Tracking of Zinc Ferrite Nanoparticle Effects on Pea (Pisum sativum L.) Plant Growth, Pigments, Mineral Content and Arbuscular Mycorrhizal Colonization
Abstract
1. Introduction
2. Results
2.1. X-ray Diffraction (XRD) Analysis
2.2. Magnetic Hysteresis (M-H) Measurements
2.3. Transmission Electron Microscope (TEM)
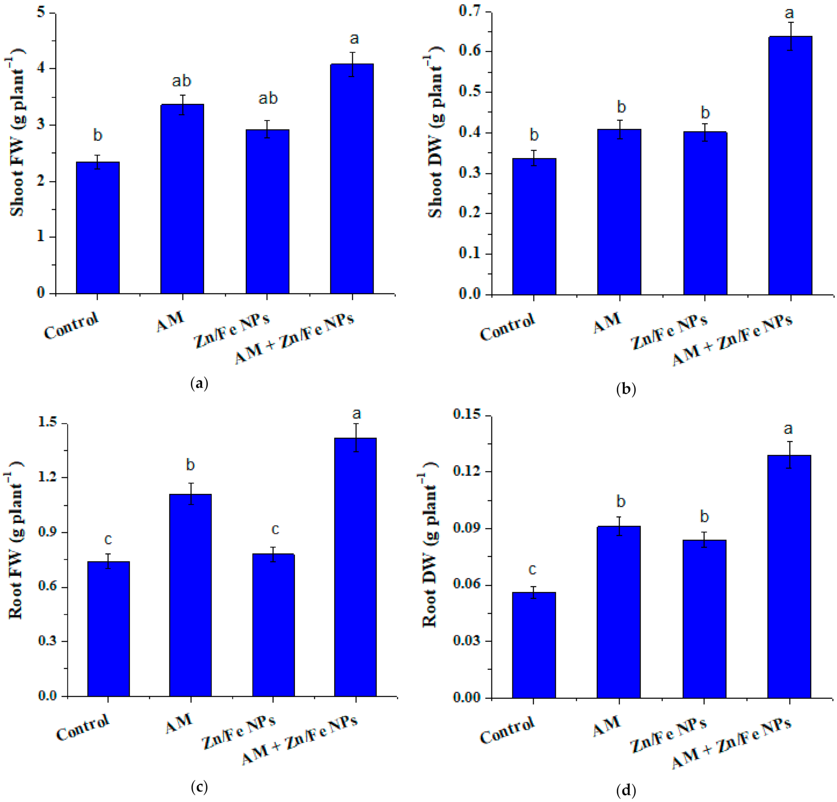
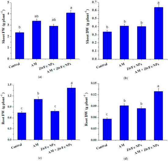
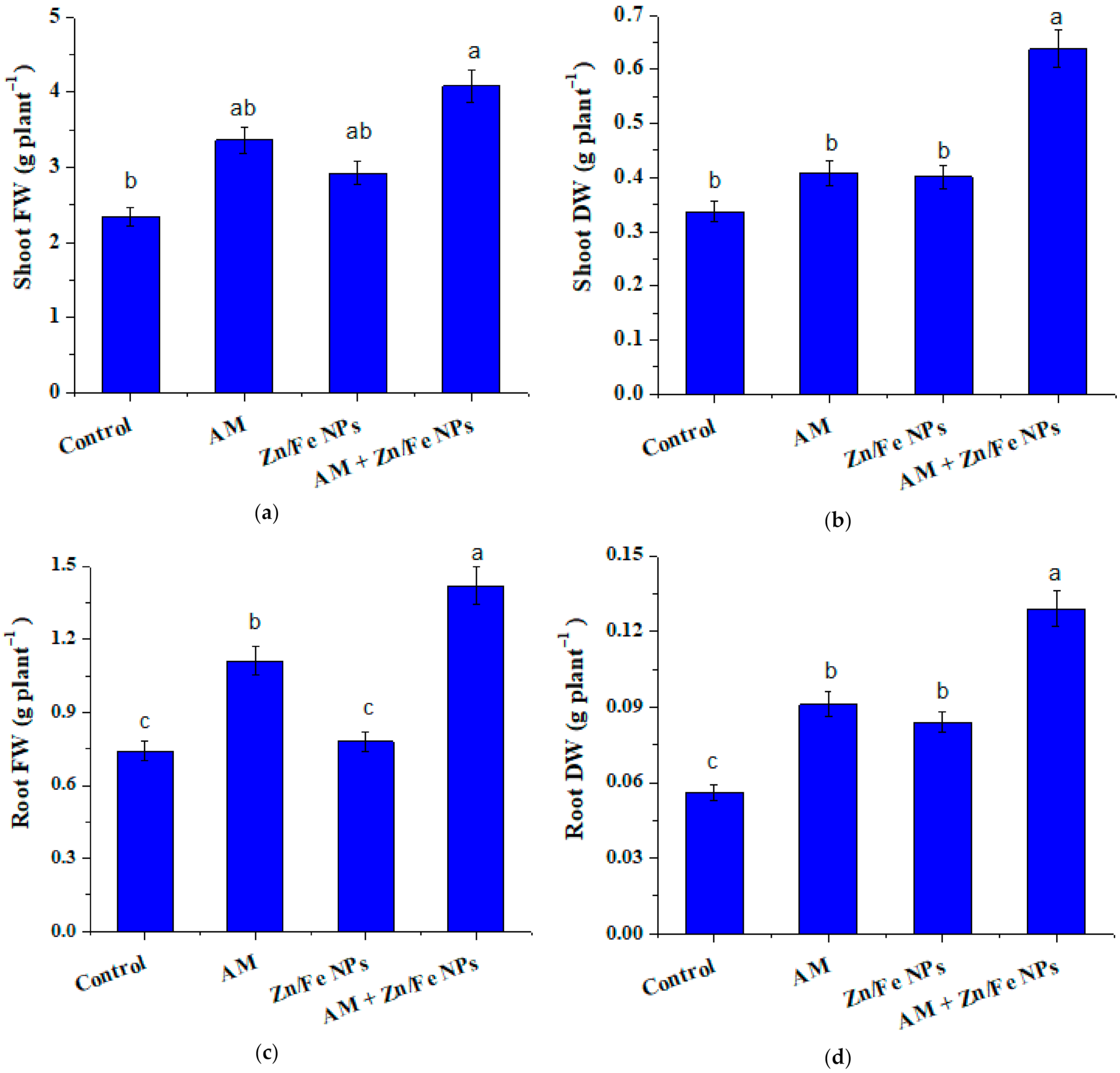
2.4. Effects of ZnFe2O4 NPs on Plant Growth Traits
2.5. AM Fungal Colonization Rate
2.6. Photosynthetic Pigments Content
2.7. Fe and Zn Content and Their Translocation in Plant Tissues
3. Discussion
4. Materials and Methods
4.1. Synthesis of ZnFe2O4 NPs
4.2. Nanoparticle Characterization
4.3. Preparation of ZnFe2O4 NPs Suspension
4.4. Soil, Seeds, Pot Culture and Growth Condition
4.5. Arbuscular Mycorrhizal (AM) Fungal Inoculation, ZnFe2O4 NPs Treatment and Sample Collection
4.6. Measurements
4.6.1. Growth Traits
4.6.2. AM Fungal Colonization Percentage
4.6.3. Photosynthetic Pigment Contents
4.6.4. Fe and Zn Contents and Translocation Factor (TF)
4.7. Statistical Analysis
5. Conclusions
Author Contributions
Funding
Data Availability Statement
Conflicts of Interest
References
- Spielman, D.J.; Malik, S.J.; Dorosh, P.; Ahmad, N. Chapter 1. Agriculture and the Rural Economy in Pakistan. In Agriculture and the Rural Economy in Pakistan: Issues, Outlooks, and Policy Priorities; Spielman, D.J., Malik, S.J., Dorosh, P., Ahmad, N., Eds.; University of Pennsylvania Press: Philadelphia, PA, USA, 2017; pp. 1–40. [Google Scholar] [CrossRef]
- FAO. FAOSTAT; Food and Agriculture Organization of the United Nations: Rome, Italy, 2014. [Google Scholar]
- Selim, Y.A.; Azb, M.A.; Ragab, I.; Abd El-Azim, M.H.M. Green Synthesis of Zinc Oxide Nanoparticles Using Aqueous Extract of Deverra tortuosa and their Cytotoxic Activities. Sci. Rep. 2020, 10, 3445. [Google Scholar] [CrossRef]
- Dimkpa, C.O.; Bindraban, P.S. Nanofertilizers: New products for the Industry? J. Agric. Food Chem. 2018, 66, 6462–6473. [Google Scholar] [CrossRef] [PubMed]
- Abdel Latef, A.A.; Zaid, A.; Abu Alhmad, M.F.; Abdelfattah, K.E. The Impact of priming with Al2O3 nanoparticles on growth, pigments, osmolytes, and antioxidant enzymes of Egyptian roselle (Hibiscus sabdariffa L.) cultivar. Agronomy 2020, 10, 681. [Google Scholar] [CrossRef]
- Baranowska-Wójcik, E.; Szwajgier, D.; Oleszczuk, P.; Winiarska-Mieczan, A. Effects of titanium dioxide nanoparticles exposure on human health—A Review. Biol. Trace Elem. Res. 2019, 193, 118–129. [Google Scholar] [CrossRef] [PubMed]
- Abdel Latef, A.A.; Alhmad, M.F.; Abdelfattah, K.E. The possible roles of priming with ZnO nanoparticles in mitigation of salinity stress in Lupine (Lupinus termis) plants. J. Plant Growth Regul. 2017, 36, 60–70. [Google Scholar] [CrossRef]
- Abdel Latef, A.A.; Srivastava, A.K.; Abdel-sadek, M.S.; Kordrostam, M.; Tran, L.-S.P. Titanium dioxide nanoparticles improve growth and enhance tolerance of broad bean plants under saline conditions. Land Degrad. Dev. 2018, 29, 1065–1073. [Google Scholar] [CrossRef]
- Rajput, V.; Minkina, T.; Mazarji, M.; Shende, S.; Sushkova, S.; Mandzhieva, S.; Burachevskaya, M.; Chaplygin, V.; Singh, A.; Jatav, H. Accumulation of nanoparticles in the soil-plant systems and their effects on human health. Ann. Agric. Sci. 2020, 65, 137–143. [Google Scholar] [CrossRef]
- Wang, F.; Liu, X.; Shi, Z.; Tong, R.; Adams, C.; Shi, X. Arbuscular mycorrhizae alleviate negative effects of zinc oxide nanoparticle and zinc accumulation in maize plants -A soil microcosm experiment. Chemosphere 2016, 147, 88–97. [Google Scholar] [CrossRef]
- Berg, G. Plant-microbe interactions promoting plant growth and health: Perspectives for controlled use of microorganisms in agriculture. Appl. Microbiol. Biotechnol. 2009, 84, 11–18. [Google Scholar] [CrossRef]
- Cao, J.; Feng, Y.; Lin, X.; Wang, J.; Xie, X. Iron oxide magnetic nanoparticles deteriorate the mutual interaction between arbuscular mycorrhizal fungi and plant. J. Soils Sediments 2017, 17, 841–851. [Google Scholar] [CrossRef]
- Begum, N.; Qin, C.; Ahanger, M.A.; Raza, S.; Khan, M.I.; Ashraf, M.; Ahmed, N.; Zhang, L. Role of arbuscular mycorrhizal fungi in plant growth regulation: Implications in abiotic stress tolerance. Front Plant Sci. 2019, 10, 1068. [Google Scholar] [CrossRef] [PubMed]
- Abdelhameed, R.E.; Metwally, R.A. Alleviation of cadmium stress by arbuscular mycorrhizal symbiosis. Int. J. Phytoremediation 2019, 21, 663–671. [Google Scholar] [CrossRef] [PubMed]
- Metwally, R.A. Arbuscular mycorrhizal fungi and Trichoderma viride cooperative effect on biochemical, mineral content, and protein pattern of onion plants. J. Basic Microbiol. 2020, 1–10. [Google Scholar] [CrossRef]
- Metwally, R.A.; Soliman, S.A.; Abdel Latef, A.A.; Abdelhameed, R.E. The Individual and interactive role of arbuscular mycorrhizal fungi and Trichoderma viride on growth, protein content, amino acids fractionation, and phosphatases enzyme activities of onion plants amended with fish waste. Ecotoxicol. Environ. Saf. 2021, 214, 112072. [Google Scholar] [CrossRef] [PubMed]
- Tian, H.; Kah, M.; Kariman, K. Are Nanoparticles a Threat to Mycorrhizal and Rhizobial Symbioses? A Critical Review. Front. Microbiol. 2019, 10, 1660. [Google Scholar] [CrossRef]
- Watts-Williams, S.J.; Patti, A.F.; Cavagnaro, T.R. Arbuscular mycorrhizas are beneficial under both deficient and toxic soil zinc conditions. Plant Soil. 2013, 371, 299–312. [Google Scholar] [CrossRef]
- Manceau, A.; Nagy, K.L.; Marcus, M.A.; Lanson, M.; Geoffroy, N.; Jacquet, T.; Kirpichtchikova, T. Formation of metallic copper nanoparticles at the soil-root interface. Environ. Sci. Technol. 2008, 42, 1766–1772. [Google Scholar] [CrossRef] [PubMed]
- Cao, J.; Feng, Y.; Lin, X.; Wang, J. Arbuscular mycorrhizal fungi alleviate the negative effects of iron oxide nanoparticles on bacterial community in rhizospheric soils. Front. Environ. Sci. 2016, 4, 10. [Google Scholar] [CrossRef]
- Feng, Y.; Cui, X.; He, S.; Dong, G.; Chen, M.; Wang, J.; Lin, X. The role of metal nanoparticles in influencing arbuscular mycorrhizal fungi effects on plant growth. Environ. Sci. Technol. 2013, 47, 9496–9504. [Google Scholar] [CrossRef]
- Dubchak, S.; Ogar, A.; Mietelski, J.W.; Turnau, K. Influence of silver and titanium nanoparticles on arbuscular mycorrhiza colonization and accumulation of radiocaesium in Helianthus annuus. Span. J. Agric. Res. 2010, 8, 103–108. [Google Scholar] [CrossRef]
- Abu-Elsaad, N.I.; Abdelhameed, R.E. Copper ferrite nanoparticles as nutritive supplement for cucumber plants grown under hydroponic system. J. Plant Nutri. 2019, 42, 1645–1659. [Google Scholar] [CrossRef]
- Groenou, A.B.V.; Bongers, P.F.; Stuyts, A.L. Magnetism, microstructure and crystal chemistry of spinel ferrites. Mater. Sci. Eng. 1968, 3, 317–392. [Google Scholar] [CrossRef]
- Nakamura, T.; Demidzu, H.; Yamada, Y. Synthesis and magnetic study on Mg2+-substituted Li–Mn spinel oxides. J. Phys. Chem. Solids. 2008, 69, 2349–2355. [Google Scholar] [CrossRef]
- Elayakumar, K.A.; Manikandan, A.; Dinesh, K.; Thanrasu, K.; Kanmani Raja, R.; Thilak Kumar, Y.; Slimani, S.K.; Jaganathan, A.B. Enhanced magnetic property and antibacterial biomedical activity of Ce3+doped CuFe2O4 spinel nanoparticles synthesized by sol-gel method. J. Magn. Magn. Mater. 2019, 478, 140–147. [Google Scholar] [CrossRef]
- Zablotskii, V.; Polyakova, T.; Lunov, O.; Dejneka, A. How a high-gradient magnetic field could affect cell life. Sci. Rep. 2016, 6, 37407. [Google Scholar] [CrossRef] [PubMed]
- Tombuloglu, H.; Slimani, Y.; Tombuloglu, G.; Almessiere, M.; Baykal, A.; Ercan, I.; Sozeri, H. Tracking of NiFe2O4 nanoparticles in barley (Hordeum vulgare L.) and their impact on plant growth, biomass, pigmentation, catalase activity, and mineral uptake. Environ. Nanotechnol. Monit. Mon. 2019, 11, 100223. [Google Scholar] [CrossRef]
- Nisticò, R.; Cesano, F.; Garello, F. Magnetic materials and systems: Domain structure visualization and other characterization techniques for the application in the materials science and biomedicine. Inorganics 2020, 8, 6. [Google Scholar] [CrossRef]
- Boon, M.S.; Serena Saw, W.P.; Jaafar, M. Magnetic, dielectric and thermal stability of Ni–Zn ferrite-epoxy composite thin films for electronic applications. J. Magn. Magn. Mater. 2012, 324, 755–760. [Google Scholar] [CrossRef]
- Okoroh, D.O.; Aisida, S.O.; Asogwa, P.U. Synthesis and Characterization of Biopolymer capped Zinc ferrite nanoparticles by a thermal treatment method. IOSR-JAP 2018, 10, 52–56. [Google Scholar] [CrossRef]
- López-Moreno, M.L.; Avilés, L.L.; Pérez, N.G.; Irizarry, B.Á.; Perales, O.; Cedeno-Mattei, Y.; omán, F. Effect of cobalt ferrite (CoFe2O4) nanoparticles on the growth and development of Lycopersicon lycopersicum (tomato plants). Sci. Total Environ. 2016, 550, 45–52. [Google Scholar] [CrossRef]
- Nair, R.; Varghese, S.H.; Nair, B.G.; Maekawa, T.; Yoshida, Y.; Kumar, D.S. Nanoparticulate material delivery to plants. Plant Sci. 2010, 179, 154–163. [Google Scholar] [CrossRef]
- Maphosa, Y.; Jideani, V. The Role of legumes in human nutrition In: Functional food-improve health through adequate food. In Functional Food-Improve Health through Adequate Food; Intech Open: London, UK, 2017. [Google Scholar] [CrossRef]
- Cullity, B.D. Elements of X-ray Diffraction; Addison-Wesley Publishing Company Inc.: Reading, MA, USA, 1959; Volume 329. [Google Scholar]
- Cullity, B.D. Elements of X-ray Diffraction; Addison-Wesley Publishing Company Inc.: Reading, MA, USA, 1956; Volume 99. [Google Scholar]
- Somvanshi, S.B.; Khedkar, M.V.; Kharat, P.B.; Jadhav, K.M. Influential diamagnetic magnesium (Mg2+) ion substitution in nano-spinel zinc ferrite (ZnFe2O4): Thermal, structural, spectral, optical and physisorption analysis. Ceram Int. 2020, 46, 8640–8650. [Google Scholar] [CrossRef]
- Mazen, S.A.; Abu-Elsaad, N.I. Structural and some magnetic properties of manganese-substituted lithium ferrites. J. Magn. Magn. Mater. 2012, 324, 3366–3373. [Google Scholar] [CrossRef]
- Marschner, H. Marschner’s Mineral Nutrition of Higher Plants; Academic Press: San Diego, CA, USA, 2011. [Google Scholar]
- Rengel, Z. Availability of Mn, Zn and Fe in the rhizosphere. J. Soil Sci. Plant Nutr. 2015, 15, 397–409. [Google Scholar] [CrossRef]
- Hefferon, K. Biotechnological approaches for generating zinc-enriched crops to combat malnutrition. Nutrients 2019, 11, 253. [Google Scholar] [CrossRef] [PubMed]
- Myers, S.S.; Wessells, K.R.; Kloog, I.; Zanobetti, A.; Schwartz, J. Effect of increased concentrations of atmospheric carbon dioxide on the global threat of zinc deficiency: A modelling study. Lancet Glob. Health. 2015, 3, 639. [Google Scholar] [CrossRef]
- Mayer, J.E.; Pfeiffer, W.H.; Beyer, P. Biofortified crops to alleviate micronutrient malnutrition. Curr. Opin. Plant Biol. 2008, 11, 166–170. [Google Scholar] [CrossRef] [PubMed]
- Subbaiah, L.V.; Prasad, T.N.; Krishna, T.G.; Sudhakar, P.; Reddy, B.R.; Pradeep, T. Novel effects of nanoparticulate delivery of zinc on growth, productivity, and zinc biofortification in maize (Zea mays L.). J. Agric. Food Chem. 2016, 64, 3778–3788. [Google Scholar] [CrossRef]
- Šoltysová, B.; Danilovič, M. Tillage in relation to distribution of nutrients and organic carbon in the soil. Agriculture (Poľnohospodárstvo) 2011, 57, 21–30. [Google Scholar] [CrossRef]
- Jacoby, R.; Peukert, M.; Succurro, A.; Koprivova, A.; Kopriva, S. The Role of Soil Microorganisms in Plant Mineral Nutrition—Current Knowledge and Future Directions. Front. Plant Sci. 2017, 19, 1617. [Google Scholar] [CrossRef]
- Hong, F.; Yang, P.; Gao, F.; Liu, C.; Zheng, L.; Yang, F. Effect of nano-anatase TiO2 on spectral characterization of photosystem particles from spinach. Chem. Res. China Univ. 2005, 21, 196–200. [Google Scholar]
- Sebastian, R.M.; Vijayalakshmy, K.C.; Lakshmi, S.; Saramma, A.V.; Mohammed, E.M. Effect of Zinc Ferrite nanoparticles on the growth of Chlorella pyrenoidosa. Res. J. Pharm. Biol. Chem. Sci. 2014, 2, 512–520. [Google Scholar] [CrossRef]
- Singh, J.; Kumar, S.; Alok, A.; Upadhyay, S.K.; Rawat, M.; Tsang, D.C.W.; Bolan, N.; Kim, K.-H. The potential of green synthesized zinc oxide nanoparticles as nutrient source for plant growth. J. Clean. Prod. 2019, 214, 1061–1070. [Google Scholar] [CrossRef]
- Rivero-Montejo, S.D.J.; Vargas-Hernandez, M.; TorresPacheco, I. Nanoparticles as Novel Elicitors to Improve Bioactive Compounds in Plants. Agriculture 2021, 11, 134. [Google Scholar] [CrossRef]
- Tombuloglu, H.; Slimani, Y.; Tombuloglu, G.; Alshammari, T.; Almessiere, M.; Korkmaz, A.Y.; Baykal, A.S.; Samia, A.C. Engineered magnetic nanoparticles enhance chlorophyll content and growth of barley through the induction of photosystem genes. Environ. Sci. Pollut. Res. 2020, 27, 34311–34321. [Google Scholar] [CrossRef]
- Liu, X.; Wang, F.; Shi, Z.; Tong, R.; Shi, X. Bioavailability of Zn in ZnO nanoparticles-spiked soil and the implications to maize plants. J. Nanopart. Res. 2015, 17, 175. [Google Scholar] [CrossRef]
- Wang, F.; Adams, C.A.; Shi, Z.; Sun, Y. Combined effects of ZnO NPs and Cd on sweet sorghum as influenced by an arbuscular mycorrhizal fungus. Chemosphere 2018, 209, 421–429. [Google Scholar] [CrossRef]
- Wang, X.; Yang, X.; Chen, S.; Li, Q.; Wang, W.; Hou, C.; Gao, X.; Wang, L.; Wang, S. Zinc oxide nanoparticles affect biomass accumulation and photosynthesis in Arabidopsis. Front. Plant Sci. 2016, 6, 1243. [Google Scholar] [CrossRef]
- Metwally, R.A.; Al-Amri, S.M. Individual and interactive role of Trichoderma viride and arbuscular mycorrhizal fungi on growth and pigment content of onion plants. Lett. Appl. Microbiol. 2019, 70, 79–86. [Google Scholar] [CrossRef]
- Abdel-Fattah, G.M.; Asrar, A.W.A. Arbuscular mycorrhizal fungal application to improve growth and tolerance of wheat (Triticum aestivum L.) plants grown in saline soil. Acta Physiol. Plant. 2012, 34, 267–277. [Google Scholar] [CrossRef]
- Abdel Latef, A.A.; Chaoxing, H. Effect of arbuscular mycorrhizal fungi on growth, mineral nutrition, antioxidant enzymes activity and fruit yield of tomato grown under salinity stress. Sci. Hortic. 2011, 127, 228–233. [Google Scholar] [CrossRef]
- Metwally, R.A.; Abdelhameed, R.E. Impact of Ridomil, Bavistin and Agrothoate on arbuscular mycorrhizal fungal colonization, biochemical changes and potassium content of cucumber plants. Ecotoxicology 2019, 28, 487–498. [Google Scholar] [CrossRef]
- Abdel Latef, A.A.; Chaoxing, H. Does the inoculation with Glomus mosseae improve salt tolerance in pepper plants? J. Plant Growth Regul. 2014, 53, 644–653. [Google Scholar] [CrossRef]
- Abdelhameed, R.E.; Metwally, R.A. Mitigation of salt stress by dual application of arbuscular mycorrhizal fungi and salicylic acid. Agrochimica 2018, 62, 353–366. [Google Scholar] [CrossRef]
- Metwally, R.A.; Abdelhameed, R.E. Synergistic effect of arbuscular mycorrhizal fungi in growth and physiology of salt-stressed Trigonella foenum-graecum plants. Biocatal. Agric. Biotechnol. 2018, 16, 538–544. [Google Scholar] [CrossRef]
- Wang, Y.; Wang, M.; Li, Y.; Wu, A.; Huang, J. Effects of arbuscular mycorrhizal fungi on growth and nitrogen uptake of Chrysanthemum morifolium under salt stress. PLoS ONE 2018, 13, e0196408. [Google Scholar] [CrossRef]
- Koomen, I.; Firestone, M.K.; Giller, I. Mycorrhizal infection of clover is delayed in soils contaminated with heavy metals from past sewage sludge applications. Soil. Biol. Biochem. 1990, 22, 871–873. [Google Scholar] [CrossRef]
- Liu, A.; Hamel, C.; Hamilton, R.I.; Ma, B.L.; Smith, D.L. Acquisition of Cu, Zn, Mn and Fe by mycorrhizal maize (Zea mays L.) grown in soil at different P and micronutrient levels. Mycorrhiza 2000, 9, 331–336. [Google Scholar] [CrossRef]
- Ibiang, Y.B.; Innami, H.; Sakamoto, K. Effect of excess zinc and arbuscular mycorrhizal fungus on bioproduction and trace element nutrition of Tomato (Solanum lycopersicum L. cv. Micro-Tom). J. Soil Sci. Plant Nutr. 2018, 64, 342–351. [Google Scholar] [CrossRef]
- Sharma, N.; Yadav, K.; Aggarwal, A. Growth response of two Phaseolus mungo L. cultivars induced by arbuscular mycorrhizal fungi and Trichoderma viride. Int. J. Agron. 2016, 2, 1–6. [Google Scholar] [CrossRef]
- Satti, S.H.; Raja, N.I.; Javed, B.; Akram, A.; Mashwani, Z.U.R.; Ahmad, M.S. Titanium dioxide nanoparticles elicited agromorphological and physicochemical modifications in wheat plants to control Bipolaris sorokiniana. PLoS ONE 2021, 16, e0246880. [Google Scholar] [CrossRef] [PubMed]
- Jalali, M.; Ghanati, F.; Modarres-Sanavi, A.M.; Khoshgoftarmanesh, A.H. Physiological effects of repeated foliar application of magnetite nanoparticles on maize plants. J. Agron. Crop Sci. 2017, 203, 593–602. [Google Scholar] [CrossRef]
- Evelin, H.; Devi, T.S.; Gupta, S.; Kapoor, R. Mitigation of Salinity Stress in Plants by Arbuscular Mycorrhizal Symbiosis: Current Understanding and New Challenges. Front. Plant Sci. 2019, 10, 470. [Google Scholar] [CrossRef] [PubMed]
- Kong, H.; Song, J.; Jang, J. One-step fabrication of magnetic γ-Fe2O3/polyrhodanine nanoparticles using in situ chemical oxidation polymerization and their antibacterial properties. Chem. Commun. 2010, 46, 6735–6737. [Google Scholar] [CrossRef]
- Zhao, L.; Hernandez-Viezcas, J.; Peng, B.; Munoz, B.; Keller, A.; Peralta-Videa, J.R.; Gardea-Torresdey, J. Zno nanoparticle fate in soil and zinc bioaccumulation in corn plants (Zea mays) influenced by alginate. Environ. Sci. Process. Impacts. 2013, 15, 260–266. [Google Scholar] [CrossRef]
- Zhang, P.; Ma, Y.; Zhang, Z.; He, X.; Zhang, J.; Guo, Z.; Tai, R.; Zhao, Y.; Chai, Z. Biotransformation of ceria nanoparticles in cucumber plants. ACS Nano 2012, 6, 9943–9950. [Google Scholar] [CrossRef]
- Lv, J.; Zhang, S.; Luo, L.; Zhang, J.; Yangc, K.; Christie, P. Accumulation, speciation and uptake pathway of ZnO nanoparticles in maize. Environ. Sci. Nano 2015, 2, 68–77. [Google Scholar] [CrossRef]
- Tommaso, G.; Alberto, F.; Lucia, G.; Lucia, N.; Giulia, G.; Fausto, R.; Rea, C.; Alberto, P. Response of tomato plants exposed to treatment with nanoparticles. Environ. Qual. 2012, 8, 27–38. [Google Scholar] [CrossRef]
- Piper, C.S. Soil and Plant Analysis; International Science Publishers Inc.: New York, NY, USA, 1950. [Google Scholar]
- Chapman, H.D.; Pratt, P. Methods of Analysis for Soils, Plants and Water; Priced Publication; University of California, Division of Agricultural Sciences: Berkeley, CA, USA, 1982; Volume 4034. [Google Scholar]
- Jackson, M.L. Soil Chemical Analysis; Prentice-Hall of India Private Limited: New Delhi, India, 1967. [Google Scholar]
- Nation, J.L.; Robinson, F.A. Concentration of some major and trace elements in honeybee, royal jelly and pollen determined by atomic absorption spectrophotometer. J. Apicult. Res. 1971, 10, 35–43. [Google Scholar] [CrossRef]
- Murphy, J.; Riley, J. A modified single solution method for the determination of phosphate in natural waters. Anal. Chim Acta 1962, 27, 31–36. [Google Scholar] [CrossRef]
- Soltanpour, P.N. Determination of nutrient element availability and elemental toxicity by the AB-DTPA soil test and ICPS. Adv. Soil Sci. 1991, 16, 165–190. [Google Scholar]
- Schenck, N.C.; Smith, G.S. Additional new and unreported species of mycorrhizal fungi (Endogonaceae) from Florida. Mycologia 1982, 74, 77–92. [Google Scholar] [CrossRef]
- Walker, C.; Schüßler, A. The Glomeromycota: A Species List with New Families and New Genera; The Royal Botanic Garden Edinburgh: Edinburgh, UK; The Royal Botanic Garden Kew: Richmond, UK; Botanische Staatssammlung Munich: Munich, Germany; Oregon State University: Corvallis, OR, USA, 2010; Volume 14, pp. 1–58. [Google Scholar]
- Phillips, J.; Hayman, D. Improved procedures for clearing roots and staining parasitic and vesicular arbuscular mycorrhizal fungi for rapid assessment of infection. Trans. Br. Mycol. Soc. 1970, 55, 158–161. [Google Scholar] [CrossRef]
- Trouvelot, A.; Kough, J.L.; Gianinazzi-Pearson, V. Measure des taux de mycorhization VA d, UN system radiculaire. Recherche de methodes d’estimation ayant une signification fonctionnelle. In Physiological and Genetical Aspects of Mycorrhizae; Gianinazzi-Pearson, V., Et Gianinazzi, S., Eds.; Institut National de la Recherche Agronomique: Paris, France, 1986; pp. 217–221. [Google Scholar]
- Metzner, H.; Rau, H.; Senger, H. Untersuchungen Zur Synchronisierbarkeit einzelner Pigment-Mangel Mutanten Von Chlorella. Planta 1965, 65, 186–194. [Google Scholar] [CrossRef]
- Karaca, A. Effect of organic wastes on the extractability of cadmium, copper, nickel, and zinc in soil. Geoderma 2004, 122, 297–303. [Google Scholar] [CrossRef]
- Li, M.S.; Luo, Y.P.; Su, Z.Y. Heavy metal concentrations in soils and plant accumulation in a restored manganese mineland in Guangxi, South China. Environ. Pollut. 2007, 147, 168–175. [Google Scholar] [CrossRef]
- Levesque, R. SPSS Programming and Data Management: A Guide for SPSS and SAS Users, 4th ed.; SPSS Inc.: Chicago, IL, USA, 2007; Volume 3. [Google Scholar]









| Variables | AM | ZnFe2O4 NPs | AM+ ZnFe2O4 NPs |
|---|---|---|---|
| Shoot FW | 40.47 * | 14.39 * | 0.167 ns |
| Root FW | 81.49 * | 10.56 * | 6.39 * |
| Shoot DW | 39.85 * | 36.46 * | 11.81 ns |
| Root DW | 65.56 * | 43.86 * | 1.06 ns |
| R/S ratio | 26.02 * | 2.89 ns | 32.12 * |
| Chlorophyll a | 4.269 ns | 2.038 ns | 0.559 ns |
| Chlorophyll b | 50.05 * | 8.788 * | 15.658 * |
| Carotenoids | 22.16 * | 4.93 ns | 9.48 * |
| Total Chlorophyll | 13.3 * | 5.886 * | 0.079 ns |
| Total pigments | 7.63 * | 5.82 * | 2.16 ns |
| Shoot Zn conc | 7.956 * | 138.8 * | 0.213 ns |
| Root Zn conc | 6.74 * | 54.56 * | 0.207 ns |
| Total Zn conc | 7.49 * | 101.15 * | 0.211 ns |
| Treatment | Chlorophyll a | Chlorophyll b | Carotenoids | Total Chlorophyll | Total Pigments |
|---|---|---|---|---|---|
| (mg g−1 FW) | (mg g−1 FW) | (mg g−1 FW) | (mg g−1 FW) | (mg g−1 FW) | |
| Control | 1.441 ± 0.076 b | 0.812 ± 0.043 bc | 0.297 ± 0.016 b | 2.252 ± 0.12 b | 2.549 ± 0.135 b |
| AM | 1.497 ± 0.079 ab | 0.976 ± 0.052 b | 0.270 ± 0.014 b | 2.473 ± 0.13 b | 2.743 ± 0.145 b |
| ZnFe2O4 NPs | 1.549 ± 0.082 ab | 0.759 ± 0.04 c | 0.382 ± 0.02 a | 2.309 ± 0.12 b | 2.691 ± 0.142 b |
| AM+ ZnFe2O4 NPs | 1.729 ± 0.091 a | 1.342 ± 0.071 a | 0.256 ± 0.014 b | 3.071 ± 0.16 a | 3.327 ± 0.176 a |
Publisher’s Note: MDPI stays neutral with regard to jurisdictional claims in published maps and institutional affiliations. |
© 2021 by the authors. Licensee MDPI, Basel, Switzerland. This article is an open access article distributed under the terms and conditions of the Creative Commons Attribution (CC BY) license (http://creativecommons.org/licenses/by/4.0/).
Share and Cite
Abdelhameed, R.E.; Abu-Elsaad, N.I.; Abdel Latef, A.A.H.; Metwally, R.A. Tracking of Zinc Ferrite Nanoparticle Effects on Pea (Pisum sativum L.) Plant Growth, Pigments, Mineral Content and Arbuscular Mycorrhizal Colonization. Plants 2021, 10, 583. https://doi.org/10.3390/plants10030583
Abdelhameed RE, Abu-Elsaad NI, Abdel Latef AAH, Metwally RA. Tracking of Zinc Ferrite Nanoparticle Effects on Pea (Pisum sativum L.) Plant Growth, Pigments, Mineral Content and Arbuscular Mycorrhizal Colonization. Plants. 2021; 10(3):583. https://doi.org/10.3390/plants10030583
Chicago/Turabian StyleAbdelhameed, Reda E., Nagwa I. Abu-Elsaad, Arafat Abdel Hamed Abdel Latef, and Rabab A. Metwally. 2021. "Tracking of Zinc Ferrite Nanoparticle Effects on Pea (Pisum sativum L.) Plant Growth, Pigments, Mineral Content and Arbuscular Mycorrhizal Colonization" Plants 10, no. 3: 583. https://doi.org/10.3390/plants10030583
APA StyleAbdelhameed, R. E., Abu-Elsaad, N. I., Abdel Latef, A. A. H., & Metwally, R. A. (2021). Tracking of Zinc Ferrite Nanoparticle Effects on Pea (Pisum sativum L.) Plant Growth, Pigments, Mineral Content and Arbuscular Mycorrhizal Colonization. Plants, 10(3), 583. https://doi.org/10.3390/plants10030583

