Exogenous Potassium (K+) Positively Regulates Na+/H+ Antiport System, Carbohydrate Metabolism, and Ascorbate–Glutathione Cycle in H2S-Dependent Manner in NaCl-Stressed Tomato Seedling Roots
Abstract
1. Introduction
2. Results
2.1. Exogenous Potassium Supplementation Restores Tomato Plant Growth through Endogenous H2S Signaling under NaCl Stress
2.2. Endogenous H2S Facilitates Exogenous Potassium-Mediated Na+/K+ Homeostasis and Elevates H+-ATPase Activity in Tomato Seedling Roots under NaCl Stress
2.3. Exogenous K+ Supplementation Positively Upregulates H2S Biosynthesis in Tomato Seedling Roots
2.4. Exogenous K+ Supplementation Mediates Endogenous H2S-Dependent Regulation of Oxidative Stress, AsA-GSH Metabolism, and Antioxidant Enzyme Activity in Tomato Seedling Roots
2.5. Exogenous K+ Supplementation Mediates MG Catabolism and Enhances Pro Content through Endogenous H2S Signaling
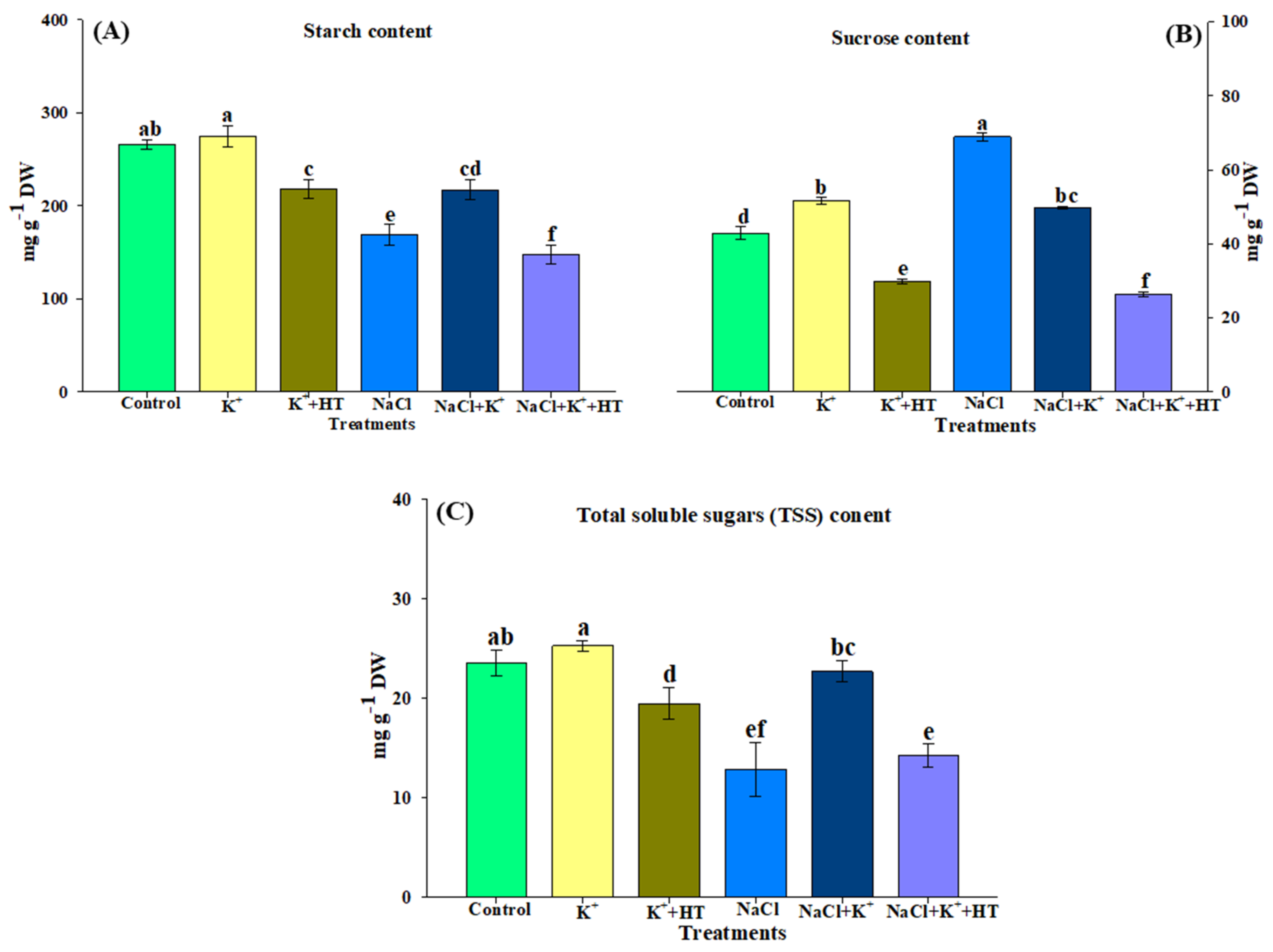
2.6. Endogenous H2S Levels Are Crucial for K+-Mediated Modulation of Carbohydrate Metabolism in Tomato Seedling Roots under NaCl Stress
3. Discussion
3.1. K+-Instigated Synthesis of H2S Mediates Growth Normalization, Na+/H+ Antiport Activity, and Ion Homeostasis in Tomato Seedling Roots under NaCl Stress
3.2. Exogenous K+-Mediated Regulation of Antioxidative Defense Operates in a H2S-Dependent Manner
3.3. Endogenous H2S Facilitates K+-Mediated Regulation of Glyoxylate Metabolism and Proline Accumulation
3.4. K+ and Endogenous H2S Modulate Carbohydrate Metabolism under NaCl Stress
4. Materials and Methods
4.1. Seed Germination and Treatments
4.2. Preparation of Crude Enzyme Extract
4.3. Estimation of K+ and Na+ Content and Activity of Plasma Membrane H+-ATPase
4.4. Estimation of H2S Content and Activity of Its Biosynthesizing Enzymes
4.5. Estimation of the Components of AsA–GSH Cycle
4.6. Assay of Antioxidant Enzymes
4.7. Estimation of MG Content, Activity of Gly I and Gly II, and Proline (Pro) Content
4.8. Estimation of the Activity of the Enzymes Involved in Carbohydrate Metabolism
4.9. Estimation of Starch, Sucrose, and Total Soluble Carbohydrates
4.10. Estimation of Oxidative Stress Markers
4.11. Data Analysis
5. Conclusions
Author Contributions
Funding
Institutional Review Board Statement
Informed Consent Statement
Data Availability Statement
Acknowledgments
Conflicts of Interest
References
- Nxele, X.; Klein, A.; Ndimba, B. Drought and salinity stress alters ROS accumulation, water retention, and osmolyte content in sorghum plants. S. Afr. J. Bot. 2017, 108, 261–266. [Google Scholar] [CrossRef]
- FAO. Global Soil Partnership, (Soil Salinity). Available online: http://www.fao.org/global-soil-partnership/areas-of-work/soil-salinity/en (accessed on 22 March 2021).
- Khan, M.N.; Siddiqui, M.H.; Mukherjee, S.; Alamri, S.; Al-Amri, A.A.; Alsubaie, Q.D.; Al-Munqedhi, B.M.; Ali, H.M. Calcium-hydrogen sulfide crosstalk during K+-deficient NaCl stress operates through regulation of Na+/H+ antiport and antioxidative defense system in mung bean roots. Plant Physiol. Biochem. 2021, 159, 211–225. [Google Scholar] [CrossRef] [PubMed]
- Munns, R.; Tester, M. Mechanisms of salinity tolerance. Annu. Rev. Plant Biol. 2008, 59, 651–681. [Google Scholar] [CrossRef] [PubMed]
- Jogawat, A. Osmolytes and their role in abiotic stress tolerance in plants. In Molecular Plant Abiotic Stress: Biology and Biotechnology; Roychoudhury, A., Tripathi, D.K., Eds.; John Wiley & Sons Ltd.: Hoboken, NJ, USA, 2019. [Google Scholar]
- Ahmad, F.; Singh, A.; Kamal, A. Osmoprotective Role of Sugar in Mitigating Abiotic Stress in Plants. In Protective Chemical Agents in the Amelioration of Plant Abiotic Stress; Wiley: Hoboken, NJ, USA, 2020; pp. 53–70. [Google Scholar]
- Sami, F.; Yusuf, M.; Faizan, M.; Faraz, A.; Hayat, S. Role of sugars under abiotic stress. Plant Physiol. Biochem. 2016, 109, 54–61. [Google Scholar] [CrossRef] [PubMed]
- Khan, M.N.; Siddiqui, M.H.; Mohammad, F.; Naeem, M. Interactive role of nitric oxide and calcium chloride in enhancing tolerance to salt stress. Nitric Oxide 2012, 27, 210–218. [Google Scholar] [CrossRef]
- Tisdale, S.L.; Nelson, W.L.; Beaton, J.D.; Havlin, J.L. Soil Fertility and Fertilizers, 5th ed.; Macmillan Publishing Company: Stuttgart, Germany, 1993; p. 634. [Google Scholar]
- Zörb, C.; Senbayram, M.; Peiter, E. Potassium in agriculture—Status and perspectives. J. Plant Physiol. 2014, 171, 656–669. [Google Scholar] [CrossRef] [PubMed]
- Martin, M.H.; Marschner, H. The Mineral Nutrition of Higher Plants. J. Ecol. 1988, 76, 1250. [Google Scholar] [CrossRef]
- Shabala, S. Regulation of Potassium Transport in Leaves: From Molecular to Tissue Level. Ann. Bot. 2003, 92, 627–634. [Google Scholar] [CrossRef]
- Anschütz, U.; Becker, D.; Shabala, S. Going beyond nutrition: Regulation of potassium homoeostasis as a common denominator of plant adaptive responses to environment. J. Plant Physiol. 2014, 171, 670–687. [Google Scholar] [CrossRef]
- Nieves-Cordones, M.; Alemán, F.; Martínez, V.; Rubio, F. K+ uptake in plant roots. The systems involved, their regulation and parallels in other organisms. J. Plant Physiol. 2014, 171, 688–695. [Google Scholar] [CrossRef]
- Hendrix, S.; Iven, V.; Eekhout, T.; Huybrechts, M.; Pecqueur, I.; Horemans, N.; Keunen, E.; De Veylder, L.; Vangronsveld, J.; Cuypers, A. Suppressor of Gamma Response 1 Modulates the DNA Damage Response and Oxidative Stress Response in Leaves of Cadmium-Exposed Arabidopsis thaliana. Front. Plant Sci. 2020, 11, 366. [Google Scholar] [CrossRef]
- Foyer, C.H.; Noctor, G. Ascorbate and Glutathione: The heart of the redox hub. Plant Physiol. 2011, 155, 2–18. [Google Scholar] [CrossRef] [PubMed]
- Khan, M.N.; Mobin, M.; Abbas, Z.K.; Siddiqui, M.H. Nitric oxide-induced synthesis of hydrogen sulfide alleviates osmotic stress in wheat seedlings through sustaining antioxidant enzymes, osmolyte accumulation and cysteine homeostasis. Nitric Oxide 2017, 68, 91–102. [Google Scholar] [CrossRef] [PubMed]
- Khan, M.N.; Alzuaibr, F.M.; Al-Huqail, A.A.; Siddiqui, M.H.; Ali, H.M.; Al-Muwayhi, M.A.; Al-Haque, H.N. Hydrogen Sulfide-Mediated Activation of O-Acetylserine (Thiol) Lyase and l/d-Cysteine Desulfhydrase Enhance Dehydration Tolerance in Eruca sativa Mill. Int. J. Mol. Sci. 2018, 19, 3981. [Google Scholar] [CrossRef] [PubMed]
- Khan, M.N.; Siddiqui, M.H.; AlSolami, M.A.; Alamri, S.; Hu, Y.; Ali, H.M.; Al-Amri, A.A.; Alsubaie, Q.D.; Al-Munqedhi, B.M.; Al-Ghamdi, A. Crosstalk of hydrogen sulfide and nitric oxide requires calcium to mitigate impaired photosynthesis under cadmium stress by activating defense mechanisms in Vigna radiata. Plant Physiol. Biochem. 2020, 156, 278–290. [Google Scholar] [CrossRef] [PubMed]
- Mukherjee, S.; Bhatla, S.C. Exogenous Melatonin Modulates Endogenous H2S Homeostasis and L-Cysteine Desulfhydrase Activity in Salt-Stressed Tomato (Solanum lycopersicum L. var. cherry) Seedling Cotyledons. J. Plant Growth Regul. 2020, 1–13. [Google Scholar] [CrossRef]
- Zahoor, R.; Dong, H.; Abid, M.; Zhao, W.; Wang, Y.; Zhou, Z. Potassium fertilizer improves drought stress alleviation potential in cotton by enhancing photosynthesis and carbohydrate metabolism. Environ. Exp. Bot. 2017, 137, 73–83. [Google Scholar] [CrossRef]
- Zahoor, R.; Zhao, W.; Abid, M.; Dong, H.; Zhou, Z. Potassium application regulates nitrogen metabolism and osmotic ad-justment in cotton (Gossypium hirsutum L.) functional leaf under drought stress. J. Plant Physiol. 2017, 215, 30–38. [Google Scholar] [CrossRef]
- Shabala, S.; Cuin, T.A. Potassium transport and plant salt tolerance. Physiol. Plant. 2008, 133, 651–669. [Google Scholar] [CrossRef]
- Shabala, S. Signalling by potassium: Another second messenger to add to the list? J. Exp. Bot. 2017, 68, 4003–4007. [Google Scholar] [CrossRef]
- Mukherjee, S.; Corpas, F.J. Crosstalk among hydrogen sulfide (H2S), nitric oxide (NO) and carbon monoxide (CO) in root-system development and its rhizosphere interactions: A gaseous interactome. Plant Physiol. Biochem. 2020, 155, 800–814. [Google Scholar] [CrossRef]
- Basu, S.; Kumar, A.; Benazir, I.; Kumar, G. Reassessing the role of ion homeostasis for improving salinity tolerance in crop plants. Physiol. Plant. 2021, 171, 502–519. [Google Scholar] [CrossRef] [PubMed]
- Deng, Y.-Q.; Bao, J.; Yuan, F.; Liang, X.; Feng, Z.-T.; Wang, B.-S. Exogenous hydrogen sulfide alleviates salt stress in wheat seedlings by decreasing Na+ content. Plant Growth Regul. 2016, 79, 391–399. [Google Scholar] [CrossRef]
- Janicka-Russak, M.; Kabała, K. The Role of Plasma Membrane H+-ATPase in Salinity Stress of Plants. In Progress in Botany; Springer Science and Business Media LLC.: Berlin, Germany, 2015; Volume 76, pp. 77–92. [Google Scholar]
- Demidchik, V.; Straltsova, D.; Medvedev, S.S.; Pozhvanov, G.A.; Sokolik, A.; Yurin, V. Stress-induced electrolyte leakage: The role of K+-permeable channels and involvement in programmed cell death and metabolic adjustment. J. Exp. Bot. 2014, 65, 1259–1270. [Google Scholar] [CrossRef]
- Palmgren, M. Plant plasma membrane H+ -ATPase: Powerhouse for nutrient uptake. Annu. Rev. Plant. Physiol. Mol. Biol. 2001, 52, 817–845. [Google Scholar] [CrossRef]
- Li, J.; Jia, H.; Wang, J.; Cao, Q.; Wen, Z. Hydrogen sulfide is involved in maintaining ion homeostasis via regulating plasma membrane Na+/H+ antiporter system in the hydrogen peroxide-dependent manner in salt-stress Arabidopsis thaliana root. Protoplasma 2014, 251, 899–912. [Google Scholar] [CrossRef]
- Kaya, C.; Ashraf, M.; Al-Huqail, A.A.; Alqahtani, M.A.; Ahmad, P. Silicon is dependent on hydrogen sulphide to improve boron toxicity tolerance in pepper plants by regulating the AsA-GSH cycle and glyoxalase system. Chemosphere 2020, 257, 127241. [Google Scholar] [CrossRef] [PubMed]
- Valivand, M.; Amooaghaie, R.; Ahadi, A. Seed priming with H2S and Ca2+ trigger signal memory that induces cross-adaptation against nickel stress in zucchini seedlings. Plant Physiol. Biochem. 2019, 143, 286–298. [Google Scholar] [CrossRef]
- Kaya, C.; Murillo-Amador, B.; Ashraf, M. Involvement of L-Cysteine Desulfhydrase and Hydrogen Sulfide in Glutathione-Induced Tolerance to Salinity by Accelerating Ascorbate-Glutathione Cycle and Glyoxalase System in Capsicum. Antioxidants 2020, 9, 603. [Google Scholar] [CrossRef]
- Aroca, Á.; Serna, A.; Gotor, C.; Romero, L.C. S-Sulfhydration: A Cysteine Posttranslational Modification in Plant Systems. Plant Physiol. 2015, 168, 334–342. [Google Scholar] [CrossRef]
- Nahar, K.; Hasanuzzaman, M.; Alam, M.M.; Fujita, M. Roles of exogenous glutathione in antioxidant defense system and methylglyoxal detoxification during salt stress in mung bean. Biol. Plant. 2015, 59, 745–756. [Google Scholar] [CrossRef]
- Zhou, Y.; Diao, M.; Cui, J.-X.; Chen, X.-J.; Wen, Z.-L.; Zhang, J.-W.; Liu, H.-Y. Exogenous GSH protects tomatoes against salt stress by modulating photosystem II efficiency, absorbed light allocation and H2O2-scavenging system in chloroplasts. J. Integr. Agric. 2018, 17, 2257–2272. [Google Scholar] [CrossRef]
- Ahmad, R.; Ali, S.; Rizwan, M.; Dawood, M.; Farid, M.; Hussain, A.; Wijaya, L.; Alyemeni, M.N.; Ahmad, P. Hydrogen sulfide alleviates chromium stress on cauliflower by restricting its uptake and enhancing antioxidative system. Physiol. Plant. 2019, 168, 289–300. [Google Scholar] [CrossRef] [PubMed]
- Shen, J.; Zhang, J.; Zhou, M.; Zhou, H.; Cui, B.; Gotor, C.; Romero, L.C.; Fu, L.; Yang, J.; Foyer, C.H.; et al. Persulfidation-based Modification of Cysteine Desulfhydrase and the NADPH Oxidase RBOHD Controls Guard Cell Abscisic Acid Signaling. Plant Cell 2020, 32, 1000–1017. [Google Scholar] [CrossRef]
- Iqbal, N.; Umar, S.; Khan, N.; Corpas, F. Nitric Oxide and Hydrogen Sulfide Coordinately Reduce Glucose Sensitivity and Decrease Oxidative Stress via Ascorbate-Glutathione Cycle in Heat-Stressed Wheat (Triticum aestivum L.) Plants. Antioxidants 2021, 10, 108. [Google Scholar] [CrossRef]
- Gupta, B.K.; Sahoo, K.K.; Ghosh, A.; Tripathi, A.K.; Anwar, K.; Das, P.; Singh, A.K.; Pareek, A.; Sopory, S.K.; Singla-Pareek, S.L. Manipulation of glyoxalase pathway confers tolerance to multiple stresses in rice. Plant Cell Environ. 2018, 41, 1186–1200. [Google Scholar] [CrossRef] [PubMed]
- Parvin, K.; Hasanuzzaman, M.; Bhuyan, M.H.M.; Mohsin, S.M.; Fujita, M. Quercetin mediated salt tolerance in tomato through the enhancement of plant antioxidant defense and glyoxalase systems. Plants 2019, 8, 247. [Google Scholar] [CrossRef] [PubMed]
- Ye, X.-Y.; Qiu, X.-M.; Sun, Y.-Y.; Li, Z.-G. Interplay between hydrogen sulfide and methylglyoxal initiates thermotolerance in maize seedlings by modulating reactive oxidative species and osmolyte metabolism. Protoplasma 2020, 257, 1415–1432. [Google Scholar] [CrossRef]
- Hoque, T.S.; Hossain, M.A.; Mostofa, M.G.; Burritt, D.J.; Fujita, M.; Tran, L.-S.P. Methylglyoxal: An Emerging Signaling Molecule in Plant Abiotic Stress Responses and Tolerance. Front. Plant Sci. 2016, 7, 1341. [Google Scholar] [CrossRef]
- Hasanuzzaman, M.; Nahar, K.; Anee, T.I.; Fujita, M. Glutathione in plants: Biosynthesis and physiological role in environ-mental stress tolerance. Physiol. Mol. Biol. Plants 2017, 23, 249–268. [Google Scholar] [CrossRef]
- Siddiqui, M.H.; Alamri, S.; Khan, M.N.; Corpas, F.J.; Al-Amri, A.A.; Alsubaie, Q.D.; Ali, H.M.; Kalaji, H.M.; Ahmad, P. Melatonin and calcium function synergistically to promote the resilience through ROS metabolism under arsenic-induced stress. J. Hazard. Mater. 2020, 398, 122882. [Google Scholar] [CrossRef]
- Liaqat, S.; Umar, S.; Saffeullah, P.; Iqbal, N.; Siddiqi, T.O.; Khan, M.I.R. Protective Effect of 24-Epibrassinolide on Barley Plants Growing Under Combined Stress of Salinity and Potassium Deficiency. J. Plant Growth Regul. 2020, 39, 1543–1558. [Google Scholar] [CrossRef]
- Meena, M.; Divyanshu, K.; Kumar, S.; Swapnil, P.; Zehra, A.; Shukla, V.; Yadav, M.; Upadhyay, R.S. Regulation of L-proline biosynthesis, signal transduction, transport, accumulation and its vital role in plants during variable environmental conditions. Heliyon 2019, 5, e02952. [Google Scholar] [CrossRef] [PubMed]
- González-Cruz, J.; Pastenes, C. Water Stress Induced Thermotolerance of Photosynthesis in Two Bean Varieties (Phaseolus vulgaris L.). In Photosynthesis. Energy from the Sun; Metzler, J.B., Ed.; Springer: Berlin/Heidelberg, Germany, 2008; pp. 1459–1463. [Google Scholar]
- Thalmann, M.; Santelia, D. Starch as a determinant of plant fitness under abiotic stress. New Phytol. 2017, 214, 943–951. [Google Scholar] [CrossRef] [PubMed]
- Thitisaksakul, M.; Arias, M.C.; Dong, S.; Beckles, D.M. Overexpression of GSK3-like Kinase 5 (OsGSK5) in rice (Oryza sativa) enhances salinity tolerance in part via preferential carbon allocation to root starch. Funct. Plant Biol. 2017, 44, 705. [Google Scholar] [CrossRef] [PubMed]
- Hasanuzzaman, M.; Bhuyan, M.H.M.B.; Nahar, K.; Hossain, S.; Al Mahmud, J.; Hossen, S.; Masud, A.A.C.; Moumita, I.D.; Fujita, M. Potassium: A Vital Regulator of Plant Responses and Tolerance to Abiotic Stresses. Agronomy 2018, 8, 31. [Google Scholar] [CrossRef]
- Jiang, J.; Ren, X.; Li, L.; Hou, R.; Sun, W.; Jiao, C.; Yang, N.; Dong, Y. H2S Regulation of Metabolism in Cucumber in Response to Salt-Stress Through Transcriptome and Proteome Analysis. Front. Plant Sci. 2020, 11, 1283. [Google Scholar] [CrossRef] [PubMed]
- Praxedes, S.C.; DaMatta, F.M.; Loureiro, M.E.; Ferrão, M.A.G.; Cordeiro, A.T. Effects of long-term soil drought on photosynthesis and carbohydrate metabolism in mature robusta coffee (Coffea canephora Pierre var. kouillou) leaves. Environ. Exp. Bot. 2006, 56, 263–273. [Google Scholar] [CrossRef]
- Du, Y.; Zhao, Q.; Chen, L.; Yao, X.; Zhang, W.; Zhang, B.; Xie, F. Effect of drought stress on sugar metabolism in leaves and roots of soybean seedlings. Plant Physiol. Biochem. 2020, 146, 1–12. [Google Scholar] [CrossRef] [PubMed]
- Zhao, N.; Zhu, H.; Zhang, H.; Sun, J.; Zhou, J.; Deng, C.; Zhang, Y.; Zhao, R.; Zhou, X.; Lu, C.; et al. Hydrogen Sulfide Mediates K+ and Na+ Homeostasis in the Roots of Salt-Resistant and Salt-Sensitive Poplar Species Subjected to NaCl Stress. Front. Plant Sci. 2018, 9, 1366. [Google Scholar] [CrossRef]
- Bradford, M.M. A rapid and sensitive method for the quantitation of microgram quantities of protein utilizing the principle of protein-Dye binding. Anal. Biochem. 1976, 72, 248–254. [Google Scholar] [CrossRef]
- Hejl, A.M.; Koster, K.L. Juglone Disrupts Root Plasma Membrane H+-ATPase Activity and Impairs Water Uptake, Root Respiration, and Growth in Soybean (Glycine max) and Corn (Zea mays). J. Chem. Ecol. 2004, 30, 453–471. [Google Scholar] [CrossRef]
- Majumdar, A.; Kar, R.K. Congruence between PM H+-ATPase and NADPH oxidase during root growth: A necessary probability. Protoplasma 2018, 255, 1129–1137. [Google Scholar] [CrossRef] [PubMed]
- Li, Z.-G. Quantification of Hydrogen Sulfide Concentration Using Methylene Blue and 5,5′-Dithiobis(2-Nitrobenzoic Acid) Methods in Plants. Enzym. Act. Single Cells 2015, 554, 101–110. [Google Scholar] [CrossRef]
- Bloem, E.; Riemenschneider, A.; Volker, J.; Papenbrock, J.; Schmidt, A.; Salac, I.; Haneklaus, S.; Schnug, E. Sulphur supply and infection with Pyrenopeziza brassicae influence L-cysteine desulphydrase activity in Brassica napus L. J. Exp. Bot. 2004, 55, 2305–2312. [Google Scholar] [CrossRef]
- Riemenschneider, A.; Wegele, R.; Schmidt, A.; Papenbrock, J. Isolation and characterization of a D-cysteine desulfhydrase protein from Arabidopsis thaliana. FEBS J. 2005, 272, 1291–1304. [Google Scholar] [CrossRef] [PubMed]
- Takahama, U.; Oniki, T. Regulation of Peroxidase-Dependent Oxidation of Phenolics in the Apoplast of Spinach Leaves by Ascorbate. Plant Cell Physiol. 1992, 33, 379–387. [Google Scholar] [CrossRef]
- Yu, C.-W.; Murphy, T.M.; Lin, C.-H. Hydrogen peroxide-induced chilling tolerance in mung beans mediated through ABA-independent glutathione accumulation. Funct. Plant Biol. 2003, 30, 955–963. [Google Scholar] [CrossRef]
- Nakano, Y.; Asada, K. Hydrogen Peroxide is Scavenged by Ascorbate-specific Peroxidase in Spinach Chloroplasts. Plant Cell Physiol. 1981, 22, 867–880. [Google Scholar] [CrossRef]
- Foyer, C.H.; Halliwell, B. The presence of glutathione and glutathione reductase in chloroplasts: A proposed role in ascorbic acid metabolism. Planta 1976, 133, 21–25. [Google Scholar] [CrossRef]
- Upadhyaya, A.; Sankhla, D.; Davis, T.D.; Smith, B. Effect of Paclobutrazol on the Activities of some Enzymes of Activated Oxygen Metabolism and Lipid Peroxidation in Senescing Soybean Leaves. J. Plant Physiol. 1985, 121, 453–461. [Google Scholar] [CrossRef]
- Beauchamp, C.; Fridovich, I. Superoxide dismutase: Improved assays and an assay applicable to acrylamide gels. Anal. Biochem. 1971, 44, 276–287. [Google Scholar] [CrossRef]
- Cakmak, I.; Marschner, H. Magnesium Deficiency and High Light Intensity Enhance Activities of Superoxide Dismutase, Ascorbate Peroxidase, and Glutathione Reductase in Bean Leaves. Plant Physiol. 1992, 98, 1222–1227. [Google Scholar] [CrossRef]
- Wild, R.; Ooi, L.; Srikanth, V.; Münch, G. A quick, convenient and economical method for the reliable determination of methylglyoxal in millimolar concentrations: The N-acetyl-l-cysteine assay. Anal. Bioanal. Chem. 2012, 403, 2577–2581. [Google Scholar] [CrossRef] [PubMed]
- Hossain, M.A.; Hossain, M.Z.; Fujita, M. Stress induced changes of methylglyoxal level and Glyoxalase I activity in pumpkin seedlings and cDNA cloning of glyoxalase I gene. Aust. J. Crop Sci. 2009, 3, 53–64. [Google Scholar]
- Mostofa, M.G.; Fujita, M. Salicylic acid alleviates copper toxicity in rice (Oryza sativa L.) seedlings by up-regulating antioxidative and glyoxalase systems. Ecotoxicology 2013, 22, 959–973. [Google Scholar] [CrossRef] [PubMed]
- Bates, L.S.; Waldren, R.P.; Teare, I.D. Rapid determination of free proline for water-stress studies. Plant Soil 1973, 39, 205–207. [Google Scholar] [CrossRef]
- Tárrago, J.F.; Nicolás, G. Starch Degradation in the Cotyledons of Germinating Lentils. Plant Physiol. 1976, 58, 618–621. [Google Scholar] [CrossRef]
- Kishorekumar, A.; Jaleel, C.A.; Manivannan, P.; Sankar, B.; Sridharan, R.; Panneerselvam, R. Comparative effects of different triazole compounds on growth, photosynthetic pigments and carbohydrate metabolism of Solenostemon rotundifolius. Colloids Surf. B Biointerfaces 2007, 60, 207–212. [Google Scholar] [CrossRef]
- Kalwade, S.B.; Devarumath, R.M. Functional Analysis of the Potential Enzymes Involved in Sugar Modulation in High and Low Sugarcane Cultivars. Appl. Biochem. Biotechnol. 2013, 172, 1982–1998. [Google Scholar] [CrossRef]
- Kuai, J.; Liu, Z.; Wang, Y.; Meng, Y.; Chen, B.; Zhao, W.; Zhou, Z.; Oosterhuis, D.M. Waterlogging during flowering and boll forming stages affects sucrose metabolism in the leaves subtending the cotton boll and its relationship with boll weight. Plant Sci. 2014, 223, 79–98. [Google Scholar] [CrossRef]
- Xu, W.; Cui, K.; Xu, A.; Nie, L.; Huang, J.; Peng, S. Drought stress condition increases root to shoot ratio via alteration of carbohydrate partitioning and enzymatic activity in rice seedlings. Acta Physiol. Plant. 2015, 37, 9. [Google Scholar] [CrossRef]
- Elstner, E.F.; Heupel, A. Inhibition of nitrite formation from hydroxylammoniumchloride: A simple assay for superoxide dismutase. Anal. Biochem. 1976, 70, 616–620. [Google Scholar] [CrossRef]
- Velikova, V.; Yordanov, I.; Edreva, A. Oxidative stress and some antioxidant systems in acid rain-treated bean plants. Plant Sci. 2000, 151, 59–66. [Google Scholar] [CrossRef]
- Cakmak, I.; Horst, W.J. Effect of aluminium on lipid peroxidation, superoxide dismutase, catalase, and peroxidase activities in root tips of soybean (Glycine max). Physiol. Plant. 1991, 83, 463–468. [Google Scholar] [CrossRef]
- Yamasaki, S.; Dillenburg, L.C. Measurements of leaf relative water content in Araucaria angustifolia. Rev. Bras. Fisiol. Veg. 1999, 11, 69–75. [Google Scholar]
- Khan, M.N.; AlSolami, M.A.; Basahi, R.A.; Siddiqui, M.H.; Al-Huqail, A.A.; Abbas, Z.K.; Siddiqui, Z.H.; Ali, H.M.; Khan, F. Nitric oxide is involved in nano-titanium dioxide-induced activation of antioxidant defense system and accumulation of osmolytes under water-deficit stress in Vicia faba L. Ecotoxicol. Environ. Saf. 2020, 190, 110152. [Google Scholar] [CrossRef] [PubMed]
- Lutts, S.; Kinet, J.; Bouharmont, J. Changes in plant response to NaCl during development of rice (Oryza sativa L.) varieties differing in salinity resistance. J. Exp. Bot. 1995, 46, 1843–1852. [Google Scholar] [CrossRef]











| Treatments | Parameters | ||||
|---|---|---|---|---|---|
| H2O2 Content | O2•− Content | TBARS | RWC | ELKG | |
| Control | 77.38 ± 8.32 de | 8.47 ± 1.22 e | 12.38 ± 2.61 e | 79.42 ± 5.32 ab | 8.72 ± 1.56 e |
| K+ | 58.71 ± 2.76 f | 5.32 ± 0.64 f | 8.71 ± 0.74 f | 83.69 ± 2.61 a | 8.61 ± 0.79 ef |
| K++HT | 94.21 ± 1.98 c | 11.74 ± 2.67 c | 18.32 ± 2.18 c | 58.71 ± 1.31 d | 14.38 ± 1.92 c |
| NaCl | 136.07 ± 4.51 b | 18.36 ± 1.29 b | 24.54 ± 1.29 b | 36.82 ± 1.97 e | 22.71 ± 2.05 b |
| NaCl+K+ | 79.47 ± 3.92 d | 10.61 ± 0.88 cd | 14.39 ± 0.76 d | 77.91 ± 3.02 bc | 10.66 ± 0.98 d |
| NaCl+K++HT | 168.29 ± 4.71 a | 21.71 ± 1.38 a | 28.71 ± 1.38 a | 26.52 ± 2.57 f | 29.85 ± 1.77 a |
| Treatments | Parameters | |||
|---|---|---|---|---|
| Gly I Activity | Gly II Activity | MG Content | Pro Content | |
| Control | 0.128 ± 0.014 d | 0.147 ± 0.031 d | 12.54 ± 1.32 de | 10.98 ± 0.765 cd |
| K+ | 0.149 ± 0.049 c | 0.328 ± 0.004 c | 9.65 ± 2.71 f | 11.62 ± 0.849 c |
| K++HT | 0.115 ± 0.007 ef | 0.109 ± 0.012 e | 15.74 ± 1.32 c | 6.54 ± 0.654 f |
| NaCl | 0.374 ± 0.018 b | 0.401 ± 0.005 b | 23.72 ± 0.98 b | 15.73 ± 1.227 b |
| NaCl+K+ | 0.481 ± 0.010 a | 0.582 ± 0.017 a | 13.52 ± 1.02 d | 18.28 ± 1.678 a |
| NaCl+K++HT | 0.117 ± 0.011 e | 0.091 ± 0.009 f | 27.41 ± 2.61 a | 7.36 ± 0.578 e |
Publisher’s Note: MDPI stays neutral with regard to jurisdictional claims in published maps and institutional affiliations. |
© 2021 by the authors. Licensee MDPI, Basel, Switzerland. This article is an open access article distributed under the terms and conditions of the Creative Commons Attribution (CC BY) license (https://creativecommons.org/licenses/by/4.0/).
Share and Cite
Khan, M.N.; Mukherjee, S.; Al-Huqail, A.A.; Basahi, R.A.; Ali, H.M.; Al-Munqedhi, B.M.A.; Siddiqui, M.H.; Kalaji, H.M. Exogenous Potassium (K+) Positively Regulates Na+/H+ Antiport System, Carbohydrate Metabolism, and Ascorbate–Glutathione Cycle in H2S-Dependent Manner in NaCl-Stressed Tomato Seedling Roots. Plants 2021, 10, 948. https://doi.org/10.3390/plants10050948
Khan MN, Mukherjee S, Al-Huqail AA, Basahi RA, Ali HM, Al-Munqedhi BMA, Siddiqui MH, Kalaji HM. Exogenous Potassium (K+) Positively Regulates Na+/H+ Antiport System, Carbohydrate Metabolism, and Ascorbate–Glutathione Cycle in H2S-Dependent Manner in NaCl-Stressed Tomato Seedling Roots. Plants. 2021; 10(5):948. https://doi.org/10.3390/plants10050948
Chicago/Turabian StyleKhan, M. Nasir, Soumya Mukherjee, Asma A. Al-Huqail, Riyadh A. Basahi, Hayssam M. Ali, Bander M. A. Al-Munqedhi, Manzer H. Siddiqui, and Hazem M. Kalaji. 2021. "Exogenous Potassium (K+) Positively Regulates Na+/H+ Antiport System, Carbohydrate Metabolism, and Ascorbate–Glutathione Cycle in H2S-Dependent Manner in NaCl-Stressed Tomato Seedling Roots" Plants 10, no. 5: 948. https://doi.org/10.3390/plants10050948
APA StyleKhan, M. N., Mukherjee, S., Al-Huqail, A. A., Basahi, R. A., Ali, H. M., Al-Munqedhi, B. M. A., Siddiqui, M. H., & Kalaji, H. M. (2021). Exogenous Potassium (K+) Positively Regulates Na+/H+ Antiport System, Carbohydrate Metabolism, and Ascorbate–Glutathione Cycle in H2S-Dependent Manner in NaCl-Stressed Tomato Seedling Roots. Plants, 10(5), 948. https://doi.org/10.3390/plants10050948

