Low Effectiveness of Prosulfocarb and Mesosulfuron-Methyl + Iodosulfuron-Methyl against Vulpia myuros
Abstract
1. Introduction
2. Materials and Methods
2.1. Seed Source
2.2. Prosulfocarb Bioassay
2.3. Mesosulfuron-Methyl + Iodosulfuron-Methyl Bioassay
2.3.1. Seed Germination Assay
2.3.2. Seedling Assay
2.4. Statistical Analysis
3. Results
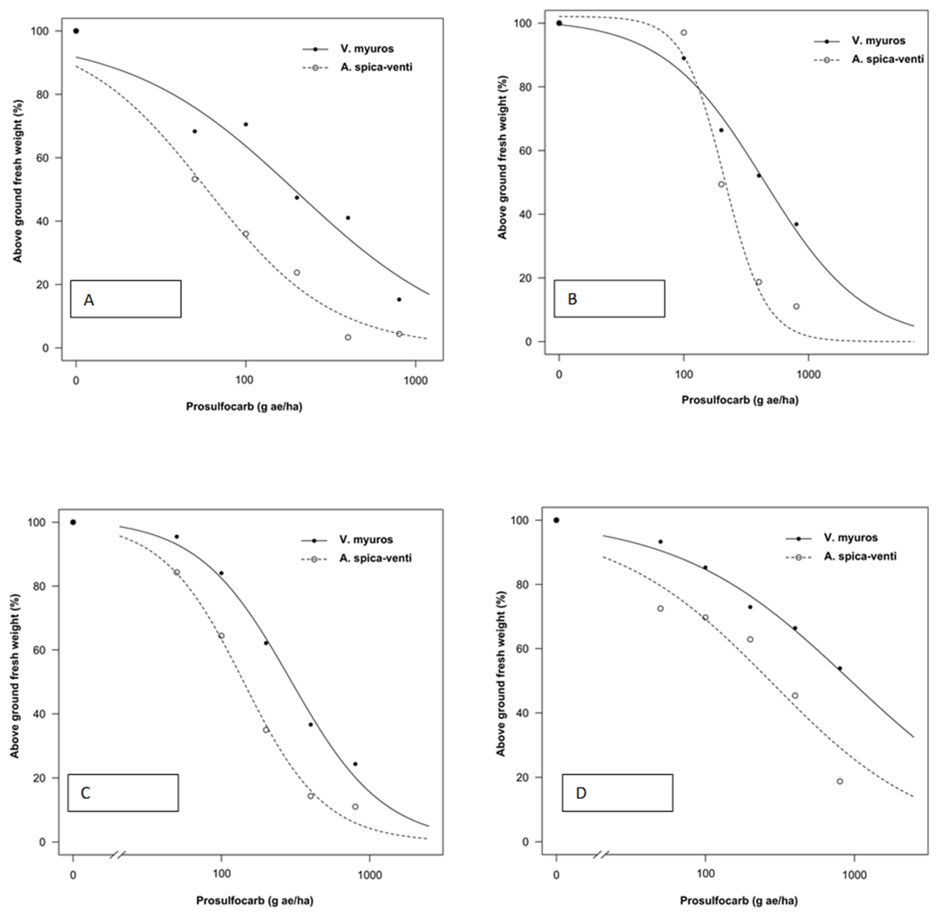
3.1. Prosulfocarb Bioassay
3.2. Mesosulfuron-Methyl + Iodosulfuron-Methyl Bioassay
3.2.1. Seed Germination Assay in Agar Medium
3.2.2. Seedling Assay
4. Discussion
4.1. Prosulfocarb Bioassay
4.2. Mesosulfuron-Methyl + Iodosulfuron-Methyl Bioassay
5. Conclusions
Author Contributions
Funding
Institutional Review Board Statement
Informed Consent Statement
Acknowledgments
Conflicts of Interest
References
- Mathiassen, S.K.; Kudsk, P. Control of Vulpia myuros in red fescue. In Proceedings of the 7th International Herbage Seed Conference, Dallas, TX, USA, 11–14 April 2010; Smith, G.R., Evers, G.W., Nelson, L.R., Eds.; International Herbage Seed Group (IHSG): Dallas, TX, USA, 2010; pp. 136–140. [Google Scholar]
- Akhter, M.J.; Jensen, P.K.; Mathiassen, S.K.; Melander, B.; Kudsk, P. Biology and Management of Vulpia myuros—An EmergingWeed Problem in No-Till Cropping Systems in Europe. Plants 2020, 9, 715. [Google Scholar] [CrossRef] [PubMed]
- Büchi, L.; Cordeau, S.; Hull, R.; Rodenburg, J. Vulpia myuros, an increasing threat for agriculture. Weed Res. 2020, 61, 13–14. [Google Scholar] [CrossRef]
- Akhter, J.M.; Melander, B.; Mathiassen, S.K.; Labouriau, R.; Vendelbo Nielsen, S.; Kudsk, P. Growth and phenology of Vulpia myuros in comparison with Apera spica-venti, Alopecurus myosuroides and Lolium multiflorum in monoculture and in winter wheat. Plants 2020, 9, 1495. [Google Scholar] [CrossRef] [PubMed]
- Ball, D.A.; Frost, S.M.; Fandrich, L.; Tarasoff, C.; Mallory-Smith, C. Biological Attributes of Rattail Fescue (Vulpia myuros). Weed Sci. 2008, 56, 26–31. [Google Scholar] [CrossRef]
- Jemmett, E.D.; Thill, D.C.; Rauch, T.A.; Ball, D.A.; Frost, S.M.; Bennett, L.H.; Yenish, J.P.; Rood, R.J. Rattail fescue (Vulpia myuros) control in chemical-fallow cropping systems. Weed Technol. 2008, 22, 435–441. [Google Scholar] [CrossRef]
- Akhter, M.J.; Kudsk, P.; Mathiassen, S.K.; Melander, B. Rattail fescue (Vulpia myuros) interference and seed production as affected by sowing time and crop density in winter wheat. Weed Sci. 2021, 69, 52–61. [Google Scholar] [CrossRef]
- Hull, R.; Mathiassen, S.K.; Moss, S.R. Herbicidal control of Vulpia myuros (Rat’s-tail fescue) in glasshouse screening tests. Asp. Appl. Biol. 2011, 106, 75–81. [Google Scholar]
- Yu, Q.; Shane Friesen, L.J.; Zhang, X.Q.; Powles, S.B. Tolerance to acetolactate synthase and acetyl-coenzyme A carboxylase inhibiting herbicides in Vulpia bromoides is conferred by two co-existing resistance mechanisms. Pestic. Biochem. Phys. 2004, 78, 21–30. [Google Scholar] [CrossRef]
- Bowran, D.; Wallace, A. Chemical weed management of Vulpia. Plant Prot. Q. 1996, 11, 211–212. [Google Scholar]
- Ball, D.A.; Hulting, A.G. Rattail Fescue: Biology and Manage-Ment in Pacific Northwest Wheat Cropping Systems; Oregon State University: Corvallis, OR, USA, 2009. [Google Scholar]
- Ball, D.A.; Frost, S.M.; Bennett, L.H.; Thill, D.C.; Rauch, T.; Jemmett, E.; Mallory-Smith, C.; Cole, C.; Yenish, J.P.; Rood, R. Control of Rattail Fescue (Vulpia myuros) in Winter Wheat. Weed Technol. 2007, 21, 583–590. [Google Scholar] [CrossRef]
- Mathiassen, S.K.; Kudsk, P.N. Screening of herbicide efficacy against Vulpia myuros (Rat’s-tail fescue) and selectivity in red fescue. In Proceedings of the NJF Seminar No. 420: Herbage seed production. Findings from Research Plots to Commercial Seed Multiplication, Ilmajoki, Finland, 28–29 June 2011; pp. 1–4. [Google Scholar]
- Babineau, M.; Mathiassen, S.K.; Kristensen, M.; Kudsk, P. Fitness of ALS-Inhibitors Herbicide Resistant Population of Loose Silky Bentgrass (Apera spica-venti). Front. Plant Sci. 2017, 8, 1660. [Google Scholar] [CrossRef] [PubMed]
- Ritz, C.; Baty, F.; Streibig, J.C.; Gerhard, D. Dose-response analysis using R. PLoS ONE 2015, 10, e0146021. [Google Scholar] [CrossRef] [PubMed]
- Ritz, C.; Streibig, J.C. Bioassay analysis using R. J. Stat. Softw. 2005, 12, 1–22. [Google Scholar] [CrossRef]
- Mathiassen, S.K. Strategies for control of Vulpia myuros. In Proceedings of the from the 7th International Weed Science Congress, Prague, Czech Republic, 19–25 June 2016; p. 543. [Google Scholar]
- Adamczewski, K.; Kierzek, R.; Urban, M.; Pietryga, J. Evaluation of pinoxaden and prosulfocarb efficacy in the control of Apera spica-venti biotypes resistant to sulfonylurea hebicides. Prog. Plant Prot. 2009, 49, 307–312. [Google Scholar]
- Abdurruhman, A.M.; Uygur, S.; Mathiassen, S.K.; Uygur, N. Identification of sterile wild oat (Avena sterilis L.) resistance to acetolactate synthase (ALS)-inhibiting herbicides using different assay techniques. J. Plant Prot. Res. 2020, 60, 3. [Google Scholar]
- Kuk, Y.-I.; Burgos, N.R.; Talbert, R.E. Cross-and multiple resistance of diclofop-resistant Lolium spp. Weed Sci. 2000, 48, 412–419. [Google Scholar] [CrossRef]
- Letouzé, A.; Gasquez, J. A rapid reliable test for screening aryloxyphenoxypropionic acid resistance within Alopecurus myosuroides and Lolium spp. populations. Weed Res. 1999, 39, 37–48. [Google Scholar] [CrossRef]
- Burke, I.C.; Thomas, W.E.; Burton, J.D.; Spears, J.F.; Wilcut, J.W. A Seedling Assay to Screen Aryloxyphenoxypropionic Acid and Cyclohexanedione Resistance in Johnsongrass (Sorghum halepense) 1. Weed Technol. 2006, 20, 950–955. [Google Scholar] [CrossRef]
- Weiss, Y.; Rubin, B.; Shulman, A.; Shir, I.B.; Keinan, E.; Wolf, S. Determination of plant resistance to carbamate herbicidal compounds inhibiting cell division and early growth by seed and plantlets bioassays. Nat. Protoc. 2006, 1, 2282–2287. [Google Scholar] [CrossRef] [PubMed]
- Akhter, M.J. Biology and Management of Vulpia myuros in Arable Farming. Ph.D. Thesis, Research Centre Flakkebjerg, Department of Agroecology, Aarhus University, Slagelse, Denmark, 2020; 151p. [Google Scholar]
- PPDB. The Pesticide Properties Database (PPDB) Developed by the Agriculture & Environment Research Unit (AERU), University of Hertfordshire, Funded bY UK National Sources and the EU-Funded FOOTPRINT project (FP6-SSP-022704). Available online: http://sitem.herts.ac.uk/aeru/iupac/index.htm (accessed on 20 October 2020).








| Study | Experiment | Treatments (Herbicide Dose and/or Plant Stages) | Environment |
|---|---|---|---|
| Prosulfocarb bioassay | Experiment 1 | Prosulfocarb rate ranging from 0 to 4000 g ha−1; BBCH 00, BBCH 11, BBCH 12, BBCH 13 | Growth chamber at 14/10 °C day/night with 16 h photoperiods |
| Experiment 2 | Prosulfocarb rate ranging from 0 to 4000 g ha−1; BBCH 00, BBCH 10, BBCH 11, BBCH 12 | Unheated glasshouse | |
| Experiment 3 | Prosulfocarb rate ranging from 0 to 4000 g ha−1; BBCH 00, BBCH 10, BBCH 13 | Unheated glasshouse | |
| Experiment 4 | Prosulfocarb rate ranging from 0 to 4000 g ha−1; BBCH 11, BBCH 12 | Outdoor under natural conditions | |
| Mesosulfuron-methyl + iodosulfuron-methyl bioassay | Seed germination assay | Mesosulfuron-methyl + iodosulfuron-methyl concentrations ranging from 0 to144 mg/L were added to agar medium containing weed seeds | Laboratory |
| Seedling assay | Mesosulfuron-methyl + iodosulfuron-methyl concentrations ranging from 0 to144 mg/L were added to agar medium containing weed seedlings | Laboratory |
| Growth Stage | BBCH 00 (1) | BBCH 11 (2) | BBCH 12 (3) | BBCH 13 (4) | Significance Level between Growth Stages | |
|---|---|---|---|---|---|---|
| Experiment 1 | V. myuros | 199 (43.9) | 438 (87.6) | 293 (26.6) | 926 (252.2) | 1 vs. 2, p < 0.001;1 vs. 3, p = 0.074; 1 vs. 4, p < 0.001; 2 vs. 3, p = 0.144; 2 vs. 4, p = 0.003; 3 vs. 4, p < 0.001; |
| A. spica-venti | 59 (10.4) | 212 (19.3) | 141 (11.7) | 278 (48.3) | 1 vs. 2, p = 0.04; 1 vs. 3, p = 0.002; 1 vs. 4, p < 0.001; 2 vs. 3, p = 0.006; 2 vs. 4, p = 0.086; 3 vs. 4, p < 0.001 | |
| Tolerance indices | TI | 3.4 p = 0.017 | 2.1 p = 0.026 | 2.1 p < 0.001 | 3.3 p = 0.038 | |
| Growth stage | BBCH 00 | BBCH 10 | BBCH 11 | BBCH 12 | ||
| Experiment 2 | V. myuros | 110.2 (8.9) | 170 (18.6) | 184 (12.6) | 241 (17.0) | 1 vs. 2, p = 0.17; 1 vs. 3, p = 0.004; 1 vs. 4, p < 0.001; 2 vs. 3, p = 0.686; 2 vs. 4, p = 0.041; 3 vs. 4, p = 0.038; 3 vs. 4, p < 0.001 |
| A. spica-venti | 39 (5.3) | 48 (4.03) | 58 (5.1) | 167 (15.6) | 1 vs. 2, p = 0.17; 1 vs. 3, p = 0.004; 1 vs. 4, p < 0.001; 2 vs. 3, p = 0.076; 2 vs. 4, p < 0.001; 3 vs. 4, p < 0.001; 3 vs. 4, p < 0.001 | |
| Tolerance indices | TI | 2.8 p < 0.001 | 3.5 p < 0.001 | 3.2 p < 0.001 | 1.4 p = 0.012 | |
| Growth stage | BBCH 00 | BBCH 10 | BBCH 13 | |||
| Experiment 3 | V. myuros | 223 (46.9) | 223 (50.9) | 802 (54.6) | 1 vs. 2, p = 0.948; 1 vs. 3, p < 0.001; 2 vs. 3, p < 0.001 | |
| A. spica-venti | 89 (12.4) | 82 (11.7) | 513 (90.8) | 1 vs. 2, p = 0.669; 1 vs. 3, p < 0.001; 2 vs. 3, p < 0.001 | ||
| Tolerance indices | TI | 2.5 p = 0.021 | 2.7 p = 0.024 | 1.6 p = 0.064 | ||
| Growth stage | BBCH 11 | BBCH 12 | ||||
| Experiment 4 | V. myuros | 353 (63.5) | 447.3 (135.8) | 1 vs. 2, p = 0.3716 | ||
| A. spica-venti | 87.1 (7.3) | 302.4 (58.7) | 1 vs. 2, p < 0.001 | |||
| TI | 4.0 p < 0.001 | 1.5 p = 0.3751 | ||||
| Experiments | Species | V. myuros | Apera Spica-Venti | Tolerance Index |
|---|---|---|---|---|
| Seed germination assay | Coleoptile length | 0.04 (0.007) | 0.01 (0.003) | 3.0 p = 0.021 |
| Radicle length | 0.05 (0.008) | 0.01 (0.002) | 4.4 p = 0.006 | |
| Seedling assay | Seedling survival | 0.14 (0.023) | 0.04 (0.009) | 3.2 p = 0.017 |
Publisher’s Note: MDPI stays neutral with regard to jurisdictional claims in published maps and institutional affiliations. |
© 2021 by the authors. Licensee MDPI, Basel, Switzerland. This article is an open access article distributed under the terms and conditions of the Creative Commons Attribution (CC BY) license (https://creativecommons.org/licenses/by/4.0/).
Share and Cite
Akhter, M.J.; M. Abdurruhman, A.; Mathiassen, S.K.; Kudsk, P. Low Effectiveness of Prosulfocarb and Mesosulfuron-Methyl + Iodosulfuron-Methyl against Vulpia myuros. Plants 2021, 10, 1186. https://doi.org/10.3390/plants10061186
Akhter MJ, M. Abdurruhman A, Mathiassen SK, Kudsk P. Low Effectiveness of Prosulfocarb and Mesosulfuron-Methyl + Iodosulfuron-Methyl against Vulpia myuros. Plants. 2021; 10(6):1186. https://doi.org/10.3390/plants10061186
Chicago/Turabian StyleAkhter, Muhammad Javaid, Abdullatief M. Abdurruhman, Solvejg Kopp Mathiassen, and Per Kudsk. 2021. "Low Effectiveness of Prosulfocarb and Mesosulfuron-Methyl + Iodosulfuron-Methyl against Vulpia myuros" Plants 10, no. 6: 1186. https://doi.org/10.3390/plants10061186
APA StyleAkhter, M. J., M. Abdurruhman, A., Mathiassen, S. K., & Kudsk, P. (2021). Low Effectiveness of Prosulfocarb and Mesosulfuron-Methyl + Iodosulfuron-Methyl against Vulpia myuros. Plants, 10(6), 1186. https://doi.org/10.3390/plants10061186

