org/10.3390/plants10071399
Chicago/Turabian StyleUgolini, Francesca, Alfonso Crisci, Lorenzo Albanese, Gabriele Cencetti, Anita Maienza, Marco Michelozzi, Federica Zabini, and Francesco Meneguzzo. 2021. "Effects of Silver Fir (Abies alba Mill.) Needle Extract Produced via Hydrodynamic Cavitation on Seed Germination" Plants 10, no. 7: 1399. https://doi.org/10.3390/plants10071399
APA StyleUgolini, F., Crisci, A., Albanese, L., Cencetti, G., Maienza, A., Michelozzi, M., Zabini, F., & Meneguzzo, F. (2021). Effects of Silver Fir (Abies alba Mill.) Needle Extract Produced via Hydrodynamic Cavitation on Seed Germination. Plants, 10(7), 1399. https://doi.org/10.3390/plants10071399

