Identification of QTLs for Spot Blotch Resistance in Two Bi-Parental Mapping Populations of Wheat
Abstract
1. Introduction
2. Results
2.1. Phenotypic Data
2.2. Linkage Map
2.3. QTL Mapping
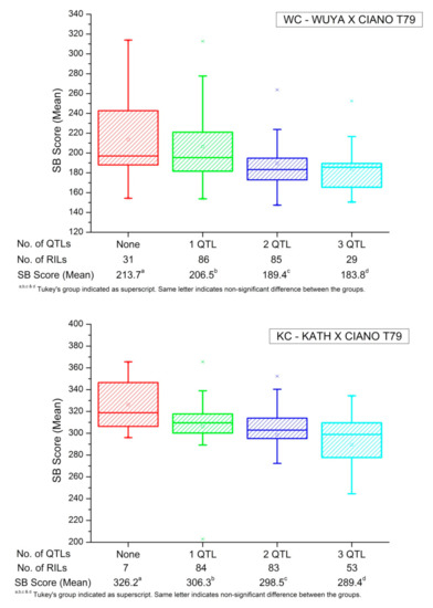
2.3.1. WC Population
2.3.2. KC Population
2.3.3. Bulk Studies
3. Discussion
4. Materials and Methods
4.1. Planting Material
4.2. Field Evaluation and Agronomic Practices
4.3. Inoculation and Disease Scoring
4.4. Statistical Analysis
4.5. Genotyping
4.6. QTL Mapping and Projection on Chinese Spring Reference Genome
5. Conclusions
Supplementary Materials
Author Contributions
Funding
Institutional Review Board Statement
Informed Consent Statement
Data Availability Statement
Conflicts of Interest
References
- Duveiller, E.; Kandel, Y.R.; Sharma, R.C.; Shrestha, S.M. Epidemiology of foliar blights (spot blotch and tan spot) of wheat in the plains bordering the Himalayas. Phytopathology 2005, 95, 248–256. [Google Scholar] [CrossRef] [PubMed]
- Kumar, S.; Archak, S.; Tyagi, R.K.; Kumar, J.; Vikas, V.K.; Jacob, S.R.; Srinivasan, K.; Radhamani, J.; Parimalan, R.; Sivaswamy, M.; et al. Evaluation of 19,460 wheat accessions conserved in the Indian national genebank to identify new sources of resistance to rust and spot blotch diseases. PLoS ONE 2016, 11, e0167702. [Google Scholar] [CrossRef] [PubMed]
- Duveiller, E.M.; Sharma, R.C. Genetic improvement and crop management strategies to minimize yield losses in warm non-traditional wheat growing areas due to spot blotch pathogen Cochliobolus Sativus. J. Phytopathol. 2009, 157, 521–534. [Google Scholar] [CrossRef]
- Raemaekers, R.H. Helminthosporium sativum: Disease complex on wheat and sources of resistance in Zambia. In Wheat Production Constraints in Tropical Environments; Klatt, A.R., Ed.; CIMMYT: Mexico City, Mexico, 1988; pp. 175–185. [Google Scholar]
- Hetzler, J.; Eyal, Z.; Mehta, Y.R. Interaction between spot blotch (Cochliobolus sativus) and wheat cultivars. In Wheat for the Nontraditional, Warm Areas; Saunders, D.A., Ed.; CIMMYT: Mexico City, Mexico, 1991; pp. 125–145. [Google Scholar]
- Siddique, A.B.; Hossain, M.H.; Duveiller, E.; Sharma, R.C. Progress in wheat resistance to spot blotch in Bangladesh. J. Phytopathol. 2006, 154, 16–22. [Google Scholar] [CrossRef]
- Gupta, P.K.; Chand, R.; Vasistha, N.K.; Pandey, S.P.; Kumar, U.; Mishra, V.K.; Joshi, A.K. Spot blotch disease of wheat: The current status of research on genetics and breeding. Plant Pathol. 2018, 67, 508–531. [Google Scholar] [CrossRef]
- Mehta, Y.R. Constraints on the Integrated Management of Spot Botch of wheat. In Helminthosporium Blight of Wheat: Spot Blotch and Tan Spot; Duveiller, E., Dubin, H.J., Reeves, J., McNab, A., Eds.; CIMMYT: Mexico City, Mexico, 1998; pp. 18–27. [Google Scholar]
- Acharya, K.; Dutta, A.K.; Pradhan, P. Bipolaris sorokiniana (Sacc.) Shoem.: The most destructive wheat fungal pathogen in the warmer areas. Aust. J. Crop Sci. 2011, 5, 1064–1071. [Google Scholar]
- Chaurasia, S.; Chand, R.; Joshi, A.K. Relative dominance of Alternaria triticina Pras. et Prab. and Bipolaris sorokiniana (Sacc.) Shoemaker in different growth stages of wheat (T. aestivum L.). J. Plant Dis. Protec. 2000, 107, 176–181. [Google Scholar]
- Van Ginkel, M.; Rajaram, S. Breeding for resistance to spot blotch in wheat global perspective. In Helminthosporium Blight of Wheat: Spot Blotch and Tan Spot; Duveiller, E., Dubin, H.J., Reeves, J., McNab, A., Eds.; CIMMYT: Mexico City, Mexico, 1998; pp. 162–169. [Google Scholar]
- Singh, P.K.; Zhang, Y.; He, X.; Singh, R.P.; Chand, R.; Mishra, V.K.; Malaker, P.K.; Reza, M.A.; Rahman, M.M.; Islam, R.; et al. Development and characterization of the 4th CSISA-spot blotch nursery of bread wheat. Eur. J. Plant Pathol. 2015, 143, 595–605. [Google Scholar] [CrossRef]
- Mahapatra, S.; Chandra, B.; Viswavidyalaya, K. Management of spot blotch of wheat caused by Bipolaris sorokiniana in wheat using fungicides. Indian Phytopath. 2016, 67, 308–310. [Google Scholar]
- Al-Sadi, A.M. Bipolaris sorokiniana-Induced Black Point, Common Root Rot, and Spot Blotch Diseases of Wheat: A Review. Front. Cell. Infect. Microbiol. 2021, 11, 584899. [Google Scholar] [CrossRef]
- Castro, A.C.; Fleitas, M.C.; Schierenbeck, M.; Gerard, G.S.; Simón, M.R. Evaluation of different fungicides and nitrogen rates on grain yield and bread-making quality in wheat affected by Septoria tritici blotch and yellow spot. J. Cereal Sci. 2018, 83, 49–57. [Google Scholar] [CrossRef]
- Dublin, H.J.; Arun, B.; Begum, S.N.; Bhatta, M.; Dhari, R.; Goel, L.B.S.; Joshi, A.K.; Khanna, B.M.; Malaker, P.K.; Pokhrel, D.R.; et al. Results of the South Asia Regional Helminthosporium Leaf Blight and Yield Experiment, 1993–1994. In Helminthosporium Blight of Wheat: Spot Blotch and Tan Spot; Duveiller, E., Dubin, H.J., Reeves, J., McNab, A., Eds.; CIMMYT: Mexico City, Mexico, 1998; pp. 182–187. [Google Scholar]
- Sharma, R.C.; Duveiller, E. Advancement toward new spot blotch resistant wheats in South Asia. Crop Sci. 2007, 47, 961–968. [Google Scholar] [CrossRef]
- Kumar, U.; Joshi, A.K.; Kumar, S.; Chand, R.; Röder, M.S. Quantitative trait loci for resistance to spot blotch caused by Bipolaris sorokiniana in wheat (T. aestivum L.) lines Ning 8201 and Chirya 3. Mol. Breed. 2010, 26, 477–491. [Google Scholar] [CrossRef]
- Lillemo, M.; Joshi, A.K.; Prasad, R.; Chand, R.; Singh, R.P. QTL for spot blotch resistance in bread wheat line Saar co-locate to the biotrophic disease resistance loci Lr34 and Lr46. Theor. Appl. Genet. 2013, 126, 711–719. [Google Scholar] [CrossRef]
- Kumar, S.; Röder, M.S.; Tripathi, S.B.; Kumar, S.; Chand, R.; Joshi, A.K.; Kumar, U. Mendelization and fine mapping of a bread wheat spot blotch disease resistance QTL. Mol. Breed. 2015, 35. [Google Scholar] [CrossRef]
- Singh, V.; Singh, G.; Chaudhury, A.; Ojha, A.; Tyagi, B.S.; Chowdhary, A.K.; Sheoran, S. Phenotyping at hot spots and tagging of QTLs conferring spot blotch resistance in bread wheat. Mol. Biol. Rep. 2016, 43, 1293–1303. [Google Scholar] [CrossRef]
- Zhu, Z.; Bonnett, D.; Ellis, M.; Singh, P.; Heslot, N.; Dreisigacker, S.; Gao, C.; Mujeeb-Kazi, A. Mapping resistance to spot blotch in a CIMMYT synthetic-derived bread wheat. Mol. Breed. 2014, 34, 1215–1228. [Google Scholar] [CrossRef]
- Lu, P.; Liang, Y.; Li, D.; Wang, Z.; Li, W.; Wang, G.; Wang, Y.; Zhou, S.; Wu, Q.; Xie, J.; et al. Fine genetic mapping of spot blotch resistance gene Sb3 in wheat (Triticum aestivum). Theor. Appl. Genet. 2016, 129, 577–589. [Google Scholar] [CrossRef]
- Zhang, P.; Guo, G.; Wu, Q.; Chen, Y.; Xie, J.; Lu, P.; Li, B.; Dong, L.; Li, M.; Wang, R.; et al. Identification and fine mapping of spot blotch (Bipolaris sorokiniana) resistance gene Sb4 in wheat. Theor. Appl. Genet. 2020, 133, 2451–2459. [Google Scholar] [CrossRef]
- Joshi, A.K.; Kumar, S.; Chand, R.; Ortiz-Ferrara, G. Inheritance of resistance to spot blotch caused by Bipolaris sorokiniana in spring wheat. Plant Breed. 2004, 123, 213–219. [Google Scholar] [CrossRef]
- Tembo, B.; Sibiya, J.; Tongoona, P.; Melis, R. Genetic analysis of resistance to spot blotch disease in wheat (Triticum aestivum L.) in Zambia. J. Crop Improv. 2017, 31, 712–726. [Google Scholar] [CrossRef]
- Sharma, R.C.; Dubin, H.J.; Devkota, R.N.; Bhatta, M.R. Heritability estimates of field resistance to spot blotch in four spring wheat crosses. Plant Breed. 1997, 116, 64–68. [Google Scholar] [CrossRef]
- Ragiba, M.; Prabhu, K.V.; Singh, R.B. Monosomic analysis of Helminthosporium leaf blight resistance genes in wheat. Plant Breed. 2004, 123, 405–409. [Google Scholar] [CrossRef]
- Ahirwar, R.N.; Mishra, V.K.; Chand, R.; Budhlakoti, N.; Mishra, D.C.; Kumar, S.; Singh, S.; Joshi, A.K. Genome-wide association mapping of spot blotch resistance in wheat association mapping initiative (WAMI) panel of spring wheat (Triticum aestivum L.). PLoS ONE 2018, 13, e0208196. [Google Scholar] [CrossRef]
- Singh, P.K.; He, X.; Sansaloni, C.P.; Juliana, P.; Dreisigacker, S.; Duveiller, E.; Kumar, U.; Joshi, A.K.; Singh, R.P. Resistance to spot blotch in two mapping populations of common wheat is controlled by multiple QTL of minor effects. Int. J. Mol. Sci. 2018, 19. [Google Scholar] [CrossRef]
- He, X.; Dreisigacker, S.; Sansaloni, C.; Duveiller, E.; Singh, R.P.; Singh, P.K. Quantitative trait loci mapping for spot blotch resistance in two biparental mapping populations of bread wheat. Phytopathology 2020, 110, 1980–1987. [Google Scholar] [CrossRef]
- Adhikari, T.B.; Gurung, S.; Hansen, J.M.; Jackson, E.W.; Bonman, J.M. Association mapping of quantitative trait loci in spring wheat landraces conferring resistance to bacterial leaf streak and spot blotch. Plant Genome 2012, 5, 1–16. [Google Scholar] [CrossRef]
- Ayana, G.T.; Ali, S.; Sidhu, J.S.; Gonzalez Hernandez, J.L.; Turnipseed, B.; Sehgal, S.K. Genome-wide association study for spot blotch resistance in hard winter wheat. Front. Plant Sci. 2018, 9, 926. [Google Scholar] [CrossRef] [PubMed]
- Gurung, S.; Mamidi, S.; Bonman, J.M.; Xiong, M.; Brown-Guedira, G.; Adhikari, T.B. Genome-wide association study reveals novel quantitative trait loci associated with resistance to multiple leaf spot diseases of spring wheat. PLoS ONE 2014, 9. [Google Scholar] [CrossRef]
- Sharma, R.C.; Duveiller, E. Effect of Helminthosporium leaf blight on performance of timely and late-seeded wheat under optimal and stressed levels of soil fertility and moisture. Field Crop. Res. 2004, 89, 205–218. [Google Scholar] [CrossRef]
- Joshi, A.K.; Ortiz-Ferrara, G.; Crossa, J.; Singh, G.; Alvarado, G.; Bhatta, M.R.; Duveiller, E.; Sharma, R.C.; Pandit, D.B.; Siddique, A.B.; et al. Associations of environments in South Asia based on spot blotch disease of wheat caused by Cochliobolus sativus. Crop Sci. 2007, 47, 1071–1081. [Google Scholar] [CrossRef]
- Gutierrez-Gonzalez, J.J.; Mascher, M.; Poland, J.; Muehlbauer, G.J. Dense genotyping-by-sequencing linkage maps of two Synthetic W7984×Opata reference populations provide insights into wheat structural diversity. Sci. Rep. 2019, 9, 1793. [Google Scholar] [CrossRef] [PubMed]
- Rosyara, U.; Kishii, M.; Payne, T.; Sansaloni, C.P.; Singh, R.P.; Braun, H.J.; Dreisigacker, S. Genetic Contribution of Synthetic Hexaploid Wheat to CIMMYT’s Spring Bread Wheat Breeding Germplasm. Sci. Rep. 2019, 9, 12355. [Google Scholar] [CrossRef] [PubMed]
- Bainsla, N.K.; Phuke, R.M.; He, X.; Gupta, V.; Bishnoi, S.K.; Sharma, R.K.; Ataei, N.; Dreisigacker, S.; Juliana, P.; Singh, P.K. Genome-wide association study for spot blotch resistance in Afghan wheat germplasm. Plant Pathol. 2020, 69, 1161–1171. [Google Scholar] [CrossRef]
- Gebrewahid, T.W.; Zhang, P.; Zhou, Y.; Yan, X.; Xia, X.; He, Z.; Liu, D.; Li, Z. QTL mapping of adult plant resistance to stripe rust and leaf rust in a Fuyu 3/Zhengzhou 5389 wheat population. Crop J. 2020, 8, 655–665. [Google Scholar] [CrossRef]
- Joshi, A.K.; Chand, R.; Kumar, S.; Singh, R.P. Leaf tip necrosis: A phenotypic marker associated with resistance to spot blotch disease in wheat. Crop Sci. 2004, 44, 792–796. [Google Scholar] [CrossRef]
- Vasistha, N.K.; Balasubramaniam, A.; Mishra, V.K.; Chand, R.; Srinivasa, J.; Yadav, P.S.; Joshi, A.K. Enhancing spot blotch resistance in wheat by marker-aided backcross breeding. Euphytica 2016, 207, 119–133. [Google Scholar] [CrossRef]
- Jamil, M.; Ali, A.; Gul, A.; Ghafoor, A.; Ibrahim, A.M.H.; Mujeeb-Kazi, A. Genome-wide association studies for spot blotch (Cochliobolus sativus) resistance in bread wheat using genotyping-by-sequencing. Phytopathology 2018, 108, 1307–1314. [Google Scholar] [CrossRef]
- Krattinger, S.G.; Lagudah, E.S.; Spielmeyer, W.; Singh, R.P.; Huerta-espino, J.; Mcfadden, H.; Bossolini, E.; Selter, L.L.; Keller, B. Pathogens in Wheat. Science 2009, 323, 1360–1363. [Google Scholar] [CrossRef]
- Van Ooijen, G.; Mayr, G.; Kasiem, M.M.A.; Albrecht, M.; Cornelissen, B.J.C.; Takken, F.L.W. Structure-function analysis of the NB-ARC domain of plant disease resistance proteins. J. Exp. Bot. 2008, 59, 1383–1397. [Google Scholar] [CrossRef]
- DeYoung, B.J.; Innes, R.W. Plant NBS-LRR proteins in pathogen sensing and host defense. Nat. Immunol. 2006, 7, 1243–1249. [Google Scholar] [CrossRef]
- Cheval, C.; Aldon, D.; Galaud, J.P.; Ranty, B. Calcium/calmodulin-mediated regulation of plant immunity. Biochim. Biophys. Acta Mol. Cell Res. 2013, 1833, 1766–1771. [Google Scholar] [CrossRef]
- Liu, H.; Hu, M.; Wang, Q.; Cheng, L.; Zhang, Z. Role of papain-like cysteine proteases in plant development. Front. Plant Sci. 2018, 871, 1717. [Google Scholar] [CrossRef]
- Singh, S.; Mishra, V.K.; Kharwar, R.N.; Ahirwar, R.N.; Sharma, S.; Yadav, P.S.; Chand, R. Distribution of leaf tip necrosis genes and its association with expression of lesion mimic genes and resistance to spot blotch in springwheat. Int. J. Life Sci. Scienti. Res. 2017, 3, 808–816. [Google Scholar] [CrossRef]
- Nyquist, W.E. Estimation of heritability and prediction of selection response in plant populations. CRC Crit. Rev. Plant Sci. 1991, 10, 235–322. [Google Scholar] [CrossRef]
- Dreisigacker, S.; Sukumaran, S.; Guzmán, C.; He, X.; Lan, C.; Bonnett, D.; Crossa, J. Molecular Marker-Based Selection Tools in Spring Bread Wheat Improvement: CIMMYT Experience and Prospects. In Molecular Breeding for Sustainable Crop Improvement; Rajpal, V., Rao, S., Raina, S., Eds.; Springer: Berlin/Heidelberg, Germany; Cham, Switzerland, 2016; pp. 421–474. [Google Scholar]
- Meng, L.; Li, H.; Zhang, L.; Wang, J. QTL IciMapping: Integrated software for genetic linkage map construction and quantitative trait locus mapping in biparental populations. Crop J. 2015, 3, 269–283. [Google Scholar] [CrossRef]
- Li, H.; Vikram, P.; Singh, R.P.; Kilian, A.; Carling, J.; Song, J.; Burgueno-Ferreira, J.A.; Bhavani, S.; Huerta-Espino, J.; Payne, T.; et al. A high density GBS map of bread wheat and its application for dissecting complex disease resistance traits. BMC Genom. 2015, 16. [Google Scholar] [CrossRef]
- Voorrips, R.E. MapChart: Software for the graphical presentation of linkage maps and QTLs. J. Hered. 2002, 93, 77–78. [Google Scholar] [CrossRef]






| Population | Source of Variation | DF | Sum of Squares | Mean Squares | F-Calculated | Significance |
|---|---|---|---|---|---|---|
| WC | Genotype | 230 | 1464.9 | 6.4 | 3.75 | <0.0001 |
| Year | 2 | 961.2 | 480.6 | 14.18 | <0.05 | |
| Genotype × Year | 460 | 781.7 | 1.7 | 1.70 | <0.0001 | |
| Rep within Year | 3 | 101.7 | 33.9 | 33.9 | <0.0001 | |
| Pooled Error | 690 | 690.1 | 1.0 | |||
| Total | 1385 | 3999.5 | ||||
| KC | Genotype | 229 | 2453.7 | 10.7 | 2.95 | <0.0001 |
| Year | 2 | 39,633.4 | 19,816.7 | 275.76 | <0.001 | |
| Genotype × Year | 458 | 1663.1 | 3.6 | 3.63 | <0.0001 | |
| Rep within Year | 3 | 215.6 | 71.9 | 71.9 | <0.0001 | |
| Pooled Error | 687 | 686.7 | 1.0 | |||
| Total | 1379 | 44,652.4 |
| Population | Years | Heading | Height | Heritability for SB | ||
|---|---|---|---|---|---|---|
| Pcor | Gcor | Pcor | Gcor | |||
| WC | 2013 | −0.271 *** | −0.306 *** | −0.561 *** | −0.678 *** | 0.76 |
| 2014 | −0.282 *** | −0.340 *** | −0.471 *** | −0.586 *** | 0.77 | |
| 2015 | −0.206 ** | −0.375 *** | −0.207 ** | −0.461 *** | 0.30 | |
| Mean | −0.291 *** | −0.514 *** | −0.503 *** | −0.875 *** | 0.32 | |
| KC | 2013 | −0.182 ** | −0.234 *** | NA | NA | 0.75 |
| 2014 | −0.066 | −0.074 | −0.214 ** | −0.307 *** | 0.91 | |
| 2015 | −0.093 | −0.095 | −0.422 *** | −0.564 *** | 0.68 | |
| Mean | −0.079 | −0.108 | −0.328 *** | −0.624 *** | 0.31 | |
| Chromosome | WC Population | KC Population | ||||
|---|---|---|---|---|---|---|
| No. of Markers | Total Size (cM) | Marker Density (cM/Marker) | No. of Markers | Total Size (cM) | Marker Density (cM/Marker) | |
| 1A | 148 | 159.8 | 1.1 | 92 | 88.5 | 1.0 |
| 1B | 218 | 178.5 | 0.8 | 122 | 229.7 | 1.9 |
| 1D | 36 | 116.3 | 3.2 | 34 | 116.9 | 3.4 |
| 2A | 196 | 289.6 | 1.5 | 137 | 393.2 | 2.9 |
| 2B | 175 | 148.4 | 0.8 | 192 | 172.2 | 0.9 |
| 2D | 36 | 120.0 | 3.3 | 34 | 88.5 | 2.6 |
| 3A | 127 | 247.5 | 1.9 | 169 | 233.2 | 1.4 |
| 3B | 174 | 208.0 | 1.2 | 110 | 213.9 | 1.9 |
| 3D | 17 | 135.5 | 8.0 | 9 | 166.8 | 18.5 |
| 4A | 152 | 194.0 | 1.3 | 106 | 158.6 | 1.5 |
| 4B | 90 | 180.9 | 2.0 | 50 | 117.6 | 2.4 |
| 4D | 14 | 89.4 | 6.4 | 13 | 143.3 | 11.0 |
| 5A | 173 | 249.1 | 1.4 | 129 | 228.1 | 1.8 |
| 5B | 240 | 315.1 | 1.3 | 204 | 183.9 | 0.9 |
| 5D | 17 | 96.4 | 5.7 | 16 | 105.6 | 6.6 |
| 6A | 152 | 178.8 | 1.2 | 127 | 147.8 | 1.2 |
| 6B | 207 | 133.5 | 0.6 | 170 | 96.6 | 0.6 |
| 6D | 48 | 242.1 | 5.0 | 30 | 141.1 | 4.7 |
| 7A | 74 | 149.4 | 2.0 | 166 | 165.8 | 1.0 |
| 7B | 154 | 149.8 | 0.9 | 185 | 134.8 | 0.7 |
| 7D | 30 | 210.3 | 7.0 | 44 | 191.8 | 4.4 |
| Total/Average | 2478 | 3792.4 | 1.5 | 2139 | 3517.9 | 1.6 |
| QTL | Position (cM) | LOD | Marker Interval | Physical Range a (Mb on CS) | % PVE b | R Source c | Remarks d | ||||
|---|---|---|---|---|---|---|---|---|---|---|---|
| 2013 | 2014 | 2015 e | Mean | ||||||||
| WC | 1A | 76.5–88.5 | 2.8–8.0 | 1218247–1096735 | 500.8–512.5 | 9.9 | 4.9 | 4.9 | W | PH | |
| 1B | 175.5–178 | 2.8–4.8 | 1137809–5411162 | 670.6–673.7 | 5.4 | 5.4 | 5.1 | W | Lr46 gene | ||
| 2A | 37.6–40.0 | 2.8–6.2 | 3020873–1132194 | 28.8–30.9 | 2.4 | 2.5 R1,R2 | 2.6 | W | PH | ||
| 2A | 90.4–98.0 | 2.7–4.3 | 4991898–3064660 | 73.5–101.0 | 2.8 | 8.2 R1,R2 | 3.1 | W | DRSB | ||
| 2D | 71.5–73.5 | 3.5–5.2 | 2261906–1085831 | 61.8–65.7 | 5.0 | 5.3 | W | DRSB | |||
| 4B | 39.5–41.5 | 4.8–5.7 | 985312–1241652 | 37.5–65.1 | 13.7 | 5.5 | 6.8 | C | PH/Rht-B1 | ||
| 4B | 57.5–60.5 | 2.5–3.4 | 1159447–13375761 | 558.6–572.1 | 4.8 | 3.7 R1,R2 | C | DRSB/Sb4 gene | |||
| 4B | 92.5–96.5 | 4.1–4.4 | 1195526–100167524 100167524 | 658.0–659.5 | 4.5 | 4.9 | W | ||||
| 5A | 139.3–156.1 | 3.1–7.1 | 1102419–5411712 | 570.2–584.6 | 5.8 | 8.5 | 7.8 | W | DH/Vrn-A1 | ||
| 5D | 38.5–51.5 | 7.1 | 1058378–1048778 | 458.8–542.6 | 15.0 | W | |||||
| 7B | 8.5–12.5 | 2.7–4.2 | 7341261–1007925 | 18.1–18.1 | 5.1 | 3.0 | 4.1 | W | |||
| Total PVE (%) | 59.7 | 42.0 | 14.4 | 44.6 | |||||||
| KC | 2A | 48.1–48.6 | 2.5–3.3 | 1127593–3034005 | 7.9–8.0 | 5.3 | 3.2 | C | DRSB | ||
| 2A | 224.8–334.0 | 4.5 | 1098973–1013641 | 16.8–65.1 | 7.6 | K | |||||
| 2B | 13.7–22.0 | 2.6–2.8 | 1218621–4992694 | 24.1–27.2 | 5.1 | 4.3 R1 | 5.4 | C | DRSB | ||
| 2B | 37.1–43.0 | 2.6–3.0 | 1066619–1278607 | 56.9–454.8 | 6.5 | 4.2 R1,R2 | 5.3 | C | DH | ||
| 4B | 31.8–48.0 | 3.1–5.7 | 3222467–1233562 | 21.6–483.8 | 10.8 | 11.5 R1 | 7.8 | C | PH/Rht-B1 | ||
| 4B | 56.5–57.0 | 3.8 | 1863994–1132777 | 535.1–548.2 | 6.6 | C | Sb4 gene | ||||
| 4D | 0–30.5 | 2.9–4.7 | Rht-D1-BS00036421 | 18.8–32.3 | 2.3 | 6.5 | 9.1R1 | 9.3 R1 | K | PH/Rht-D1/DSRB | |
| 4D | 85.5–100.5 | 4.1 | 2257171–2256312 | 457.5–502.6 | 7.8 | C | |||||
| Total PVE (%) | 52.0 | 6.5 | 29.1 | 31.0 | |||||||
| Population | Type of Bulk | SBmean ± S.E. | Average No. of QTLs in an Individual | DH Mean ± S.E. | PH Mean ± S.E. | QTLs Different between the Bulks * |
|---|---|---|---|---|---|---|
| WC | Resistant | 156.5 ± 3.1 | 4.8 | 70.8 ± 0.6 | 118.8 ± 1.6 | 2A_94.2 (6), 4B_59.0 (6), 2D_72.5 (5) |
| Susceptible | 283.5 ± 7.2 | 1.9 | 66.7 ± 0.4 | 90.3 ± 1.5 | ||
| KC | Resistant | 200.1 ± 5.9 | 3.0 | 68.7 ± 0.4 | 117.4 ± 1.8 | 2A_48.4 (4), 2B_17.9 (5), 4D_15.7 (8) |
| Susceptible | 351.5 ± 3.0 | 1.7 | 67.9 ± 0.5 | 96.8 ± 3.0 |
Publisher’s Note: MDPI stays neutral with regard to jurisdictional claims in published maps and institutional affiliations. |
© 2021 by the authors. Licensee MDPI, Basel, Switzerland. This article is an open access article distributed under the terms and conditions of the Creative Commons Attribution (CC BY) license (https://creativecommons.org/licenses/by/4.0/).
Share and Cite
Gahtyari, N.C.; Roy, C.; He, X.; Roy, K.K.; Reza, M.M.A.; Hakim, M.A.; Malaker, P.K.; Joshi, A.K.; Singh, P.K. Identification of QTLs for Spot Blotch Resistance in Two Bi-Parental Mapping Populations of Wheat. Plants 2021, 10, 973. https://doi.org/10.3390/plants10050973
Gahtyari NC, Roy C, He X, Roy KK, Reza MMA, Hakim MA, Malaker PK, Joshi AK, Singh PK. Identification of QTLs for Spot Blotch Resistance in Two Bi-Parental Mapping Populations of Wheat. Plants. 2021; 10(5):973. https://doi.org/10.3390/plants10050973
Chicago/Turabian StyleGahtyari, Navin C., Chandan Roy, Xinyao He, Krishna K. Roy, Mohamed M. A. Reza, Md. A. Hakim, Paritosh K. Malaker, Arun K. Joshi, and Pawan K. Singh. 2021. "Identification of QTLs for Spot Blotch Resistance in Two Bi-Parental Mapping Populations of Wheat" Plants 10, no. 5: 973. https://doi.org/10.3390/plants10050973
APA StyleGahtyari, N. C., Roy, C., He, X., Roy, K. K., Reza, M. M. A., Hakim, M. A., Malaker, P. K., Joshi, A. K., & Singh, P. K. (2021). Identification of QTLs for Spot Blotch Resistance in Two Bi-Parental Mapping Populations of Wheat. Plants, 10(5), 973. https://doi.org/10.3390/plants10050973

